Conformable Double Laplace Transform Method (CDLTM) and Homotopy Perturbation Method (HPM) for Solving Conformable Fractional Partial Differential Equations
Abstract
1. Introduction
2. Conformable Double Laplace Transform Method (CDLTM) and Properties of Conformable Derivatives (CDs)
- 1.
- 2.
- 3.
- 4.
- 5.
- 6.
- 7.
- 8.
- 9.
- .
Conformable Double Laplace Transform Method (CDLTM)
- 1.
- where .
- 2.
- 3.
- 1.
- 2.
- 3.
- 4.
- 5.
- 6.
- where
- 7.
- .
3. Analysis of the Method (CDLTM)
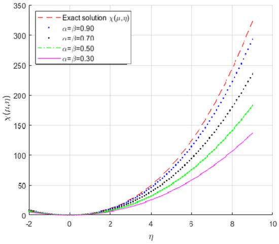
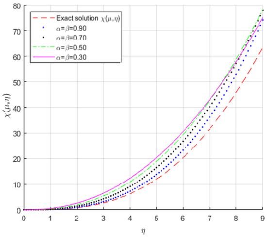
4. Application
5. Conclusions
Author Contributions
Funding
Data Availability Statement
Conflicts of Interest
References
- Chakraverty, S.; Mahato, N.; Karunakar, P.; Rao, T.D. Advanced Numerical and Semi-Analytical Methods for Differential Equations, 1st ed.; John Wiley & Sons, Inc.: Hoboken, NJ, USA, 2019; pp. 131–139. [Google Scholar]
- Debtnath, L. Nonlinear Partial Dierential Equations for Scientist and Engineers; Birkhauser: Boston, MA, USA, 1997. [Google Scholar]
- Podlubny, I. Fractional differential equations: An introduction to fractional derivatives, fractional differential equations, to methods of their solution and some of their applications. Math. Sci. Eng. 1999, 198, 41–119. [Google Scholar]
- Aslan, E.C.; Mustafa Inc.; Al Qurashi, M.M.; Baleanu, D. On numerical solutions of time-fraction generalized Hirota Satsuma coupled KdV equation. J. Nonlinear Sci. Appl. 2017, 2, 724–733. [Google Scholar] [CrossRef]
- Ozkan, O.; Kurt, A. Conformable Fractional Double Laplace Transform and its Applications to Fractional Partial Integro-Differential Equations. J. Fract. Calc. Appl. 2020, 11, 70–81. [Google Scholar]
- Eltayeb, H.; Mesloub, S.; Abdalla, Y.T.; Kılıçman, A. A Note on Double Conformable Laplace Transform Method and Singular One Dimensional Conformable Pseudohyperbolic Equations. Mathematics 2019, 7, 949. [Google Scholar] [CrossRef]
- Caputo, M. Linear Models of Dissipation Whose Q Is almost Frequency Independent. Ann. Geophys. 1966, 19, 383–393. [Google Scholar] [CrossRef]
- Liouville, J. Memory on a few questions of geometry and mechanics, and on a new kind of calculation to solve these questions. J. l’École Polytech. 1832, 13, 131–169. (In French) [Google Scholar]
- Ross, B. The development of fractional calculus 1695–1900. Hist. Math. 1974, 4, 75–89. [Google Scholar] [CrossRef]
- He, J.H. Application of homotopy perturbation method to nonlinear wave equations. Chaos Solitons Fractals 2005, 26, 695–700. [Google Scholar] [CrossRef]
- Momani, S.; Odibat, Z. Homotopy perturbation method for nonlinear partial differential equation of fractional order. Phys. Lett. A 2007, 365, 345–350. [Google Scholar] [CrossRef]
- Wang, Q. Homotopy perturbation method for fractional Kdv-Burgers Equation. Chaos Solitons Fractals 2008, 35, 843–850. [Google Scholar] [CrossRef]
- Khalil, R.; Al Horani, M.; Yousef, A.; Sababheh, M. A new definition of fractional derivative. J. Comput. Appl. Math. 2014, 264, 65–70. [Google Scholar] [CrossRef]
- Thabet, H.; Kendre, S. Analytical solutions for conformable space time fractional partial diferential equations via fractional di erential transform. Chaos Solitons Fractals 2018, 109, 238–245. [Google Scholar] [CrossRef]
- Yaslan, H.C. New analytic solutions of the conformable spacetime fractional Kawahara equation. Opt. Int. J. Light Electron Opt. 2017, 140, 123–126. [Google Scholar] [CrossRef]
- Alfaqeih, S.; Kayijuka, I. Solving System of Conformable Fractional Differential Equations by Conformable Double Laplace Decomposition Method. J. Partial. Differ. Equ. 2020, 33, 275–290. [Google Scholar]
- Kilicman, A.; Gadain, H.E. An application of double Laplace transform and Sumudu transform. Lobachevskii J. Math. 2009, 30, 214–223. [Google Scholar] [CrossRef]
- Abdeljawad, T. On conformable fractional calculus. J. Comput. Appl. Math. 2015, 279, 57–66. [Google Scholar] [CrossRef]
- Qing, L.; Li, X. Meshless analysis of fractional diffusion-wave equations by generalized finite difference method. Appl. Math. Lett. 2024, 157, 109204. [Google Scholar] [CrossRef]
- Qing, L.; Li, X. Analysis of a meshless generalized finite difference method for the time-fractional diffusion-wave equation. Comput. Math. Appl. 2024, 172, 134–151. [Google Scholar] [CrossRef]
- Difonzo, F.V.; Garrappa, R. A Numerical Procedure for Fractional-Time-Space Differential Equations with the Spectral Fractional Laplacian. In Fractional Differential Equations. INDAM 2021; Springer: Singapore, 2022. [Google Scholar] [CrossRef]
- Özkan, O.; Kurt, A. On conformable double Laplace transform. Opt. Quantum Electron. 2018, 50, 103. [Google Scholar] [CrossRef]
- Hashemi, M.S. Invariant subspaces admitted by fractional differential equations with conformable derivatives. Chaos Solitons Fractals 2018, 107, 161–169. [Google Scholar] [CrossRef]
- Jarad, F.; Abdeljawad, T. A modified Laplace transform for certain generalized fractional operators. Results Nonlinear Anal. 2018, 1, 88–98. [Google Scholar]
- Kiliciman, A.; Omran, M. On fractional double Laplace transform and its applications. J. Nonlinear Sci. Appl. 2017, 10, 1744–1754. [Google Scholar] [CrossRef]
- Eltayeb, H.; Bachar, I.; Gad-Allah, M. Solution of singular one-dimensional Boussinesq equation by using double conformable Laplace decomposition method. Adv. Differ. Equ. 2019, 2019, 293. [Google Scholar] [CrossRef]
- Gadain, H.E. Application of double natural decomposition method for solving singular one dimensional boussinesq equation. Filomat 2018, 32, 4389–4401. [Google Scholar] [CrossRef]
- Javeed, S.; Baleanu, D.; Waheed, A.; Shaukat Khan, M.; Affan, H. Analysis of homotopy perturbation method for solving fractional order differential equations. Mathematics 2019, 7, 40. [Google Scholar] [CrossRef]




| Exact S. | Abs. Error | |||||
|---|---|---|---|---|---|---|
| 0.25 | 0.2 | 0.015115 | 0.013713 | 0.012668 | 0.012417 | |
| 0.4 | 0.027551 | 0.025904 | 0.024679 | 0.024339 | ||
| 0.6 | 0.038149 | 0.036729 | 0.035579 | 0.035290 | ||
| 0.8 | 0.046979 | 0.045934 | 0.045059 | 0.044835 | ||
| 0.75 | 0.2 | 0.136036 | 0.123418 | 0.114011 | 0.111752 | |
| 0.4 | 0.247607 | 0.233141 | 0.221832 | 0.219048 | ||
| 0.6 | 0.343342 | 0.330557 | 0.320210 | 0.317611 | ||
| 0.8 | 0.422808 | 0.413407 | 0.405529 | 0.403551 |
| Exact S. | Abs. Error | |||||
|---|---|---|---|---|---|---|
| 0.25 | 0.2 | 0.015115 | 0.013713 | 0.012668 | 0.012417 | |
| 0.4 | 0.027551 | 0.025904 | 0.024679 | 0.024339 | ||
| 0.6 | 0.038149 | 0.036729 | 0.035579 | 0.035290 | ||
| 0.8 | 0.046979 | 0.045934 | 0.045059 | 0.044835 | ||
| 0.75 | 0.2 | 0.136036 | 0.123418 | 0.114011 | 0.111752 | |
| 0.4 | 0.247607 | 0.233141 | 0.221832 | 0.219048 | ||
| 0.6 | 0.343342 | 0.330557 | 0.320210 | 0.317611 | ||
| 0.8 | 0.422808 | 0.413407 | 0.405529 | 0.403551 |
| Exact S. | Abs. Error | |||||
|---|---|---|---|---|---|---|
| 0.25 | 0.2 | 0.015266 | 0.013826 | 0.0127562 | 0.01250 | |
| 0.4 | 0.028418 | 0.026709 | 0.0253362 | 0.02500 | ||
| 0.6 | 0.041034 | 0.039260 | 0.0378505 | 0.03750 | ||
| 0.8 | 0.035161 | 0.051599 | 0.0503224 | 0.05000 | ||
| 0.75 | 0.2 | 0.137398 | 0.124431 | 0.1148060 | 0.11250 | |
| 0.4 | 0.256393 | 0.240384 | 0.2280258 | 0.22500 | ||
| 0.6 | 0.369309 | 0.253340 | 0.3406547 | 0.33750 | ||
| 0.8 | 0.478447 | 0.464392 | 0.4529014 | 0.45000 |
| Exact S. | Abs. Error | |||||
|---|---|---|---|---|---|---|
| 0.25 | 0.2 | −0.007591 | −0.036973 | −0.057671 | −0.06250 | |
| 0.4 | 0.3781972 | 0.3097008 | 0.2613081 | 0.25000 | ||
| 0.6 | 1.1837141 | 1.0169983 | 0.9016628 | 0.87500 | ||
| 0.8 | 4.0191766 | 3.3001129 | 2.8492753 | 2.75000 | ||
| 0.75 | 0.2 | −0.669197 | −0.678989 | −0.685890 | −0.6857 | |
| 0.4 | −0.450600 | −0.563433 | −0.579564 | −0.5833 | ||
| 0.6 | −0.272096 | −0.327667 | −0.366112 | −0.3750 | ||
| 0.8 | 0.6730589 | 0.4333709 | 0.2830918 | 0.2500 |
Disclaimer/Publisher’s Note: The statements, opinions and data contained in all publications are solely those of the individual author(s) and contributor(s) and not of MDPI and/or the editor(s). MDPI and/or the editor(s) disclaim responsibility for any injury to people or property resulting from any ideas, methods, instructions or products referred to in the content. |
© 2024 by the authors. Licensee MDPI, Basel, Switzerland. This article is an open access article distributed under the terms and conditions of the Creative Commons Attribution (CC BY) license (https://creativecommons.org/licenses/by/4.0/).
Share and Cite
GadAllah, M.R.; Gadain, H.E. Conformable Double Laplace Transform Method (CDLTM) and Homotopy Perturbation Method (HPM) for Solving Conformable Fractional Partial Differential Equations. Symmetry 2024, 16, 1232. https://doi.org/10.3390/sym16091232
GadAllah MR, Gadain HE. Conformable Double Laplace Transform Method (CDLTM) and Homotopy Perturbation Method (HPM) for Solving Conformable Fractional Partial Differential Equations. Symmetry. 2024; 16(9):1232. https://doi.org/10.3390/sym16091232
Chicago/Turabian StyleGadAllah, Musa Rahamh, and Hassan Eltayeb Gadain. 2024. "Conformable Double Laplace Transform Method (CDLTM) and Homotopy Perturbation Method (HPM) for Solving Conformable Fractional Partial Differential Equations" Symmetry 16, no. 9: 1232. https://doi.org/10.3390/sym16091232
APA StyleGadAllah, M. R., & Gadain, H. E. (2024). Conformable Double Laplace Transform Method (CDLTM) and Homotopy Perturbation Method (HPM) for Solving Conformable Fractional Partial Differential Equations. Symmetry, 16(9), 1232. https://doi.org/10.3390/sym16091232

