Initial-Offset-Control and Amplitude Regulation in Memristive Neural Network
Abstract
1. Introduction
2. Memristive-Based Hopfield Neural Network
2.1. Memritor Model
2.2. Memristive Neural Network Model
3. Basic Dynamics Analysis
3.1. Equilibrium and Stability Analysis
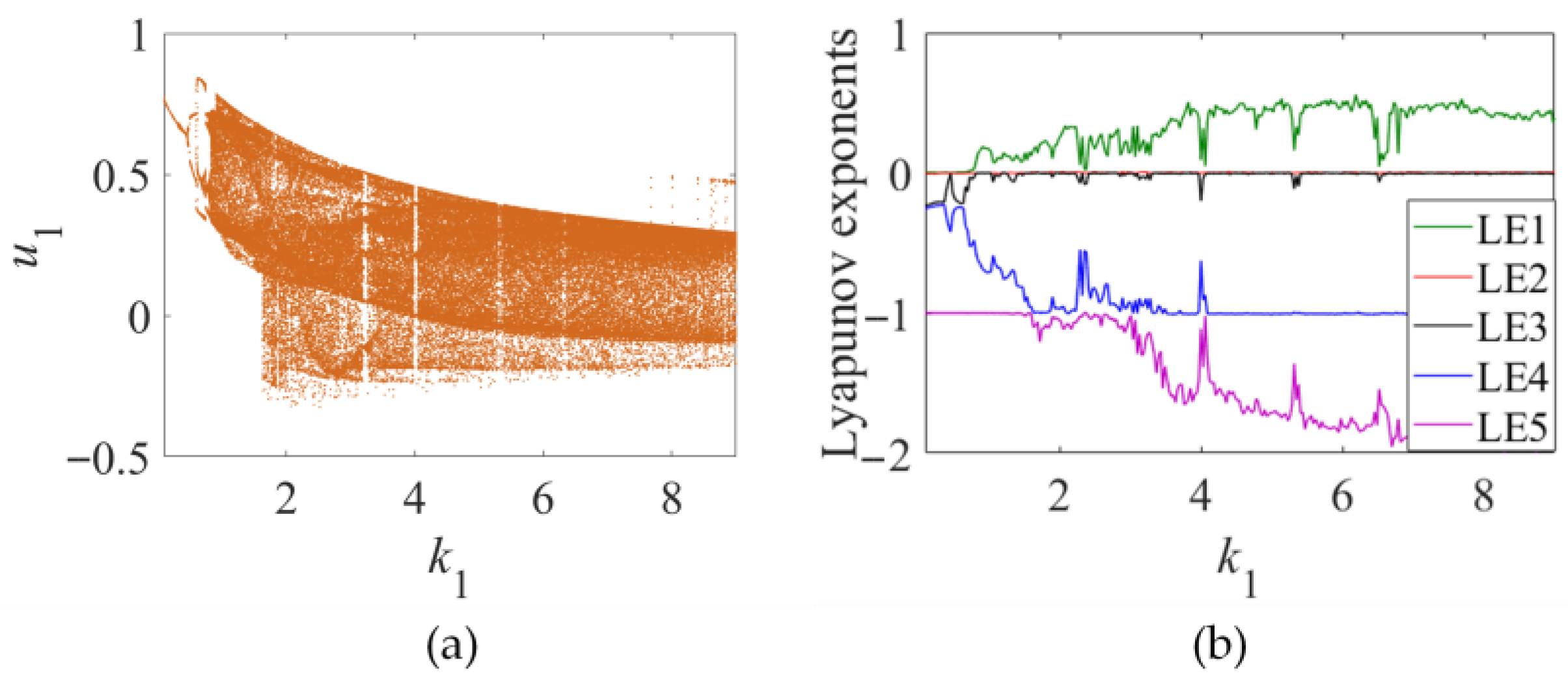
3.2. Bifurcation and Lyapunov Exponents
3.3. Symmetry and Phase Diagram
4. Amplitude Control in Memristive Neural Network
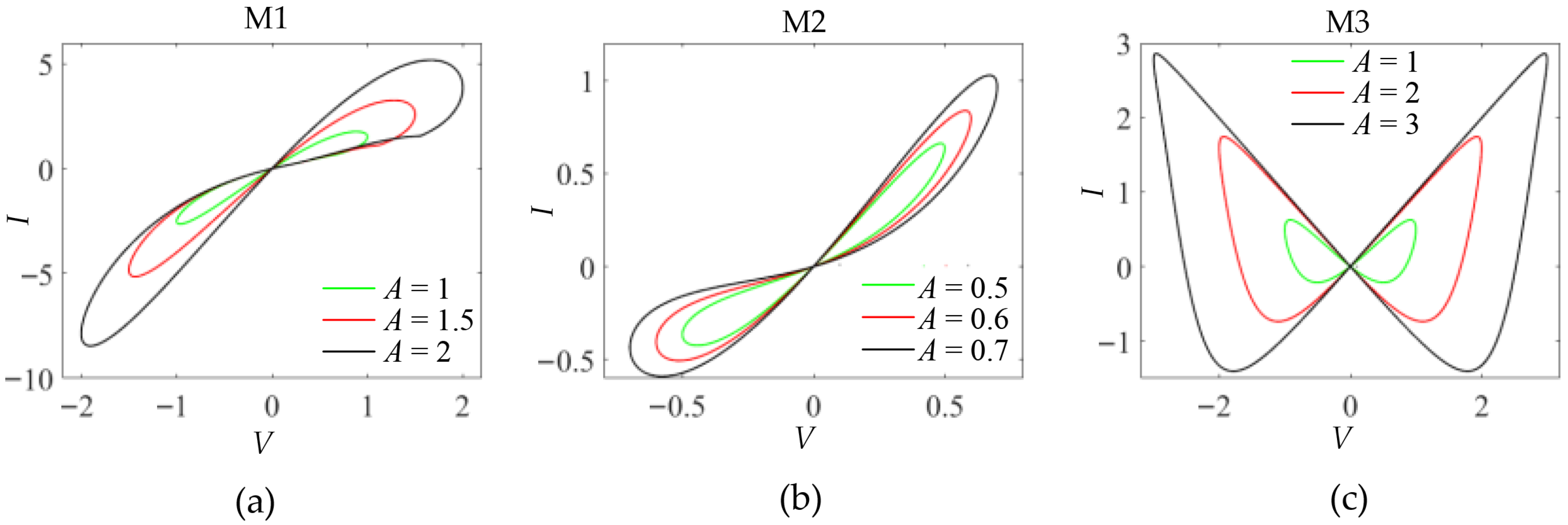
4.1. Amplitude of Single-Scroll Attractor
4.2. Amplitude of Multi-Scroll Attractor
4.3. Large-Scale Amplitude Control
5. Various Offset-Control and Multistability
5.1. Parameter-Offset-Control
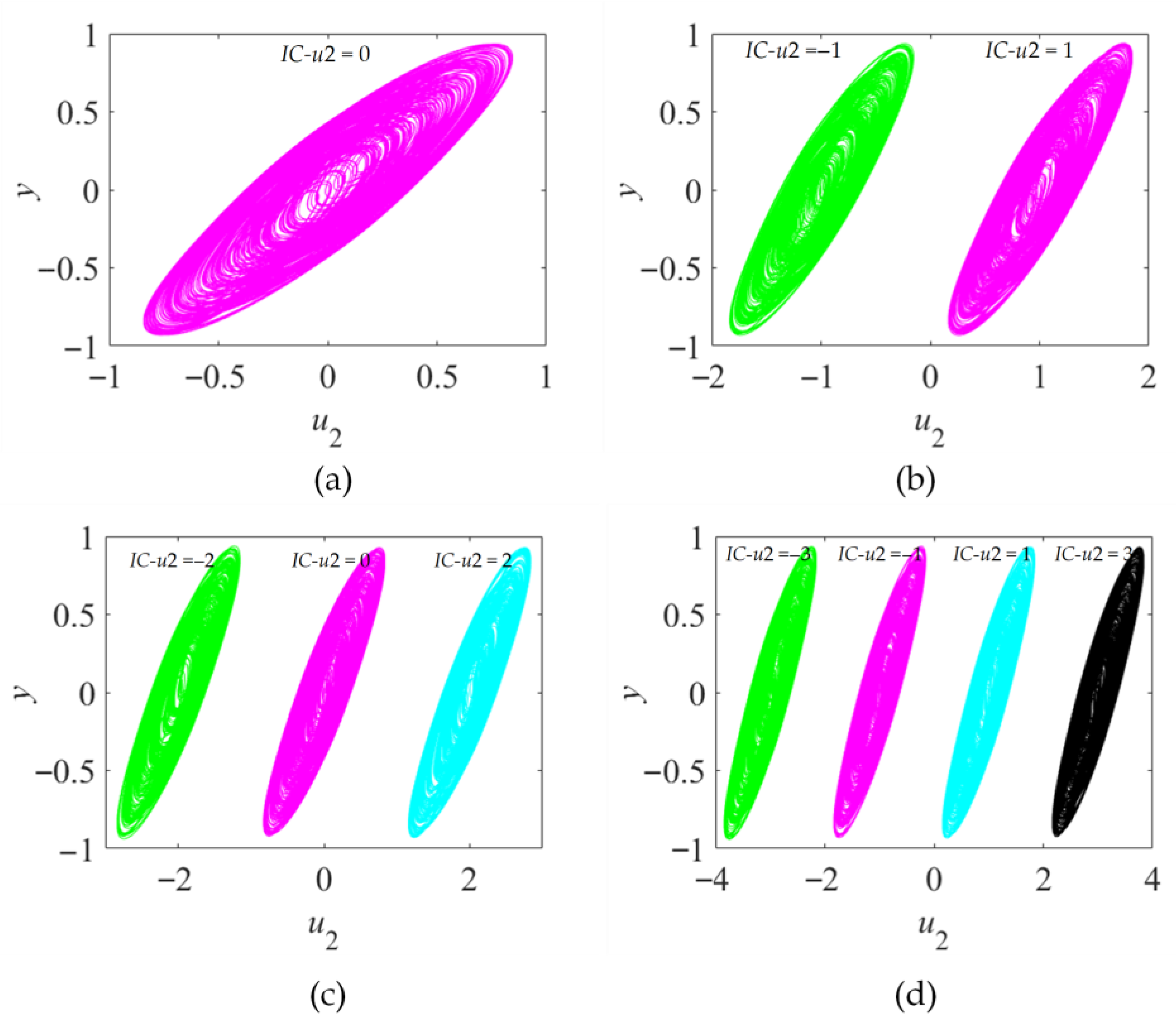
5.2. Initial-Offset-Control
5.3. Coexisting Attractors and Multistability
6. Circuit Implementation and Application in PRNG
6.1. Digital Circuit Implementation
6.2. Application in Pseudo-Random Number Generator
7. Conclusions and Discussion
Author Contributions
Funding
Data Availability Statement
Conflicts of Interest
References
- Yu, L.; Yu, Y. Energy-efficient neural information processing in individual neurons and neuronal networks. J. Neurosci. Res. 2017, 95, 2253–2266. [Google Scholar] [CrossRef] [PubMed]
- Gebicke-Haerter, P.J. The computational power of the human brain. Front. Cell. Neurosci. 2023, 17, 1220030. [Google Scholar] [CrossRef] [PubMed]
- Lytton, W.W. Basic Neuroscience. In From Computer to Brain: Foundations of Computational Neuroscience; Springer: Berlin/Heidelberg, Germany, 2002; pp. 25–42. [Google Scholar]
- Bazenkov, N.; Vorontsov, D.; Dyakonova, V. Discrete modeling of neuronal interactions in multi-transmitter networks. Sci. Tech. Inf. Process. 2018, 45, 283–296. [Google Scholar] [CrossRef]
- Eluyode, O.S.; Akomolafe, D.T. Comparative study of biological and artificial neural networks. Eur. J. Appl. Eng. Sci. Res. 2013, 2, 36–46. [Google Scholar]
- Zhang, Q.; Yu, H.; Barbiero, M.; Wang, B.K.; Gu, M. Artificial neural networks enabled by nanophotonics. Light Sci. Appl. 2019, 8, 42. [Google Scholar] [CrossRef]
- Joya, G.; Atencia, M.A.; Sandoval, F. Hopfield neural networks for optimization: Study of the different dynamics. Neurocomputing 2002, 43, 219–237. [Google Scholar] [CrossRef]
- Wen, U.P.; Lan, K.M.; Shih, H.S. A review of Hopfield neural networks for solving mathematical programming problems. Eur. J. Oper. Res. 2009, 198, 675–687. [Google Scholar] [CrossRef]
- Rebentrost, P.; Bromley, T.R.; Weedbrook, C.; Lloyd, S. Quantum Hopfield neural network. Phys. Rev. A 2018, 98, 042308. [Google Scholar] [CrossRef]
- Qiao, S.; An, X.L. Dynamic expression of a HR neuron model under an electric field. Int. J. Mod. Phys. B 2021, 35, 2150024. [Google Scholar] [CrossRef]
- Zhang, S.; Zheng, J.H.; Wang, X.P.; Zeng, Z.G. A novel no-equilibrium HR neuron model with hidden homogeneous extreme multistability. Chaos Solitons Fractals 2021, 145, 110761. [Google Scholar] [CrossRef]
- An, X.L.; Xiong, L.; Shi, Q.Q.; Qiao, S.; Zhang, L. Dynamics explore of an improved HR neuron model under electromagnetic radiation and its applications. Nonlinear Dyn. 2023, 111, 9509–9535. [Google Scholar] [CrossRef]
- Barra, A.; Beccaria, M.; Fachechi, A. A new mechanical approach to handle generalized Hopfield neural networks. Neural Netw. 2018, 106, 205–222. [Google Scholar] [CrossRef] [PubMed]
- Lin, H.R.; Wang, C.H.; Yu, F.; Sun, J.R.; Du, S.C.; Deng, Z.K.; Deng, Q.L. A review of chaotic systems based on memristive Hopfield neural networks. Mathematics 2023, 11, 1369. [Google Scholar] [CrossRef]
- Zhang, S.; Yu, Y.; Wang, H. Mittag-Leffler stability of fractional-order Hopfield neural networks. Nonlinear Anal. Hybrid. Syst. 2015, 16, 104–121. [Google Scholar] [CrossRef]
- Thomas, A. Memristor-based neural networks. J. Phys. D Appl. Phys. 2013, 46, 093001. [Google Scholar] [CrossRef]
- Kim, H.; Sah, M.P.; Yang, C.; Cho, S.; Chua, L.O. Memristor emulator for memristor circuit applications. IEEE Trans. Circuits Syst. I Regul. Pap. 2012, 59, 2422–2431. [Google Scholar]
- Chua, L. Memristor-the missing circuit element. IEEE Trans. Circuit Theory 1971, 18, 507–519. [Google Scholar] [CrossRef]
- Wu, E.X.; Wang, Y.; Huo, S.D.; Xu, J.X.; Sheng, M.; Liu, H.S.; Zhong, L.; Gao, J.F.; Xie, Y.; Pan, C.F. Universal Core-Shell Nanowire Memristor Platform with Quasi-2D Filament Confinement for Scalable Neuromorphic Applications. Adv. Funct. Mater. 2025. [Google Scholar] [CrossRef]
- Tian, H.G.; Wang, J.; Ma, J.; Li, X.M.; Zhang, P.J.; Li, J.Q. Improved energy-adaptive coupling for synchronization of neurons with nonlinear and memristive membranes. Chaos Solitons Fractals 2025, 199, 116863. [Google Scholar] [CrossRef]
- Tian, H.G.; Yi, X.F.; Zhang, Y.; Wang, Z.; Xi, X.J.; Liu, J.D. Dynamical Analysis, Feedback Control Circuit Implementation, and Fixed-Time Sliding Mode Synchronization of a Novel 4D Chaotic System. Symmetry 2025, 17, 1252. [Google Scholar] [CrossRef]
- Jeong, H.; Shi, L. Memristor devices for neural networks. J. Phys. D Appl. Phys. 2018, 52, 023003. [Google Scholar] [CrossRef]
- Corinto, F.; Civalleri, P.P.; Chua, L.O. A theoretical approach to memristor device. IEEE J. Emerg. Sel. Top. Circuits Syst. 2015, 5, 123–132. [Google Scholar] [CrossRef]
- Ascoli, A.; Corinto, F.; Senger, V. Memristor model comparison. IEEE Circuits Syst. Mag. 2013, 13, 89–105. [Google Scholar] [CrossRef]
- Wang, L.; Yang, C.H.; Wen, J.; Gai, S.; Peng, Y.X. Overview of emerging memristor families from resistive memristor to spintronic memristor. J. Mater. Sci. Mater. Electron. 2015, 26, 4618–4628. [Google Scholar] [CrossRef]
- Amiri, F.G.; Nazarimehr, F.; Jafari, S. Dynamical analysis of the FitzHugh–Nagumo model with memristive synapse. Chin. J. Phys. 2024, 89, 1400–1414. [Google Scholar] [CrossRef]
- Alexander, P.; Natiq, H.; Ghasemi, M.; Karthikeyan, A.; Jafari, S.; Rajagopal, K. Hamilton energy variations in memristive Hindmarsh–Rose neurons under attractive and repulsive couplings. Eur. Phys. J. Plus 2024, 139, 133. [Google Scholar] [CrossRef]
- Zhang, S.; Li, C.; Zheng, J.; Wang, X.; Zeng, Z.; Peng, X. Generating any number of initial offset-boosted coexisting Chua’s double-scroll attractors via piecewise-nonlinear memristor. IEEE Trans. Ind. Electron. 2021, 69, 7202–7212. [Google Scholar] [CrossRef]
- Lin, H.R.; Wang, C.H.; Yu, F.; Hong, Q.H.; Xu, C.; Sun, Y.C. A triple-memristor Hopfield neural network with space multistructure attractors and space initial-offset behaviors. IEEE Trans. Comput. -Aided Des. Integr. Circuits Syst. 2023, 42, 4948–4958. [Google Scholar] [CrossRef]
- Bao, H.; Chen, Z.G.; Chen, M.; Xu, Q.; Bao, B.C. Memristive-cyclic Hopfield neural network: Spatial multi-scroll chaotic attractors and spatial initial-offset coexisting behaviors. Nonlinear Dyn. 2023, 111, 22535–22550. [Google Scholar] [CrossRef]
- Cao, H.L.; Cao, Y.H.; Xu, X.Y.; Mou, J. Dynamical analysis of a discrete Aihara neuron under a locally active memristor as electromagnetic radiation and its DSP implementation. Phys. Scr. 2024, 99, 085226. [Google Scholar] [CrossRef]
- Peng, C.; Li, Z.J.; Wang, M.J.; Ma, M.L. Dynamics in a memristor-coupled heterogeneous neuron network under electromagnetic radiation. Nonlinear Dyn. 2023, 111, 16527–16543. [Google Scholar] [CrossRef]
- Zhang, S.; Peng, X.N.; Wang, X.P.; Chen, C.J.; Zeng, Z.G. A Novel Memristive Multiscroll Multistable Neural Network With Application to Secure Medical Image Communication. IEEE Trans. Circuits Syst. Video Technol. 2025, 35, 1774–1786. [Google Scholar] [CrossRef]
- Gu, Z.M.; Hu, B.; Zhang, H.X.; Wang, X.D.; Qi, Y.N.; Yang, M. Design and Analysis of Memristive Electromagnetic Radiation in a Hopfield Neural Network. Symmetry 2025, 17, 1352. [Google Scholar] [CrossRef]
- Mou, J.; Cao, H.L.; Zhou, N.R.; Cao, Y.H. An FHN-HR Neuron Network Coupled With a Novel Locally Active Memristor and Its DSP Implementation. IEEE Trans. Cybern. 2024, 54, 7333–7342. [Google Scholar] [CrossRef]
- Lai, Q.; Yang, L.; Hu, G.W.; Guan, Z.H.; Iu, H.H.C. Constructing Multiscroll Memristive Neural Network With Local Activity Memristor and Application in Image Encryption. IEEE Trans. Cybern. 2024, 54, 4039–4048. [Google Scholar] [CrossRef]
- Bao, H.; Hua, Z.Y.; Li, H.Z.; Chen, M.; Bao, B.C. Discrete Memristor Hyperchaotic Maps. IEEE Trans. Circuits Syst. I-Regul. Pap. 2021, 68, 4534–4544. [Google Scholar] [CrossRef]
- Ge, X.Z.; Li, C.B.; Li, Y.X.; Zhang, C.; Tao, C.Y. Multiple Alternatives of Offset Boosting in a Symmetric Hyperchaotic Map. Symmetry 2023, 15, 712. [Google Scholar] [CrossRef]
- Wang, M.J.; An, M.Y.; Zhang, X.N.; Iu, H.H.C. Two-variable boosting bifurcation in a hyperchaotic map and its hardware implementation. Nonlinear Dyn. 2023, 111, 1871–1889. [Google Scholar] [CrossRef]
- Chen, Y.H.; Li, H.G.; Song, Y.J.; Zhu, X.Y. Recoding Hybrid Stochastic Numbers for Preventing Bit Width Accumulation and Fault Tolerance. IEEE Trans. Circuits Syst. I-Regul. Pap. 2025, 72, 1243–1255. [Google Scholar] [CrossRef]
















| Equilibrium Points | Non-Zero Eigenvalues | Stabilities | |
|---|---|---|---|
| M = 0 | (0, 0, 0, 0, 0, 0) | −0.3593 ± 3.6242i, 2.4085, −2, −5 | Unstable saddle focus |
| N = 0 | (0, 0, 0, 0, −1, 0) | −0.3644 ± 3.6196i, 2.4087, −2, −5 | Unstable saddle focus |
| (0, 0, 0, 0, 1, 0) | −0.3642 ± 3.6287i, 2.4084, −2, −5 | Unstable saddle focus | |
| M = 1 | (0, 0, 0, 0, −2, 0) | −0.3494 ± 3.6150i, 2.4089, −2, −5 | Unstable saddle focus |
| (0, 0, 0, 0, 0, 0) | −0.3593 ± 3.6242i, 2.4085, −2, −5 | Unstable saddle focus | |
| (0, 0, 0, 0, 2, 0) | −0.3691 ± 3.6332i, 2.4082, −2, −5 | Unstable saddle focus | |
| N = 1 | (0, 0, 0, 0, −3, 0) | −0.3445 ± 3.6104i, 2.409, −2, −5 | Unstable saddle focus |
| (0, 0, 0, 0, −1, 0) | −0.3554 ± 3.6196i, 2.4087, −2, −5 | Unstable saddle focus | |
| (0, 0, 0, 0, 1, 0) | −0.3642 ± 3.6287i, 2.4084, −2, −5 | Unstable saddle focus | |
| (0, 0, 0, 0, 3, 0) | −0.374 ± 3.6378i, 2.408, −2, −5 | Unstable saddle focus |
| No. | Statistical Test Terms | IC-u2 = −2 | IC-u2 = 0 | IC-u2 = 2 |
|---|---|---|---|---|
| 01 | Frequency | 0.801943 | 0.761613 | 0.564310 |
| 02 | Block frequency | 0.491342 | 0.573194 | 0.601349 |
| 03 | Cumulative sums | 0.973154 | 0.619421 | 0.976104 |
| 04 | Runs | 0.534916 | 0.554913 | 0.651943 |
| 05 | Longest run | 0.546122 | 0.310467 | 0.531649 |
| 06 | Rank | 0.879134 | 0.319456 | 0.394614 |
| 07 | FFT | 0.394612 | 0.846120 | 0.761345 |
| 08 | Non-overlapping template | 0.808631 | 0.906491 | 0.961345 |
| 09 | Overlapping template | 0.804164 | 0.763420 | 0.631649 |
| 10 | Universal | 0.391672 | 0.465312 | 0.531946 |
| 11 | Approximate entropy | 0.164973 | 0.109712 | 0.549130 |
| 12 | Random excursions | 0.397611 | 0.491637 | 0.297613 |
| 13 | Random excursions variant | 0.813421 | 0.829460 | 0.531649 |
| 14 | Serial | 0.613401 | 0.651943 | 0.709164 |
| 15 | Linear complexity | 0.791342 | 0.319453 | 0.649132 |
Disclaimer/Publisher’s Note: The statements, opinions and data contained in all publications are solely those of the individual author(s) and contributor(s) and not of MDPI and/or the editor(s). MDPI and/or the editor(s) disclaim responsibility for any injury to people or property resulting from any ideas, methods, instructions or products referred to in the content. |
© 2025 by the authors. Licensee MDPI, Basel, Switzerland. This article is an open access article distributed under the terms and conditions of the Creative Commons Attribution (CC BY) license (https://creativecommons.org/licenses/by/4.0/).
Share and Cite
Liu, H.; Wang, H.; Zhang, W.; Zhang, S. Initial-Offset-Control and Amplitude Regulation in Memristive Neural Network. Symmetry 2025, 17, 1682. https://doi.org/10.3390/sym17101682
Liu H, Wang H, Zhang W, Zhang S. Initial-Offset-Control and Amplitude Regulation in Memristive Neural Network. Symmetry. 2025; 17(10):1682. https://doi.org/10.3390/sym17101682
Chicago/Turabian StyleLiu, Hua, Haijun Wang, Wenhui Zhang, and Suling Zhang. 2025. "Initial-Offset-Control and Amplitude Regulation in Memristive Neural Network" Symmetry 17, no. 10: 1682. https://doi.org/10.3390/sym17101682
APA StyleLiu, H., Wang, H., Zhang, W., & Zhang, S. (2025). Initial-Offset-Control and Amplitude Regulation in Memristive Neural Network. Symmetry, 17(10), 1682. https://doi.org/10.3390/sym17101682

