Effect of TiS2 on Hydrogen Absorption and Desorption Performance of Mechanically Ball-Milled Mg95Ce5 Alloy
Abstract
1. Introduction
2. Experimental Details
2.1. Material Preparation
2.2. Structural and Morphological Characterizations
2.3. Hydrogen Storage Measurements
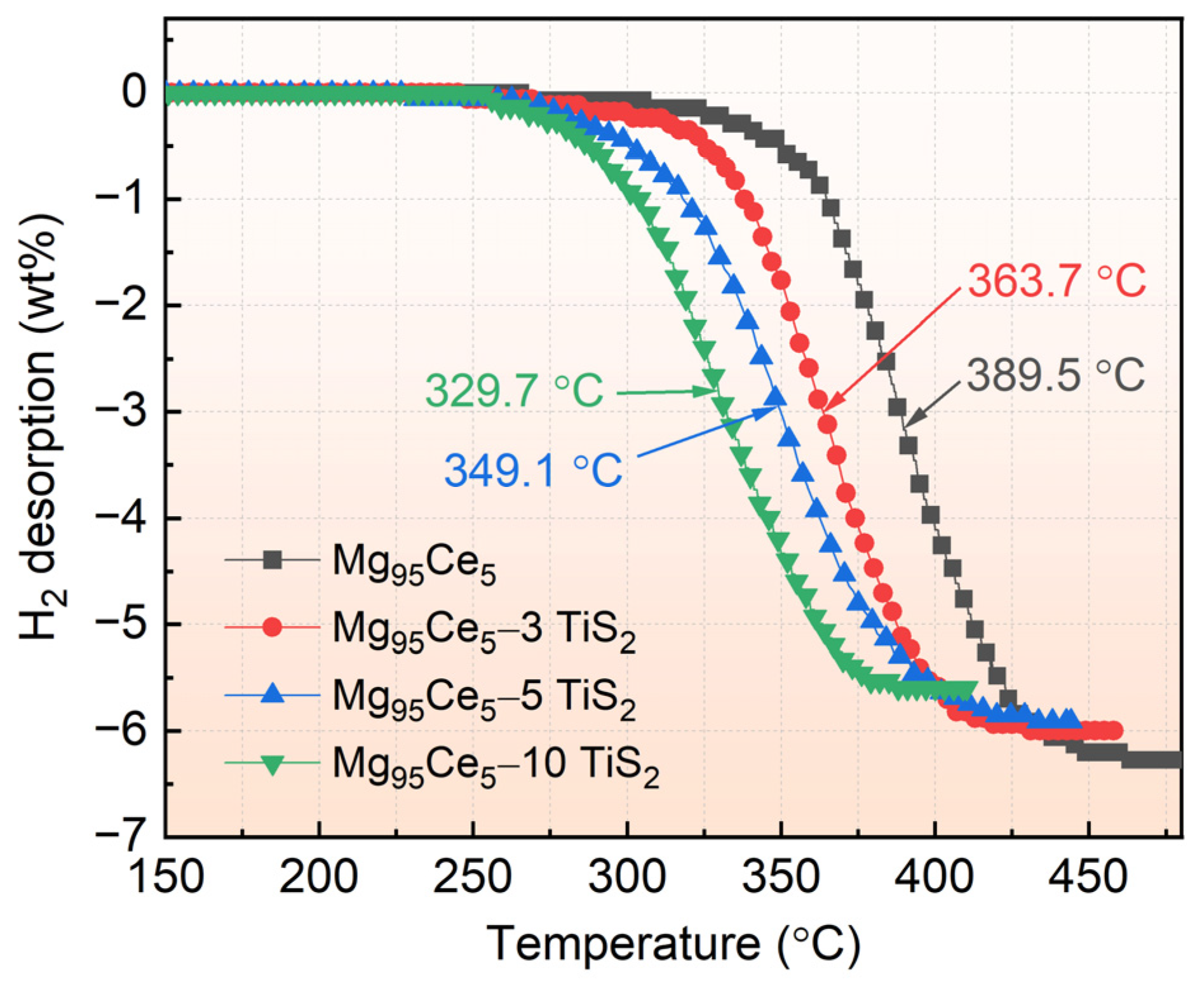
3. Results and Discussion
4. Conclusions
Author Contributions
Funding
Data Availability Statement
Conflicts of Interest
References
- Ahmed, S.; Irshad, M.; Yoon, W.; Karanwal, N.; Sugiarto, J.R.; Khan, M.K.; Kim, S.K.; Kim, J. Evaluation of MgO as a promoter for the hydrogenation of CO2 to long-chain hydrocarbons over Fe-based catalysts. Appl. Catal. B-Environ. 2023, 338, 123052. [Google Scholar] [CrossRef]
- Ahmed, S.; Bibi, S.S.; Irshad, M.; Asif, M.; Khan, M.K.; Kim, J. Synthesis of long-chain paraffins over bimetallic Na–Fe0.9Mg0.1Ox by direct CO2 hydrogenation. Top. Catal. 2024, 67, 363–376. [Google Scholar] [CrossRef]
- Hassan, Q.; Abdulateef, A.M.; Hafedh, S.A.; Al-samari, A.; Abdulateef, J.; Sameen, A.Z.; Salman, H.M.; Al-Jiboory, A.K.; Wieteska, S.; Jaszczur, M. Renewable energy-to-green hydrogen: A review of main resources routes, processes and evaluation. Int. J. Hydrogen Energy 2023, 48, 17383–17408. [Google Scholar] [CrossRef]
- Shao, H.Y.; He, L.Q.; Lin, H.J.; Li, H.W. Progress and trends in magnesium-based materials for energy-storage research: A review. Energy Technol. 2017, 5, 445–458. [Google Scholar] [CrossRef]
- Jain, I.P.; Lal, C.; Jain, A. Hydrogen storage in Mg: A most promising material. Int. J. Hydrogen Energy 2010, 35, 5133–5144. [Google Scholar] [CrossRef]
- Zhang, L.C.; Zhang, X.; Zhang, W.X.; Huang, Z.G.; Fang, F.; Li, J.; Yang, L.; Gu, C.; Sun, W.; Gao, M.; et al. Nanoparticulate ZrNi: In situ disproportionation effectively enhances hydrogen cycling of MgH2. ACS Appl. Mater. Interfaces 2023, 15, 40558–40568. [Google Scholar] [CrossRef]
- Yang, T.; Yuan, Z.M.; Bu, W.G.; Jia, Z.C.; Qi, Y.; Zhang, Y.H. Evolution of the phase structure and hydrogen storage thermodynamics and kinetics of Mg88Y12 binary alloy. Int. J. Hydrogen Energy 2016, 41, 2689–2699. [Google Scholar] [CrossRef]
- Yong, H.; Guo, S.H.; Yuan, Z.M.; Qi, Y.; Zhao, D.L.; Zhang, Y.H. Phase transformation, thermodynamics and kinetics property of Mg90Ce5RE5 (RE = La, Ce, Nd) hydrogen storage alloys. J. Mater. Sci. Technol. 2020, 51, 84–93. [Google Scholar] [CrossRef]
- Yong, H.; Wei, X.; Hu, J.F.; Yuan, Z.M.; Wu, M.; Zhao, D.L.; Zhang, Y. Influence of Fe@C composite catalyst on the hydrogen storage properties of Mg–Ce–Y based alloy. Renew. Energ. 2020, 162, 2153–2165. [Google Scholar] [CrossRef]
- Wang, Z.X.; Tian, Z.H.; Yao, P.F.; Zhao, H.M.; Xia, C.Q.; Yang, T. Improved hydrogen storage kinetic properties of magnesium-based materials by adding Ni2P. Renew. Energ. 2022, 189, 559–569. [Google Scholar] [CrossRef]
- Tian, Z.H.; Wang, Z.X.; Yao, P.F.; Xia, C.Q.; Yang, T.; Li, Q. Hydrogen storage behaviors of magnesium hydride catalyzed by transition metal carbides. Int. J. Hydrogen Energy 2021, 46, 40203–40216. [Google Scholar] [CrossRef]
- Meng, Q.F.; Huang, Y.Q.; Ye, J.K.; Xia, G.L.; Wang, G.F.; Dong, L.X.; Yang, Z.; Yu, X. Electrospun carbon nanofibers with in-situ encapsulated Ni nanoparticles as catalyst for enhanced hydrogen storage of MgH2. J. Alloys Compd. 2021, 851, 156874. [Google Scholar] [CrossRef]
- Ren, L.; Zhu, W.; Zhang, Q.U.; Lu, C.; Sun, F.Z.; Lin, X.; Zou, J. MgH2 confinement in MOF-derived N-doped porous carbon nanofibers for enhanced hydrogen storage. Chem. Eng. J. 2022, 434, 134701. [Google Scholar] [CrossRef]
- Liu, M.J.; Zhao, S.C.; Xiao, X.Z.; Chen, M.; Sun, C.H.; Yao, Z.D.; Hu, Z.; Chen, L. Novel 1D carbon nanotubes uniformly wrapped nanoscale MgH2 for efficient hydrogen storage cycling performances with extreme high gravimetric and volumetric capacities. Nano Energy 2019, 61, 540–549. [Google Scholar] [CrossRef]
- Wang, S.; Gao, M.X.; Yao, Z.H.; Xian, K.C.; Wu, M.H.; Liu, Y.F.; Sun, W.; Pan, H. High-loading, ultrafine Ni nanoparticles dispersed on porous hollow carbon nanospheres for fast (de)hydrogenation kinetics of MgH2. J. Magnes. Alloys 2022, 10, 3354–3366. [Google Scholar] [CrossRef]
- Xie, L.H.; Xu, M.; Zhang, C.; Wu, T. Composition dependent hydrogen storage performance and desorption factors of Mg–Ce based alloys. Int. J. Hydrogen Energy 2020, 45, 9865–9876. [Google Scholar] [CrossRef]
- Yang, T.; Li, Q.; Liang, C.Y.; Wang, X.H.; Xia, C.Q.; Wang, H.S.; Yin, F.; Zhang, Y. Microstructure and hydrogen absorption/desorption properties of Mg24Y3M (M = Ni, Co, Cu, Al) alloys. Int. J. Hydrogen Energy 2018, 43, 8877–8887. [Google Scholar] [CrossRef]
- Fu, Y.K.; Yu, Z.C.; Guo, S.Y.; Li, Y.; Peng, Q.M.; Zhang, L.; Wu, S.; Han, S. Catalytic effect of bamboo-like carbon nanotubes loaded with NiFe nanoparticles on hydrogen storage properties of MgH2. Chem. Eng. J. 2023, 458, 141337. [Google Scholar] [CrossRef]
- Czujko, T.; Varin, R.A.; Chiu, C.; Wronski, Z. Investigation of the hydrogen desorption properties of Mg + 10 wt.%X (X = V, Y, Zr) submicrocrystalline composites. J. Alloys Compd. 2006, 414, 240–247. [Google Scholar] [CrossRef]
- Liang, G.; Huot, J.; Boily, S.; Van Neste, A.; Schulz, R. Catalytic effect of transition metals on hydrogen sorption in nanocrystalline ball milled MgH2–Tm (Tm=Ti, V, Mn, Fe and Ni) systems. J. Alloys Compd. 1999, 292, 247–522. [Google Scholar] [CrossRef]
- Shukla, V.; Yadav, T.P. Notable catalytic activity of CuO nanoparticles derived from metal-organic frameworks for improving the hydrogen sorption properties of MgH2. Int. J. Energy Res. 2022, 46, 12804–12819. [Google Scholar] [CrossRef]
- Dan, L.; Wang, H.; Yang, X.B.; Liu, J.W.; Ouyang, L.Z.; Zhu, M. Room-temperature transient hydrogen uptake of MgH2 induced by Nb-doped TiO2 solid-solution catalysts. ACS Appl. Mater. Interfaces 2023, 15, 30372–30382. [Google Scholar] [CrossRef] [PubMed]
- Malka, I.E.; Pisarek, M.; Czujko, T.; Bystrzycki, J. A study of the ZrF4, NbF5, TaF5, and TiCl3 influences on the MgH2 sorption properties. Int. J. Hydrogen Energy 2011, 36, 12909–12917. [Google Scholar] [CrossRef]
- Grzech, A.; Lafont, U.; Magusin, P.C.M.M.; Mulder, F.M. Microscopic study of TiF3 as hydrogen storage catalyst for MgH2. J. Phys. Chem. C 2012, 116, 26027–26035. [Google Scholar] [CrossRef]
- Lototskyy, M.; Sibanyoni, J.M.; Denys, R.V.; Williams, M.; Pollet, B.G.; Yartys, V.A. Magnesium–carbon hydrogen storage hybrid materials produced by reactive ball milling in hydrogen. Carbon 2013, 57, 146–160. [Google Scholar] [CrossRef]
- Oelerich, W.; Klassen, T.; Bormann, R. Metal oxides as catalysts for improved hydrogen sorption in nanocrystalline Mg-based materials. J. Alloys Compd. 2001, 315, 237–242. [Google Scholar] [CrossRef]
- Li, L.; Zhang, Z.C.; Jiao, L.F.; Yuan, H.T.; Wang, Y.J. In situ preparation of nanocrystalline Ni@C and its effect on hydrogen storage properties of MgH2. Int. J. Hydrogen Energy 2016, 41, 18121–18129. [Google Scholar] [CrossRef]
- Xie, W.J.; Liu, K.; Shi, G.D.; Fu, X.L.; Chen, X.J.; Fan, Z.X.; Liu, M.; Yuan, M.; Wang, M. CoS2 nanowires supported graphdiyne for highly efficient hydrogen evolution reaction. J. Energy Chem. 2021, 60, 272–278. [Google Scholar] [CrossRef]
- Wu, A.P.; Tian, C.G.; Jiao, Y.Q.; Yan, Q.; Yang, G.Y.; Fu, H.G. Sequential two-step hydrothermal growth of MoS2/CdS core-shell heterojunctions for efficient visible light-driven photocatalytic H2 evolution. Appl. Catal. B-Environ. 2017, 203, 955–963. [Google Scholar] [CrossRef]
- Yuan, Z.M.; Zhang, Y.H.; Yang, T.; Bu, W.G.; Guo, S.H.; Zhao, D.L. Microstructure and enhanced gaseous hydrogen storage behavior of CoS2-catalyzed Sm5Mg41 alloy. Renew. Energ. 2018, 116, 878–891. [Google Scholar] [CrossRef]
- Yuan, Z.M.; Zhang, W.; Zhang, P.L.; Zhang, Y.H.; Bu, W.G.; Guo, S.H.; Zhao, D. Improvement in the hydrogen storage performance of as-milled Sm-Mg alloys using MoS2 nano-particle catalysts. RSC Adv. 2017, 7, 56365–56374. [Google Scholar] [CrossRef]
- Yuan, Z.M.; Zhang, W.; Zhang, Y.H.; Guo, S.H.; Dong, X.P.; Zhao, D.L. A comparison study of hydrogen storage properties of as-milled Sm5Mg41 alloy catalyzed by CoS2 and MoS2 nano-particles. J. Mater. Sci. Technol. 2018, 34, 1851–1858. [Google Scholar] [CrossRef]
- Wang, P.; Wang, Z.X.; Tian, Z.H.; Xia, C.Q.; Yang, T.; Liang, C.Y.; Li, Q. Enhanced hydrogen absorption and desorption properties of MgH2 with NiS2: The catalytic effect of in-situ formed MgS and Mg2NiH4 phases. Renew. Energ. 2020, 160, 409–417. [Google Scholar] [CrossRef]
- Liu, F.L.; Fang, L.Y.; Li, Z.Y.; Tan, Y.K.; Wang, J.; He, X.C.; Xu, G.; Ouyang, Y.; Tao, X. Diffusion behaviors and mechanical properties of binary Mg–Ce system. Vacuum 2023, 216, 112409. [Google Scholar] [CrossRef]
- Jia, Y.; Guo, Y.N.; Zou, J.; Yao, X.D. Hydrogenation/dehydrogenation in MgH2-activated carbon composites prepared by ball milling. Int. J. Hydrogen Energy 2012, 37, 7579–7585. [Google Scholar] [CrossRef]
- Cho, Y.H.; Aminorroaya, S.; Liu, H.K.; Dahle, A.K. The effect of transition metals on hydrogen migration and catalysis in cast Mg–Ni alloys. Int. J. Hydrogen Energy 2011, 36, 4984–4992. [Google Scholar] [CrossRef]
- Toè, S.D.; Russo, S.L.; Maddalena, A.; Principi, G.; Saber, A.; Sartori, S.; Spataru, T. Hydrogen desorption from magnesium hydride–graphite nanocomposites produced by ball milling. Mat. Sci. Eng. B-Adv. 2004, 108, 24–27. [Google Scholar] [CrossRef]
- Ouyang, L.Z.; Huang, J.M.; Wang, H.; Wen, Y.J.; Zhang, Q.A.; Sun, D.L.; Zhu, M. Excellent hydrolysis performances of Mg3RE hydrides. Int. J. Hydrogen Energy 2013, 38, 2973–2978. [Google Scholar] [CrossRef]
- Yartys, V.A.; Gutfleisch, O.; Panasyuk, V.V.; Harris, I.R. Desorption characteristics of rare earth (R) hydrides (R=Y, Ce, Pr, Nd, Sm, Gd and Tb) in relation to the HDDR behaviour of R–Fe-based-compounds. J. Alloys Compd. 1997, 253–254, 128–133. [Google Scholar] [CrossRef]
- Bhatnagar, A.; Johnson, J.K.; Shaz, M.A.; Srivastava, O.N. TiH2 as a dynamic additive for improving the de/rehydrogenation properties of MgH2: A combined experimental and theoretical mechanistic investigation. J. Phys. Chem. C 2018, 122, 21248–21261. [Google Scholar] [CrossRef]
- Wu, C.Z.; Wang, P.; Yao, X.D.; Liu, C.; Chen, D.M.; Lu, G.Q.; Cheng, H. Effects of SWNT and metallic catalyst on hydrogen absorption/desorption performance of MgH2. J. Phys. Chem. B 2005, 109, 22217–22221. [Google Scholar] [CrossRef] [PubMed]
- Chen, M.; Hu, M.M.; Xie, X.B.; Liu, T. High loading nanoconfinement of V-decorated Mg with 1 nm carbon shells: Hydrogen storage properties and catalytic mechanism. Nanoscale 2019, 11, 10045–10055. [Google Scholar] [CrossRef]
- Ji, L.; Zhang, L.; Yang, X.; Zhu, X.; Chen, L. The remarkably improved hydrogen storage performance of MgH2 by the synergetic effect of an FeNi/rGO nanocomposite. Dalton T. 2020, 49, 4146–4154. [Google Scholar] [CrossRef]
- Ren, L.; Zhu, W.; Li, Y.H.; Lin, X.; Xu, H.; Sun, F.Z.; Lu, C. Oxygen vacancy-rich 2D TiO2 nanosheets: A bridge toward high stability and rapid hydrogen storage kinetics of nano-confined MgH2. Nano-Micro Lett. 2022, 14, 144. [Google Scholar] [CrossRef]
- Li, X.J.; Fu, Y.K.; Xie, Y.C.; Cong, L.; Yu, H.; Zhang, L.; Li, Y.; Han, S. Effect of Ni/tubular g-C3N4 on hydrogen storage properties of MgH2. Int. J. Hydrogen Energy 2021, 46, 33186–33196. [Google Scholar] [CrossRef]
- Schlapbach, L.; Züttel, A. Hydrogen-storage materials for mobile applications. Nature 2001, 414, 353–358. [Google Scholar] [CrossRef]








| Samples | n | lnk | ||||
|---|---|---|---|---|---|---|
| 320 °C | 350 °C | 380 °C | 320 °C | 350 °C | 380 °C | |
| Mg95Ce5 | 3.315 | 3.696 | 3.305 | −8.220 | −7.031 | −6.036 |
| Mg95Ce5–3 TiS2 | 1.544 | 1.494 | 1.341 | −6.908 | −5.853 | −5.120 |
| Mg95Ce5–5 TiS2 | 1.688 | 1.788 | 1.636 | −6.279 | −5.450 | −4.784 |
| Mg95Ce5–10 TiS2 | 1.487 | 1.369 | 1.403 | −5.514 | −4.670 | −4.120 |
| Samples | Absorption | Desorption | ||
|---|---|---|---|---|
| ΔH (kJ mol−1 H2) | ΔS (J K−1 mol−1 H2) | ΔH (kJ mol−1 H2) | ΔS (J K−1 mol−1 H2) | |
| Mg95Ce5 | −77.5 | −138.1 | 79.9 | 141.7 |
| Mg95Ce5–3 TiS2 | −78.1 | −138.9 | 78.3 | 139.0 |
| Mg95Ce5–5 TiS2 | −79.8 | −141.4 | 80.6 | 142.7 |
| Mg95Ce5–10 TiS2 | −78.9 | −140.2 | 80.0 | 141.7 |
Disclaimer/Publisher’s Note: The statements, opinions and data contained in all publications are solely those of the individual author(s) and contributor(s) and not of MDPI and/or the editor(s). MDPI and/or the editor(s) disclaim responsibility for any injury to people or property resulting from any ideas, methods, instructions or products referred to in the content. |
© 2025 by the authors. Licensee MDPI, Basel, Switzerland. This article is an open access article distributed under the terms and conditions of the Creative Commons Attribution (CC BY) license (https://creativecommons.org/licenses/by/4.0/).
Share and Cite
Lv, H.; Wang, L.; Ou, X.; Li, Z. Effect of TiS2 on Hydrogen Absorption and Desorption Performance of Mechanically Ball-Milled Mg95Ce5 Alloy. Symmetry 2025, 17, 71. https://doi.org/10.3390/sym17010071
Lv H, Wang L, Ou X, Li Z. Effect of TiS2 on Hydrogen Absorption and Desorption Performance of Mechanically Ball-Milled Mg95Ce5 Alloy. Symmetry. 2025; 17(1):71. https://doi.org/10.3390/sym17010071
Chicago/Turabian StyleLv, Haitao, Liangrui Wang, Xiulong Ou, and Zhiming Li. 2025. "Effect of TiS2 on Hydrogen Absorption and Desorption Performance of Mechanically Ball-Milled Mg95Ce5 Alloy" Symmetry 17, no. 1: 71. https://doi.org/10.3390/sym17010071
APA StyleLv, H., Wang, L., Ou, X., & Li, Z. (2025). Effect of TiS2 on Hydrogen Absorption and Desorption Performance of Mechanically Ball-Milled Mg95Ce5 Alloy. Symmetry, 17(1), 71. https://doi.org/10.3390/sym17010071
