Sharp Front Approach Solutions to Some Doubly Degenerate Reaction-Diffusion Models
Abstract
1. Introduction
1.1. Fisher–Kolmogorov–Petrovsky–Piskunov Models with Doubly Degenerate Diffusivities
1.2. The Main Idea to Solve the Model at Issue
1.3. Aim
1.4. Further Text Organization
2. Completing the Scaling of the Incomplete Scaled Model
3. Solutions
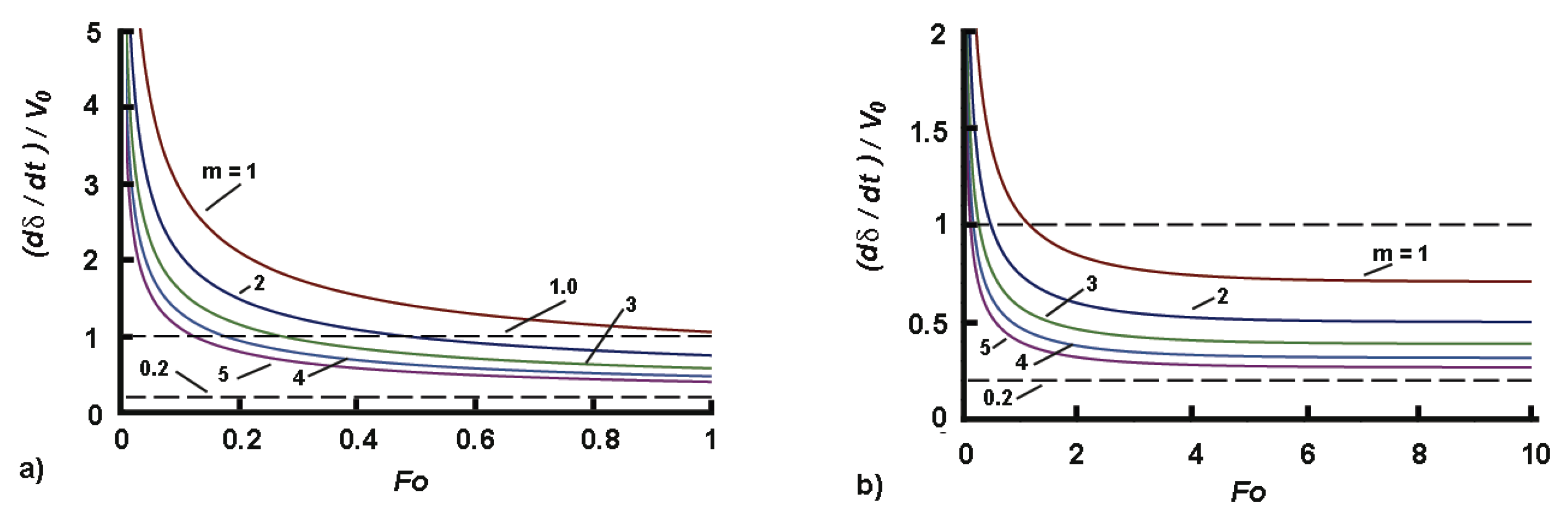
3.1. Model 1
3.1.1. The Front Speed
3.1.2. The Approximate Profile
3.2. Some Important Notes Concerning the Used Barenblatt Profile
- Barenblatt-Profile: The profile (19) [23] originates from the similarity solution of Zel’dovich and Kompanetz [24] (see also [10] ) and is sometimes called the Barenblat–Pattle profile (as used in the point source solution of Pattle [25]. It was extensively explored in solutions of high-order non-linear diffusions [26,27] with exponent (this was confirmed independently in [22] applying optimization of the solution concerning the value of n because the boundary conditions are not enough to define it at the solution beginning [28].
- Barenblatt-Profile (additional comments): To some extent, the sharp front solution with the Barenblatt profile (19) could be related to the so-called type I sharp front traveling waves [4]. In this specific case, the traveling wave variable tends to some finite value as , and the asymptotic solution is that can simply be presented as , i.e., a construction resembling the Barenblatt profile, where defines the penetration front.Furthermore, there is a traveling wave solution local to the moving front [21], precisely to the left side where , in the form (in terms of [21]) that can be presented as and can simply be presented, following the style of this work, as or, in terms of [21]), as , such that and ; this is a wave driven mainly by the diffusion process with a little effect from the growth term. For a detailed analysis with many possible situations concerning the model 1, and touching on some points of the results developed here, see [29,30].To clarify some elements of the present solutions, we have to mention that traveling waves in population dynamics and combustion theory appear as invasion fronts and combustion fronts, respectively [31], corresponding to the propagation of the penetration depth in the integral-balance method.
- The boundary conditions applied: Boundary-like conditions, for and for , are used in the traveling wave solutions. To a certain degree, the former condition simplifies the solution mathematically, allowing a Dirichlet condition at ; that is, only the positive axis is taken into consideration. The Goodman sharp front conditions [32,33] logically replace the second condition when using the integral-balance approach, i.e., (see Equation (A4)).To clarify the above standpoint, if an exact solution coming from the traveling wave approach exists, with boundary conditions , , then we may construct the function ; we consequently get and . Similarly, with the function , we have and . However, in the assumed Barenblatt profile, we have , while .With the Barenblatt parabolic profile, the condition is replaced by , as well as , which is replaced by . In this context, we must emphasize that the range of the approximate solution based on the parabolic profile is , that is, instead of . At the end of this comment, models the density (concentration) profile, while , to some extent, corresponds to a traveling pulse attaining unity at , instead of .
- The sharp front conditions: In [7], it was shown that a traveling wave with a sharp front should be distinct. This indicates that there is a discontinuous derivative at the front (since , we will use in light of the Barenblatt profile): the left derivative, , while the right derivative tends to zero, i.e., (refer to the analysis of the wave shapes about Figure 2.1 in [7]). It is simple to verify that the Barenblatt profile complies with these criteria at the front; in fact, the Goodman boundary requirements (A4) implicitly provide the second criterion regarding the right derivative.
3.3. Model 2
3.3.1. The Speed of the Profile
3.3.2. Approximate Solution
3.4. A More General Version of Model 2
3.5. Additional Notes Concerning More Complex Growth Functions
3.5.1. A Modified Fisher’s (Newell–Whitehead–Segel) Growth Function
3.5.2. Zeldovich’s Growth Function
3.5.3. Nagumo’s Growth Function-Version 1
3.5.4. Nagumo’s Growth Function-Version 2
3.5.5. Nagumo’s Growth Function-Version 3
3.6. A Multi-Term Diffusivity: A Point View
4. Outlines of the Main Results
- The work demonstrated the applicability of the integral-balance method (not using the traveling wave concept) to doubly degenerate diffusion-reaction equations where both the diffusivity and growth function contain terms of power-law type.
- With the Barenblatt parabolic profile, we have an adequate approach coming from well-known solutions of degenerate diffusion models, but it has never applied to the reaction-diffusion models considered here.
- The direct integration solutions show that the only dimensionless group governing the diffusion process is the prefactor A, which specifies the model’s time scale and, in turn, the Fourier number . It is important to note that all of the papers cited in this work lack the scaling analysis performed here. According to Gurtin and MacCamy [13], the transformation appears naturally as a pseudo-time scale in the approximate solution created by the direct integration approach. It can also be used to formulate an effective similarity variable that mimics the Boltzmann one.
- The significance of the prefactor A in the diffusion process control is once again demonstrated by the approximate solution developed through the direct integration, which explicitly specifies the length scale and a dimensionless spatial variable . The initial scaling of the model and the physical interpretation of the results enable all these estimates.
5. Conclusions
Funding
Data Availability Statement
Conflicts of Interest
Appendix A. Appendices
Appendix A.1. Integral-Balance Method
Appendix A.1.1. Single-Integration Method
Appendix A.1.2. Double-Integration Method
Appendix A.1.3. Double-Integration Method in the Case When m≠0
Appendix A.1.4. Classic Assumed Profiles:Briefly
References
- Fisher, R.A. The wave of advance of advantageous genes. Ann. Eugen. 1937, 7, 353–361. [Google Scholar] [CrossRef]
- Kolmogorov, A.I.; Petrovskii, I.; Piskunov, N. Etude de l’equation de la diffusion avec croissance de la quantite de la matiere e son application a un problem biologique. Mosc. Univ. Bull. Math. 1937, 1, 1–25. [Google Scholar]
- Mansour, M.B.A. Traveling wave solutions for a reaction-diffusion model for bacterial growth. Phys. A 2007, 383, 466–472. [Google Scholar] [CrossRef]
- Mansour, M.B.A. Traveling wave solutions of a nonlinear reaction-diffusion-chemotaxis model for bacterial pattern formation. Appl. Math. Model. 2008, 32, 240–247. [Google Scholar] [CrossRef]
- Mansour, M.B.A. Traveling wave solutions for doubly degenerate reaction-diffusion equations. ANZIAM J. 2010, 52, 101–109. [Google Scholar] [CrossRef]
- Sanchez-Garduno, F.S.; Maini, P.K. An approximation to a sharp type solution of density-dependent reaction-diffusion equation. Appl. Math. Lett. 1994, 7, 47–51. [Google Scholar] [CrossRef]
- Sanchez-Garduno, F.S.; Maini, P.K. Traveling wave phenomena in some degenerate reaction-diffusion equations. J. Differ. Equ. 1995, 117, 281–319. [Google Scholar] [CrossRef]
- Aronson, D.G. Density-dependent interaction-diffusion systems. In Dynamics and Modeling of Reactive Systems; Stewart, W.G., Ray, W.H., Couley, C.C., Eds.; Academic Press: Cambridge, MA, USA, 1980; pp. 161–176. [Google Scholar]
- Newman, W.I. Some exact solutions to non-linear diffusion problem in population genetics and combustion. J. Theor. Biol. 1980, 85, 325–334. [Google Scholar] [CrossRef]
- Zeldovich, Y.B.; Raizer, Y.P. Physics of Shock Waves and High-Temperature Hydrodynamic Phenomena; Academic Press: New York, NY, USA, 1967; Volume 2. [Google Scholar]
- Tumidajski, P. Application of Danckwerts’s solution to simultaneous diffusion and chemical reaction to concrete. Cem. Concr. Res. 1996, 26, 697–700. [Google Scholar] [CrossRef]
- Pao, Y.-H. Unsteady mass transfer with chemical reaction. Part II: More general initial and boundary conditions. Chem. Eng. Sci. 1965, 20, 665–669. [Google Scholar] [CrossRef]
- Gurtin, M.; MacCamy, R.C. On the diffusion in biological populations. Math. Biosci. 1977, 33, 35–49. [Google Scholar] [CrossRef]
- Hosono, Y. Travelling wave solutions to some dependent diffusion equations. Jap. J. Appl. Math. 1986, 3, 163–196. [Google Scholar] [CrossRef]
- Mansour, M.B.A. Analysis of propagating fronts in a nonlinear diffusion model with chemotaxis. Wave Motion 2013, 50, 11–17. [Google Scholar] [CrossRef]
- Ablowitz, M.J.; Zeppetella, M.J. Explicit solutions of Fisher’s equation for a special wave speed. Bull. Math. Biol. 1979, 41, 835–840. [Google Scholar] [CrossRef]
- Volpert, V.; Vougalter, V. Method of monotone solutions for reaction-diffusion equations. J. Math. Sci. 2021, 253, 660–675. [Google Scholar] [CrossRef]
- Hariharan, G.; Kannan, K.; Sharma, K.R. Haar wavelet method for solving Fisher’s equation. Appl. Math. Comp. 2009, 211, 284–292. [Google Scholar] [CrossRef]
- Al-Khaled, K. Numerical study of Fisher’s reaction-diffusion equations by the Sinc collocation method. J. Comp. Appl. Math. 2001, 137, 245–255. [Google Scholar] [CrossRef]
- Boumenir, A. Power series solutions for KPP equations. Numer. Algorithms 2006, 43, 177–187. [Google Scholar] [CrossRef]
- Foster, J.M.; Pelinovsky, D.E. Self-similar solutions for reversing interfaces in the slow diffusion equation with strong absorption. SIAM J. Appl. Dyn. Sys. 2016, 15, 2017–2050. [Google Scholar] [CrossRef]
- Hristov, J. Integral solutions to transient nonlinear heat (mass) diffusion with a power-law diffusivity: A semi-infinite medium with fixed boundary conditions. Heat Mass Transf. 2016, 52, 635–655. [Google Scholar] [CrossRef]
- Barenblatt, G.A. On certain nonstationary motions of liquids and gases in porous media. Appl. Math. Mech. 1952, 16, 67–78. (In Russian) [Google Scholar]
- Zeldovich, Y.B.; Kompaneets, A.S. On the theory of heat propagation for temperature dependent thermal conductivity. In Collection Commemorating the 70th Anniversary of A. F. Joffe; Izv. Akad. Nauk SSSR: Moscow, Russia, 1950; pp. 61–71. (In Russian) [Google Scholar]
- Pattle, R.E. Diffusion from an instantaneous point source with concentration-dependent coefficient. Q. J. Mech. Appl. Math. 1959, 12, 407–409. [Google Scholar] [CrossRef]
- Smyth, N.F.; Hill, J.M. High-Order Nonlinear Diffusion. IMA J. Appl. Math. 1988, 40, 73–86. [Google Scholar] [CrossRef]
- Hill, J.M. Similarity solutions for nonlinear diffusion-a new integration procedure. J. Eng. Math. 1989, 23, 141–155. [Google Scholar] [CrossRef]
- Hristov, J. The heat-balance integral method by a parabolic profile with unspecified exponent: Analysis and benchmark exercises. Therm. Sci. 2009, 13, 22–48. [Google Scholar] [CrossRef]
- De Pablo, A.; Vazquez, J.L. Traveling waves and finite propagation in a reaction-diffusion equation. J. Differ. Equ. 1991, 93, 19–61. [Google Scholar] [CrossRef]
- Audrito, A.; Vzaquez, J.L. Fisher-KPP problem with doubly nonlinear diffusion. J. Differ. Equ. 2017, 263, 7647–7708. [Google Scholar] [CrossRef]
- Ghazaryan, A.R.; Lafortune, S.; Manukian, V. Introduction to Traveling Waves, 1st ed.; Chapman and Hall/CRC: New York, NY, USA, 2023. [Google Scholar] [CrossRef]
- Goodman, T.R. The heat balance integral and its application to problems involving a change of phase. Trans. ASME 1958, 80, 335–342. [Google Scholar] [CrossRef]
- Goodman, T.R. Application of Integral Methods to Transient Nonlinear Heat Transfer. In Advances in Heat Transfer; Irvine, T.F., Hartnett, J.P., Eds.; Academic Press: San Diego, CA, USA, 1964; Volume 1, pp. 51–122. [Google Scholar] [CrossRef]
- Witelski, T.P. Merging traveling waves for the porous-Fisher’s equation. Appl. Math. Lett. 1995, 12, 57–62. [Google Scholar] [CrossRef]
- Gilding, B.H.; Kerstner, R. A Fisher/KPP-type equation with density-dependent diffusion and convection: Travelling wave-solutions. J. Phys. A 2005, 38, 3367–3379. [Google Scholar] [CrossRef]
- Newell, A.C.; Whitehead, J.A. Finite bandwidth, finite amplitude convection. J. Fluid. Mech. 1969, 38, 279–303. [Google Scholar] [CrossRef]
- Zeldovich, Y.B.; Frank-Kamenetskii, D.A. A theory of thermal propagation of flames. In Dynamics of Curved Fronts; Pelce, P., Ed.; Academic Press: Boston, MA, USA, 1988; pp. 131–140. [Google Scholar]
- Chandrasekaran, P.; Ramasami, E.K. Painleve analysis of a class of nonlinear diffusion equations. Int. J. Stoch. Anal. 1996, 9, 77–86. [Google Scholar] [CrossRef]
- Nagumo, J.; Arimoto, S.; Yoshizawa, S. An active pulse transmission line simulating nerve axon. Proc. IRE 1962, 50, 2061–2070. [Google Scholar] [CrossRef]
- Mansour, M.B.A. On the sarp front-type solution of the Nagumo equation with nonlinear diffusion and convection. Pramana 2013, 80, 533–538. [Google Scholar] [CrossRef]
- McKean, H.P., Jr. Nagumo’s equation. Adv. Math. 1970, 4, 209–223. [Google Scholar] [CrossRef]
- Crank, J. The Mathematics of Diffusion, 2nd ed.; Clarendon Press: Oxford, UK, 1975. [Google Scholar]







Disclaimer/Publisher’s Note: The statements, opinions and data contained in all publications are solely those of the individual author(s) and contributor(s) and not of MDPI and/or the editor(s). MDPI and/or the editor(s) disclaim responsibility for any injury to people or property resulting from any ideas, methods, instructions or products referred to in the content. |
© 2025 by the author. Licensee MDPI, Basel, Switzerland. This article is an open access article distributed under the terms and conditions of the Creative Commons Attribution (CC BY) license (https://creativecommons.org/licenses/by/4.0/).
Share and Cite
Hristov, J. Sharp Front Approach Solutions to Some Doubly Degenerate Reaction-Diffusion Models. Symmetry 2025, 17, 69. https://doi.org/10.3390/sym17010069
Hristov J. Sharp Front Approach Solutions to Some Doubly Degenerate Reaction-Diffusion Models. Symmetry. 2025; 17(1):69. https://doi.org/10.3390/sym17010069
Chicago/Turabian StyleHristov, Jordan. 2025. "Sharp Front Approach Solutions to Some Doubly Degenerate Reaction-Diffusion Models" Symmetry 17, no. 1: 69. https://doi.org/10.3390/sym17010069
APA StyleHristov, J. (2025). Sharp Front Approach Solutions to Some Doubly Degenerate Reaction-Diffusion Models. Symmetry, 17(1), 69. https://doi.org/10.3390/sym17010069
