Bayesian Inference on Stress–Strength Reliability with Geometric Distributions
Abstract
1. Introduction
2. Likelihood-Based Inference for
3. Bayes Inferences: Objective Priors
3.1. Jeffreys Prior
3.2. Approximate Reference Priors
- (i)
- for sufficiently small
- (ii)
- for we have that
3.3. Probability Matching Prior
4. Numerical Computations
4.1. Random Walk Metropolis–Hastings Algorithm
| Algorithm 1 Metropolis–Hastings Algorithm for Estimating and |
|
4.2. Simulation Experiment
- While the sample sizes considered in this article are relatively small, it is observed that the performance of all estimators of improves as the sample size increases, with the average estimates approaching the true values and the standard deviations decreasing. The reduction in standard deviations demonstrates the consistency of these estimators.
- It is interesting to note that the Bayes estimator based on outperforms the other estimators, as its 95% HPD credible intervals achieve frequentist coverage probabilities that remain close to 0.95 across all considered scenarios.
- For the Bayes estimator based on and the ML estimator outperform the other estimators by exhibiting smaller standard deviations across all considered scenarios. Moreover, both estimators provide good frequentist coverage probabilities that approach 0.95, with the Bayes estimator based on showing better convergence than the ML estimator.
- For the Bayes estimators using and perform much better than the other two estimators in terms of exhibiting smaller standard deviations. However, the Bayes estimator under is superior in terms of frequentist coverage probabilities, which remain close to 0.95, followed closely by the ML estimator.
- For the Bayes estimator based on performs significantly better than the others in terms of exhibiting smaller standard deviations, followed closely by the Bayes estimator under Moreover, the Bayes estimator based on outperforms the one using in terms of achieving frequentist coverage probabilities that remain close to 0.95.
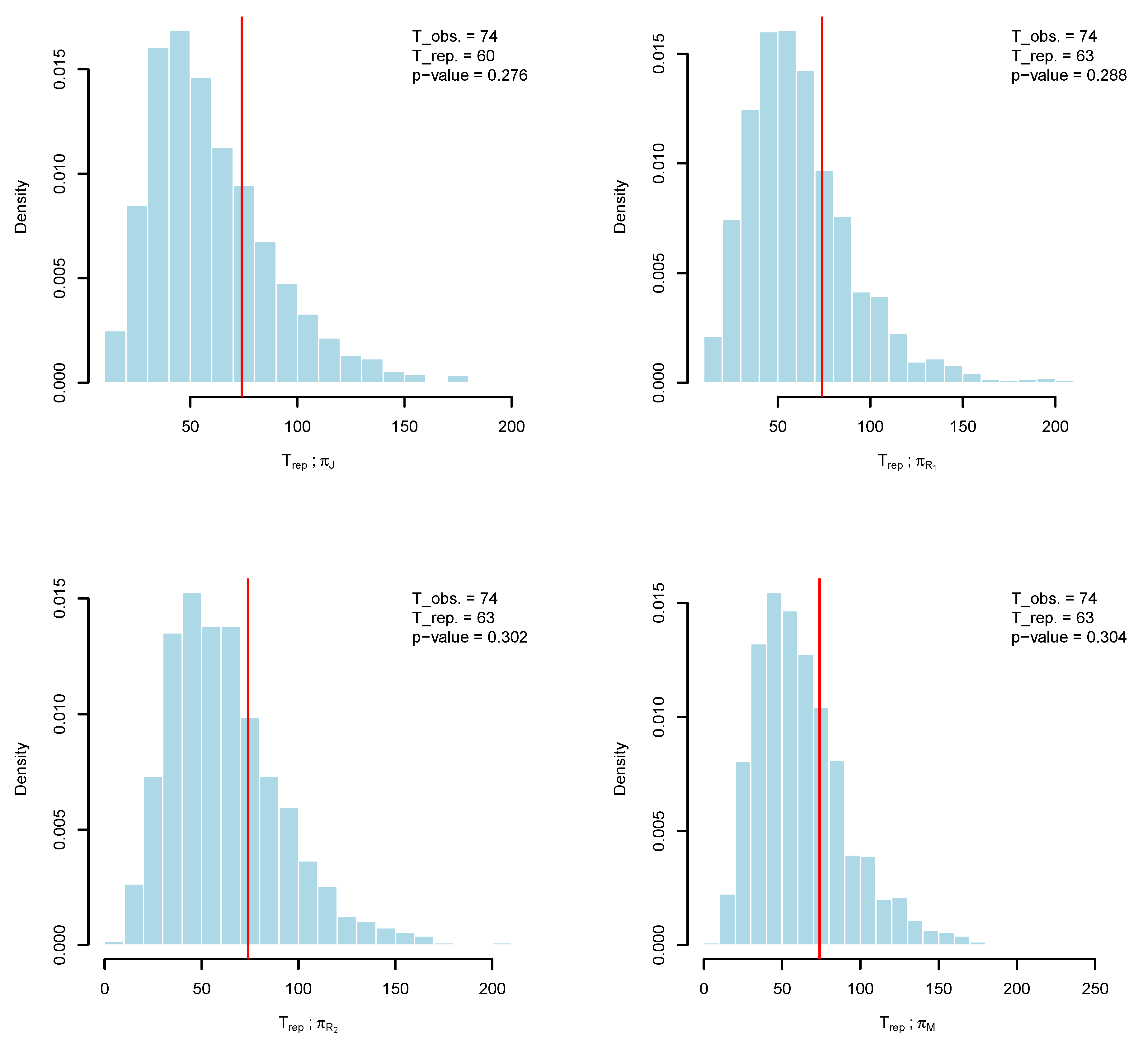
5. Posterior Predictive Assessment of the Model
6. Real Data Analysis
6.1. Data I
| Algorithm 2 Posterior Predictive Assessment |
|
6.2. Data-II
7. Conclusions
Funding
Data Availability Statement
Acknowledgments
Conflicts of Interest
References
- Kundu, D.; Gupta, R.D. Estimation of P(Y < X) for generalized exponential distribution. Metrika 2005, 61, 291–308. [Google Scholar]
- Kumar, I.; Kumar, K. On estimation of P(V < U) for inverse pareto distribution under progressively censored data. Int. J. Syst. Assur. Eng. Manag. 2022, 13, 189–202. [Google Scholar]
- Khan, M.; Khatoon, B. Statistical inferences of R=P(X < Y) for exponential distribution based on generalized order statistics. Ann. Data Sci. 2020, 7, 525–545. [Google Scholar]
- Yadav, A.S.; Singh, S.; Singh, U. Bayesian estimation of stress–strength reliability for lomax distribution under type-II hybrid censored data using asymmetric loss function. Life Cycle Reliab. Saf. Eng. 2019, 8, 257–267. [Google Scholar] [CrossRef]
- Sun, D.; Ghosh, M.; Basu, A.P. Bayesian analysis for a stress-strength system under noninformative priors. Can. J. Stat. 1998, 26, 323–332. [Google Scholar]
- Kang, S.G.; Lee, W.D.; Kim, Y. Objective bayesian analysis for generalized exponential stress–strength model. Comput. Stat. 2021, 36, 2079–2109. [Google Scholar] [CrossRef]
- Abbas, K.; Tang, Y. Objective bayesian analysis of the Fréchet stress–strength model. Stat. Probab. Lett. 2014, 84, 169–175. [Google Scholar] [CrossRef]
- Barbiero, A. Inference on reliability of stress-strength models for Poisson data. J. Qual. Reliab. Eng. 2013, 2013, 530530. [Google Scholar] [CrossRef]
- Obradovic, M.; Jovanovic, M.; Milošević, B.; Jevremović, V. Estimation of P(X ≤ Y) for geometric-poisson model. Hacet. J. Math. Stat. 2015, 44, 949–964. [Google Scholar]
- Ahmad, K.E.; Fakhry, M.E.; Jaheen, Z.F. Bayes estimation of P(Y > X) in the geometric case. Microelectron. Reliab. 1995, 35, 817–820. [Google Scholar] [CrossRef]
- Maiti, S.S. Estimation of P(X ≤ Y) in the geometric case. J. Indian Stat. Assoc. 1995, 33, 87–91. [Google Scholar]
- Mohamed, M. Inference for reliability and stress-strength for geometric distribution. Sylwan 2015, 159, 281–289. [Google Scholar]
- Mohamed, M. Estimation of R for geometric distribution under lower record values. J. Appl. Res. Technol. 2020, 18, 368–375. [Google Scholar] [CrossRef]
- Datta, G.S.; Ghosh, M. On the invariance of noninformative priors. Ann. Stat. 1996, 24, 141–159. [Google Scholar] [CrossRef]
- Dong, G.; Shakhatreh, M.K.; He, D. Bayesian analysis for the shannon entropy of the lomax distribution using noninformative priors. J. Stat. Comput. Simul. 2024, 94, 1317–1338. [Google Scholar] [CrossRef]
- Sen, P.K.; Singer, J.M. Large Sample Methods in Statistics: An Introduction with Applications; Chapman & Hall: London, UK, 1993. [Google Scholar]
- Berger, J.O.; Bernardo, J.M. Ordered group reference priors with application to the multinomial problem. Biometrika 1992, 79, 25–37. [Google Scholar] [CrossRef]
- Bernardo, J.M. Reference analysis. Handb. Stat. 2005, 25, 17–90. [Google Scholar]
- Bernardo, J.M.; Smith, A.F. Bayesian Theory; John Wiley & Sons: Hoboken, NJ, USA, 2009; Volume 405. [Google Scholar]
- Welch, B.L.; Peers, H. On formulae for confidence points based on integrals of weighted likelihoods. J. R. Stat. Soc. Ser. B (Methodol.) 1963, 25, 318–329. [Google Scholar] [CrossRef]
- Datta, G.S.; Ghosh, J.K. On priors providing frequentist validity for Bayesian inference. Biometrika 1995, 82, 37–45. [Google Scholar] [CrossRef]
- Neal, P.; Roberts, G. Optimal scaling for random walk metropolis on spherically constrained target densities. Methodol. Comput. Appl. Probab. 2008, 10, 277–297. [Google Scholar] [CrossRef]
- Guttman, I. The use of the concept of a future observation in goodness-of-fit problems. J. R. Stat. Soc. Ser. B (Methodol.) 1967, 29, 83–100. [Google Scholar] [CrossRef]
- Meng, X.-L. Posterior predictive p-values. Ann. Stat. 1994, 22, 1142–1160. [Google Scholar] [CrossRef]
- Pedersen, M.M.; Mouritsen, O.Ø; Hansen, M.R.; Andersen, J.G.; Wenderby, J. Comparison of post-weld treatment of high-strength steel welded joints in medium cycle fatigue. Weld. World 2010, 54, R208–R217. [Google Scholar] [CrossRef]
- Nayal, A.S.; Singh, B.; Tyagi, A.; Chesneau, C. Classical and bayesian inferences on the stress-strength reliability R=P[Y < X < Z] in the geometric distribution setting. AIMS Math. 2023, 8, 20679–20699. [Google Scholar]
- Brooks, S.P.; Gelman, A. General Methods for Monitoring Convergence of Iterative Simulations. J. Comput. Graph. Stat. 1998, 7, 434–455. [Google Scholar] [CrossRef]
- Kimber, A. Exploratory data analysis for possibly censored data from skewed distributions. J. R. Stat. Soc. Ser. C Appl. Stat. 1990, 39, 21–30. [Google Scholar] [CrossRef]
- Crowder, M. Tests for a family of survival models based on extremes. In Recent Advances in Reliability Theory; Birkhäuser: Boston, MA, USA, 2000. [Google Scholar]




| Scenario 1: , , | |||||||||||||||
| (n,m) | ML | ||||||||||||||
| ES | SD | PC | ES | SD | PC | ES | SD | PC | ES | SD | PC | ES | SD | PC | |
| (5,5) | 0.1851 | 0.0867 | 0.919 | 0.1881 | 0.0870 | 0.920 | 0.1970 | 0.0849 | 0.923 | 0.2245 | 0.0916 | 0.864 | 0.1738 | 0.0862 | 0.945 |
| (10,5) | 0.1733 | 0.0707 | 0.914 | 0.1754 | 0.0702 | 0.924 | 0.1861 | 0.0682 | 0.930 | 0.2016 | 0.0744 | 0.880 | 0.1580 | 0.0602 | 0.942 |
| (5,10) | 0.1761 | 0.0804 | 0.912 | 0.1779 | 0.0811 | 0.911 | 0.1812 | 0.0800 | 0.915 | 0.2057 | 0.0854 | 0.868 | 0.1732 | 0.0803 | 0.940 |
| (10,10) | 0.1667 | 0.0594 | 0.917 | 0.1683 | 0.0595 | 0.915 | 0.1732 | 0.0590 | 0.926 | 0.1862 | 0.0619 | 0.893 | 0.1607 | 0.0588 | 0.947 |
| (15,10) | 0.1639 | 0.0532 | 0.907 | 0.1652 | 0.0530 | 0.903 | 0.1706 | 0.0526 | 0.916 | 0.1799 | 0.0551 | 0.878 | 0.1569 | 0.0517 | 0.925 |
| (10,15) | 0.1652 | 0.0574 | 0.912 | 0.1661 | 0.0574 | 0.917 | 0.1688 | 0.0566 | 0.914 | 0.1813 | 0.0594 | 0.883 | 0.1617 | 0.0573 | 0.948 |
| (15,15) | 0.1600 | 0.0466 | 0.920 | 0.1609 | 0.0463 | 0.921 | 0.1642 | 0.0463 | 0.922 | 0.1730 | 0.0483 | 0.897 | 0.1559 | 0.0459 | 0.946 |
| (20,15) | 0.1578 | 0.0426 | 0.904 | 0.1587 | 0.0427 | 0.913 | 0.1621 | 0.0423 | 0.912 | 0.1687 | 0.0440 | 0.890 | 0.1531 | 0.0418 | 0.945 |
| (15,20) | 0.1601 | 0.0441 | 0.928 | 0.1607 | 0.0441 | 0.921 | 0.1630 | 0.0439 | 0.924 | 0.1713 | 0.0457 | 0.902 | 0.1573 | 0.0438 | 0.953 |
| (20,20) | 0.1574 | 0.0411 | 0.907 | 0.1582 | 0.0412 | 0.917 | 0.1606 | 0.0410 | 0.912 | 0.1671 | 0.0425 | 0.892 | 0.1543 | 0.0408 | 0.942 |
| Scenario 2: , , | |||||||||||||||
| (5,5) | 0.2099 | 0.0922 | 0.9180 | 0.2173 | 0.0936 | 0.9310 | 0.2374 | 0.0920 | 0.9230 | 0.2513 | 0.0959 | 0.8850 | 0.2033 | 0.0920 | 0.9180 |
| (10,5) | 0.2039 | 0.0756 | 0.8950 | 0.2090 | 0.0758 | 0.9080 | 0.2322 | 0.0746 | 0.9000 | 0.2334 | 0.0784 | 0.8780 | 0.1919 | 0.0732 | 0.9250 |
| (5,10) | 0.2112 | 0.0923 | 0.9190 | 0.2147 | 0.0925 | 0.9210 | 0.2235 | 0.0927 | 0.9240 | 0.2445 | 0.0959 | 0.8770 | 0.2114 | 0.0924 | 0.9350 |
| (10,10) | 0.1949 | 0.0637 | 0.9190 | 0.1982 | 0.0641 | 0.9250 | 0.2090 | 0.0645 | 0.9280 | 0.2161 | 0.0666 | 0.8950 | 0.1910 | 0.0636 | 0.9390 |
| (15,10) | 0.1952 | 0.0548 | 0.9230 | 0.1980 | 0.0552 | 0.9240 | 0.2091 | 0.0549 | 0.9200 | 0.2121 | 0.0568 | 0.8940 | 0.1896 | 0.0540 | 0.9080 |
| (10,15) | 0.1965 | 0.0623 | 0.9120 | 0.1989 | 0.0629 | 0.9120 | 0.2056 | 0.0632 | 0.9190 | 0.2150 | 0.0649 | 0.8900 | 0.1949 | 0.0633 | 0.9390 |
| (15,15) | 0.1960 | 0.0556 | 0.9230 | 0.1987 | 0.0554 | 0.9240 | 0.2103 | 0.0561 | 0.9180 | 0.2129 | 0.0576 | 0.9010 | 0.1905 | 0.0547 | 0.9150 |
| (20,15) | 0.1913 | 0.0474 | 0.9090 | 0.1932 | 0.0477 | 0.9080 | 0.2009 | 0.0477 | 0.9050 | 0.2031 | 0.0489 | 0.8970 | 0.1878 | 0.0471 | 0.9140 |
| (15,20) | 0.1922 | 0.0484 | 0.9140 | 0.1939 | 0.0487 | 0.9160 | 0.1993 | 0.0487 | 0.9180 | 0.2052 | 0.0499 | 0.8950 | 0.1906 | 0.0484 | 0.9560 |
| (20,20) | 0.1914 | 0.0420 | 0.9290 | 0.1928 | 0.0421 | 0.9300 | 0.1982 | 0.0422 | 0.9290 | 0.2020 | 0.0430 | 0.9100 | 0.1891 | 0.0419 | 0.9520 |
| Scenario 3: , , | |||||||||||||||
| (5,5) | 0.6488 | 0.1403 | 0.915 | 0.6614 | 0.1380 | 0.9120 | 0.6773 | 0.1276 | 0.9290 | 0.6820 | 0.1272 | 0.9110 | 0.6794 | 0.1523 | 0.946 |
| (10,5) | 0.6498 | 0.1096 | 0.9250 | 0.6622 | 0.1071 | 0.9410 | 0.6847 | 0.0967 | 0.9390 | 0.6722 | 0.1005 | 0.9390 | 0.6613 | 0.1150 | 0.9300 |
| (5,10) | 0.6537 | 0.1353 | 0.928 | 0.6604 | 0.1334 | 0.9230 | 0.6654 | 0.1303 | 0.9330 | 0.6823 | 0.1255 | 0.9200 | 0.6873 | 0.1457 | 0.997 |
| (10,10) | 0.6612 | 0.1027 | 0.9330 | 0.6670 | 0.1027 | 0.9240 | 0.6769 | 0.0983 | 0.9290 | 0.6782 | 0.0976 | 0.9270 | 0.6765 | 0.1077 | 0.9580 |
| (15,10) | 0.6594 | 0.0891 | 0.9280 | 0.6649 | 0.0888 | 0.9280 | 0.6770 | 0.0840 | 0.9300 | 0.6721 | 0.0852 | 0.9250 | 0.6682 | 0.0921 | 0.9450 |
| (10,15) | 0.6595 | 0.1005 | 0.9250 | 0.6641 | 0.0999 | 0.9260 | 0.6687 | 0.0973 | 0.9310 | 0.6748 | 0.0956 | 0.9230 | 0.6763 | 0.1044 | 0.9720 |
| (15,15) | 0.6637 | 0.0884 | 0.9200 | 0.6677 | 0.0879 | 0.9150 | 0.6741 | 0.0851 | 0.9130 | 0.6747 | 0.0847 | 0.9100 | 0.6738 | 0.0908 | 0.9570 |
| (20,15) | 0.6641 | 0.0750 | 0.9370 | 0.6680 | 0.0750 | 0.9190 | 0.6762 | 0.0724 | 0.9220 | 0.6740 | 0.0725 | 0.9200 | 0.6714 | 0.0770 | 0.9530 |
| (15,20) | 0.6631 | 0.0841 | 0.9310 | 0.6665 | 0.0838 | 0.9250 | 0.6708 | 0.0825 | 0.9260 | 0.6737 | 0.0816 | 0.9190 | 0.6742 | 0.0866 | 0.9700 |
| (20,20) | 0.6620 | 0.0772 | 0.9150 | 0.6654 | 0.0768 | 0.9210 | 0.6706 | 0.0750 | 0.9190 | 0.6712 | 0.0747 | 0.9180 | 0.6700 | 0.0786 | 0.9540 |
| Scenario 4: , , | |||||||||||||||
| (5,5) | 0.8736 | 0.0912 | 0.925 | 0.8491 | 0.0902 | 0.913 | 0.8434 | 0.0873 | 0.920 | 0.8487 | 0.0841 | 0.921 | 0.8668 | 0.0920 | 0.946 |
| (10,5) | 0.8554 | 0.0761 | 0.915 | 0.8598 | 0.0743 | 0.903 | 0.8588 | 0.0707 | 0.911 | 0.8576 | 0.0716 | 0.906 | 0.8697 | 0.0771 | 0.955 |
| (5,10) | 0.8844 | 0.0796 | 0.936 | 0.8565 | 0.0813 | 0.911 | 0.8493 | 0.0824 | 0.915 | 0.8573 | 0.0767 | 0.911 | 0.8776 | 0.0821 | 0.953 |
| (10,10) | 0.8786 | 0.0620 | 0.940 | 0.8659 | 0.0620 | 0.924 | 0.8627 | 0.0623 | 0.921 | 0.8643 | 0.0609 | 0.920 | 0.8830 | 0.0635 | 0.948 |
| (15,10) | 0.8654 | 0.0534 | 0.935 | 0.8679 | 0.0528 | 0.929 | 0.8661 | 0.0521 | 0.936 | 0.8659 | 0.0518 | 0.936 | 0.8756 | 0.0558 | 0.949 |
| (10,15) | 0.8646 | 0.0585 | 0.949 | 0.8661 | 0.0592 | 0.913 | 0.8631 | 0.0592 | 0.916 | 0.8653 | 0.0576 | 0.920 | 0.8800 | 0.0591 | 0.954 |
| (15,15) | 0.8696 | 0.0493 | 0.950 | 0.8714 | 0.0491 | 0.923 | 0.8690 | 0.0488 | 0.924 | 0.8701 | 0.0482 | 0.925 | 0.8799 | 0.0486 | 0.948 |
| (20,15) | 0.8703 | 0.0450 | 0.938 | 0.8722 | 0.0446 | 0.930 | 0.8704 | 0.0445 | 0.932 | 0.8704 | 0.0441 | 0.931 | 0.8780 | 0.0455 | 0.950 |
| (15,20) | 0.8706 | 0.0482 | 0.943 | 0.8720 | 0.0481 | 0.915 | 0.8696 | 0.0484 | 0.928 | 0.8711 | 0.0473 | 0.920 | 0.8810 | 0.0485 | 0.955 |
| (20,20) | 0.8735 | 0.0432 | 0.945 | 0.8747 | 0.0430 | 0.920 | 0.8730 | 0.0432 | 0.916 | 0.8734 | 0.0429 | 0.920 | 0.8841 | 0.0438 | 0.951 |
| Scenario 5: , | |||||||||||||||
| (5,5) | 0.8798 | 0.0780 | 0.943 | 0.8864 | 0.0739 | 0.967 | 0.8953 | 0.0670 | 0.981 | 0.8952 | 0.0668 | 0.973 | 0.9383 | 0.0829 | 0.953 |
| (10,5) | 0.9076 | 0.0617 | 0.955 | 0.9142 | 0.0568 | 0.974 | 0.9233 | 0.0500 | 0.983 | 0.9164 | 0.0543 | 0.985 | 0.9381 | 0.0621 | 0.951 |
| (5,10) | 0.8890 | 0.0722 | 0.943 | 0.8923 | 0.0705 | 0.979 | 0.8958 | 0.0672 | 0.982 | 0.9012 | 0.0643 | 0.983 | 0.9274 | 0.0771 | 0.955 |
| (10,10) | 0.9087 | 0.0563 | 0.956 | 0.9116 | 0.0548 | 0.981 | 0.9161 | 0.0518 | 0.983 | 0.9151 | 0.0524 | 0.984 | 0.9183 | 0.0573 | 0.953 |
| (15,10) | 0.9157 | 0.0520 | 0.949 | 0.9185 | 0.0506 | 0.934 | 0.9230 | 0.0477 | 0.930 | 0.9200 | 0.0494 | 0.920 | 0.9054 | 0.0528 | 0.950 |
| (10,15) | 0.9097 | 0.0568 | 0.954 | 0.9118 | 0.0556 | 0.980 | 0.9140 | 0.0540 | 0.983 | 0.9150 | 0.0532 | 0.985 | 0.8988 | 0.0580 | 0.965 |
| (15,15) | 0.9169 | 0.0502 | 0.950 | 0.9187 | 0.0493 | 0.942 | 0.9216 | 0.0473 | 0.927 | 0.9210 | 0.0476 | 0.932 | 0.9164 | 0.0507 | 0.949 |
| (20,15) | 0.9234 | 0.0406 | 0.951 | 0.9254 | 0.0397 | 0.898 | 0.9281 | 0.0382 | 0.893 | 0.9265 | 0.0389 | 0.898 | 0.9182 | 0.0408 | 0.954 |
| (15,20) | 0.9198 | 0.0470 | 0.952 | 0.9213 | 0.0462 | 0.944 | 0.9234 | 0.0448 | 0.944 | 0.9233 | 0.0449 | 0.944 | 0.9395 | 0.0474 | 0.951 |
| (20,20) | 0.9253 | 0.0408 | 0.948 | 0.9267 | 0.0398 | 0.894 | 0.9286 | 0.0390 | 0.886 | 0.9279 | 0.0391 | 0.891 | 0.9100 | 0.0407 | 0.950 |
| Scenario 6: , , | |||||||||||||||
| (5,5) | 0.9710 | 0.0249 | 0.970 | 0.9727 | 0.0237 | 0.976 | 0.9694 | 0.0249 | 0.970 | 0.9702 | 0.0242 | 0.968 | 0.9879 | 0.0197 | 0.955 |
| (10,5) | 0.9782 | 0.0184 | 0.962 | 0.9795 | 0.0178 | 0.969 | 0.9780 | 0.0182 | 0.958 | 0.9777 | 0.0186 | 0.963 | 0.9865 | 0.0157 | 0.952 |
| (5,10) | 0.9742 | 0.0202 | 0.953 | 0.9750 | 0.0197 | 0.971 | 0.9719 | 0.0217 | 0.966 | 0.9728 | 0.0208 | 0.967 | 0.9893 | 0.0166 | 0.954 |
| (10,10) | 0.9806 | 0.0147 | 0.964 | 0.9812 | 0.0143 | 0.969 | 0.9799 | 0.0152 | 0.962 | 0.9800 | 0.0151 | 0.969 | 0.9878 | 0.0130 | 0.954 |
| (15,10) | 0.9830 | 0.0123 | 0.944 | 0.9836 | 0.0121 | 0.920 | 0.9828 | 0.0124 | 0.925 | 0.9826 | 0.0125 | 0.929 | 0.9878 | 0.0111 | 0.949 |
| (10,15) | 0.9811 | 0.0138 | 0.952 | 0.9815 | 0.0135 | 0.968 | 0.9804 | 0.0143 | 0.956 | 0.9806 | 0.0140 | 0.957 | 0.9882 | 0.0122 | 0.951 |
| (15,15) | 0.9840 | 0.0105 | 0.956 | 0.9844 | 0.0103 | 0.953 | 0.9836 | 0.0106 | 0.956 | 0.9837 | 0.0106 | 0.944 | 0.9886 | 0.0095 | 0.951 |
| (20,15) | 0.9854 | 0.0090 | 0.953 | 0.9858 | 0.0088 | 0.899 | 0.9852 | 0.0091 | 0.910 | 0.9851 | 0.0091 | 0.906 | 0.9888 | 0.0084 | 0.953 |
| (15,20) | 0.9840 | 0.0106 | 0.946 | 0.9843 | 0.0104 | 0.940 | 0.9837 | 0.0108 | 0.948 | 0.9837 | 0.0108 | 0.942 | 0.9885 | 0.0098 | 0.951 |
| (20,20) | 0.9853 | 0.0092 | 0.945 | 0.9856 | 0.0091 | 0.894 | 0.9850 | 0.0094 | 0.907 | 0.9850 | 0.0094 | 0.900 | 0.9887 | 0.0086 | 0.950 |
| Priors | Estimator | SD | 95% CI |
|---|---|---|---|
| Empirical | 0.6923 | 0.1120 | (0.4726, 0.9120) |
| ML | 0.6724 | 0.0916 | (0.4929, 0.8519) |
| 0.6672 | 0.0954 | (0.4543, 0.8345) | |
| 0.6661 | 0.0914 | (0.4721, 0.8280) | |
| 0.6912 | 0.0878 | (0.4966, 0.8333) | |
| 0.6718 | 0.0906 | (0.4705 0.8297) |
| Priors | Estimator | SD | 95% CI |
|---|---|---|---|
| Empirical | 0.5350 | 0.0935 | (0.3518, 0.7182) |
| ML | 0.5484 | 0.0891 | (0.3739, 0.7228) |
| 0.5428 | 0.0766 | (0.3898, 0.6880) | |
| 0.5432 | 0.0805 | (0.3819, 0.6887) | |
| 0.5552 | 0.0888 | (0.4079, 0.7103) | |
| 0.5429 | 0.0798 | (0.3824, 0.6954) |
Disclaimer/Publisher’s Note: The statements, opinions and data contained in all publications are solely those of the individual author(s) and contributor(s) and not of MDPI and/or the editor(s). MDPI and/or the editor(s) disclaim responsibility for any injury to people or property resulting from any ideas, methods, instructions or products referred to in the content. |
© 2025 by the author. Licensee MDPI, Basel, Switzerland. This article is an open access article distributed under the terms and conditions of the Creative Commons Attribution (CC BY) license (https://creativecommons.org/licenses/by/4.0/).
Share and Cite
Shakhatreh, M.K. Bayesian Inference on Stress–Strength Reliability with Geometric Distributions. Symmetry 2025, 17, 1723. https://doi.org/10.3390/sym17101723
Shakhatreh MK. Bayesian Inference on Stress–Strength Reliability with Geometric Distributions. Symmetry. 2025; 17(10):1723. https://doi.org/10.3390/sym17101723
Chicago/Turabian StyleShakhatreh, Mohammed K. 2025. "Bayesian Inference on Stress–Strength Reliability with Geometric Distributions" Symmetry 17, no. 10: 1723. https://doi.org/10.3390/sym17101723
APA StyleShakhatreh, M. K. (2025). Bayesian Inference on Stress–Strength Reliability with Geometric Distributions. Symmetry, 17(10), 1723. https://doi.org/10.3390/sym17101723

