Asymmetric Transformations of Levulinic Acid to γ-Valerolactone and 5-Methylpyrrolidin-2-one Derivatives: Chiral Compounds with Biological Potential
Abstract
1. Introduction
2. The γ-Valerolactone and 5-Methylpyrrolidin-2-one in Sustainable Chemistry; Chiral Synthons Synthesis
2.1. Asymmetric Synthesis of γ-Valerolactone (GVL) and 5-Methyl-5-methylpyrrolidin-2-one (5-MP)
2.1.1. Metal-Catalyzed Asymmetric Synthesis of GVL
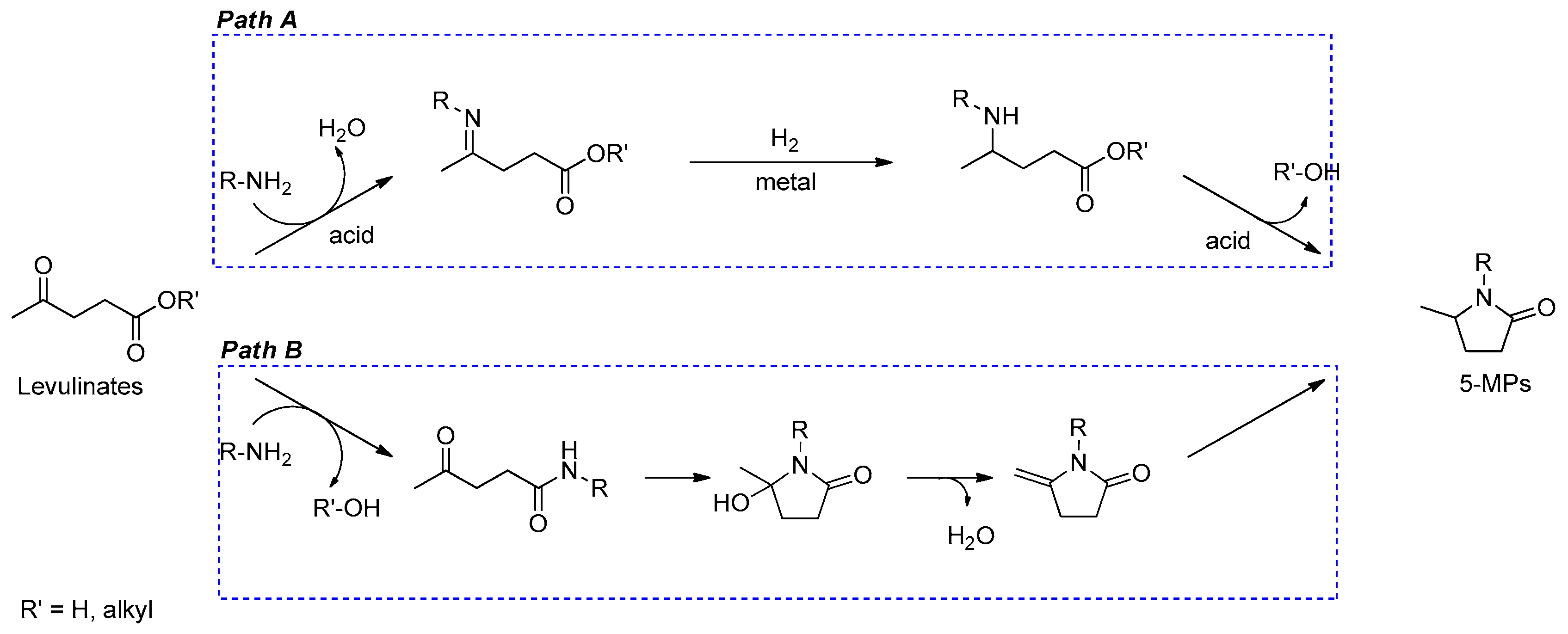
2.1.2. Metal Catalyzed Asymmetric Synthesis of 5-MP
2.2. Biocatalytic Approach
2.2.1. Biocatalytic Approaches to Achieve GVL
2.2.2. Biocatalytic Approaches to 5-MP
2.3. Catalytic Stereoselective Reduction Reaction Conducted Without the Use of Transition Metals
3. Chiral γ-Valerolactone and γ-Lactams with Biological Potential
| Name and Structure | Approval Year Drug Name | Biological Activity | Ref. |
|---|---|---|---|
![]() Spironolactone | 1960 Aldactone, CaroSpir | Spironolactone is an aldosterone antagonist that targets the aldosterone mineralocorticoid receptor (IC50 = 24 nM) and the androgen receptor (IC50 = 77 nM), facilitates podocyte autophagy, and modulates pain. Spironolactone ameliorates hypertension-associated vascular hypertrophy and remodeling by attenuating angiotensin II-induced inflammation, diminishes aldosterone-induced vascular and soft tissue calcification via PIT1-dependent signaling, and mitigates vascular dysfunction in type II diabetic mice by decreasing oxidative stress. | [138,139] |
![]() Canrenone | 1968 Canrenone | Canrenone suppresses the synthesis of eortieosterone, 18-hydroxydesoxyeortieosterone, 18-hydroxycorticosterone, and aldosterone in a dose-dependent fashion. Canrenone decreases platelet-derived growth factor–induced cell proliferation and motility in a dose-dependent manner. Canrenone suppresses the activity of the Na+/H+ exchanger activated by platelet-derived growth factor. | [140,141] |
![]() Drospirenone | 2001 Angeliq SLYND | Drospirenone exhibits a considerable affinity for the progesterone receptor, a moderate affinity for the mineralocorticoid receptor, a lower affinity for the androgen receptor, and a minimal affinity for the glucocorticoid receptor. Drospirenone is an active component in several contraceptive tablets and hormone replacement therapies. | [142,143] |
![]() Eplerenone | 2002 Eplerenone | Eplerenone is a selective, highly specific, and orally bioavailable aldosterone antagonist. Eplerenone is a selective mineralocorticoid receptor antagonist with an IC50 value of 0.081 μM. Eplerenone is applicable for the investigation of hypertension, atherosclerosis, chronic systolic heart failure, and cardiovascular conditions. | [144,145] |
![]() Vorapaxar | 2014 Vorapaxar Zontivity | Vorapaxar is a thrombin receptor antagonist that obstructs thrombin-induced platelet aggregation, a mechanism that differs from other antiplatelet medications. | [146,147] |
| Phase 2 | |
|---|---|
![]() | Aceglatone is a chemical that impedes colon carcinogenesis and can obstruct both the initiation and post-initiation phases of colon carcinogenesis in rats [157]. |
![]() | D-Glucuronolactone is valued for its hepatoprotective effects. Lactone’s hepatoprotection against liver fibrosis can be attributed to the amelioration of oxidative stress and inflammation [158]. The compound also affects joint health, has anti-inflammatory effects on the skin, and reduces high plasma cholesterol and triglycerides [159]. Glucuronolactone is produced by oxidizing starch with nitric acid to glucuronic acid. |
![]() | Dicirenone is a synthetic mineralocorticoid antagonist, particularly utilized for treating disorders associated with elevated aldosterone levels. It has been investigated for its possible therapeutic uses in cardiovascular disorders and hypertension. Dicirenone functions by obstructing aldosterone’s effects, facilitating sodium excretion and potassium retention, which aids in regulating blood pressure and fluid equilibrium in individuals with heart failure or hypertension [160]. |
![]() | Mespirenone is a steroid aldosterone antagonist. Furthermore, it is a highly selective inhibitor of adrenocortical mineralocorticoid production. Mespirenone efficiently inhibits aldosterone-induced hypertension in animals. It demonstrates natriuretic effectiveness [161]. |
![]() | Spirorenone is an androstadienone derivative patented by Schering A.-G as a potent aldosterone antagonist. Spirorenone exhibits an 8.6-fold greater potency than spironolactone, although it demonstrates a reduced affinity for mineralocorticoid receptors [162,163]. |
![]() | Parthenolide is a significant bioactive molecule possessing anti-inflammatory, anti-migraine, and anticancer characteristics. Parthenolide diminishes glutathione levels in cancer cells, resulting in the formation of reactive oxygen species (ROS) and subsequent apoptosis, while preserving healthy cells and shielding them from oxidative stress. Its distinctive capacity to target cancer stem cells and low toxicity underscore its multi-pharmacological potential [164]. |
![]() | Valofane has sedative effects similar to barbiturates and drugs such as primidone. Once metabolized in the body, it converts to the barbiturate proxibarbital, acting as a prodrug [165]. |
![]() | Nivocasan, a new caspase inhibitor, has exhibited hepatoprotective effects in animal models of fibrosis and apoptosis. It has been utilized in studies examining the treatment of HCV infection and nonalcoholic steatohepatitis [166]. |
![]() | Nafithromycin, a novel lactone ketolide antibiotic, is more effective than existing alternatives, providing a safer, quicker, and more palatable remedy for patients. It is tenfold more efficacious than azithromycin and attains similar results with a three-day treatment course, as confirmed by clinical trials. Nafithromycin’s efficacy is notable as it effectively targets both conventional and unconventional infections, providing a robust treatment in a context where no new antibiotic in this category has been introduced globally for over thirty years [167]. |
| Phase 1 | |
![]() | ACT001 inhibited the proliferation and G1/S transition in non-small cell lung cancer cell lines. Through RNA-seq analysis, the natural killer cell triggering the receptor may be the target of ACT001. Moreover, the knockdown natural killer cell triggering the receptor promoted cell proliferation and reversed the effects of ACT001 [168]. |
![]() | Granaticine demonstrates significant activity against Gram-positive bacteria and protozoa, exhibiting cytotoxic effects against many cancer cell lines in vitro at nanomolar to micromolar concentrations, as well as against P-388 lymphocytic leukemia in murine models. It inhibits bacteria by disrupting the tRNALeu aminoacylation pathway, leading to an inability to manufacture proteins and RNAs [169]. |
![]() | Ovatodiolide demonstrates a broad spectrum of biological activities, including the inhibition of cancer stemness in endometrial and hepatocellular carcinomas through mechanisms such as reactive oxygen species (ROS)-mediated DNA damage and cell cycle arrest. It also induces autophagy-mediated cell death in chronic myeloid leukemia cells via the p62-Keap1-Nrf2 signaling pathway. Furthermore, ovatodiolide exhibits cardiovascular protective effects by alleviating high-fat diet-induced dysfunction in ApoE-knockout mice through the attenuation of oxidative stress |
4. Conclusions and Perspective
Author Contributions
Funding
Data Availability Statement
Conflicts of Interest
References
- Mthembu, L.D.; Gupta, R.; Deenadayalu, N. Advances in Biomass-Based Levulinic Acid Production. Waste Biomass Valor. 2023, 14, 1–22. [Google Scholar] [CrossRef]
- Signoretto, M.; Taghavi, S.; Ghedini, E.; Menegazzo, F. Catalytic Production of Levulinic Acid (LA) from Actual Biomass. Molecules 2019, 24, 2760. [Google Scholar] [CrossRef] [PubMed]
- Victor, A.; Sharma, P.; Pulidindi, I.N.; Gedanken, A. Levulinic Acid Is a Key Strategic Chemical from Biomass. Catalysts 2022, 12, 909. [Google Scholar] [CrossRef]
- Werpy, T.; Petersen, G. Top Value Added Chemicals from Biomass: Volume I—Results of Screening for Potential Candidates from Sugars and Synthesis Gas; Department of Energy: Washington, DC, USA, 2004; pp. 1–76. [Google Scholar]
- Bozell, J.J.; Petersen, G.R. Technology Development for the Production of Biobased Products from Biorefinery Carbohydrates—The US Department of Energy’s “Top 10” Revisited. Green Chem. 2010, 12, 539–554. [Google Scholar] [CrossRef]
- Hayes, D.J.; Fitzpatrick, S.; Hayes, M.H.B.; Ross, J.R.H. The Biofine Process–Production of Levulinic Acid, Furfural, and Formic Acid from Lignocellulosic Feedstocks. In Biorefineries—Industrial Processes and Products: Status Quo and Future Directions; Wiley-VCH: Weinheim, Germany, 2006; pp. 139–164. [Google Scholar]
- Kang, S.; Fu, J.; Zhang, G. From Lignocellulosic Biomass to Levulinic Acid: A Review on Acid-Catalyzed Hydrolysis. Renew. Sustain. Energy Rev. 2018, 94, 340–362. [Google Scholar] [CrossRef]
- Wettstein, S.G.; Martin Alonso, D.; Gürbüz, E.I.; Dumesic, J.A. A Roadmap for Conversion of Lignocellulosic Biomass to Chemicals and Fuels. Curr. Opin. Chem. Eng. 2012, 1, 218–224. [Google Scholar] [CrossRef]
- Chatterjee, C.; Pong, F.; Sen, A. Chemical Conversion Pathways for Carbohydrates. Green Chem. 2015, 17, 40–71. [Google Scholar] [CrossRef]
- Jambo, S.A.; Abdulla, R.; Mohd Azhar, S.H.; Marbawi, H.; Gansau, J.A.; Ravindra, P. A Review on Third Generation Bioethanol Feedstock. Renew. Sustain. Energy Rev. 2016, 65, 756–769. [Google Scholar] [CrossRef]
- Yuan, Y.; Macquarrie, D.J. Microwave-Assisted Acid Hydrolysis of Brown Seaweed Ascophyllum nodosum for Bioethanol Production and Characterization of Alga Residue. ACS Sustain. Chem. Eng. 2015, 3, 1359–1365. [Google Scholar] [CrossRef]
- Rihko-Struckmann, L.K.; Oluyinka, O.; Sahni, A.; McBride, K.; Fachet, M.; Ludwig, K.; Sundmacher, K. Transformation of Remnant Algal Biomass to 5-HMF and Levulinic Acid: Influence of a Biphasic Solvent System. RSC Adv. 2020, 10, 24753–24763. [Google Scholar] [CrossRef]
- Meinita, M.D.N.; Amron, A.; Trianto, A.; Harwanto, D.; Caesarendra, W.; Jeong, G.-T.; Choi, J.-S. Levulinic Acid Production from Macroalgae: Production and Promising Potential in Industry. Sustainability 2021, 13, 13919. [Google Scholar] [CrossRef]
- Jeong, G.-T.; Kim, S.-K. Hydrothermal Conversion of Microalgae Chlorella sp. into 5-Hydroxymethylfurfural and Levulinic Acid by Metal Sulfate Catalyst. Biomass Bioenergy 2021, 148, 106053. [Google Scholar] [CrossRef]
- Rackemann, B.D.; Doherty, W. A Review on the Production of Levulinic Acid and Furanics from Sugars. Int. Sugar J. 2013, 115, 28–34. [Google Scholar]
- Zhang, X.; Wilson, K.; Lee, A.F. Heterogeneously Catalyzed Hydrothermal Processing of C5–C6 Sugars. Chem. Rev. 2016, 116, 12328–12368. [Google Scholar] [CrossRef]
- Liu, S.; Cheng, X.; Sun, S.; Chen, Y.; Bian, B.; Liu, Y.; Tong, L.; Yu, H.; Ni, Y.; Yu, S. High-Yield and High-Efficiency Conversion of HMF to Levulinic Acid in a Green and Facile Catalytic Process by a Dual-Function Brønsted-Lewis Acid HScCl4 Catalyst. ACS Omega 2021, 6, 15940–15947. [Google Scholar] [CrossRef]
- Weingarten, R.; Rodriguez-Beuerman, A.; Cao, F.; Luterbacher, J.S.; Martin Alonso, D.; Dumesic, J.A.; Huber, G.W. Selective Conversion of Cellulose to Hydroxymethylfurfural in Polar Aprotic Solvents. ChemCatChem 2014, 6, 2229–2234. [Google Scholar] [CrossRef]
- Mukherjee, A.; Dumont, M.J.; Raghavan, V. Sustainable Production of Hydroxymethylfurfural and Levulinic Acid: Challenges and Opportunities. Biomass Bioenergy 2015, 72, 143–183. [Google Scholar] [CrossRef]
- Gundekari, S.; Kalusulingam, R.; Dakhara, B.; Mani, M.; Mitra, J.; Srinivasan, K. Levulinic Acid- and Furan-Based Multifunctional Materials: Opportunities and Challenges. In Catalysis for Clean Energy and Environmental Sustainability; Pant, K.K., Gupta, S.K., Ahmad, E., Eds.; Springer: Cham, Switzerland, 2021; pp. 1–76. [Google Scholar] [CrossRef]
- You, Z.; Yu, M.; Fu, R.; Nie, X.; Chen, J. Synthesis and Properties of a Novel Levulinic Acid-Based Environmental Auxiliary Plasticizer for Poly(vinyl chloride). Polymers 2024, 16, 361. [Google Scholar] [CrossRef]
- Xu, W.-P.; Chen, X.-F.; Guo, H.-J.; Li, H.-L.; Zhang, H.-R.; Xiong, L.; Chen, X.-D. Conversion of Levulinic Acid to Valuable Chemicals: A Review. J. Chem. Technol. Biotechnol. 2021, 96, 3009–3024. [Google Scholar] [CrossRef]
- Di Menno Di Bucchianico, D.; Wang, Y.; Buvat, J.-C.; Pan, Y.; Casson Moreno, V.; Leveneur, S. Production of Levulinic Acid and Alkyl Levulinates: A Process Insight. Green Chem. 2022, 24, 614–646. [Google Scholar] [CrossRef]
- Khalid, M.; Granollers Mesa, M.; Scapens, D.; Osatiashtian, A. Advances in Sustainable γ-Valerolactone (GVL) Production via Catalytic Transfer Hydrogenation of Levulinic Acid and Its Esters. ACS Sustain. Chem. Eng. 2024, 12, 16494–16517. [Google Scholar] [CrossRef]
- Meng, Y.; Jian, Y.; Chen, D.; Huang, J.; Zhang, H.; Li, H. Reductive Upgrading of Biomass-Based Levulinic Acid to γ-Valerolactone Over Ru-Based Single-Atom Catalysts. Front. Chem. 2022, 10, 895198. [Google Scholar] [CrossRef] [PubMed]
- Sessa, A.; Prete, P.; Cespi, D.; Scotti, N.; Tabanelli, T.; Antonetti, C.; Russo, V.; Cucciniello, R. Levulinic Acid Biorefinery in a Life Cycle Perspective. Curr. Opin. Green Sustain. Chem. 2024, 50, 100963. [Google Scholar] [CrossRef]
- Xue, Z.; Yu, D.; Zhao, X.; Mu, T. Upgrading of Levulinic Acid into Diverse N-Containing Functional Chemicals. Green Chem. 2019, 21, 5449–5468. [Google Scholar] [CrossRef]
- Alonso, D.M.; Wettstein, S.G.; Dumesic, J.A. Gamma-Valerolactone, a Sustainable Platform Molecule Derived from Lignocellulosic Biomass. Green Chem. 2013, 15, 584. [Google Scholar] [CrossRef]
- Horváth, I.T.; Mehdi, H.; Fábos, V.; Boda, L.; Mika, L.T. γ-Valerolactone—A Sustainable Liquid for Energy and Carbon-Based Chemicals. Green Chem. 2008, 10, 238–242. [Google Scholar] [CrossRef]
- Alonso, D.M.; Bond, J.Q.; Dumesic, J.A. Catalytic Conversion of Biomass to Biofuels. Green Chem. 2010, 12, 1493–1513. [Google Scholar] [CrossRef]
- Raj, T.; Chandrasekhar, K.; Banu, R.; Yoon, J.-J.; Kumar, G.; Kim, S.-H. Synthesis of γ-Valerolactone (GVL) and Their Applications for Lignocellulosic Deconstruction for Sustainable Green Biorefineries. Fuel 2021, 303, 121333. [Google Scholar] [CrossRef]
- Chalid, M.; Heeres, H.J.; Broekhuis, A.A. Green Polymer Precursors from Biomass-Based Levulinic Acid. Procedia Chem. 2012, 4, 260–267. [Google Scholar] [CrossRef][Green Version]
- Kerkel, F.; Markiewicz, M.; Stolte, S.; Müller, E.; Kunz, W. The Green Platform Molecule Gamma-Valerolactone—Ecotoxicity, Biodegradability, Solvent Properties, and Potential Applications. Green Chem. 2021, 23, 2962–2976. [Google Scholar] [CrossRef]
- Marinetti, L.J.; Leavell, B.J.; Jones, C.M.; Hepler, B.R.; Isenschmid, D.S.; Commissaris, R.L. Gamma Butyrolactone (GBL) and Gamma Valerolactone (GVL): Similarities and Differences in Their Effects on the Acoustic Startle Reflex and the Conditioned Enhancement of Startle in the Rat. Pharmacol. Biochem. Behav. 2012, 101, 602–608. [Google Scholar] [CrossRef] [PubMed]
- Frisoni, P.; Corli, G.; Bilel, S.; Tirri, M.; Gasparini, L.C.; Alfieri, L.; Neri, M.; De-Giorgio, F.; Marti, M. Effect of Repeated Administration of γ-Valerolactone (GVL) and GHB in the Mouse: Neuroadaptive Changes of the GHB and GABAergic System. Pharmaceuticals 2023, 16, 1225. [Google Scholar] [CrossRef] [PubMed]
- Yan, K.; Jarvis, C.; Gu, J.; Yan, Y. Production and Catalytic Transformation of Levulinic Acid: A Platform for Speciality Chemicals and Fuels. Renew. Sustain. Energy Rev. 2015, 51, 986–997. [Google Scholar] [CrossRef]
- Ye, L.; Han, Y.; Feng, J.; Lu, X. A Review about GVL Production from Lignocellulose: Focusing on the Full Components Utilization. Ind. Crops Prod. 2020, 144, 112031. [Google Scholar] [CrossRef]
- Omoruyi, U.; Page, S.; Hallett, J.; Miller, P.W. Homogeneous Catalyzed Reactions of Levulinic Acid: To γ-Valerolactone and Beyond. ChemSusChem 2016, 9, 2037–2047. [Google Scholar] [CrossRef]
- Upare, P.P.; Lee, J.M.; Hwang, D.W.; Halligudi, S.B.; Hwang, Y.K.; Chang, J.S. Selective Hydrogenation of Levulinic Acid to γ-Valerolactone Over Carbon-Supported Noble Metal Catalysts. J. Ind. Eng. Chem. 2011, 17, 287–292. [Google Scholar] [CrossRef]
- Dutta, S.; Yu, I.K.M.; Tsang, D.C.W.; Ng, Y.H.; Ok, Y.S.; Sherwood, J.; Clark, J.H. Green Synthesis of γ-Valerolactone (GVL) Through Hydrogenation of Biomass-Derived Levulinic Acid Using Non-Noble Metal Catalysts: A Critical Review. Chem. Eng. J. 2019, 372, 992–1006. [Google Scholar] [CrossRef]
- Xue, Z.; Liu, Q.; Wang, J.; Mu, T. Valorization of Levulinic Acid Over Non-Noble Metal Catalysts: Challenges and Opportunities. Green Chem. 2018, 20, 4391–4408. [Google Scholar] [CrossRef]
- Osakada, K.; Ikariya, T.; Yoshikawa, S. Preparation and Properties of Hydride Triphenylphosphine Ruthenium Complexes with 3-Formyl (or Acyl) Propionate and 2-Formyl (or Acyl) Benzoate. J. Organomet. Chem. 1982, 231, 79–90. [Google Scholar] [CrossRef]
- Geilen, F.M.A.; Engendahl, B.; Harwardt, A.; Marquardt, W.; Klankermayer, J.; Leitner, W. Selective and Flexible Transformation of Biomass-Derived Platform Chemicals by a Multifunctional Catalytic System. Angew. Chem. Int. Ed. 2010, 49, 5510–5514. [Google Scholar] [CrossRef]
- Mehdi, H.; Fábos, V.; Tuba, R.; Bodor, A.; Mika, L.T.; Horváth, I.T. Integration of Homogeneous and Heterogeneous Catalytic Processes for a Multi-Step Conversion of Biomass: From Sucrose to Levulinic Acid, γ-Valerolactone, 1,4-Pentanediol, 2-Methyl-Tetrahydrofuran, and Alkanes. Top. Catal. 2008, 48, 49–54. [Google Scholar] [CrossRef]
- Turova, O.V.; Starodubtseva, E.V.; Vinogradov, M.G.; Ferapontov, V.A. Kinetic Study of Asymmetric Hydrogenation of Methyl Levulinate Using the (COD)Ru(2-methylallyl)2–BINAP–HCl Catalytic System. J. Mol. Catal. A Chem. 2009, 311, 61–65. [Google Scholar] [CrossRef]
- Shimizu, H.; Nagasaki, I.; Matsumura, K.; Sayo, N.; Saito, T. Advances in Asymmetric Hydrogenation Catalysis. Acc. Chem. Res. 2007, 40, 1385–1393. [Google Scholar] [CrossRef] [PubMed]
- Phanopoulos, A.; White, A.J.P.; Long, N.J.; Miller, P.W. Catalytic Transformation of Levulinic Acid to 2-Methyltetrahydrofuran Using Ruthenium–N-Triphos Complexes. ACS Catal. 2015, 5, 2500–2512. [Google Scholar] [CrossRef]
- Chowdhury, A.D.; Jackstell, R.; Beller, M. Towards the Efficient Development of Homogeneous Catalytic Transformation to γ-Valerolactone from Biomass-Derived Platform Chemicals. ChemCatChem 2014, 6, 3360–3365. [Google Scholar] [CrossRef]
- Wright, W.R.H.; Palkovits, R. Development of Heterogeneous Catalysts for the Conversion of Levulinic Acid to γ-Valerolactone. ChemSusChem 2012, 5, 1657–1667. [Google Scholar] [CrossRef]
- Yu, Z.; Lu, X.; Bai, H.; Xiong, J.; Feng, W.; Ji, N. Effects of Solid Acid Supports on the Bifunctional Catalysis of Levulinic Acid to γ-Valerolactone: Catalytic Activity and Stability. Chem. Asian J. 2020, 15, 1182–1201. [Google Scholar] [CrossRef]
- Jouyban, A.; Fakhree, M.A.A.; Shayanfar, A. Review of Pharmaceutical Applications of N-Methyl-2-Pyrrolidone. J. Pharm. Pharm. Sci. 2010, 13, 524–535. [Google Scholar] [CrossRef]
- Office of Chemical Safety and Pollution Prevention, U.S. EPA. Preliminary Information on Manufacturing, Processing, Distribution, Use, and Disposal: N-Methylpyrrolidone (NMP). EPA Report, February 2017. Available online: https://www.epa.gov/sites/production/files/2017-02/documents/nmp.pdf (accessed on 2 January 2025).
- Moreno-Marrodan, L.; Liguori, F.; Barbaro, P. Sustainable Processes for the Catalytic Synthesis of Safer Chemical Substitutes of N-Methyl-2-Pyrrolidone. Mol. Catal. 2019, 466, 60–69. [Google Scholar] [CrossRef]
- Hayashi, I.; Yahama, Y. Studies on Levulinic Acid and Its Derivatives (Part III): Synthesis of Pyrrolidone Compounds (Especially Polyvinylmethylpyrrolidone) from Levulinic Acid. J. Chem. Soc. Jpn. 1954, 57, 127–129. [Google Scholar] [CrossRef]
- Morozova, N.A.; Sedavkina, V.A.; Egorova, Y. Substitution of 3H-Furan-2-Ones in Amination and Hydroamination Reactions. Chem. Heterocycl. Compd. 1994, 30, 308–311. [Google Scholar] [CrossRef]
- Du, X.-L.; He, L.; Zhao, S.; Liu, Y.-M.; Cao, Y.; He, H.-Y.; Fan, K.-N. Hydrogen-Independent Reductive Transformation of Carbohydrate Biomass into γ-Valerolactone and Pyrrolidone Derivatives with Supported Gold Catalysts. Angew. Chem. Int. Ed. 2011, 50, 7815–7819. [Google Scholar] [CrossRef] [PubMed]
- Vidal, J.D.; Climent, M.J.; Concepcion, P.; Corma, A.; Iborra, S.; Sabater, M.J. Chemicals from Biomass: Chemoselective Reductive Amination of Ethyl Levulinate with Amines. ACS Catal. 2015, 5, 5812–5821. [Google Scholar] [CrossRef]
- Touchy, A.S.; Siddiki, S.M.A.H.; Kon, K.; Shimizu, K.-i. Heterogeneous Pt Catalysts for Reductive Amination of Levulinic Acid to Pyrrolidones. ACS Catal. 2014, 4, 3045–3050. [Google Scholar] [CrossRef]
- Rodríguez-Padrón, D.; Puente-Santiago, A.R.; Balu, A.M.; Romero, A.A.; Muñoz-Batista, M.J.; Luque, R. Benign-by-Design Orange Peel-Templated Nanocatalysts for Continuous Flow Conversion of Levulinic Acid to N-Heterocycles. ACS Sustain. Chem. Eng. 2018, 6, 16637–16644. [Google Scholar] [CrossRef]
- Xie, C.; Song, J.; Wu, H.; Hu, Y.; Liu, H.; Zhang, Z.; Zhang, P.; Chen, B.; Han, B. Ambient Reductive Amination of Levulinic Acid to Pyrrolidones over Pt Nanocatalysts on Porous TiO₂ Nanosheets. J. Am. Chem. Soc. 2019, 141, 4002–4009. [Google Scholar] [CrossRef]
- Gong, H.; Wei, L.; Li, Q.; Zhang, J.; Wang, F.; Ren, J.; Shi, X.-L. Electron-Rich Ru Supported on N-Doped Coffee Biochar for Selective Reductive Amination of Furfural to Furfurylamine. Langmuir 2024, 40, 8950–8960. [Google Scholar] [CrossRef]
- Chen, J.-Y.; Huang, Y.-B.; Hu, B.; Li, K.-M.; Zhang, J.-L.; Zhang, X.; Yan, X.-Y.; Lu, Q. A Bio-Based Click Reaction Leading to the Dihydropyridazinone Platform for Nitrogen-Containing Scaffolds. Green Chem. 2023, 25, 2672–2680. [Google Scholar] [CrossRef]
- Lu, Q.; Chen, J.; Huang, Y.; Zhang, X.; Yan, X. Method for Preparing Pyrrolidone Compound. CN Patent CN115894324A, 27 August 2024. [Google Scholar]
- Mwamwitwa, K.W.; Kaibere, R.M.; Fimbo, A.M.; Sabitii, W.; Ntinginya, N.E.; Mmbaga, B.T.; Shewiyo, D.H.; Shearer, M.C.; Smith, A.D.; Kaale, E.A. A Retrospective Cross-Sectional Study to Determine Chirality Status of Registered Medicines in Tanzania. Sci. Rep. 2020, 10, 17834. [Google Scholar] [CrossRef]
- Calcaterra, A.; D’Acquarica, I. The Market of Chiral Drugs: Chiral Switches Versus De Novo Enantiomerically Pure Compounds. J. Pharm. Biomed. Anal. 2018, 147, 323–340. [Google Scholar] [CrossRef]
- Francke, W.; Schulz, S. Comprehensive Natural Products Chemistry. In Comprehensive Natural Products Chemistry; Barton, D.H.R., Nakanishi, K., Eds.; Elsevier: Amsterdam, The Netherlands, 1999. [Google Scholar]
- Marella, E.R.; Dahlin, J.; Dam, M.I.; ter Horst, J.; Christensen, H.B.; Sudarsan, S.; Wang, G.; Holkenbrink, C.; Borodina, I. A Single-Host Fermentation Process for the Production of Flavor Lactones from Non-Hydroxylated Fatty Acids. Metab. Eng. 2020, 61, 427–436. [Google Scholar] [CrossRef] [PubMed]
- Sartori, S.K.; Diaz, M.A.N.; Diaz-Muñoz, G. Lactones: Classification, Synthesis, Biological Activities, and Industrial Applications. Tetrahedron 2021, 84, 132001. [Google Scholar] [CrossRef]
- Ohkuma, T.; Noyori, R. Carbonyl Hydrogenation. In Transition Metals for Organic Synthesis, 2nd ed.; Beller, M., Bolm, C., Eds.; Wiley-VCH: Weinheim, Germany, 2004; pp. 29–113. [Google Scholar]
- Ohkuma, T.; Noyori, R. Enantioselective Ketone and β-Keto Ester Hydrogenations (Including Mechanisms). In The Handbook of Homogeneous Hydrogenation; de Vries, J.G., Elsevier, C.J., Eds.; Wiley-VCH: Weinheim, Germany, 2007; Volume 3, pp. 1105–1163. [Google Scholar]
- Ohkuma, T. Asymmetric Hydrogenation of Ketones: Tactics to Achieve High Reactivity, Enantioselectivity, and Wide Scope. Proc. Jpn. Acad. Ser. B 2010, 86, 202–219. [Google Scholar] [CrossRef] [PubMed]
- Ohkuma, T.; Kitamura, M.; Noyori, R. Enantioselective Synthesis of 4-Substituted γ-Lactones. Tetrahedron Lett. 1990, 31, 5509–5512. [Google Scholar] [CrossRef]
- Saito, T.; Yokozawa, T.; Ishizaki, T.; Moroi, T.; Sayo, N.; Miura, T.; Kumobayashi, H. New Chiral Diphosphine Ligands Designed to Have a Narrow Dihedral Angle in the Biaryl Backbone. Adv. Synth. Catal. 2001, 343, 264–267. [Google Scholar] [CrossRef]
- Tukacs, J.M.; Fridrich, B.; Dibó, G.; Székely, E.; Mika, L.T. Direct Asymmetric Reduction of Levulinic Acid to γ-Valerolactone: Synthesis of a Chiral Platform Molecule. Green Chem. 2015, 17, 5189–5195. [Google Scholar] [CrossRef]
- Tukacs, J.M.; Novák, M.; Dibó, G.; Mika, L.T. An Improved Catalytic System for the Reduction of Levulinic Acid to γ-Valerolactone. Catal. Sci. Technol. 2014, 4, 2908. [Google Scholar] [CrossRef]
- Benincori, T.; Rizzo, S.; Pilati, T.; Ponti, A.; Sada, M.; Pagliarini, E.; Ratti, S.; Celentano, G.; de Ferraf, L.; Sannicolo, F. Process-Scale Preparation of Enantiomerically Pure γ-Lactones by Asymmetric Hydrogenation of γ-Ketoesters and Comparative Tests of the Sensory Properties of Some Antipodes. Tetrahedron Asymmetry 2004, 15, 2289–2297. [Google Scholar] [CrossRef]
- Starodubtseva, E.V.; Turova, O.V.; Vinogradov, M.G.; Gorshkova, L.S.; Ferapontov, V.A. Enantioselective Hydrogenation of Levulinic Acid Esters in the Presence of the RuI-BINAP-HCl Catalytic System. Russ. Chem. Bull. Int. Ed. 2005, 54, 2374–2378. [Google Scholar] [CrossRef]
- Starodubtseva, E.V.; Turova, O.V.; Vinogradov, M.G.; Gorshkova, L.S.; Ferapontov, V.A.; Struchkova, M.I. A Convenient Route to Chiral γ-Lactones via Asymmetric Hydrogenation of γ-Ketoesters Using the RuCl3–BINAP–HCl Catalytic System. Tetrahedron 2008, 64, 11713–11717. [Google Scholar] [CrossRef]
- Deng, C.-Q.; Liu, J.; Luo, J.-H.; Gan, L.-J.; Deng, J.; Fu, Y. Proton-Promoted Nickel-Catalyzed Asymmetric Hydrogenation of Aliphatic Ketoacids. Angew. Chem. Int. Ed. 2022, 61, e202115983. [Google Scholar] [CrossRef]
- Xiao, G.; Xie, C.; Guo, Q.; Zi, G.; Hou, G.; Huang, Y. Nickel-Catalyzed Asymmetric Hydrogenation of γ-Keto Acids, Esters, and Amides to Chiral γ-Lactones and γ-Hydroxy Acid Derivatives. Org. Lett. 2022, 24, 2722–2727. [Google Scholar] [CrossRef] [PubMed]
- Osawa, T.; Tanabe, Y. Facile Synthesis of Optically Active γ-Valerolactone from Levulinic Acid and Its Esters Using a Heterogeneous Enantio-Selective Catalyst. Catal. Lett. 2018, 148, 824–830. [Google Scholar] [CrossRef]
- Yang, Z.; Wei, X.; Liu, D.; Liu, Y.; Sugiya, M.; Imamoto, T.; Zhang, W. P-Stereogenic Pincer Iridium Complexes: Synthesis, Structural Characterization and Application in Asymmetric Hydrogenation. J. Organomet. Chem. 2015, 791, 41–45. [Google Scholar] [CrossRef]
- Li, M.-L.; Li, Y.; Pan, J.-B.; Li, Y.-H.; Song, S.; Zhu, S.-F.; Zhou, Q.-L. Carboxyl Group-Directed Iridium-Catalyzed Enantioselective Hydrogenation of Aliphatic γ-Ketoacids. ACS Catal. 2020, 10, 10032–10039. [Google Scholar] [CrossRef]
- Hua, Y.-Y.; Bin, H.-Y.; Wei, T.; Cheng, H.-A.; Lin, Z.-P.; Fu, X.-F.; Li, Y.-Q.; Xie, J.-H.; Yan, P.-C.; Zhou, Q.-L. Iridium-Catalyzed Asymmetric Hydrogenation of γ- and δ-Ketoacids for Enantioselective Synthesis of γ- and δ-Lactones. Org. Lett. 2020, 22, 818–822. [Google Scholar] [CrossRef]
- Xie, J.-H.; Liu, X.-Y.; Yang, X.-H.; Xie, J.-B.; Wang, L.-X.; Zhou, Q.-L. Chiral Iridium Catalysts Bearing Spiro Pyridine-Aminophosphine Ligands Enable Highly Efficient Asymmetric Hydrogenation of β-Aryl β-Ketoesters. Angew. Chem. Int. Ed. 2012, 51, 201–203. [Google Scholar] [CrossRef]
- Yang, X.-H.; Xie, J.-H.; Zhou, Q.-L. Chiral Spiro Iridium Catalysts with SpiroPAP Ligands: Highly Efficient for Asymmetric Hydrogenation of Ketones and Ketoesters. Org. Chem. Front. 2014, 1, 190–193. [Google Scholar] [CrossRef]
- Yan, P.-C.; Zhu, G.-L.; Xie, J.-H.; Zhang, X.-D.; Zhou, Q.-L.; Li, Y.-Q.; Shen, W.-H.; Che, D.-Q. Industrial Scale-Up of Enantioselective Hydrogenation for the Asymmetric Synthesis of Rivastigmine. Org. Process Res. Dev. 2013, 17, 307–312. [Google Scholar] [CrossRef]
- Zhu, G.-L.; Zhang, X.-D.; Yang, L.-J.; Xie, J.-H.; Che, D.-Q.; Zhou, Q.-L.; Yan, P.-C.; Li, Y.-Q. Ir/SpiroPAP Catalyzed Asymmetric Hydrogenation of a Key Intermediate of Montelukast: Process Development and Potential Impurities Study. Org. Process Res. Dev. 2016, 20, 81–85. [Google Scholar] [CrossRef]
- Vitaku, E.; Smith, D.T.; Njardarson, J.T. Analysis of the Structural Diversity, Substitution Patterns, and Frequency of Nitrogen Heterocycles among U.S. FDA Approved Pharmaceuticals. J. Med. Chem. 2014, 57, 10257–10274. [Google Scholar] [CrossRef] [PubMed]
- Nugent, T.C.; El-Shazly, M. Chiral Amine Synthesis—Recent Developments and Trends for Enamide Reduction, Reductive Amination, and Imine Reduction. Adv. Synth. Catal. 2010, 352, 753–819. [Google Scholar] [CrossRef]
- Wang, C.; Xiao, J. Asymmetric Reductive Amination. In Stereoselective Formation of Amines; Li, W., Zhang, X., Eds.; Topics in Current Chemistry; Springer: Berlin/Heidelberg, Germany, 2013; Volume 343. [Google Scholar] [CrossRef]
- Shi, Y.; Tan, X.; Gao, S.; Zhang, Y.; Wang, J.; Zhang, X.; Yin, Q. Direct Synthesis of Chiral NH Lactams via Ru-Catalyzed Asymmetric Reductive Amination/Cyclization Cascade of Keto Acids/Esters. Org. Lett. 2020, 22, 2707–2713. [Google Scholar] [CrossRef] [PubMed]
- Chakrabortty, S.; Zheng, S.; Kallmeier, F.; Baráth, E.; Tin, S.; de Vries, J.G. Ru-Catalyzed Direct Asymmetric Reductive Amination of Bio-Based Levulinic Acid and Ester for the Synthesis of Chiral Pyrrolidinone. ChemSusChem 2023, 16, e202202353. [Google Scholar] [CrossRef]
- Alcántara, A.R.; Domínguez de María, P.; Littlechild, J.A.; Schürmann, M.; Sheldon, R.A.; Wohlgemuth, R. Biocatalysis as Key to Sustainable Industrial Chemistry. ChemSusChem 2022, 15, e202102709. [Google Scholar] [CrossRef]
- Sheldon, R.A.; Brady, D.; Bode, M.L. The Hitchhiker’s Guide to Biocatalysis: Recent Advances in the Use of Enzymes in Organic Synthesis. Chem. Sci. 2020, 11, 2587–2605. [Google Scholar] [CrossRef]
- Marshall, J.R.; Mangas-Sanchez, J.; Turner, N.J. Expanding the Synthetic Scope of Biocatalysis by Enzyme Discovery and Protein Engineering. Tetrahedron 2021, 82, 131926. [Google Scholar] [CrossRef]
- Jiang, W.; Fang, B. Synthesizing Chiral Drug Intermediates by Biocatalysis. Appl. Biochem. Biotechnol. 2020, 192, 146–179. [Google Scholar] [CrossRef]
- Rossino, G.; Robescu, M.S.; Licastro, E.; Tedesco, C.; Martello, I.; Maffei, L.; Vincenti, G.; Bavaro, T.; Collina, S. Biocatalysis: A Smart and Green Tool for the Preparation of Chiral Drugs. Chirality 2022, 34, 1403–1418. [Google Scholar] [CrossRef]
- Silva, R.; Coelho, E.; Aguiar, T.Q.; Domingues, L. Microbial Biosynthesis of Lactones: Gaps and Opportunities Towards Sustainable Production. Appl. Sci. 2021, 11, 8500. [Google Scholar] [CrossRef]
- Hollmann, F.; Kara, S.; Opperman, D.J.; Wang, Y. Biocatalytic Synthesis of Lactones and Lactams. Chem. Asian J. 2018, 13, 3601–3610. [Google Scholar] [CrossRef] [PubMed]
- Liu, J.; Zhi, L. Cascade Biotransformations via Enantioselective Reduction, Oxidation, and Hydrolysis: Preparation of (R)-δ-Lactones from 2-Alkylidenecyclopentanones. ACS Catal. 2013, 3, 908–911. [Google Scholar] [CrossRef]
- Kara, S.; Spickermann, D.; Schrittwieser, J.H.; Weckbecker, A.; Leggewie, C.; Arends, I.W.C.E.; Hollmann, F. Access to Lactone Building Blocks via Horse Liver Alcohol Dehydrogenase-Catalyzed Oxidative Lactonization. ACS Catal. 2013, 3, 2436–2439. [Google Scholar] [CrossRef]
- Warner, M.C.; Shevchenko, G.A.; Jouda, S.; Bogár, K.; Bäckvall, J.-E. Dynamic Kinetic Resolution of Homoallylic Alcohols: Application to the Synthesis of Enantiomerically Pure 5,6-Dihydropyran-2-ones and δ-Lactones. Chem. Eur. J. 2013, 19, 13859–13864. [Google Scholar] [CrossRef]
- Kamal, A.; Sandbhor, M.; Shaik, A.A. Application of a One-Pot Lipase Resolution Strategy for the Synthesis of Chiral γ- and δ-Lactones. Tetrahedron Asymmetry 2003, 14, 1575–1580. [Google Scholar] [CrossRef]
- Díaz-Rodríguez, A.; Borzęcka, W.; Lavandera, I.; Gotor, V. Stereodivergent Preparation of Valuable γ- or δ-Hydroxy Esters and Lactones Through One-Pot Cascade or Tandem Chemoenzymatic Protocols. ACS Catal. 2014, 4, 386–393. [Google Scholar] [CrossRef]
- Datrika, R.; Kallam, S.R.; Khobare, S.R.; Gajare, V.S.; Kommi, M.; Mohan, H.R.; Siddaiah, V.; Pratap, T.V. Stereoselective Synthesis of (R)-(−) and (S)-(+)-Phoracantholide I from (R)-(+)-γ-Valerolactone. Tetrahedron Asymmetry 2016, 27, 603–607. [Google Scholar] [CrossRef]
- Götz, K.; Liese, A.; Ansorge-Schumacher, M.; Hilterhaus, L. A Chemo-Enzymatic Route to Synthesize (S)-γ-Valerolactone from Levulinic Acid. Appl. Microbiol. Biotechnol. 2013, 97, 3865–3873. [Google Scholar] [CrossRef]
- Yeon, Y.J.; Park, H.Y.; Park, K.; Yoo, Y.J. Structural Basis for the Substrate Specificity of 3-Hydroxybutyrate Dehydrogenase. Biotechnol. Bioprocess Eng. 2016, 21, 364–372. [Google Scholar] [CrossRef]
- Lee, D.; Yeon, Y.J. Enantioselective Chemoenzymatic Synthesis of (R)-γ-Valerolactone from Levulinic Acid. Process Biochem. 2020, 90, 113–117. [Google Scholar] [CrossRef]
- Busto, E.; Gotor-Fernández, V.; Gotor, V. Hydrolases in the Stereoselective Synthesis of N-Heterocyclic Amines and Amino Acid Derivatives. Chem. Rev. 2011, 111, 3998–4035. [Google Scholar] [CrossRef] [PubMed]
- Mourelle-Insua, Á.; Zampieri, L.A.; Lavandera, I.; Gotor-Fernández, V. Conversion of γ- and δ-Keto Esters into Optically Active Lactams. Transaminases in Cascade Processes. Adv. Synth. Catal. 2017, 360, 686–695. [Google Scholar] [CrossRef]
- Qian, Y.; Chu, L.; Zhang, X.; Lu, Z.; Bai, Y. Stereoselective Synthesis of Structurally Diverse (S)-Lactams via an Engineered Amine Dehydrogenase. Adv. Synth. Catal. 2022, 364, 4289–4299. [Google Scholar] [CrossRef]
- Jiang, J.; Chen, X.; Feng, J.; Wu, Q.; Zhu, D. Substrate Profile of an ω-Transaminase from Burkholderia vietnamiensis and Its Potential for the Production of Optically Pure Amines and Unnatural Amino Acids. J. Mol. Catal. B Enzym. 2014, 100, 32–39. [Google Scholar] [CrossRef]
- Mayol, O.; David, S.; Darii, E.; Debard, A.; Mariage, A.; Pellouin, V.; Petit, J.-L.; Salanoubat, M.; de Berardinis, V.; Zaparucha, A.; et al. Asymmetric Reductive Amination by a Wild-Type Amine Dehydrogenase from the Thermophilic Bacteria Petrotoga mobilis. Catal. Sci. Technol. 2016, 6, 7421–7428. [Google Scholar] [CrossRef]
- Lai, Z.; Wu, T.; Zhou, F.; Xu, Y.; Mu, X. Construction of an Enzymatic-Chemical Cascade Involving Engineered Amine Dehydrogenases for the Synthesis of Chiral Non-α-Amino Acids by Substrate Engineering and Enzyme Evolution. Mol. Catal. 2024, 559, 114099. [Google Scholar] [CrossRef]
- Gao, Y.; Cui, H.; Zong, Y.; Lei, Z. Synthesis Method of (R)-5-Methylpyrrolidone-2-One. CN Patent 110845385A, 28 February 2020. [Google Scholar]
- Kitson, R.R.A.; Millemaggi, A.; Taylor, R.J.K. The Renaissance of α-Methylene-γ-Butyrolactones: New Synthetic Approaches. Angew. Chem. Int. Ed. 2009, 48, 9426–9451. [Google Scholar] [CrossRef]
- Ma, Y.; Guo, C.; Wang, Y.; Liu, X. Effects of DL-3-n-Butylphthalide on Neurological Function, Hemodynamics and Hcy Concentration in Cerebral Hemorrhage: A Systematic Review and Meta-Analysis. Front. Pharmacol. 2024, 15, 1360932. [Google Scholar] [CrossRef]
- Chen, X.-Q.; Qiu, K.; Liu, H.; He, Q.; Bai, J.-H.; Lu, W. Application and Prospects of Butylphthalide for the Treatment of Neurologic Diseases. Chin. Med. J. 2019, 132, 1467–1477. [Google Scholar] [CrossRef]
- Abdoulaye, I.A.; Guo, Y.J. A Review of Recent Advances in Neuroprotective Potential of 3-N-Butylphthalide and Its Derivatives. Biomed Res. Int. 2016, 2016, 5012341. [Google Scholar] [CrossRef]
- Amagata, T.; Usami, Y.; Minoura, K.; Ito, T.; Numata, A. Cytotoxic Substances Produced by a Fungal Strain from a Sponge: Physico-Chemical Properties and Structures. J. Antibiot. 1998, 51, 33–40. [Google Scholar] [CrossRef] [PubMed]
- Braun, G.H.; Ramos, H.P.; Candido, C.; Ana, B.B.; Pedroso, C.; Rita, N.; Siqueira, K.A.; Soares, M.A.; Dias, G.M.; Magalhães, L.G.; et al. Evaluation of Antileishmanial Activity of Harzialactone A Isolated from the Marine-Derived Fungus Paecilomyces sp. Nat. Prod. Res. 2019, 35, 1644–1647. [Google Scholar] [CrossRef] [PubMed]
- Shiekhattar, R.; Aston-Jones, G. Local Application of Bicuculline Potentiates NMDA-Receptor-Mediated Sensory Responses of Brain Noradrenergic Neurons. Synapse 1992, 10, 54–61. [Google Scholar] [CrossRef] [PubMed]
- Johnston, G.A.R. Advantages of an Antagonist: Bicuculline and Other GABA Antagonists. Br. J. Pharmacol. 2013, 169, 328–336. [Google Scholar] [CrossRef]
- Gaston, M.S.; Cid, M.P.; Salvatierra, N.A. Bicuculline, a GABAA_AA-Receptor Antagonist, Blocked HPA Axis Activation Induced by Ghrelin Under Acute Stress. Behav. Brain Res. 2017, 320, 464–472. [Google Scholar] [CrossRef]
- Nasution, M.A.F.; Parikesit, A.A.; Tambunan, U.S.F. Discovery of Novel Drug Candidates Based on Herbaric Acid Derivates as Potential Inhibitors of the Hedgehog Signaling Pathway in Cervical Cancer Therapeutics. J. Phys. Conf. Ser. 2020, 1442, 012052. [Google Scholar] [CrossRef]
- Jadulco, R.; Brauers, G.; Edrada, R.A.; Ebel, R.; Wray, V.; Sudarsono; Proksch, P. New Metabolites from Sponge-Derived Fungi Curvularia lunata and Cladosporium herbarum. J. Nat. Prod. 2002, 65, 730–733. [Google Scholar] [CrossRef]
- Yoganathan, K.; Rossant, C.; Ng, S.; Huang, Y.; Butler, M.S.; Buss, A.D. 10-Methoxydihydrofuscin, Fuscinarin, and Fuscin: Novel Antagonists of the Human CCR5 Receptor from Oidiodendron griseum. J. Nat. Prod. 2003, 66, 1116–1117. [Google Scholar] [CrossRef]
- Tomioka, K.; Kubota, Y.; Kawasaki, H.; Koga, K. Design, Synthesis, and Antitumor Activity of Steganacin Aza-Analogues. Tetrahedron Lett. 1989, 30, 2949–2952. [Google Scholar] [CrossRef]
- Zavala, F.; Guenard, D.; Robin, J.P.; Brown, E. Structure–Antitubulin Activity Relationship in Steganacin Congeners and Analogues. Inhibition of Tubulin Polymerization In Vitro by (+/−)-Isodeoxypodophyllotoxin. J. Med. Chem. 1980, 23, 546–549. [Google Scholar] [CrossRef]
- Liu, Y.-P.; Zhao, W.-H.; Feng, X.-Y.; Zhang, Z.-J.; Zong, K.; Sun, Z.-G.; Zheng, Y.-T.; Fu, Y.-H. Novel Tetrahydrofuran Derivatives from Trigonostemon howii with Their Potential Anti-HIV-1 Activities. Bioorg. Chem. 2018, 79, 111–114. [Google Scholar] [CrossRef] [PubMed]
- Fernandes, R.A.; Chaudhari, D.A.; Jha, A.K. Evolution of Strategies in Paraconic Acids Synthesis. Asian J. Org. Chem. 2020, 9, 1478–1501. [Google Scholar] [CrossRef]
- Gehlawat, A.; Prakash, R.; Pandey, S.K. An Efficient Enantioselective Approach to Multifunctionalized γ-Butyrolactone: Concise Synthesis of (+)-Nephrosteranic Acid. RSC Adv. 2020, 10, 19655–19658. [Google Scholar] [CrossRef] [PubMed]
- Le Floch, C.; Le Gall, E.; Léonel, E.; Martens, T.; Cresteil, T. Synthesis and Cytotoxic Evaluation of Novel Paraconic Acid Analogs. Bioorg. Med. Chem. Lett. 2011, 21, 7054–7058. [Google Scholar] [CrossRef]
- Fernandes, R.A.; Chowdhury, A.K. Stereoselective Total Synthesis of (+)-Nephrosteranic Acid and (+)-Roccellaric Acid Through Asymmetric Dihydroxylation and Johnson-Claisen Rearrangement. Eur. J. Org. Chem. 2011, 2011, 1106–1112. [Google Scholar] [CrossRef]
- Armanini, D.; Sabbadin, C.; Donà, G.; Clari, G.; Bordin, L. Aldosterone Receptor Blockers Spironolactone and Canrenone: Two Multivalent Drugs. Expert Opin. Pharmacother. 2014, 15, 909–912. [Google Scholar] [CrossRef]
- Chelliah, M.V.; Eagen, K.; Guo, Z.; Chackalamannil, S.; Xia, Y.; Tsai, H.; Greenlee, W.J.; Ahn, H.S.; Kurowski, S.; Boykow, G.; et al. Himbacine-Derived Thrombin Receptor Antagonists: C7-Spirocyclic Analogues of Vorapaxar. ACS Med. Chem. Lett. 2014, 5, 561–565. [Google Scholar] [CrossRef]
- Sun, J.; Zhang, C.; Su, X.; Zhou, H.; Zhou, S.; Jiang, M.; Fang, B. Several First-Line Antihypertensives Act on Fibrosarcoma Progression and PD1ab Blockade Therapy. J. Orthop. Surg. Res. 2024, 19, 147. [Google Scholar] [CrossRef]
- Wang, X.; Zhang, W.; Na, J.; Huo, Y.; Wang, Y.; Liu, K. Spironolactone Inhibits Cardiomyocyte Hypertrophy by Regulating the Ca2+/Calcineurin/p-NFATc3 Pathway. J. Healthc. Eng. 2021, 2021, 3843830. [Google Scholar] [CrossRef]
- Datta, P.; Dasgupta, A. A New Turbidometric Digoxin Immunoassay on the ADVIA 1650 Analyzer Is Free from Interference by Spironolactone, Potassium Canrenoate, and Their Common Metabolite Canrenone. Ther. Drug Monit. 2003, 25, 478–482. [Google Scholar] [CrossRef]
- Quarello, F.; Boero, R.; Guarena, C.; Rosati, C.; Beltrame, G.; Colombo, P.; Berto, I.M.; Aimino, M.; Formica, M.; Piccoli, G. Effects of Canrenone on Na⁺, K⁺ ATPase Activity, Arterial Pressure, and Plasma Potassium Concentration in Uremic Hemodialyzed Patients. In Drugs, Systemic Diseases, and the Kidney; Amerio, A., Coratelli, P., Campese, V.M., Massry, S.G., Eds.; Advances in Experimental Medicine and Biology; Springer: Boston, MA, USA, 1989; Volume 252, pp. 297–301. [Google Scholar] [CrossRef]
- Regidor, P.A.; Mueller, A.; Mayr, M. Pharmacological and Metabolic Effects of Drospirenone as a Progestin-Only Pill Compared to Combined Formulations with Estrogen. Womens Health 2023, 19, 17455057221147388. [Google Scholar] [CrossRef] [PubMed]
- Muhn, P.; Krattenmacher, R.; Beier, S.; Elger, W.; Schillinger, E. Drospirenone: A Novel Progestogen with Antimineralocorticoid and Antiandrogenic Activity. Pharmacological Characterization in Animal Models. Contraception 1995, 51, 99–110. [Google Scholar] [CrossRef] [PubMed]
- Piotrowski, D.W. Mineralocorticoid Receptor Antagonists for the Treatment of Hypertension and Diabetic Nephropathy. J. Med. Chem. 2012, 55, 7957–7966. [Google Scholar] [CrossRef]
- Stier, C.T., Jr. Eplerenone: A Selective Aldosterone Blocker. Cardiovasc. Drug Rev. 2003, 21, 169–184. [Google Scholar] [CrossRef] [PubMed]
- Frampton, J.E. Vorapaxar: A Review of Its Use in the Long-Term Secondary Prevention of Atherothrombotic Events. Drugs 2015, 75, 797–808. [Google Scholar] [CrossRef] [PubMed]
- Jianliang, J.; Hu, P.; Wang, J.; Jiang, J.; Lai, J. Vorapaxar Stabilizes Permeability of the Endothelial Barrier Under Cholesterol Stimulation via the AKT/JNK and NF-κB Signaling Pathways. Mol. Med. Rep. 2019, 19, 5291–5300. [Google Scholar] [CrossRef]
- Walaszek, Z.; Hanausek-Walaszek, M.; Minton, J.P.; Webb, T.E. Dietary Glucarate as Anti-Promoter of 7,12-Dimethylbenz[a]anthracene-Induced Mammary Tumorigenesis. Carcinogenesis 1986, 7, 1463–1466. [Google Scholar] [CrossRef]
- Mathema, V.B.; Koh, Y.S.; Thakuri, B.C.; Sillanpää, M. Parthenolide, a Sesquiterpene Lactone, Expresses Multiple Anti-Cancer and Anti-Inflammatory Activities. Inflammation 2012, 35, 560–565. [Google Scholar] [CrossRef]
- Seca, A.M.L.; Silva, A.M.S.; Pinto, D.C.G.A. Parthenolide and Parthenolide-Like Sesquiterpene Lactones as Multiple Targets Drugs: Current Knowledge and New Developments. In Studies in Natural Products Chemistry; Atta-ur-Rahman, Ed.; Elsevier: Amsterdam, The Netherlands, 2017; Volume 52, pp. 337–372. [Google Scholar] [CrossRef]
- Lambrey, B.; Compagnon, P.L.; Jacquot, C. Pharmacokinetics of 14C^{14}C14C-2-Allophanyl-2-Allyl-γ-Valero-Lactone: A Prodrug of Proxibarbal in Rats. Eur. J. Drug Metab. Pharmacokinet. 1981, 6, 161–169. [Google Scholar] [CrossRef]
- Li, K.; van Delft, M.F.; Dewson, G. Too Much Death Can Kill You: Inhibiting Intrinsic Apoptosis to Treat Disease. EMBO J. 2021, 40, e107341. [Google Scholar] [CrossRef]
- Zhou, M.; Wu, L.; Kang, W.; Li, Y.; Zhang, G.; Zhang, J.; Duan, S.; Li, J.; Wang, T.; Xu, Y.; et al. In Vitro Activity of Lactone Ketolide Nafithromycin (WCK 4873) Against Streptococcus pneumoniae Isolates Enriched with Macrolide-Resistance Phenotype Collected from Mainland China. JAC-Antimicrob. Resist. 2022, 4, dlac103. [Google Scholar] [CrossRef] [PubMed]
- Xi, X.; Liu, N.; Wang, Q.; Chu, Y.; Yin, Z.; Ding, Y.; Lu, Y. ACT001, a Novel PAI-1 Inhibitor, Exerts Synergistic Effects in Combination with Cisplatin by Inhibiting PI3K/AKT Pathway in Glioma. Cell Death Dis. 2019, 10, 757. [Google Scholar] [CrossRef] [PubMed]
- Nishiyama, T.; Enomoto, N.; Nagayasu, R.; Ueda, K. Organocatalytic Activity of Granaticin and Its Involvement in Bactericidal Function. Sci. Rep. 2022, 12, 7046. [Google Scholar] [CrossRef] [PubMed]
- Lien, H.M.; Wu, H.Y.; Hung, C.L.; Chen, C.J.; Wu, C.L.; Chen, K.W.; Huang, C.L.; Chang, S.J.; Chen, C.C.; Lin, H.J.; et al. Antibacterial Activity of Ovatodiolide Isolated from Anisomeles indica Against Helicobacter pylori. Sci. Rep. 2019, 9, 4205. [Google Scholar] [CrossRef]
- Morita, N.; Walaszek, Z.; Kinjo, T.; Nishimaki, T.; Hanausek, M.; Slaga, T.J.; Mori, H.; Yoshimi, N. Effects of Synthetic and Natural In Vivo Inhibitors of β-Glucuronidase on Azoxymethane-Induced Colon Carcinogenesis in Rats. Mol. Med. Rep. 2008, 1, 741–746. [Google Scholar] [CrossRef]
- Chen, P.J.; Chiu, C.H.; Tseng, J.K.; Yang, K.T.; Chen, Y.C. Ameliorative Effects of D-Glucuronolactone on Oxidative Stress and Inflammatory/Fibrogenic Responses in Livers of Thioacetamide-Treated Rats. J. Funct. Foods 2015, 14, 154–162. [Google Scholar] [CrossRef]
- Molinari, F.; Romano, D.; Villa, R.; Clark, J. Production of Fine Chemicals by (Bio)Transformation of Agro-Food Byproducts and Wastes. In Comprehensive Biotechnology; Moo-Young, M., Ed.; Academic Press: Cambridge, MA, USA, 2011; pp. 547–556. [Google Scholar] [CrossRef]
- Patel, V.; Joharapurkar, A.; Jain, M. Role of Mineralocorticoid Receptor Antagonists in Kidney Diseases. Drug Dev. Res. 2021, 82, 341–363. [Google Scholar] [CrossRef]
- Hildebrand, M.; Krause, W.; Kühne, G.; Hoyer, G.A. Pharmacokinetics and Metabolism of Mespirenone, a New Aldosterone Antagonist, in Rat and Cynomolgus Monkey. Xenobiotica 1987, 17, 623–634. [Google Scholar] [CrossRef]
- Krause, W.; Kühne, G. Isolation and Identification of Spirorenone Metabolites from the Monkey (Macaca fascicularis). Steroids 1982, 40, 81–90. [Google Scholar] [CrossRef]
- Krause, W.; Sack, C.; Seifert, W. Pharmacokinetics of the New Aldosterone Antagonist, Spirorenone, in Healthy Volunteers After Single and Repeated Daily Doses. Eur. J. Clin. Pharmacol. 1983, 25, 231–236. [Google Scholar] [CrossRef]
- Ghantous, A.; Sinjab, A.; Herceg, Z.; Darwiche, N. Parthenolide: From Plant Shoots to Cancer Roots. Drug Discov. Today 2013, 18, 894–905. [Google Scholar] [CrossRef] [PubMed]
- Traversa, U.; Puppini, P.; Jacquot, C.; Vertua, R. Effect of an Atypical Barbiturate, the 2-Allophanyl-2-Allyl-4-Valerolactone (Valofan), on Exploratory Behaviour and Brain Serotonin Concentrations in Mice. J. Pharmacol. 1985, 16, 279–290. [Google Scholar] [PubMed]
- Wilson, C.H.; Kumar, S. Caspases in Metabolic Disease and Their Therapeutic Potential. Cell Death Differ. 2018, 25, 1010–1024. [Google Scholar] [CrossRef] [PubMed]
- Nandanwar, M.; Chavan, R.; Kansagara, A.; Ahmed Patel, M.; Patel, A.; Yeole, R.; Patel, M. Preclinical Safety Evaluation of Nafithromycin (WCK 4873) with Emphasis on Liver Safety in Rat and Dog. Regul. Toxicol. Pharmacol. 2021, 122, 104889. [Google Scholar] [CrossRef]
- Zhao, M.; Qin, T.; Huang, D. ACT001 Inhibits the Proliferation of Non-Small Cell Lung Cancer Cells by Upregulating NKTR Expression. Thorac. Cancer 2022, 13, 1772–1782. [Google Scholar] [CrossRef]
- Deng, M.-R.; Li, Y.; Luo, X.; Zheng, X.-L.; Chen, Y.; Zhang, Y.-L.; Zhang, W.; Zhou, H.; Zhu, H. Discovery of Mycothiogranaticins from Streptomyces vietnamensis GIMV4.0001 and the Regulatory Effect of Mycothiol on the Granaticin Biosynthesis. Front. Chem. 2021, 9, 802279. [Google Scholar] [CrossRef]
- Caruano, J.; Muccioli, G.G.; Robiette, R. Biologically active γ-lactams: Synthesis and natural sources. Org. Biomol. Chem. 2016, 14, 10134–10156. [Google Scholar] [CrossRef]
- European Bioinformatics Institute. ChEMBL—Advanced Search Substructure. Available online: https://www.ebi.ac.uk/chembl/advanced_search/substructure (accessed on 12 November 2024).
- Gershengorn, M.C.; Osman, R. Molecular and Cellular Biology of Thyrotropin-Releasing Hormone Receptors. Physiol. Rev. 1996, 76, 175–191. [Google Scholar] [CrossRef]
- Urayama, A.; Yamada, S.; Kimura, R.; Zhang, J.; Watanabe, Y. Neuroprotective Effect and Brain Receptor Binding of Taltirelin, a Novel Thyrotropin-Releasing Hormone (TRH) Analogue, in Transient Forebrain Ischemia of C57BL/6J Mice. Life Sci. 2002, 72, 601–607. [Google Scholar] [CrossRef]
- Muchatuta, N.A.; Paech, M.J. Management of Postoperative Nausea and Vomiting: Focus on Palonosetron. Ther. Clin. Risk Manag. 2009, 5, 21–34. [Google Scholar]
- Gan, T.J.; Gu, J.; Singla, N.; Chung, F.; Pearman, M.H.; Bergese, S.D.; Habib, A.S.; Candiotti, K.A.; Mo, Y.; Huyck, S.; et al. Rolapitant for the Prevention of Postoperative Nausea and Vomiting: A Prospective, Double-Blinded, Placebo-Controlled Randomized Trial. Anesth. Analg. 2011, 112, 804–812. [Google Scholar] [CrossRef] [PubMed]
- Dang, L.; White, D.W.; Gross, S.; Bennett, B.D.; Bittinger, M.A.; Driggers, E.M.; Fantin, V.R.; Jang, H.G.; Jin, S.; Keenan, M.C.; et al. Cancer-Associated IDH1 Mutations Produce 2-Hydroxyglutarate. Nature 2009, 462, 739–744. [Google Scholar] [CrossRef] [PubMed]
- Birendra, K.C.; DiNardo, C.D. Evidence for Clinical Differentiation and Differentiation Syndrome in Patients with Acute Myeloid Leukemia and IDH1 Mutations Treated with the Targeted Mutant IDH1 Inhibitor, AG-120. Clin. Lymphoma Myeloma Leuk. 2016, 16, 460–465. [Google Scholar] [CrossRef]
- Mascitti, V.; Maurer, T.S.; Robinson, R.P.; Bian, J.; Boustany-Kari, C.M.; Brandt, T.; Collman, B.M.; Kalgutkar, A.S.; Klenotic, M.K.; Leininger, M.T.; et al. Discovery of a Clinical Candidate from the Structurally Unique Dioxa-Bicyclo [3.2.1]Octane Class of Sodium-Dependent Glucose Cotransporter 2 Inhibitors. J. Med. Chem. 2011, 54, 2952–2960. [Google Scholar] [CrossRef]
- Kalgutkar, A.S.; Tugnait, M.; Zhu, T.; Kimoto, E.; Miao, Z.; Mascitti, V.; Yang, X.; Tan, B.; Walsky, R.L.; Chupka, J.; et al. Preclinical Species and Human Disposition of PF-04971729, a Selective Inhibitor of the Sodium-Dependent Glucose Cotransporter 2 and Clinical Candidate for the Treatment of Type 2 Diabetes Mellitus. Drug Metab. Dispos. 2011, 39, 1609–1619. [Google Scholar] [CrossRef]
- Feling, R.H.; Buchanan, G.O.; Mincer, T.J.; Kauffman, C.A.; Jensen, P.R.; Fenical, W. Salinosporamide A: A Highly Cytotoxic Proteasome Inhibitor from a Novel Microbial Source, a Marine Bacterium of the New Genus Salinospora. Angew. Chem. Int. Ed. 2003, 42, 355–357. [Google Scholar] [CrossRef]
- Levin, N.; Spencer, A.; Harrison, S.J.; Chauhan, D.; Burrows, F.J.; Anderson, K.C.; Reich, S.D.; Richardson, P.G.; Trikha, M. Marizomib Irreversibly Inhibits Proteasome to Overcome Compensatory Hyperactivation in Multiple Myeloma and Solid Tumour Patients. Br. J. Haematol. 2016, 174, 711–720. [Google Scholar] [CrossRef] [PubMed] [PubMed Central]
- Ferrario, B.E.; Garuti, S.; Braido, F.; Canonica, G.W. Pidotimod: The State of Art. Clin. Mol. Allergy 2015, 13, 8. [Google Scholar] [CrossRef]
- Old, D.W.; Dinh, D.T. Substituted γ-Lactams as Therapeutic Agents. U.S. Patent Application US20070203222A1, 30 August 2007. [Google Scholar]
- Burk, R.M.; Im, W.B. Compounds and Methods for Skin Repair. PCT International Application WO2014078434A1, 22 May 2014. [Google Scholar]
- DrugBank Database. Simenepag Isopropyl (DB12977). Available online: https://go.drugbank.com/drugs/DB12977 (accessed on 24 November 2024).
- DrugBank Database. Aganepag Isopropyl (DB16085). Available online: https://go.drugbank.com/drugs/DB16085 (accessed on 24 November 2024).
- Akkerhuis, K.M.; van Den Brand, M.J.; van Der Zwaan, C.; Peels, H.O.; Suryapranata, H.; van Der Wieken, L.R.; Stibbe, J.; Hoffmann, J.; Baardman, T.; Deckers, J.W.; et al. Pharmacodynamics and Safety of Lefradafiban, an Oral Platelet Glycoprotein IIb/IIIa Receptor Antagonist, in Patients with Stable Coronary Artery Disease Undergoing Elective Angioplasty. Heart 2001, 85, 444–450. [Google Scholar] [CrossRef]
- Negwer, M. Organic-Chemical Drugs and Their Synonyms: (An International Survey); Akademie Verlag, Berlin, Germany 1994; ISBN 9783055001567. Available online: https://books.google.ru/books?id=1ghtAAAAMAAJ (accessed on 2 January 2025).
- Di Fabio, R.; Alvaro, G.; Braggio, S.; Carletti, R.; Gerrard, P.A.; Griffante, C.; Marchioro, C.; Pozzan, A.; Melotto, S.; Poffe, A.; et al. Identification, Biological Characterization, and Pharmacophoric Analysis of a New Potent and Selective NK1 Receptor Antagonist Clinical Candidate. Bioorg. Med. Chem. 2013, 21, 6264–6273. [Google Scholar] [CrossRef]
- Smith, J.; Allman, D.; Badri, H.; Miller, R.; Morris, J.; Satia, I.; Wood, A.; Trower, M.K. The Neurokinin-1 Receptor Antagonist Orvepitant Is a Novel Antitussive Therapy for Chronic Refractory Cough: Results from a Phase 2 Pilot Study (VOLCANO-1). Chest 2020, 157, 111–118. [Google Scholar] [CrossRef] [PubMed]
- Elia, J.; Ungal, G.; Kao, C.; Ambrosini, P.; Rapoport, J.L.; Berrettini, W.; Devoto, M.; Hakonarson, H. Fasoracetam in Adolescents with ADHD and Glutamatergic Gene Network Variants. Nat. Commun. 2018, 9, 4. [Google Scholar] [CrossRef] [PubMed]
- Roullet, E.; Cesaro, P.; Simon-Lavoine, N.; Degos, J.D.; Marteau, R. Nonathymulin Treatment of Multiple Sclerosis: Double-Blind Pilot Study. Acta Neurol. Scand. 1989, 80, 622–625. [Google Scholar] [CrossRef] [PubMed]
- Amor, B.; Dougados, M.; Mery, C.; Dardenne, M.; Bach, J.F. Nonathymulin in Rheumatoid Arthritis: Two Double Blind, Placebo Controlled Trials. Ann. Rheum. Dis. 1987, 46, 549–554. [Google Scholar] [CrossRef]
- Campanati, A.; Giannoni, M.; Scalise, A.; De Blasio, S.; Giuliano, A.; Giuliodori, K.; Ganzetti, G.; Bolletta, E.; Di Benedetto, G.; Offidani, A. Efficacy and Safety of Topical Pidobenzone 4% as Adjuvant Treatment for Solar Lentigines: Result of a Randomized, Controlled, Clinical Trial. Dermatology 2016, 232, 478–483. [Google Scholar] [CrossRef]
- Gang, F.-L.; Zhu, F.; Li, X.-T.; Wei, J.-L.; Wu, W.-J.; Zhang, J.-W. Synthesis and Bioactivities Evaluation of l-Pyroglutamic Acid Analogues from Natural Product Lead. Bioorg. Med. Chem. 2018, 26, 4644–4649. [Google Scholar] [CrossRef]
- Atack, J.R. The Benzodiazepine Binding Site of GABA(A) Receptors as a Target for the Development of Novel Anxiolytics. Expert Opin. Investig. Drugs 2005, 14, 601–618. [Google Scholar] [CrossRef]
- Clerc, T.; Jomier, M.; Chautan, M.; Portugal, H.; Senft, M.; Pauli, A.M.; Laruelle, C.; Morel, O.; Lafont, H.; Chanussot, F. Mechanisms of Action in the Liver of Crilvastatin, a New Hydroxymethylglutaryl-Coenzyme A Reductase Inhibitor. Eur. J. Pharmacol. 1993, 235, 59–68. [Google Scholar] [CrossRef]
- Clerc, T.; Sbarra, V.; Diaconescu, N.; Portugal, H.; Pauli, A.M.; Chanussot, F.; Lafont, H. Effect of Crilvastatin, a New Cholesterol Lowering Agent, on Unesterified LDL-Cholesterol Metabolism into Bile Salts by Rat Isolated Hepatocytes. Br. J. Pharmacol. 1995, 114, 624–631. [Google Scholar] [CrossRef]
- Müller, T.H.; Weisenberger, H.; Brickl, R.; Narjes, H.; Himmelsbach, F.; Krause, J. Profound and Sustained Inhibition of Platelet Aggregation by Fradafiban, a Nonpeptide Platelet Glycoprotein IIb/IIIa Antagonist, and Its Orally Active Prodrug, Lefradafiban, in Men. Circulation 1997, 96, 1130–1138. [Google Scholar] [CrossRef]
- Scarborough, R.M.; Gretler, D.D. Platelet Glycoprotein IIb-IIIa Antagonists as Prototypical Integrin Blockers: Novel Parenteral and Potential Oral Antithrombotic Agents. J. Med. Chem. 2000, 43, 3453–3473. [Google Scholar] [CrossRef] [PubMed]
- Lowe, M.C.; Horita, A. The Role of Biotransformation on the Pharmacology of the Monoamine Oxidase Inhibitor 5-Oxo-N-(d-trans-2-Phenylcyclopropyl)-1-2-Pyrrolidone-Carboxamide (EX-4883). Eur. J. Pharmacol. 1973, 21, 46–52. [Google Scholar] [CrossRef] [PubMed]
- Frank, M.; Haeberle, H.; Henry, M.; Pachur, T.; Santagostino, M.; Stertz, U.; Trebing, T.; Werthmann, U. Co-Crystals and Salts of CCR3-Inhibitors. U.S. Patent US8742115B2, 3 June 2014. [Google Scholar]
- Gunning, P.T.; Park, J.S.; Ahmar, S.; Cabral, A.D.; Tin, G.K.C.; Rasheed, S.; Abdelsdayem, A.; Armstrong, D.; Frere, G.A.; Quilates, E.J.; et al. Benzenesulfonamide Derivatives and a Process for the Medical Use Thereof. PCT International Application WO2021009568A1, 21 January 2021. [Google Scholar]
- Lee, K.L.; Ambler, C.M.; Anderson, D.R.; Boscoe, B.P.; Bree, A.G.; Brodfuehrer, J.I.; Chang, J.S.; Choi, C.; Chung, S.; Curran, K.J.; et al. Discovery of Clinical Candidate 1-{[(2S,3S,4S)-3-Ethyl-4-fluoro-5-oxopyrrolidin-2-yl]methoxy}-7-methoxyisoquinoline-6-carboxamide (PF-06650833), a Potent, Selective Inhibitor of Interleukin-1 Receptor Associated Kinase 4 (IRAK4), by Fragment-Based Drug Design. J. Med. Chem. 2017, 60, 5521–5542. [Google Scholar] [CrossRef]
- Seganish, W.M. Inhibitors of Interleukin-1 Receptor-Associated Kinase 4 (IRAK4): A Patent Review (2012–2015). Expert Opin. Ther. Pat. 2016, 26, 917–932. [Google Scholar] [CrossRef]
- Butler, D.E.; Leonard, J.D.; Caprathe, B.W.; L’Italien, Y.J.; Pavia, M.R.; Hershenson, F.M.; Poschel, P.H.; Marriott, J.G. Amnesia-Reversal Activity of a Series of Cyclic Imides. J. Med. Chem. 1987, 30, 498–503. [Google Scholar] [CrossRef]
- Black, A.; Chang, T. Metabolic disposition of rolziracetam* in laboratory animals. Eur. J. Drug Metab. Pharmacokinet. 1987, 12, 135–143. [Google Scholar] [CrossRef]
- Kumar, A.; Bachhawat, A.K. Pyroglutamic Acid: Throwing Light on a Lightly Studied Metabolite. Curr. Sci. 2012, 102, 288–297. [Google Scholar]
- Tan, X.; Vrana, K.; Ding, Z.-M. Cotinine: Pharmacologically Active Metabolite of Nicotine and Neural Mechanisms for Its Actions. Front. Behav. Neurosci. 2021, 15, 758252. [Google Scholar] [CrossRef]
- Donohue, S.R.; Krushinski, J.H.; Pike, V.W.; Chernet, E.; Phebus, L.; Chesterfield, A.K.; Felder, C.C.; Halldin, C.; Schaus, J.M. Synthesis, Ex Vivo Evaluation, and Radiolabeling of Potent 1,5-Diphenylpyrrolidin-2-one Cannabinoid Subtype-1 Receptor Ligands as Candidates for In Vivo Imaging. J. Med. Chem. 2008, 51, 5833–5842. [Google Scholar] [CrossRef]
- Chambers, L.J.; Gleave, R.; Senger, S.; Walter, D.S. Substituted N-phenylmethyl-5-oxo-proline-2-amides as P2X7-Receptor Antagonists and Their Methods of Use. PCT International Application WO2008003697, 30 May 2012. [Google Scholar]
- Sharma, A.; Sharma, M.; Bharate, S.B. N-Benzyl Piperidine Fragment in Drug Discovery. ChemMedChem 2024, 20, e202400384. [Google Scholar] [CrossRef] [PubMed]
- Chen, R.; Yuan, D.; Ma, J. Advances of Biphenyl Small-Molecule Inhibitors Targeting PD-1/PD-L1 Interaction in Cancer Immunotherapy. Future Med. Chem. 2021, 14, 97–113. [Google Scholar] [CrossRef] [PubMed]
- Bai, Y.-R.; Seng, D.-J.; Xu, Y.; Zhang, Y.-D.; Zhou, W.-J.; Jia, Y.-Y.; Song, J.; He, Z.-X.; Liu, H.-M.; Yuan, S. A Comprehensive Review of Small Molecule Drugs Approved by the FDA in 2023: Advances and Prospects. Eur. J. Med. Chem. 2024, 276, 116706. [Google Scholar] [CrossRef] [PubMed]
























| Entry | Catalyst | T, [°C] | pH2, [bar] | Time, [h] | GVL, Yield (ee) [%] | Ref |
|---|---|---|---|---|---|---|
| 1 [a] | Ru(COOCH3)2/S-BINAP | 25 | 100 | 110 | 96 (99) | [72] |
| 2 [a] | (R)-[(RuCl(SEGPHOS))]2(μ-Cl)3][NH2(CH3)2] | 50 | 50 | 20 | 99 (99) | [73] |
| 3 [a] | (S)-[(RuCl(SEGPHOS))]2(μ-Cl)3][NH2(CH3)2] | 150 | 60 | 20 | 96 (82) | [74] |
| 4 [b] | [Ru-tetraMe-BITIOP](OTf)2 | 25 | 100 | 10 | 99 (98) | [76] |
| 5 [b] | [Ru-tetraMe-BITIOP](OTf)2 | 45 | 2 | 48 | 99 (98) | [76] |
| 6 [a] | [Ru(Me-allyl)2(COD)]/S-BINAP-HCl | 60 | 60 | 5 | 69 (98.5) | [77] |
| 7 [a] | [RuCl2(C6H6)]2-S-BINAP-HCl | 80 | 60 | 18 | 95 (98.5) | [77] |
| 8 [a] | [RuCl2(COD)]n-S-BINAP | 70 | 60 | 8 | 54 (98) | [77] |
| 9 [a] | [RuCl(p-MeC6H4i-Pr)(S-BINAP)]Cl-HCl | 65 | 60 | 20 | 17 | [77] |
| 10 [a] | RuCl3–R-BINAP–HCl | 65 | 60 | 10 | 88 (99) | [78] |
| 11 [c] | Ni(OTf)2/(S,S)-Ph-BPE | 50 | 1 | 12 | 96 (95) | [79] |
| 12 [c] | Ni(OTf)2/(S)-BINAP | 50 | 1 | 12 | 88 (37) | [79] |
| 13 [c] | Ni(OTf)2/(S)-MeO-BIPHEP | 50 | 1 | 12 | 87 (22) | [79] |
| 14 [c] | Ni(OTf)2/(S)-SynPhos | 50 | 1 | 12 | 37 (14) | [79] |
| 15 [c] | Ni(OTf)2/(S)-DuPhos | 50 | 1 | 12 | 8 (31) | [79] |
| 16 [c] | Ni(OTf)2/(S)-DuanPhos | 50 | 1 | 12 | 92 (56) | [79] |
| 17 [c] | Ni(OTf)2/(S,S)-iPr-BPE | 50 | 1 | 12 | 6 (57) | [79] |
| 18 [c] | Ni(OTf)2/(S,S)-ChiraPhos | 50 | 1 | 12 | trace | [79] |
| 19 [c] | Ni(OTf)2/(S,S)-DIPAMP | 50 | 1 | 12 | 5 (34) | [79] |
| 20 [c] | Ni(OTf)2/(S,S)-BenzP* | 50 | 1 | 12 | 90 (68) | [79] |
| 21 [c] | Ni(OTf)2/(S,S)-QuinoxP* | 50 | 1 | 12 | 95 (80) | [79] |
| 22 [c] | Ni(OAc)2-4H2O/(R,R)-QuinoxP* | 60 | 80 | 24 | 94 (84) | [80] |
| 23 [a] | (R,R)-tartaric acid-modified-Ni | 100 | 90 | 20 | 93 (46) | [81] |
| 24 [c] | PNPtBuMeIrH2Cl | 100 | 50 | 24 | 60 (14) | [82] |
| 25 [c] | Ir-SIPHOX | 65 | 6 | 24 | 91 (93) | [83] |
| 26 [c] | Ir-SpiroPAP | rt | 10 | 2 | 87 (56) | [84] |
| Name and Structure | Approval Year Drug Name | Biological Activity | Ref. |
|---|---|---|---|
![]() Protirelin | 1976 Thypinone | Protirelin is a highly conserved neuropeptide that exerts hormonal control over thyroid-stimulating hormone (TSH) levels and also performs neuromodulatory functions. TRH has been used clinically for the treatment of spinocerebellar degeneration and disturbance of consciousness in humans. | [172,173] |
![]() Rolapitant | 2015 Varubi | Rolapitant is a selective, long-acting NK1 receptor antagonist used to prevent delayed nausea and vomiting associated with cancer chemotherapy with a Ki of 0.66 nM. It is effective in combination with other antiemetics and does not interact with CYP3A4, minimizing certain drug interactions. | [174,175] |
![]() Ivosidenib | 2018 Tibsovo | Ivosidenib (AG-120) is an orally active inhibitor of the isocitrate dehydrogenase 1 mutant (mIDH1) enzyme. In vivo studies have demonstrated that it exhibits profound reduction in the levels of d-2-hydroxyglutamate (2-HG). Ivosidenib is an anticancer medication that has been developed for the treatment of acute myeloid leukaemia (AML) and cholangiocarcinoma. | [176,177] |
![]() Ertugliflozin Pidolate | 2017 Segluromet | Ertugliflozin L-pyroglutamic acid is a highly potent, selective, and orally active inhibitor of the sodium-dependent glucose cotransporter 2 (SGLT2). Its IC50 value for human SGLT2 (h-SGLT2) is 0.877 nM, and it has been demonstrated to have significant potential in the treatment of type 2 diabetes mellitus. | [178,179] |
| Phase 3 | |
|---|---|
![]() | Marizomib (salinosporamide A) is a potent, irreversible inhibitor of the 20S proteasome, which disrupts protein homeostasis and induces apoptosis in cancer cells. Produced by the marine bacteria Salinispora tropica and Salinispora arenicola, marizomib has shown efficacy in the treatment of multiple myeloma and solid tumors [180,181]. |
| Phase 2 | |
![]() | Pidotimod is a synthetic dipeptide with immunomodulatory properties. It enhances both innate and adaptive immunity by stimulating dendritic cells, NK cells, and cytokine production (e.g., IFN-γ, IL-12). Clinical trials have demonstrated that it is effective in reducing respiratory tract infections, particularly in vulnerable populations such as children and the elderly [182]. |
![]() | Simenepag is a selective prostaglandin EP2 receptor agonist with an EC₅₀ of 5 nM, demonstrating favorable intraocular pressure-lowering effects. It is currently being developed as simenepag isopropyl [183]. |
![]() | Aganepag is a selective and potent prostanoid EP2 receptor agonist (EC50 = 0.19 nM) with no activity at EP4. It has been demonstrated to possess therapeutic potential in the treatment of wounds, the prevention of scarring and the management of glaucoma, through the reduction of intraocular pressure [184]. |
![]() | Simenepag isopropyl has been used in clinical trials investigating the management of ocular hypertension and glaucoma, including those with an open angle [185]. |
![]() | Aganepag isopropyl is currently being investigated in a clinical trial (NCT01110499) examining the safety and efficacy of AGN-210961 ophthalmic solution when compared with bimatoprost ophthalmic solution in patients diagnosed with glaucoma or ocular hypertension [186]. |
![]() | Lefradafiban is an orally active prodrug of fradafiban, a glycoprotein IIb/IIIa receptor antagonist that inhibits platelet aggregation by blocking the final pathway of platelet activation. Despite demonstrating effective antiplatelet activity in clinical trials, the development of lefradafiban was discontinued due to a lack of efficacy and the potential for increased bleeding risks at higher doses [187]. |
![]() | Pidolacetamol is an analgesic and antipyretic agent [188]. |
![]() | Orvepitant maleate is a potent, selective, orally active and well-tolerated neurokinin-1 receptor (NK-1) antagonist with a pKi of 10.2 for the human neurokinin-1 receptor. It is capable of crossing the blood–brain barrier. Orvepitant maleate has the potential for the treatment of depressive disorder and chronic refractory cough (CRC) [189,190]. |
![]() | Fasoracetam is a nootropic agent that has been demonstrated to enhance the synthesis of acetylcholine, regulate metabotropic glutamate receptors (mGluRs), and upregulate GABA(B) receptors. Its potential for treating attention deficit hyperactivity disorder (ADHD) in individuals with mGluR mutations is promising, and it may also facilitate cognitive enhancement and anxiety relief [191]. |
![]() | Nonathymulin is a zinc-dependent nonapeptide hormone produced by thymic epithelial cells. It plays a pivotal role in T-cell differentiation, immune modulation, and anti-inflammatory processes by regulating cytokines and inflammatory pathways such as NF-kappaB. Clinical studies indicate that it may be an efficacious treatment for rheumatoid arthritis and multiple sclerosis, demonstrating notable improvements with minimal adverse effects [192,193]. |
![]() | Pidobenzone, a second-generation depigmenting agent derived from hydroquinone, has been demonstrated to be both safe and effective for the treatment of melasma when formulated as a 4% lipogel. The optimal approach for the management of solar lentigines and the prevention of post-treatment hyperpigmentation is the combination of cryotherapy with 4% pidobenzone [194,195]. |
![]() | Pazinaclone is a partial agonist at GABA_A benzodiazepine receptors, providing sedative and anxiolytic effects with less memory impairment than traditional benzodiazepines. It acts primarily as an anxiolytic at low doses, while its sedative effects increase at higher doses [196]. |
![]() | Crilvastatin is an HMG-CoA reductase inhibitor (statin) that has been demonstrated to enhance the clearance of excess plasma cholesterol in a rat model. This is achieved by increasing the liver uptake of low-density lipoprotein (LDL) cholesterol to a greater extent than high-density lipoprotein [197,198]. |
![]() | Fradafiban is a nonpeptide platelet glycoprotein IIb/IIIa antagonist, which binds to the human platelet GP IIb/IIIa complex with a Kd value of 148 nM and thus shows promise for the treatment of thrombotic disorders such as unstable angina. Clinical studies have demonstrated that specific doses of this drug completely inhibit platelet aggregation [199,200]. |
![]() | Rolicyprine is an antidepressant with neuroprotective properties. It has been demonstrated to alleviate depressive symptoms, facilitate neuroregeneration, and reduce anxiety symptoms [201]. |
![]() | Lazucirnon is a selective CCR3 antagonist that modulates the inflammatory response by inhibiting the CCR3/eotaxin axis, thereby reducing eosinophil accumulation. The initial development of this medication was for the treatment of wet age-related macular degeneration; however, it is now being considered for repurposing as a potential treatment for Parkinson’s disease [202]. |
![]() | Sitalidone is a potent thiazide-like diuretic and antihypertensive drug [203]. |
![]() | Zimlovisertib is a potent, selective, and orally active inhibitor of interleukin-1 receptor associated kinase 4 (IRAK4) with an IC50 of 0.2 and 2.4 nM in the cell and PBMC assay, respectively. Zimlovisertib is indicated for the treatment of diseases such as rheumatoid arthritis, lupus, and lymphomas [204,205]. |
![]() | Rolziracetam has been found to improve cognition. In investigations involving aged rhesus monkeys, the compound has been observed to facilitate performance on delayed reaction tasks. Given its extensive safety margin in animal studies, rolziracetam has been identified as a potential therapeutic option for the treatment of cognitive impairment in humans [206,207]. |
![]() | Pyroglutamic acid (PCA) is an organic chemical compound belonging to the lactam group, a cyclic derivative of glutamic acid. It is a natural amino acid present in significant quantities in the brain, cerebrospinal fluid and human blood. In the form of sodium or zinc salt, it is used in dermatological products [208]. |
![]() | Cotinine, the primary metabolite of nicotine, functions as a weak agonist of nicotinic acetylcholine receptors (nAChRs), particularly the α4β2 subtype. This influences neurotransmitter release and neural signalling. It has been demonstrated to possess neuroprotective, cognitive-enhancing, and anxiolytic properties, with potential applications in the treatment of neurological and psychiatric conditions [209]. |
| Phase 1 | |
![]() | MePPEP is a potent and selective ligand for the cannabinoid subtype-1 (CB1) receptor. In vitro studies have demonstrated its high affinity for the CB1 receptor, with a reported Ki value < 1 nM, indicating strong binding affinity. This compound has been evaluated for its potential as a radioligand in positron emission tomography (PET) imaging to study CB1 receptor distribution in the brain, which could be a valuable tool for investigating the role of CB1 receptors in various physiological and pathological processes [210]. |
![]() | GSK1482160 is a potent and selective antagonist of the P2 × 7 receptor, a ligand-gated ion channel implicated in inflammatory and neuropathic pain pathways. Preclinical studies have demonstrated that GSK1482160 effectively inhibits P2 × 7 receptor activity, leading to reduced pro-inflammatory cytokine release and attenuation of pain responses in animal models [211]. |
![]() | Lazucirnon hydrochloride, also known as AKST4290, is a small-molecule antagonist of the C-C chemokine receptor type 3 (CCR3). It has been the subject of investigation for its potential therapeutic applications in various conditions, including age-related macular degeneration (AMD), Alzheimer’s disease, Parkinson’s disease, and other inflammatory disorders [212]. |
![]() | Evixapodlin, also known as GS-4224, is an orally bioavailable small-molecule human PD-1/PD-L1 protein/protein interaction inhibitor with an IC50 of 0.213 nM. Evixapodlin has been demonstrated to possess anticancer and antiviral functions [213]. |
Disclaimer/Publisher’s Note: The statements, opinions and data contained in all publications are solely those of the individual author(s) and contributor(s) and not of MDPI and/or the editor(s). MDPI and/or the editor(s) disclaim responsibility for any injury to people or property resulting from any ideas, methods, instructions or products referred to in the content. |
© 2025 by the authors. Licensee MDPI, Basel, Switzerland. This article is an open access article distributed under the terms and conditions of the Creative Commons Attribution (CC BY) license (https://creativecommons.org/licenses/by/4.0/).
Share and Cite
Łastawiecka, E.; Szwaczko, K. Asymmetric Transformations of Levulinic Acid to γ-Valerolactone and 5-Methylpyrrolidin-2-one Derivatives: Chiral Compounds with Biological Potential. Symmetry 2025, 17, 82. https://doi.org/10.3390/sym17010082
Łastawiecka E, Szwaczko K. Asymmetric Transformations of Levulinic Acid to γ-Valerolactone and 5-Methylpyrrolidin-2-one Derivatives: Chiral Compounds with Biological Potential. Symmetry. 2025; 17(1):82. https://doi.org/10.3390/sym17010082
Chicago/Turabian StyleŁastawiecka, Elżbieta, and Katarzyna Szwaczko. 2025. "Asymmetric Transformations of Levulinic Acid to γ-Valerolactone and 5-Methylpyrrolidin-2-one Derivatives: Chiral Compounds with Biological Potential" Symmetry 17, no. 1: 82. https://doi.org/10.3390/sym17010082
APA StyleŁastawiecka, E., & Szwaczko, K. (2025). Asymmetric Transformations of Levulinic Acid to γ-Valerolactone and 5-Methylpyrrolidin-2-one Derivatives: Chiral Compounds with Biological Potential. Symmetry, 17(1), 82. https://doi.org/10.3390/sym17010082
















































