High-Efficiency Design of Mega-Constellation Based on Genetic Algorithm Coverage Optimization
Abstract
1. Introduction
- (1)
- A Versatile, Multi-Objective Optimization Framework: This paper develops a flexible GA-based model capable of integrating the disparate design requirements of remote sensing, communication, and navigation constellations. The framework supports dual optimization objectives, such as minimizing satellite count or maximizing performance, and can analyze various regional targets and payload configurations.
- (2)
- An Efficiently Integrated Fitness Evaluation Method: A key innovation is the holistic integration of the GA with a high-efficiency coverage analysis engine. By using a refined scattering strategy, the method in this paper establishes an accurate fitness evaluation baseline that significantly mitigates the computational bottleneck often encountered in prior GA applications to large-scale systems.
- (3)
- A Balanced Hybrid Evolutionary Strategy: The GA employs a balanced strategy combining elitism with multi-point crossover and mutation. This approach ensures the iterative search converges toward a near-optimal solution while effectively maintaining population diversity to avoid local optima and adhere to all mission constraints.
2. Methodology
2.1. Constellation Coverage Performance Analysis Method
2.1.1. Uniform Point Distribution Algorithm on the Earth’s Surface
2.1.2. Interaction Mechanism and Calculation Method Between Satellites and the Ground
Conical Mode
Rectangular Mode
- (1)
- Calculate the position rSAT, ECI and vSAT, ECI of the satellite in the J2000 inertial coordinate system.
- (2)
- Using the conversion matrix from the Earth-centered, Earth-fixed (ECEF) coordinate system to the J2000 inertial coordinate system, calculate the position rP, ECI of the imaging point in the J2000 inertial coordinate system:where rP, ECI is the position vector of the ground imaging point in the Earth-centered, Earth-fixed (ECEF) coordinate system, and LECI,ECF is the transformation matrix from the ECEF coordinate system to the J2000 inertial coordinate system.
- (3)
- Using the method for calculating the relative positions of the satellite and the ground imaging point, the vector difference ΔrECI between the satellite and the ground imaging point is calculated in the J2000 inertial coordinate system, based on the satellite position rSAT, ECI and the ground imaging point position rP, ECI in the J2000 inertial coordinate system.
- (4)
- Using the conversion matrix from the J2000 inertial coordinate system to the satellite orbital coordinate system, the vector difference between the satellite and the ground imaging point is then calculated in the satellite orbital coordinate system as Δrorbit:
- (5)
- Based on the vector difference Δrorbit in the satellite orbital coordinate system obtained in the previous section, the required roll angle φ and pitch angle θ for the satellite to point to the ground imaging point can be calculated.LetThen and are calculated as follows:
Regional Target Visibility Estimation
2.1.3. Calculation of Constellation Coverage Performance
2.2. Regional Coverage Constellation Optimization Design
2.2.1. Individual Characteristics of Constellation Design
2.2.2. Fitness Calculation Algorithm Design
Minimizing the Number of Satellites for Given Performance Requirements
Optimizing Performance for a Given Number of Satellites
Recording the Optimal Individual
Selection, Crossover, and Mutation
- (1)
- The probability of individual being selected to inherit into the next generation population is calculated as:This represents the production probability.
- (2)
- Calculate the cumulative probability for individual :
- (3)
- Generate a random number within the interval [0, 1];
- (4)
- If , then individual 1 is selected; otherwise, select individual such that .
3. Simulation and Discussion
3.1. Analysis for Different Target Regions
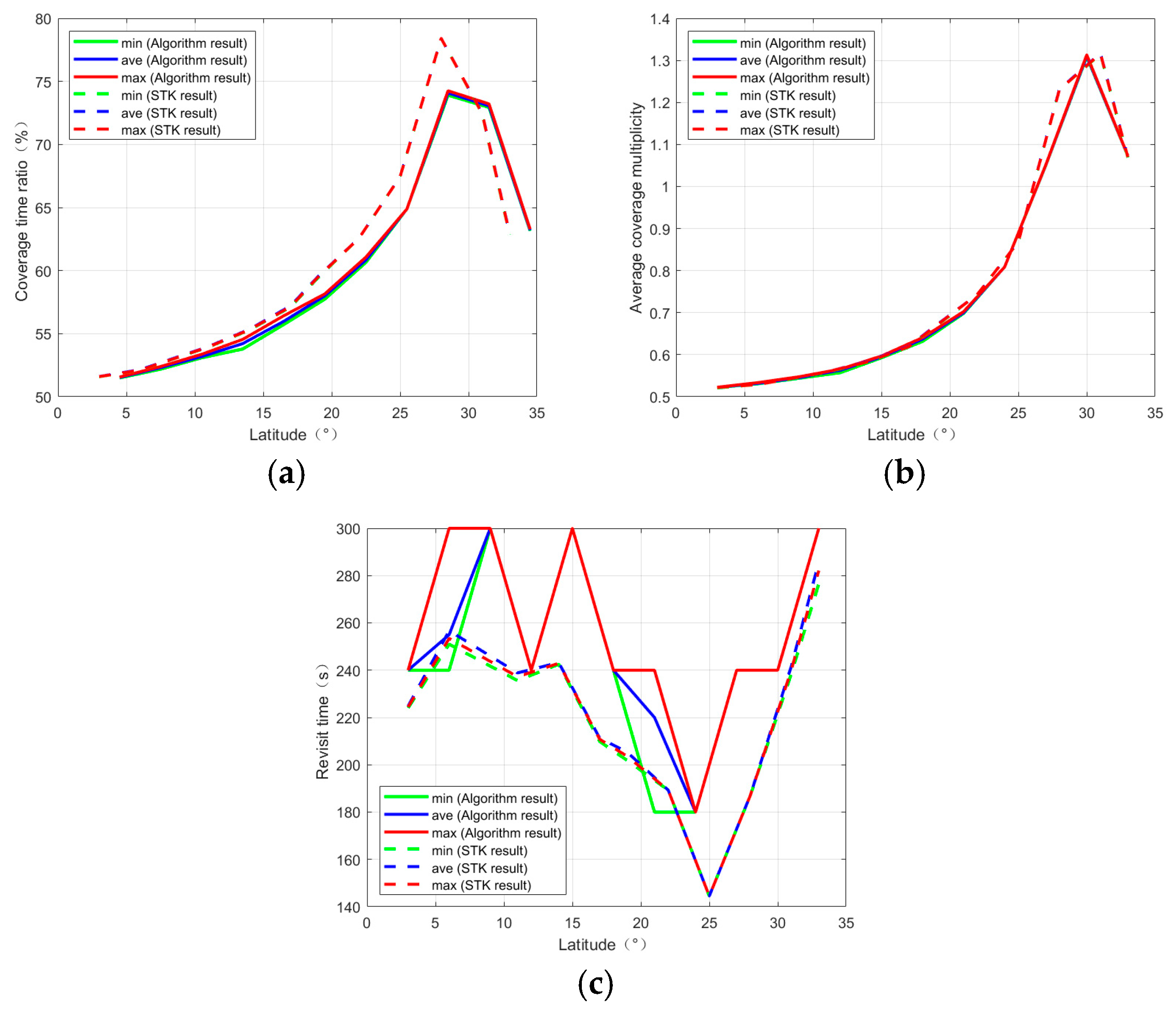
3.1.1. Quadrilateral Target Region
3.1.2. Hexagonal Target Region
3.1.3. Irregular Target Region
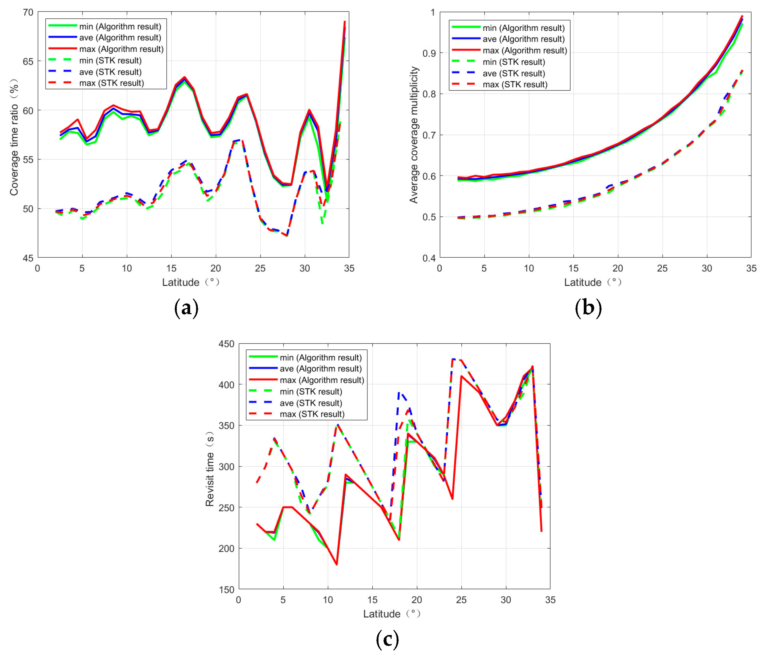
3.2. Analysis for Different Payloads
3.2.1. Electronic Payload
3.2.2. Visible Light Payload
3.3. Analysis for Different Optimization Objectives
3.3.1. Minimizing the Number of Satellites for Given Performance Requirements
3.3.2. Optimizing Performance for a Given Number of Satellites
4. Conclusions
Author Contributions
Funding
Data Availability Statement
Acknowledgments
Conflicts of Interest
References
- Tao, H.; Zhu, Q.; Che, X.; Li, X.; Man, W.; Zhang, Z.; Zhang, G. Impact of Mega Constellations on Geospace Safety. Aerospace 2022, 9, 402. [Google Scholar] [CrossRef]
- Ravishankar, C.; Gopal, R.; Benammar, N.; Zakaria, G.; Huang, X. Next generation global satellite system with mega-constellations. Int. J. Satell. Commun. Netw. 2021, 39, 6–28. [Google Scholar] [CrossRef]
- Yang, K.; Amongin, S. Assessing the Principle of Equitable Access versus Non-Appropriation in the Era of Mega-Constellations. Aerospace 2024, 11, 842. [Google Scholar] [CrossRef]
- Klinkrad, H. Large satellite constellations and related challenges for space debris mitigation. J. Space Saf. Eng. 2017, 4, 59–60. [Google Scholar] [CrossRef]
- Wang, J.; Chi, J.; He, S.; Song, X. The Development Status and Implications of Mega-Constellations in Low Earth Orbit. Chin. Space 2024, 6, 39–45. [Google Scholar]
- Zhang, C.; Jin, J.; Kuang, L.; Yan, J. LEO constellation design methodology for observing multi-targets. Astrodynamics 2018, 2, 121–131. [Google Scholar] [CrossRef]
- Zhang, Y.; Yang, H.; Liang, G.; Chen, Y.; Liu, Z.; Hu, J. Efficient design of constellation for Low-Earth-Orbit object revisit observations. Aerosp. Sci. Technol. 2025, 166, 110633. [Google Scholar] [CrossRef]
- Del Portillo, I.; Cameron, B.G.; Crawley, E.F. A technical comparison of three low earth orbit satellite constellation systems to provide global broadband. Acta Astronaut. 2019, 159, 123–135. [Google Scholar] [CrossRef]
- Gao, Z.; Yao, H.; Zhang, L.; Shi, Y.; Wang, F.; Tao, Y. Architecture Design and Key Technologies of Low-Orbit Mega-Constellation System. Integr. Inf. Netw. Heaven Earth 2024, 5, 43–52. [Google Scholar]
- Zhang, B.; Wu, Y.; Zhao, B.; Chanussot, J.; Hong, D.; Yao, J.; Gao, L. Progress and challenges in intelligent remote sensing satellite systems. IEEE J. Sel. Top. Appl. Earth Obs. Remote Sens. 2022, 15, 1814–1822. [Google Scholar] [CrossRef]
- Kestilä, A. Small Satellite Remote Sensing Constellation for Fast Polar Coverage. J. Small Satell. 2016, 5, 419–434. [Google Scholar]
- Ke, Z.; Huang, S.; Li, Y.; Qiao, K.; Teng, F.; Ruan, H.; Wang, X.; Wei, C.; Ma, X. The Current Status and Key Technologies of Low-Orbit Large-Scale Remote Sensing Constellations. Space Return Remote Sens. 2023, 44, 93–101. [Google Scholar]
- Kang, L.; Tian, J.; Jiang, B. Challenges and Reflections on Remote Sensing Satellite Application Technology in the Era of Mega-Constellations. J. Remote Sens. 2024, 28, 1658–1666. [Google Scholar]
- Wang, H.; Dai, J.; Zhan, Y.; Zhang, Q. Reflections on the Construction of Commercial Remote Sensing Constellations in China. Satell. Appl. 2023, 9, 24–26. [Google Scholar]
- Tianyu, S.; Min, H.; Chaoming, Y. Low-Orbit Large-Scale Communication Satellite Constellation Configuration Performance Assessment. Int. J. Aerosp. Eng. 2022, 2022, 4918912. [Google Scholar]
- Cui, W.; Wang, B.; Gan, X.; Gao, Y.; Li, N. Design of the five layers large-scale low-orbit communication constellation TT&C system. J. Phys. Conf. Ser. 2022, 2290, 012096. [Google Scholar]
- Shen, J.; Liu, H.; Rao, J.; He, Q.; Ben, L.; Wang, Z.; Xiong, Y. LEO Satellite Opportunity Signal Positioning Management for Communication and Navigation Symbiosis. Telecommun. Sci. 2023, 39, 122–128. [Google Scholar]
- Yang, H.; Zhang, Y.; Li, S.; Bai, X. Rapid Determination of Low-Earth-Orbit Occultation-Event Windows. J. Guid. Control Dyn. 2024, 47, 979–985. [Google Scholar] [CrossRef]
- Grewal, M.S. Global navigation satellite systems. Wiley Interdiscip. Rev. Comput. Stat. 2011, 3, 383–384. [Google Scholar] [CrossRef]
- Reid, T.G.; Neish, A.M.; Walter, T.; Enge, P.K. Broadband LEO constellations for navigation. Navig. J. Inst. Navig. 2018, 65, 205–220. [Google Scholar] [CrossRef]
- Peng, P.; Fan, X.; Xu, W.; Kang, G.; Hua, Y.; Xu, C. Low-Orbit Constellation Design and Application for Navigation Augmentation. Shanghai Aerosp. (Chin. Engl.) 2021, 38, 8. [Google Scholar]
- Li, B.; Ge, H.; Ge, M.; Nie, L.; Shen, Y.; Schuh, H. LEO enhanced Global Navigation Satellite System (LeGNSS) for real-time precise positioning services—ScienceDirect. Adv. Space Res. 2019, 63, 73–93. [Google Scholar] [CrossRef]
- Ma, Y.; Zheng, J.; Li, M. Optimization Design of Revisit Constellations Based on Low-Density Grid Coverage Analysis. J. Space Sci. 2020, 40, 8. [Google Scholar]
- Han, C.; Deng, L.; Xu, J. Improved Grid Point Simulation Method for Constellation Coverage Performance Assessment. J. Comput. Simul. 2005, 22, 4. [Google Scholar]
- Qin, R.; Dai, G.; Wang, M.; Peng, L. An Efficient Sampling Grid Point Method for Calculating Constellation Area Coverage. Appl. Res. Comput. 2015, 32, 5. [Google Scholar]
- Li, J.; Wang, W. Adaptive Hierarchical Grid Based on Hexagons and its Application to Point-in-Spherical-Polygon Judgment. J. Softw. 2022, 33, 13. [Google Scholar]
- Xiangyue, H.E.; Haiyang, L.I. Analytical solutions for Earth discontinuous coverage of satellite constellation with repeating ground tracks. Chin. J. Aeronaut. 2022, 35, 275–291. [Google Scholar] [CrossRef]
- Ballard, A.H. Rosette Constellations of Earth Satellites. Aerosp. Electron. Syst. IEEE Trans. 1980, AES-16, 656–673. [Google Scholar] [CrossRef]
- Turner, A. Constellation Design Using Walker Patterns. In Proceedings of the AIAA/AAS Astrodynamics Specialist Conference and Exhibit, Monterey, CA, USA, 5–8 August 2002. [Google Scholar]
- Lang, T. Low Earth orbit satellite constellations for continuous coverage of the mid-latitudes. In Proceedings of the Astrodynamics Conference, San Diego, CA, USA, 29–31 July 1996. [Google Scholar]
- Ma, D.M.; Hong, Z.C.; Lee, T.H.; Chang, B.J. Design of a micro-satellite constellation for communication. Acta Astronaut. 2013, 82, 54–59. [Google Scholar] [CrossRef]
- Mortari, D.; De Sanctis, M.; Lucente, M. Design of Flower Constellations for Telecommunication Services. Proc. IEEE 2011, 99, 2008–2019. [Google Scholar] [CrossRef]
- Mai, Y.; Palmer, P. Fast Algorithm for Prediction of Satellite Imaging and Communication Opportunities. J. Guid. Control Dyn. 2001, 24, 1118–1124. [Google Scholar] [CrossRef]
- Jing, W.; Gao, Y.; Wu, Z.; Ye, X. Optimization Design of Small Satellite Orbits for Observation Missions. J. Comput. Simul. 2015, 32, 5. [Google Scholar]
- Fakoor, M.; Bakhtiari, M.; Soleymani, M. Optimal design of the satellite constellation arrangement reconfiguration process. Adv. Space Res. 2016, 58, 372–386. [Google Scholar] [CrossRef]
- Meng, B.; Han, C. Optimal Design of Hybrid Satellite Constellations Based on an Improved Particle Swarm Optimization Algorithm. Shanghai Aerosp. 2010, 27, 36–39+50. [Google Scholar] [CrossRef]
- Wei, J.; Cen, Z. Optimal Design of Regional Coverage Satellite Constellations Based on Ant Colony Algorithm. J. Commun. 2006, 27, 62–66. [Google Scholar]
- Savitri, T.; Kim, Y.; Jo, S.; Bang, H. Satellite Constellation Orbit Design Optimization with Combined Genetic Algorithm and Semianalytical Approach. Int. J. Aerosp. Eng. 2017, 2017, 17. [Google Scholar] [CrossRef]
- Maral, G.; Deridder, J.J. Basic concepts of low Earth orbit satellite systems for communications. NASA STI/Recon Tech. Rep. N 1991, 92, 11248. [Google Scholar]
- Liu, H.; Wang, H. Orbit Determination of Satellite on the Middle-High Earth Orbit Based on GPS. Chin. J. Space Sci. 2005, 25, 293–297. [Google Scholar]
- Ganz, A.; Gong, Y. Performance study of low Earth-orbit satellite systems. IEEE Trans. Commun. 1994, 42, 1866–1871. [Google Scholar] [CrossRef]
- Matossian, M.G. Improved candidate generation and coverage analysis methods for design optimization of symmetric multisatellite constellations. Acta Astronaut. 1997, 40, 561–571. [Google Scholar] [CrossRef]
- Yang, H.; Zhang, Y.; Bai, X.; Li, S. Real-time satellite constellation scheduling for event-triggered cooperative tracking of space objects. IEEE Trans. Aerosp. Electron. Syst. 2024, 60, 2169–2182. [Google Scholar] [CrossRef]
- Lewis, H.G.; Radtke, J.; Rossi, A.; Beck, J.; Oswald, M.; Anderson, P.; Virgili, B.B.; Krag, H. Sensitivity of the space debris environment to large constellations and small satellites. J. Br. Interplanet. Soc. 2017, 70, 105–117. [Google Scholar]
- Zhang, Z.; E, Z.; Huang, L.; Li, J. Semi-Analytical algorithm for computing satellite-area target visibility. J. Tsinghua Univ. (Sci. Technol.) 2022, 62, 573–580. [Google Scholar]
- E, Z.; Li, J. Fast simulation algorithm for area target visibility using remote sensing satellites. J. Tsinghua Univ. (Sci. Technol.) 2019, 59, 699–704. [Google Scholar]





















| Idx | Quadrilateral-Boundary Target Area | Hexagonal-Boundary Target Area | Irregular-Boundary Target Area | |||
|---|---|---|---|---|---|---|
| Latitude (°) | Longitude (°) | Latitude (°) | Longitude (°) | Latitude (°) | Longitude (°) | |
| 1 | 26.48 | 117.10 | 10.28 | 3.36 | 41.72 | −124.14 |
| 2 | 20.86 | 113.40 | 6.82 | 1.36 | 40.21 | −124.36 |
| 3 | 20.86 | 127.44 | 3.35 | 3.36 | 38.90 | −123.70 |
| 4 | 26.48 | 131.14 | 3.35 | 7.36 | 38.03 | −123.01 |
| 5 | 6.82 | 9.36 | 37.20 | −122.41 | ||
| 6 | 10.28 | 7.36 | 36.29 | −121.89 | ||
| 7 | 35.20 | −120.82 | ||||
| 8 | 34.54 | −120.58 | ||||
| 9 | 34.38 | −119.84 | ||||
| 10 | 34.14 | −119.19 | ||||
| 11 | 34.00 | −118.51 | ||||
| 12 | 33.70 | −118.30 | ||||
| 13 | 32.69 | −117.24 | ||||
| 14 | 32.52 | −117.13 | ||||
| 15 | 32.72 | −114.58 | ||||
| 16 | 33.00 | −114.46 | ||||
| 17 | 33.65 | −114.51 | ||||
| 18 | 34.29 | −114.10 | ||||
| 19 | 34.99 | −114.63 | ||||
| 20 | 39.04 | −119.99 | ||||
| 21 | 41.99 | −120.01 | ||||
| 22 | 41.99 | −123.81 | ||||
| Simulation Parameters | Set Values |
|---|---|
| Cone Field of View of the Payload (°) | 45 |
| Simulation Start Time | 1 January 2024, 00:00:00 |
| Simulation End Time | 2 January 2024, 00:00:00 |
| Time Step for Calculation (s) | 10 |
| Longitude and Latitude Point Step (°) | 1 |
| Latitude (°) | Longitude (°) |
|---|---|
| 32.81 | 120.86 |
| 30.17 | 122.04 |
| 26.62 | 120.99 |
| 21.82 | 114.87 |
| 20.17 | 106.91 |
| 9.39 | 101.65 |
| 5.77 | 102.57 |
| 1.42 | 105.14 |
| 2.61 | 110.20 |
| 6.82 | 116.12 |
| 14.12 | 120.33 |
| 23.07 | 121.25 |
| 24.58 | 121.78 |
| 26.49 | 126.98 |
| 31.10 | 130.60 |
| 34.71 | 128.42 |
| 34.71 | 121.32 |
| Simulation Parameter | Set Value |
|---|---|
| Cone Field of View of the Payload (°) | 45 |
| Simulation Start Time | 1 January 2024, 00:00:00 |
| Simulation End Time | 2 January 2024, 00:00:00 |
| Time Step for Calculation (s) | 60 |
| Grid Point Spacing in Latitude and Longitude (°) | 3 |
| Genetic Algorithm Population Size | 50 |
| Genetic Algorithm Iteration Count | 100 |
Disclaimer/Publisher’s Note: The statements, opinions and data contained in all publications are solely those of the individual author(s) and contributor(s) and not of MDPI and/or the editor(s). MDPI and/or the editor(s) disclaim responsibility for any injury to people or property resulting from any ideas, methods, instructions or products referred to in the content. |
© 2025 by the authors. Licensee MDPI, Basel, Switzerland. This article is an open access article distributed under the terms and conditions of the Creative Commons Attribution (CC BY) license (https://creativecommons.org/licenses/by/4.0/).
Share and Cite
Gu, X.; Zeng, Y.; Ga, L.; Gao, Y. High-Efficiency Design of Mega-Constellation Based on Genetic Algorithm Coverage Optimization. Symmetry 2025, 17, 1619. https://doi.org/10.3390/sym17101619
Gu X, Zeng Y, Ga L, Gao Y. High-Efficiency Design of Mega-Constellation Based on Genetic Algorithm Coverage Optimization. Symmetry. 2025; 17(10):1619. https://doi.org/10.3390/sym17101619
Chicago/Turabian StyleGu, Xunchang, Yiqiang Zeng, Latai Ga, and Yunfeng Gao. 2025. "High-Efficiency Design of Mega-Constellation Based on Genetic Algorithm Coverage Optimization" Symmetry 17, no. 10: 1619. https://doi.org/10.3390/sym17101619
APA StyleGu, X., Zeng, Y., Ga, L., & Gao, Y. (2025). High-Efficiency Design of Mega-Constellation Based on Genetic Algorithm Coverage Optimization. Symmetry, 17(10), 1619. https://doi.org/10.3390/sym17101619

