Next Article in Journal
Optimized Tool Motion Symmetry for Strip-Width-Max Mfg of Sculptured Surfaces with Non-Ball Tools Based on Envelope Approximation
Next Article in Special Issue
Improved Fractional Differences with Kernels of Delta Mittag–Leffler and Exponential Functions
Previous Article in Journal
Bi-Objective Circular Multi-Rail-Guided Vehicle Scheduling Optimization Considering Multi-Type Entry and Delivery Tasks: A Combined Genetic Algorithm and Symmetry Algorithm
Previous Article in Special Issue
Three-Dimensional Lorentz-Invariant Velocities
 
 
Font Type:
Arial Georgia Verdana
Font Size:
Aa Aa Aa
Line Spacing:
Column Width:
Background:
Article

Closed-Form Exact Solution for Free Vibration Analysis of Symmetric Functionally Graded Beams

Department of Civil Engineering and Architecture, University of Catania, 95123 Catania, Italy
*
Author to whom correspondence should be addressed.
Symmetry 2024, 16(9), 1206; https://doi.org/10.3390/sym16091206
Submission received: 30 July 2024 / Revised: 2 September 2024 / Accepted: 10 September 2024 / Published: 13 September 2024
(This article belongs to the Special Issue Symmetry and Asymmetry in Nonlinear Partial Differential Equations)

Abstract

The dynamic stiffness method is developed to analyze the natural vibration characteristics of functionally graded beams, where material properties change continuously across the beam thickness following a symmetric law distribution. The governing equations of motion and associated natural boundary conditions for free vibration analysis are derived using Hamilton’s principle and closed-form exact solutions are obtained for both Euler–Bernoulli and Timoshenko beam models. The dynamic stiffness matrix, which governs the relationship between force and displacements at the beam ends, is determined. Using the Wittrick–Williams algorithm, the dynamic stiffness matrix is employed to compute natural frequencies and mode shapes. The proposed procedure is validated by comparing the obtained frequencies with those given by approximated well-known formulas. Finally, a parametric investigation is conducted by varying the geometry of the structure and the characteristic mechanical parameters of the functionally graded material.

1. Introduction

Functionally graded materials (FGMs) are deliberately engineered to exhibit continuously varying properties in one or more directions, offering designers extensive versatility in distributing strength and stiffness as needed. Consequently, FGMs have found successful applications in various scientific and engineering fields, including the design of aircraft and spacecraft structures [1]. The study of the static and dynamic behavior of such materials, especially from a structural design perspective, is therefore essential. Beams, acting as load-bearing components, are principal candidates for fabrication from FGMs. Beams made of FGMs can be designed to have specific vibrational characteristics, thus enhancing the stability of structures. FGMs are also beneficial in terms of thermal resistance since the gradual transition in material properties can reduce thermal stresses and prevent thermal fatigue; experimental tests on FGM concrete beams have been performed in [2]. FGMs can also be used to model circular concrete columns confined by Fiber-Reinforced Polymers (FRP) in order to predict their collapse [3].
Consequently, there has been a significant focus on the free [4,5,6,7,8,9,10,11] and forced [9,10,12,13] vibration analysis of functionally graded beams (FGBs) in recent years. The solutions have been proposed for both Euler–Bernoulli [4,6,7,8,10,13] and Timoshenko [5,7,9,10] beam models. In these studies, material properties are usually assumed to vary continuously with a power law [4,5,6,7,12,13], an exponential law [9,10,11] or an arbitrary law [8] along one or more directions. A considerable portion of the study of free vibration analysis of FGBs has relied on finite element and other approximate methods [14,15,16]. Although these methods represent valuable advancements, their results are often contingent upon the number and quality of elements employed in the analysis, leading to potential unreliability, particularly at higher frequencies.
In addition to the predominantly employed numerical methods, further studies used analytical approaches to address the free vibration problem of FGMs. Some of these are based on the use of the dynamic stiffness method (DSM) [4,5,9]. Unlike many numerical methods, the DSM adopts accurate member theory, incorporating frequency-dependent shape functions derived from the solution of the governing differential equations of motion for the structural element undergoing free vibration. Consequently, the DSM yields exact results for all natural frequencies and mode shapes without resorting to any approximation. This independence from the number of elements used in the analysis makes the DSM notably attractive and accurate compared to finite element and other approximate methods.
In FGM, different laws of variation in the mechanical characteristics in the transversal and/or axial direction can be assumed. For example, Banerjee et al. [4,5] applied the DSM to functionally graded materials in which the material properties vary continuously through the beam thickness direction according to a power law distribution. To the author’s knowledge, the case of a symmetric variation in mechanical characteristics with respect to the centroid has never been studied. For this kind of variation, the results reported in [4,5] cannot be applied since some terms of the dynamic stiffness matrix would take an indeterminate form or tend towards infinity.
Symmetric FGMs could find an interesting technical application in modeling the retrofitting of reinforced concrete framed structures, where the reinforcement of the existing columns is realized by a symmetric section augmentation with high-performance concrete; this technique has several examples of application (see, for example, [17]).
With the aim of studying the free vibrations of beam structures in which the material properties are assumed to vary continuously along the beam thickness according to a symmetric distribution, in this paper, the dynamic stiffness matrix is determined, starting from the differential equations of motion derived from Hamilton’s principle.
Subsequently, the dynamic stiffness matrix is utilized in conjunction with the Wittrick–Williams algorithm [18] to compute the natural frequencies and mode shapes of some illustrative examples. In order to apply the Wittrick and Williams algorithm in conjunction with the dynamic stiffness matrix of symmetric functionally graded materials, the term J0, representing the frequencies of vibration of clamped–clamped beams, has to be determined. For homogeneous materials, this term has a well-known expression provided in the scientific literature. In the case of FGM, this expression is not available, so an original derivation of J0 is proposed here. The frequencies of vibration of selected structures composed of symmetric functionally graded materials have been validated through the comparison with the results obtained, evaluating the corresponding Rayleigh quotient. Finally, a parametric investigation is conducted, varying the geometry of the structure and the characteristic mechanical parameters of the functionally graded material. The numerical applications refer to the mechanical parameters of the outer material being either greater or smaller than those of the inner one, and the obtained results could be used, for example, in simulating the effects of retrofitting or material degradation, respectively.

2. The Considered Functionally Graded Beam

The elementary beam model considered in this study is a rectangular section of length L, height h and width b, with y as the beam axis and cross section in the x–z plane (Figure 1).
The beam is characterized by Young’s modulus E and density ρ varying through the height of the section in the z direction with a symmetric law with respect to the centroid. The variation could be parabolic, for example, as reported below:
E ( ζ ) = E 2 + ( E 1 E 2 ) ζ 2 ,   ρ ( ζ ) = ρ 2 + ( ρ 1 ρ 2 ) ζ 2
where E2 and ρ2 are the properties of the beam at the center line of the section, E1 and ρ1 are the properties at the top and bottom surfaces of the beam, and ζ = z/(h/2) is the dimensionless abscissa along the vertical axis represented in Figure 1. In Figure 2, a clearer representation of Equation (1) is reported, where the variation in Young’s modulus E is shown as an example. Furthermore, the material properties are assumed to be constant along the horizontal x and y axes.

2.1. The Governing Differential Equations of Motion

In this subsection, the equations of motion in free vibrations of a beam made by FGM with symmetric variation in the mechanical properties and the associated closed-form solution are obtained. The formulations for the Euler–Bernoulli and Timoshenko models are briefly reported in the following subsubsections.

2.1.1. Euler–Bernoulli Beam Model

The displacement components u1, v1 and w1, respectively, along the x, y and z axes, which characterize the Euler–Bernoulli beam model, can be assumed as
u 1 = 0 ,   v 1 ( y , z , t ) = v ( y , t ) z ϕ ( y , t ) ,   w 1 ( y , z , t ) = w ( y , t )
where ϕ ( y , t ) = w ( y , t ) y is the flexural rotation in the y-z plane.
The potential and kinetic energies UP and UK of the FGB are, after some simplifications, given by [5]
U p = 1 2 0 L ( A 0 v 2 2 A 1 v w + A 2 w 2 ) d y U K = 1 2 0 L B 0 ( v ˙ 2 + w ˙ 2 ) 2 B 1 v ˙ w ˙ + B 2 w ˙ 2 d y
where prime and over-dot denote differentiation with respect to space y and time t, respectively, and the parameters A and B, which consider the variation in material properties, are
A i = A z i E ( z ) d A ,   B i = A z i ρ ( z ) d A i = 0 , 1 , 2
By applying Hamilton’s principle to the displacement field, it is possible to obtain the differential equations of motion in free vibrations. In particular, it is assumed that v(y,t) and w(y,t) can be expressed in harmonic form:
v ( y , t ) = V ( y ) e i ω t ,   w ( y , t ) = W ( y ) e i ω t
where V(y) and W(y) are the mode shapes and ω is the natural frequency. Introducing the dimensionless abscissa ξ = y/L and the differential operator D = d/, and considering that, according to the symmetric variation laws Equation (1), the terms with i = 1 in Equation (4) become zero, the equations of motion take the following form:
( B 0 ω 2 L 3 + A 0 L D 2 ) V ( ξ ) = 0 ( B 0 ω 2 L 4 B 2 ω 2 L 2 D 2 A 2 D 4 ) W ( ξ ) = 0
As it can be noticed, axial and bending contributions are decoupled and each displacement component can be easily determined from the individual equations.
The second equation in Equation (6), assuming W ( ξ ) = e λ ξ , can be written in the form
( D 4 + a D 2 + b ) e λ ξ = 0
where
a = B 2 A 2 L 2 ω 2 ,   b = B 0 A 2 L 4 ω 2
Equation (7) can be simply solved, leading to the following expression for the transversal displacement component:
W ( ξ ) = Q 1 e λ 1 ξ + Q 2 e λ 2 ξ + Q 3 e λ 3 ξ + Q 4 e λ 4 ξ
with
λ 1 , 2 , 3 , 4 = ± a ± a 2 4 b 2
where Q j , j = 1 , , 4 are constants to be obtained from the boundary conditions.
With a similar procedure, it is possible to evaluate the axial displacements in the form
V ( ξ ) = P 1 e η 1 ξ + P 2 e η 2 ξ
where η 1 , 2 = ± i c ; c = B 0 A 0 L 2 ω 2 and P j , j = 1 , 2 are constants to be obtained from the boundary conditions.

2.1.2. Timoshenko Beam Model

For the Timoshenko beam, the displacement components can still be expressed in the form of Equation (2) but, while for the Euler–Bernoulli beam the rotation ϕ(y,t) is equal to the derivative of the transversal displacement, for the Timoshenko model, ϕ(y,t) is an independent variable related to the total rotation of the cross section w y , t y and the shear strain ψ(y,t) as
ψ y , t = w y , t y ϕ y , t
The application of Hamilton’s principle to the Timoshenko beam therefore leads to a system of three differential equations of motion.
Assuming that ϕ(y,t) can also be expressed in harmonic form with amplitude Ф(y) and setting
A 3 = A G z d A
where G(z) is the shear modulus of the beam varying through the height of the section according to a symmetric law formally identical to the ones reported in Equation (1), the differential equations of motion with respect to the dimensionless abscissa ξ, considering the property of symmetry in the variation in the mechanical parameters of the material, take the form
( B 0 ω 2 L 2 + A 0 D 2 ) V ( ξ ) = 0 B 0 ω 2 L 2 W ( ξ ) + A 3 D 2 W ( ξ ) A 3 L D Φ ( ξ ) = 0 A 3 L D W ( ξ ) + B 2 ω 2 A 3 L 2 Φ ( ξ ) + A 2 D 2 Φ ( ξ ) = 0
As it can be noticed, also for the Timoshenko model, the axial and bending problems are decoupled. Assuming W ( ξ ) = e λ ξ and Φ ( ξ ) = e λ ξ , obtaining Ф(ξ) from the second equation in Equation (14) and substituting in the third equation, the differential equation governing the transversal displacement can be written in the form
D 4 + a D 2 + b e λ ξ = 0
where
a = A 3 B 2 + A 2 B 0 A 2 A 3 ω 2 L 2 ,   b = B 0 B 2 ω 2 A 3 A 2 A 3 ω 2 L 4
The same equation for Ф(ξ) would have been obtained if W(ξ) had been isolated in the third equation of Equation (14) and substituted in the second equation. Therefore, solutions for transversal displacement and flexural rotation are
W ( ξ ) = Q 1 e λ 1 ξ + Q 2 e λ 2 ξ + Q 3 e λ 3 ξ + Q 4 e λ 4 ξ Φ ( ξ ) = R 1 e λ 1 ξ + R 2 e λ 2 ξ + R 3 e λ 3 ξ + R 4 e λ 4 ξ
where λi has the same formal expression derived for the Euler–Bernoulli beam in Equation (10).
The constants Qj and Rj, j = 1, …, 4 in Equation (17) can be related to each other by substituting the expressions for W(ξ) and Ф(ξ) in the second part of Equation (14):
Q j = β j R j
where
β j = A 3 L λ j B 0 ω 2 L 2 + A 3 λ j 2
The axial problem can be solved similarly to Euler–Bernoulli beam model.

2.2. The Dynamic Stiffness Matrix

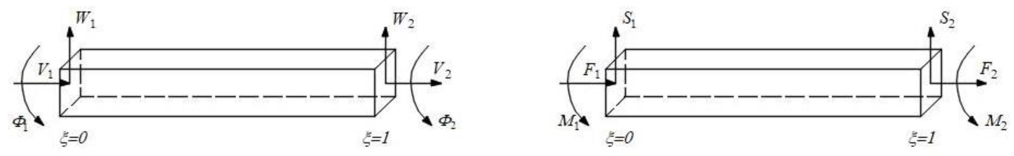
In this subsection, the derivation of the dynamic stiffness matrix of a beam made of symmetric FGM is reported for the Euler–Bernoulli and Timoshenko beams models. To this aim, the nodal displacements W, V, and Ф and the nodal forces F, M, and S are evaluated according to the convention reported in Figure 3 and applying the boundary conditions at ξ = 0 and ξ = 1 reported in Figure 4.

2.2.1. Euler–Bernoulli Beam Model

From the expressions of the transversal and axial displacements in Equations (9) and (11), it is possible to obtain the following expressions of the flexural rotation Ф(ξ), axial force F(ξ), bending moment M(ξ) and shear force S(ξ):
Φ ( ξ ) = W L = 1 L Q 1 λ 1 e λ 1 ξ + Q 2 λ 2 e λ 2 ξ + Q 3 λ 3 e λ 3 ξ + Q 4 λ 4 e λ 4 ξ
F ( ξ ) = A 0 L V = A 0 L P 1 η 1 e η 1 ξ + P 2 η 2 e η 2 ξ
M ( ξ ) = A 2 L 2 W = A 2 L 2 Q 1 λ 1 2 e λ 1 ξ + Q 2 λ 2 2 e λ 2 ξ + Q 3 λ 3 2 e λ 3 ξ + Q 4 λ 4 2 e λ 4 ξ
S ( ξ ) = A 2 L 3 W + B 2 L 2 ω 2 A 2 W = A 2 L 3 [ Q 1 λ 1 3 e λ 1 ξ + Q 2 λ 2 3 e λ 2 ξ + Q 3 λ 3 3 e λ 3 ξ + Q 4 λ 4 3 e λ 4 ξ + + B 2 L 2 ω 2 A 2 ( Q 1 λ 1 e λ 1 ξ + Q 2 λ 2 e λ 2 ξ + Q 3 λ 3 e λ 3 ξ + Q 4 λ 4 e λ 4 ξ ) ]
The nodal displacements and forces vectors can be defined as
δ = V 1 W 1 Φ 1 V 2 W 2 Φ 2 T ,   P = F 1 S 1 M 1 F 2 S 2 M 2 T
Using Equations (20)–(23), the vectors δ and P can be expressed in matrix form as
δ = B E B R
P = A E B R
where R = [P1 P2 Q1 Q2 Q3 Q4]T. Obtaining R from Equation (25) and substituting into Equation (26), the dynamic stiffness matrix KEB = AEB(BEB)−1 that relates nodal displacements and forces can be obtained:
P = K E B δ
The explicit expressions of matrices AEB and BEB for the Euler–Bernoulli beam model are not reported here for the sake of shortness but can be found in Appendix A.

2.2.2. Timoshenko Beam Model

The shear force S(ξ) and the bending moment M(ξ) for the Timoshenko beam model assume the following expressions:
S ( ξ ) = A 3 L W + L Φ = A 3 L [ ( Q 1 λ 1 e λ 1 ξ + Q 2 λ 2 e λ 2 ξ + Q 3 λ 3 e λ 3 ξ + Q 4 λ 4 e λ 4 ξ ) + + L ( R 1 e λ 1 ξ + R 2 e λ 2 ξ + R 3 e λ 3 ξ + R 4 e λ 4 ξ ) ]
M ( ξ ) = A 2 L Φ = A 2 L R 1 λ 1 e λ 1 ξ + R 2 λ 2 e λ 2 ξ + R 3 λ 3 e λ 3 ξ + R 4 λ 4 e λ 4 ξ
where the rotation Ф(ξ) is already reported in Equation (17). It has to be noted that the axial force does not depend on the beam model; therefore, the expression of F(ξ) in this case is the same as in Equation (21).
Considering the relationship between the constants Qj = βjRj, it is possible to obtain nodal forces and displacements at ξ = 0 and ξ = 1 and collect them in the vectors reported in Equation (24). Analogously to the Euler–Bernoulli beam model, the dynamic stiffness matrix KTIM = ATIM(BTIM)−1 that relates nodal displacements and forces can be obtained:
P = K T I M δ
The explicit expressions of matrices ATIM and BTIM for the Timoshenko beam are reported in Appendix A.

3. Application of the Wittrick and Williams Algorithm

The exact frequencies of vibration of simple beams or framed structures may be obtained applying the Wittrick–Williams algorithm [18] in conjunction with the dynamic stiffness matrix of the considered structure. This algorithm allows the evaluation of the number J of vibration frequencies that are smaller than a trial value ω*, by means of an iterative procedure, to converge to any required accuracy. The number J is given by
J = J K + J 0
where Jk is the number of negative eigenvalues of the dynamic stiffness matrix evaluated at the specified frequency value ω* and J 0 = b = 1 N b e a m s J 0 , b is the number of frequencies of vibration of the beams considered with both ends clamped which are lower than ω*.
The evaluation of Jk in the case of beams composed of symmetric functionally graded material can be obtained once the dynamic stiffness matrix of the structure is evaluated at the frequency value ω*. In order to compute J, the expression of J0 for FGM has to be evaluated, and since this is not available in the scientific literature, it will be originally derived in the following.
The procedure is based on the consideration of a simply supported beam made of FGM, for which the natural frequencies of vibration, for the cases of both the Euler–Bernoulli and Timoshenko models, are given in [19]. In particular, for Timoshenko beams, the frequencies of vibration take the following expression:
ω n 2 = 2 E ^ 2 α n 4 ρ 0 1 ζ n + ζ n 2 4 ρ ^ 2 E ^ 2 ρ 0 G 0 s α n 4
where E ^ 2 and ρ ^ 2 are given by
E ^ 2 = E 2 E 1 2 E 0 ,   ρ ^ 2 = ρ 2 ρ 1 2 ρ 0
and E i = A i , ρ i = B i , i = 0 , 1 , 2 , G 0 s = A 3 are terms that consider the variation of the material as in Equations (4)–(13) and αn is given by
α n = n π L
where L is the length of the beam and n is the frequency number. ζn has the following expression:
ζ n = 1 + α n 2 ρ ^ 2 ρ 0 + E ^ 2 G 0 s
In the case of Euler–Bernoulli, Equation (32) is simplified in
ω n = α n 2 E ^ 2 ρ 0 + ρ ^ 2 α n 2
Obtaining αn from Equation (32) or Equation (36), depending on the beam model, it is possible to isolate n and, by setting ωn = ω*, find the number of natural frequencies below the assigned frequency, thus obtaining Jb for a simply supported beam made of FGM.
With respect to the determination of Jk,b, the DSM for the simply supported beam can be obtained, according to the boundary conditions, by imposing M1 = M2 = v1 = v2 = 0; therefore, the matrix system is as follows:
0 0 = K 2 , 2 K 2 , 4 K 4 , 2 K 4 , 4 φ 1 φ 2
The term Jk,b is the number of negative eigenvalues of the DSM in Equation (37) evaluated at the specified frequency value ω*.
Finally, the term, J0,b (which, as already said, refers to the number of frequencies of vibration of the beams considered with both ends clamped which are lower than ω*) can be evaluated by applying Equation (31) to a simply supported beam composed of FGM and calculating J0,b = Jb − Jk,b.

4. Results and Discussion

In this section, with the aim of investigating the influence of material variability on the eigenproperties of structures, the proposed procedure has been applied both to single beams with different boundary conditions and to framed structures. Firstly, in order to validate the obtained results, the frequencies of vibration of some single beams composed of symmetric functionally graded materials have been compared with those obtained by evaluating the corresponding Rayleigh quotient, showing a very good correspondence. Furthermore, some results reported in the literature with reference to homogeneous material have been re-obtained by means of the dynamic stiffness method. Finally, some parametric analyses by varying the E1/E2 ratio on beams and on a simple portal frame have been conducted.

4.1. Validation of the Proposed Procedure

4.1.1. Rayleigh’s Quotient

In this subsection, the fundamental natural frequency of vibration obtained with the proposed procedure is compared to the one obtained through Rayleigh’s quotient, defined as
ω 2 = L k ϕ 2 d y L m ϕ 2 d y
where k and m are the distributed stiffness and mass of the beam, respectively, ω2 represents the frequency of vibration, and ϕ is the mode shape of the beam.
In Equation (38), the numerator is a quantity proportional to the potential energy, while the denominator is a measure of the kinetic energy. Thus, this quotient may also be derived by equating the maximum value of kinetic energy to the maximum value of potential energy. If potential and kinetic energies are calculated by imposing the exact mode shape of the beam under particular boundary conditions, Rayleigh’s quotient leads to the exact value of the fundamental natural frequency of the beam.
The kinetic and potential energies for an Euler–Bernoulli beam composed of symmetric FGM have been reported in Equation (3). Assuming a harmonic variability with time for the transversal displacement,
w y , t = ψ y c o s ω n t
The maximum values of Uk and Up assume the form
U K , max = 1 2 0 L B 0 ψ 2 y ω n 2 + B 2 ψ 2 y ω n 2 d y U p , max = 1 2 0 L A 2 ψ 2 y d y U K , max = U p , max
Rayleigh’s quotient can be therefore written as
ω n 2 = 0 L A 2 ψ 2 y d y 0 L B 0 ψ 2 y + B 2 ψ 2 y d y
With reference, for example, to an Euler–Bernoulli simply supported beam, the Rayleigh quotient can be exactly evaluated, assuming the shape of the vibration mode as
ψ y = A s i n π y L
and therefore
ω n 2 = A 2 0 L π 4 L 4 A 2 s i n 2 π y L d y B 0 0 L A 2 s i n 2 π y L d y + B 2 0 L π 2 L 2 A 2 s i n 2 π y L d y = A 2 π 4 L 4 B 0 + B 2 π 2 L 2
The comparison of the frequencies of vibration obtained by means of the dynamic stiffness matrix and the Rayleigh quotient of simply supported beams is reported in Table 1. A rectangular cross section with dimensions 30 × 50 cm2 has been considered and the mechanical properties of the inner material have been assumed to be E2 = 30 GPa and ρ = 2000 kg/m3. The ratio between the length of the beam L and the height of the cross section h has been assumed to be variable, with values 10, 15, and 20. The ratio between the Young moduli of the outer and inner materials has also been assumed variable, with values 9/5, 7/5, 3/5, and 1/5.
The reported comparison clearly shows that the proposed procedure allows for evaluating the exact frequencies of vibration of a simply supported beam composed of symmetric FGM. Other boundary conditions, not reported for the sake of brevity, have also been analyzed, and the results confirm the accuracy of the approach.

4.1.2. Homogeneous Beams with Different Boundary Conditions

A second validation of the reliability of the proposed procedure can be obtained by evaluating the non-dimensional frequency parameter λ i = ω i ρ A L 4 E I for single beams with different boundary conditions and different length/cross-section height ratios L/h when the material properties are constant in the cross section. The results obtained by means of the proposed procedure considering the Euler–Bernoulli beam model have been compared to those reported by Lee and Lee in [20] for homogeneous beams. Table 2 shows the comparison and highlights the accuracy of the obtained results. Comparisons were made for clamped–free (C-F), clamped–clamped (C-C), simply supported (S-S) and clamped–supported (C-S) end conditions. The cross section of the beams has been assumed to have dimensions 30 × 50 cm2 and the mechanical properties are E = 70 GPa and ρ = 2702 kg/m3.
In Figure 5, the first three modes of vibration of the differently constrained beams have been reported.
With the aim of validating the proposed procedure, the case shear deformability is taken into account; the fundamental frequency parameter of simply supported homogeneous Timoshenko beams λ 1 = ω 1 L 2 h ρ E has been evaluated for different length/cross-section height ratios L/h and compared in Table 3 to corresponding results reported in [5,21]. The mechanical properties of the beam are E = 70 GPa, ρ = 2702 kg/m3 and Poisson’s ratio υ = 0.3; a rectangular cross section has been considered. For the case of C-C and C-F beams, the results are compared in Table 4 with those reported by Şimşek in [22]. For the latter comparison, the considered mechanical properties are E = 70 GPa, ρ = 2707 kg/m3 and υ = 0.3. The reported values show a very good agreement with the results available in the literature.

4.2. Eigenproperties of Single Beams Composed of Symmetric Functionally Graded Materials

In this subsection, beams with different boundary conditions are analyzed, assuming a symmetric variation in the mechanical properties in the cross section. In particular, the cross section is rectangular with dimensions 30 × 50 cm2, and the values for the mechanical properties of the inner material have been assumed equal to E2 = 30 GPa and ρ = 2000 kg/m3. Both increasing and decreasing values of the ratio E1/E2 with respect to unity have been considered, assuming greater or lower stiffness of the outer material with respect to the inner one. In general, both the Young modulus and density can vary. The influence of the variation in these two parameters on the natural frequencies of vibration can be represented in terms of surfaces, as shown, for example, in Figure 6, for a C-C beam with slenderness ratio L/h = 10. The correspondent surfaces for other constraint conditions and slenderness ratios have not been reported for the sake of brevity. In order to observe in detail the numerical variations in natural frequencies, sections of these surfaces can be reported in terms of tables, assuming constant ρ or E1/E2. Table 5 and Table 6 report the frequencies of vibration for different values of the ratio E1/E2 both for Euler–Bernoulli and Timoshenko beam models. Only the frequencies for different values of E1/E2 assuming constant density have been reported because these are the results with a more significant frequency variation.
Slender beams with L/h = 10, 15, and 20 have been considered, but, in order to highlight the influence of shear deformation, the case of a squat beam with L/h = 3 has also been reported.
The results reported in Table 5 and Table 6 and Figure 6 show that, as expected, for decreasing values of the ratio E1/E2, the FGM becomes more deformable, and therefore, the natural frequencies decrease.
From the values reported in Table 6, the influence of the shear deformability consists in a reduction in each frequency of vibration, and this influence is more accentuated for lower values of the slenderness ratios L/h.
It is interesting to point out that for all the support conditions and all the considered values of the slenderness ratio L/h, the ratio ω i E 1 / E 2 = 1 ω i E 1 / E 2 = 1 / 5 ω i E 1 / E 2 = 1 , where ωi is the i-th frequency of vibration referring to the value of E1/E2 considered, remains constant for the Euler–Bernoulli beam model and equal to 27.89%. The corresponding ratio for the Timoshenko beam model varies between 27.86% and 24.67%. In particular, the value of the ratio decreases when ω increases (i.e., for example, when decreasing the value of L/h or when considering a boundary condition with fewer degrees of freedom). Therefore, when shear deformability is considered, the reduction in the frequencies of vibration due to the decreasing E1/E2 is higher for more deformable beams, whereas the frequency reduction is not affected by the boundary conditions or the slenderness of the beam when shear deformability is neglected.

4.3. Eigenproperties of a Framed Structure Composed of Symmetric Functionally Graded Materials

In this subsection, frequencies of vibration and mode shapes of a framed structure with elements composed of symmetric FGM are obtained. Columns of the frame have height H and the beam has length L, as shown in Figure 7.
Each element of the structure has a rectangular cross section with base b = 0.3 m and height h = 0.6 m. The mechanical properties of the inner material are E2 = 30 GPa and ρ2 = 2000 kg/m3. The results are obtained for different values of H/L = 1, 1/2, and 1/3, with H = 3 m assumed constant. For the Euler–Bernoulli beam model, frequencies for different values of the E1/E2 ratio by decreasing the Young modulus of the outer material only and assuming ρ1/ρ2 = 1 have been reported in Table 7, whereas frequencies for different values of ρ1/ρ2 by decreasing the density of the outer material only and assuming E1/E2 = 1 have been reported in Table 8.
Figure 8 summarizes the results reported in Table 7 and Table 8 for H/L = 1 in terms of 3D surfaces in which the first three frequencies of vibration are shown with the variation in the ratios E1/E2 and ρ1/ρ2. As can be observed, the relationships between the frequencies of vibration and the mechanical property ratios are almost linear. It can also be observed that, as expected, the frequencies increase by increasing E1 (stiffer material), whereas they decrease by increasing ρ1 (higher values of mass).
The first three mode shapes of the framed structure for H/L = 1 and E1/E2 = 4/5 are shown in Figure 9 as an example.
Analogous results for the Timoshenko beam model are reported in Table 9 and Table 10.
As in the case of the beam with different boundary conditions of the previous paragraph, changing the shear deformability reduces the stiffness and, consequently, the frequencies of vibration.

5. Conclusions

Inhomogeneous beams in which the mechanical properties vary along the beam thickness according to a symmetric distribution have been considered. In particular, the Young modulus and the mass density of the inner material have been assumed to be constant, while, with a symmetric parabolic variation, an outer material with variable characteristics has been introduced. The eigenproperties of single beams with different support conditions and slenderness ratios have been evaluated by means of the Wittrick and Williams algorithm applied in conjunction with the dynamic stiffness matrix for both Euler–Bernoulli and Timoshenko beam models. As expected, the reduction in mechanical characteristics of the outer material involves a reduction in vibration frequencies as the structures become more deformable. Considerations of the percentages of reduction for the considered beams have been reported, allowing us to differentiate the behavior of Euler–Bernoulli beams from Timoshenko beams and also to identify which support condition and slenderness ratio mainly affect the frequency reduction. The proposed approach can also be applied to framed structures, and a simple example of an elementary frame has been reported in this paper. The developed study aims to make a contribution to the design of structures using FGMs, since these materials allow for planning advanced structures tailored to specific dynamic conditions.
It must be pointed out that, although the proposed approach provides an exact mathematical solution within the adopted classical beam theories, the fundamental hypotheses of these theories could not be suitable for considering the presence of complex materials which could require the adoption of more sophisticated approaches based on the use of solid FEM elements.

Author Contributions

Conceptualization, I.C. and A.G.; methodology, I.F.; software, L.L.; validation, L.L. and I.F.; formal analysis, I.C. and A.G.; investigation, L.L. and I.F.; resources, I.C. and A.G.; data curation, L.L. and I.F.; writing—original draft preparation, L.L. and I.F.; writing—review and editing, I.C. and A.G.; visualization, L.L. and I.F.; supervision, I.C. and A.G.; project administration, I.C. and A.G.; funding acquisition, I.C. and A.G. All authors have read and agreed to the published version of the manuscript.

Funding

This research was funded by the Italian Ministry of University and Research (MUR) with the projects PRIN2020 #20209F3A37 and PRIN2022 P20229YAYL_001.

Data Availability Statement

Data are contained within the article.

Conflicts of Interest

The authors declare no conflicts of interest.

Appendix A

The formal expressions of the matrices AEB and BEB for the Euler–Bernoulli beam model and ATIM and BTIM for the Timoshenko beam model are reported here for completeness.
B E B = 1 1 0 0 0 0 0 0 1 1 1 1 0 0 λ 1 L λ 2 L λ 3 L λ 4 L e η 1 e η 2 0 0 0 0 0 0 e λ 1 e λ 2 e λ 3 e λ 4 0 0 λ 1 e λ 1 L λ 2 e λ 2 L λ 3 e λ 3 L λ 4 e λ 4 L
A E B = a 11 a 12 0 0 0 0 0 0 a 23 a 24 a 25 a 26 0 0 a 33 a 34 a 35 a 36 a 41 a 42 0 0 0 0 0 0 a 53 a 54 a 55 a 56 0 0 a 63 a 64 a 65 a 66
where the elements of the matrix AEB for h = 1, 2 and k = 3, …, 6 are given by
a 1 h = A 0 η h L , a 2 k = A 2 L 3 λ k 2 3 + B 2 L 2 ω 2 A 2 λ k 2 , a 3 k = A 2 L 2 λ k 2 2 , a 4 h = A 0 η h e η h L , a 5 k = A 2 e λ k 2 L 3 λ k 2 3 + B 2 L 2 ω 2 A 2 λ k 2 , a 6 k = A 2 L 2 λ k 2 2 e λ k 2 .
where Ai and Bi, for i = 0, 1, 2; λj, for j = 1, …, 4; and ηh for h = 1, 2 are defined in Section 2.2.1.
B T I M = 1 1 0 0 0 0 0 0 1 1 1 1 0 0 1 β 1 1 β 2 1 β 3 1 β 4 e η 1 e η 2 0 0 0 0 0 0 e λ 1 e λ 2 e λ 3 e λ 4 0 0 e λ 1 β 1 e λ 2 β 2 e λ 3 β 3 e λ 4 β 4
A T I M = a 11 a 12 0 0 0 0 0 0 a 23 a 24 a 25 a 26 0 0 a 33 a 34 a 35 a 36 a 41 a 42 0 0 0 0 0 0 a 53 a 54 a 55 a 56 0 0 a 63 a 64 a 65 a 66
where the elements of the matrix ATIM for h = 1, 2 and k = 3, …, 6 are given by
a 1 h = A 0 η h L , a 2 k = A 3 L λ k 2 + L β k 2 , a 3 k = A 2 L λ k 2 β k 2 , a 4 h = A 0 η h e η h L , a 5 k = A 3 e λ k 2 L λ k 2 L β k 2 , a 6 k = A 2 L λ k 2 e λ k 2 β k 2 .
where Ai for i = 0, …, 3; λj and βj for j = 1, …, 4; and ηh for h = 1, 2 are defined in Section 2.2.2.

References

  1. Mahamood, R.M.; Akinlabi, E.T.; Shukla, M.; Pityana, S. Functionally Graded Material: An Overview. In Proceedings of the World Congress on Engineering 2012, London, UK, 4–6 July 2012; Volume 3. [Google Scholar]
  2. Herrmann, M.; Sobek, W. Functionally Graded Concrete: Numerical Design Methods and Experimental Tests of Mass-Optimized Structural Components. Struct. Concr. 2017, 18, 54–66. [Google Scholar] [CrossRef]
  3. Fraldi, M.; Nunziante, L.; Carannante, F.; Prota, A.; Manfredi, G.; Cosenza, E. On the Prediction of the Collapse Load of Circular Concrete Columns Confined by FRP. Eng. Struct. 2008, 30, 3247–3264. [Google Scholar] [CrossRef]
  4. Banerjee, J.R.; Ananthapuvirajah, A. Free Vibration of Functionally Graded Beams and Frameworks Using the Dynamic Stiffness Method. J. Sound Vib. 2018, 422, 34–47. [Google Scholar] [CrossRef]
  5. Su, H.; Banerjee, J.R. Development of Dynamic Stiffness Method for Free Vibration of Functionally Graded Timoshenko Beams. Comput. Struct. 2015, 147, 107–116. [Google Scholar] [CrossRef]
  6. Liu, X.; Chang, L.; Banerjee, J.R.; Dan, H.-C. Closed-Form Dynamic Stiffness Formulation for Exact Modal Analysis of Tapered and Functionally Graded Beams and Their Assemblies. Int. J. Mech. Sci. 2022, 214, 106887. [Google Scholar] [CrossRef]
  7. Mohammadnejad, M. Free Vibration Analysis of Axially Functionally Graded Beams Using Fredholm Integral Equations. Arch. Appl. Mech. 2023, 93, 961–976. [Google Scholar] [CrossRef]
  8. Shahba, A.; Rajasekaran, S. Free Vibration and Stability of Tapered Euler–Bernoulli Beams Made of Axially Functionally Graded Materials. Appl. Math. Model. 2012, 36, 3094–3111. [Google Scholar] [CrossRef]
  9. Deng, H.; Cheng, W. Dynamic Characteristics Analysis of Bi-Directional Functionally Graded Timoshenko Beams. Compos. Struct. 2016, 141, 253–263. [Google Scholar] [CrossRef]
  10. Şimşek, M. Bi-Directional Functionally Graded Materials (BDFGMs) for Free and Forced Vibration of Timoshenko Beams with Various Boundary Conditions. Compos. Struct. 2015, 133, 968–978. [Google Scholar] [CrossRef]
  11. Karamanli, A.; Wattanasakulpong, N.; Lezgy-Nazargah, M.; Vo, T.P. Bending, Buckling and Free Vibration Behaviours of 2D Functionally Graded Curved Beams. Structures 2023, 55, 778–798. [Google Scholar] [CrossRef]
  12. Trinh, L.C.; Vo, T.P.; Thai, H.-T.; Nguyen, T.-K. An Analytical Method for the Vibration and Buckling of Functionally Graded Beams under Mechanical and Thermal Loads. Compos. Part B Eng. 2016, 100, 152–163. [Google Scholar] [CrossRef]
  13. Li, X.; Li, L.; Hu, Y.; Ding, Z.; Deng, W. Bending, Buckling and Vibration of Axially Functionally Graded Beams Based on Nonlocal Strain Gradient Theory. Compos. Struct. 2017, 165, 250–265. [Google Scholar] [CrossRef]
  14. Kahya, V.; Turan, M. Finite Element Model for Vibration and Buckling of Functionally Graded Beams Based on the First-Order Shear Deformation Theory. Compos. Part B Eng. 2017, 109, 108–115. [Google Scholar] [CrossRef]
  15. Su, Z.; Jin, G.; Ye, T. Vibration Analysis of Multiple-Stepped Functionally Graded Beams with General Boundary Conditions. Compos. Struct. 2018, 186, 315–323. [Google Scholar] [CrossRef]
  16. Huang, Y.; Yang, L.-E.; Luo, Q.-Z. Free Vibration of Axially Functionally Graded Timoshenko Beams with Non-Uniform Cross-Section. Compos. Part B Eng. 2013, 45, 1493–1498. [Google Scholar] [CrossRef]
  17. Beschi, C.; Meda, A.; Riva, P. Column and Joint Retrofitting with High Performance Fiber Reinforced Concrete Jacketing. J. Earthq. Eng. 2011, 15, 989–1014. [Google Scholar] [CrossRef]
  18. Williams, F.W.; Wittrick, W.H. An Automatic Computational Procedure for Calculating Natural Frequencies of Skeletal Structures. Int. J. Mech. Sci. 1970, 12, 781–791. [Google Scholar] [CrossRef]
  19. Li, X.-F. A Unified Approach for Analyzing Static and Dynamic Behaviors of Functionally Graded Timoshenko and Euler–Bernoulli Beams. J. Sound Vib. 2008, 318, 1210–1229. [Google Scholar] [CrossRef]
  20. Lee, J.W.; Lee, J.Y. Free Vibration Analysis of Functionally Graded Bernoulli-Euler Beams Using an Exact Transfer Matrix Expression. Int. J. Mech. Sci. 2017, 122, 1–17. [Google Scholar] [CrossRef]
  21. Sina, S.A.; Navazi, H.M.; Haddadpour, H. An Analytical Method for Free Vibration Analysis of Functionally Graded Beams. Mater. Des. 2009, 30, 741–747. [Google Scholar] [CrossRef]
  22. Şimşek, M. Fundamental Frequency Analysis of Functionally Graded Beams by Using Different Higher-Order Beam Theories. Nucl. Eng. Des. 2010, 240, 697–705. [Google Scholar] [CrossRef]
Figure 1. The beam model.
Figure 1. The beam model.
Symmetry 16 01206 g001
Figure 2. The considered functionally graded beam: the colors denote the different materials.
Figure 2. The considered functionally graded beam: the colors denote the different materials.
Symmetry 16 01206 g002
Figure 3. Sign convention for axial force, shear force and bending moment.
Figure 3. Sign convention for axial force, shear force and bending moment.
Symmetry 16 01206 g003
Figure 4. Boundary conditions for displacements and forces.
Figure 4. Boundary conditions for displacements and forces.
Symmetry 16 01206 g004
Figure 5. Mode shapes of the beam for different boundary conditions.
Figure 5. Mode shapes of the beam for different boundary conditions.
Symmetry 16 01206 g005
Figure 6. The first three frequencies of vibration for C-C beam as a function of E1/E2 and ρ1/ρ2 for L/h = 10 considering the Euler–Bernoulli beam model.
Figure 6. The first three frequencies of vibration for C-C beam as a function of E1/E2 and ρ1/ρ2 for L/h = 10 considering the Euler–Bernoulli beam model.
Symmetry 16 01206 g006
Figure 7. Considered framed structure.
Figure 7. Considered framed structure.
Symmetry 16 01206 g007
Figure 8. The first three frequencies of vibration as a function of E1/E2 and ρ1/ρ2 for H/L = 1.
Figure 8. The first three frequencies of vibration as a function of E1/E2 and ρ1/ρ2 for H/L = 1.
Symmetry 16 01206 g008
Figure 9. Mode shapes of the framed structure.
Figure 9. Mode shapes of the framed structure.
Symmetry 16 01206 g009
Table 1. Comparison of frequencies of vibration in rad/s for FGM simply supported beam.
Table 1. Comparison of frequencies of vibration in rad/s for FGM simply supported beam.
L/h E 1 E 2 = 9 5 E 1 E 2 = 7 5 E 1 E 2 = 3 5 E 1 E 2 = 1 5
Proposed ProcedureRayleigh QuotientProposed ProcedureRayleigh QuotientProposed ProcedureRayleigh QuotientProposed ProcedureRayleigh Quotient
10267.3849267.3849244.7467244.7467191.6077191.6077158.4922158.4922
15119.1080119.1080109.0237109.023785.352685.352670.601170.6011
2067.051767.051761.374761.374748.049148.049139.744839.7448
Table 2. Comparison of frequency parameter for the Euler–Bernoulli beam model.
Table 2. Comparison of frequency parameter for the Euler–Bernoulli beam model.
L/hC-FC-C
λ1λ2λ3λ1λ2λ3
103.50921.74359.80122.25960.522116.21Proposed procedure
3.50921.74359.80222.25960.522116.21Lee and Lee
203.51421.96061.20622.34561.379119.68Proposed procedure
3.51421.96161.20722.34561.379119.68Lee and Lee
303.51522.00161.47822.36161.542120.35Proposed procedure
3.51522.00261.47822.36161.542120.35Lee and Lee
L/hS-SC-S
λ1λ2λ3λ1λ2λ3
109.82938.84585.71115.34549.095100.39Proposed procedure
9.82938.84585.71115.34549.095100.39Lee and Lee
209.86039.31788.01615.40049.743103.24Proposed procedure
9.86039.31788.01615.40049.743103.24Lee and Lee
309.86539.40788.46315.41049.866103.80Proposed procedure
9.86539.40788.46415.41049.866103.80Lee and Lee
Table 3. Comparison of fundamental frequency parameter for Timoshenko beam model for simply supported beam.
Table 3. Comparison of fundamental frequency parameter for Timoshenko beam model for simply supported beam.
L/hProposed ApproachSu and BanerjeeSina et al. [21]
102.80232.80232.797
302.84382.84392.843
1002.84862.84962.848
Table 4. Comparison of fundamental frequency parameter for Timoshenko beam model for C-C and C-F beams.
Table 4. Comparison of fundamental frequency parameter for Timoshenko beam model for C-C and C-F beams.
L/hC-CC-F
55.19460.9843Proposed procedure
5.21380.9845Şimşek
206.34951.0130Proposed procedure
6.35121.0130Şimşek
Table 5. Results for frequencies of vibration in rad/s for symmetric FGM for Euler–Bernoulli beam model.
Table 5. Results for frequencies of vibration in rad/s for symmetric FGM for Euler–Bernoulli beam model.
L/hC-FC-C E 1 E 2
ω1ω2ω3ω1ω2ω3
31040.51505837.492014,278.23176406.482315,594.643126,398.02599/5
997.44045595.834913,687.14996141.270514,949.065225,305.21598/5
952.41965343.259713,069.36275864.076314,274.319824,163.03247/5
905.16245078.137512,420.88615573.112213,566.055622,964.10926/5
855.29804798.388911,736.63425266.096012,818.717621,699.04361
802.34074501.287811,009.93884940.035912,025.023020,355.50724/5
745.63154183.138410,231.76054590.876111,175.099018,916.78773/5
684.23843838.71119389.30734212.876810,254.974117,359.23492/5
616.76423460.16748463.40733797.43589243.708715,647.40291/5
1095.4612591.46061626.7698605.52231646.36903161.18019/5
91.5094566.97571559.4258580.45531578.21363030.31548/5
87.3790541.38451489.0391554.25571506.97892893.53827/5
83.0434514.52211415.1558526.75461432.20552749.96646/5
78.4686486.17771337.1966497.73631353.30702598.47401
73.6101456.07511254.4016466.91801269.51452437.58474/5
68.4074423.83991165.7410433.91641179.78572265.29723/5
62.7749388.94211069.7573398.18901082.64562078.77922/5
56.5845350.5877964.2662358.9227975.88361873.78631/5
1542.4728264.8157735.4772269.8832739.35621435.68149/5
40.7145253.8530705.0303258.7107708.74881376.24798/5
38.8768242.3950673.2079247.0335676.75851314.12927/5
36.9478230.3679639.8046234.7761643.17901248.92466/5
34.9124217.6772604.5585221.8426607.74711180.12281
32.7507204.1993567.1262208.1068570.11731107.05334/5
30.4359189.7666527.0419193.3979529.82161028.80723/5
27.9299174.1417483.6468177.4741486.1976944.09832/5
25.1757156.9692435.9534159.9730438.2526850.99871/5
2023.8999149.3472416.2481151.9602417.4227813.88869/5
22.9105143.1646399.0165145.6694400.1424780.19578/5
21.8764136.7027381.0064139.0944382.0815744.98067/5
20.7910129.9197362.1016132.1928363.1233708.01616/5
19.6456122.7626342.1538124.9105343.1193669.01231
18.4292115.1615320.9687117.1764321.8744627.58924/5
17.1266107.0220298.2828108.8944299.1245583.23143/5
15.716598.2101273.723099.9284274.4954535.20982/5
14.166788.5254246.730690.0742247.4268482.43161/5
L/hS-SC-S E 1 E 2
ω1ω2ω3ω1ω2ω3
32855.512510,211.292819,887.75524429.710812,775.531223,040.83909/5
2737.30169788.571719,064.45354246.332312,246.657322,087.00798/5
2613.75009346.751918,203.95484054.668611,693.888621,090.08237/5
2484.06088882.984117,300.70973853.483711,113.660420,043.63306/5
2347.21688393.631016,347.63403641.199910,501.422018,939.45301
2201.88457873.923815,335.44013415.74829851.207017,766.78184/5
2046.25627317.397914,251.53693174.32459154.927416,511.03233/5
1877.77346714.904813,078.10722912.95998401.137615,151.56242/5
1692.60216052.733411,788.44662625.70667572.683113,657.43381/5
10267.38491056.68792331.5864417.42271335.52762730.85179/5
256.31591012.94382235.0648400.14241280.24022617.80158/5
244.7467967.22322134.1823382.08151222.45492499.64377/5
232.6029919.23152028.2882363.12331161.79912375.61626/5
219.7891868.59211916.5522343.11931097.79692244.74631
206.1804814.81161797.8854321.87441029.82482105.75874/5
191.6077757.22101670.8115299.1245957.03721956.92453/5
175.8313694.87371533.2418274.4954878.23751795.79702/5
158.4922626.35071382.0455247.4268791.63261618.70961/5
15119.1080473.85011056.6879186.0130599.34241238.98279/5
114.1772454.23401012.9438178.3125574.53121187.69208/5
109.0237433.7315967.2232170.2641548.59901134.08407/5
103.6141412.2106919.2315161.8160521.37861077.81296/5
97.9061389.5024868.5921152.9017492.65651018.43751
91.8441365.3857814.8116143.4345462.1527955.37914/5
85.3526339.5603757.2210133.2966429.4879887.85323/5
78.3249311.6019694.8737122.3214394.1252814.75002/5
70.6011280.8742626.3507110.2590355.2596734.40571/5
2067.0517267.3849598.5720104.7296338.2895702.11659/5
64.2759256.3159573.7927100.3941324.2852673.05078/5
61.3747244.7467547.893895.8627309.6482642.67177/5
58.3294232.6029520.708491.1061294.2840610.78366/5
55.1161219.7891492.023286.0872278.0723577.13621
51.7035206.1804461.558780.7570260.8549541.40184/5
48.0491191.6077428.935975.0491242.4178503.13573/5
44.0929175.8313393.618668.8698222.4578461.70902/5
39.7448158.4922354.803062.0784200.5208416.17891/5
Table 6. Results for frequencies of vibration in rad/s for symmetric FGM for Timoshenko beam model.
Table 6. Results for frequencies of vibration in rad/s for symmetric FGM for Timoshenko beam model.
L/hC-FC-C E 1 E 2
ω1ω2ω3ω1ω2ω3
3976.74504397.47739584.67974186.26778648.053813,854.50029/5
938.00584243.40989264.34864049.12028379.551413,429.79228/5
897.48634082.39998930.12973906.02968100.336612,988.34767/5
854.91023913.29828579.75133756.00637808.724312,527.57186/5
809.92173734.58938210.20863597.73397502.476912,044.03561
762.05003544.20947817.38643429.39917178.504311,533.03194/5
710.64993339.23337395.39793248.39266832.325310,987.78583/5
654.79823115.30126935.34643050.74836457.019510,397.93062/5
593.09502865.48066422.78242829.99676040.98249746.25511/5
1094.8493567.04801486.8251567.99821449.97382611.48539/5
90.9403544.23681428.8213545.47251394.69662515.54048/5
86.8542520.38221368.1448521.91221336.86562415.17837/5
82.5646495.32441304.3756497.15661276.07252309.67826/5
78.0376468.85811236.9710470.99921211.78782198.09771
73.2287440.71221165.2098443.16621143.30402079.16754/5
68.0776410.51711088.0998413.28271069.64171951.11293/5
62.4986377.74531004.2138380.8122989.38301811.33412/5
56.3647341.6006911.3762344.9408900.35041655.78391/5
1542.3507259.6980703.7623261.9847694.81561299.84219/5
40.6010249.0905675.4856251.3573667.22821249.43638/5
38.7721238.0008645.9152240.2453638.37401196.70537/5
36.8523226.3559614.8525228.5751608.05671141.28226/5
34.8264214.0625582.0428216.2521576.02351082.69191
32.6747200.9979547.1496203.1519541.93981020.30274/5
30.3702186.9951509.7133189.1049505.3473953.24393/5
27.8749171.8174469.0787173.8700465.5906880.26122/5
25.1317155.1082424.2557157.0839421.6756799.43881/5
2023.8611147.6924405.6701149.4019402.5527766.76219/5
22.8745141.6252389.1699143.2889386.2950736.26778/5
21.8432135.2829371.9181136.8983369.2947704.37387/5
20.7606128.6240353.8008130.1879351.4385670.86366/5
19.6183121.5958334.6718123.1044332.5809635.45851
18.4051114.1287314.3388115.5770312.5301597.78954/5
17.1058106.1285292.5401107.5101291.0244557.35183/5
15.699097.4613268.903598.7676267.6912513.42312/5
14.152787.9264242.868789.1451241.9686464.90911/5
L/hS-SC-S E 1 E 2
ω1ω2ω3ω1ω2ω3
32540.78147688.099913,383.18583355.98258221.751113,606.48079/5
2443.36547422.272412,953.34753238.27627953.598213,180.45548/5
2341.44677144.335912,504.82103115.23147673.984212,736.86277/5
2234.30826852.246412,034.39782985.96107381.023512,272.84046/5
2121.02026543.300511,537.76912849.29657072.210711,784.57401
2000.34256213.803811,008.93152703.64746744.094211,266.78474/5
1870.56145858.503710,439.13572546.76286391.701210,711.81893/5
1729.20035469.55399814.90132375.29486007.450910,107.90242/5
1572.46325034.46379113.94572183.93515578.90649435.47081/5
10263.81691005.64552111.9527402.55271225.15082364.19119/5
252.9963965.38572030.0611386.29501177.24842274.97038/5
241.6846923.28151944.3898369.29471127.13922181.62897/5
229.8079879.04931854.3418351.43851074.47682083.50416/5
217.2717832.32411759.1449332.58091018.81421979.73431
203.9517782.62401657.7716312.5301959.55741869.16544/5
189.6792729.29031548.8062291.0244895.88971750.19593/5
174.2147671.38261430.2094267.6912826.63761620.49952/5
157.1986607.47891298.8667241.9686750.01321476.48981/5
15118.3873462.90971005.6455182.9546575.03221151.13639/5
113.5069444.0511965.3857175.4667551.88731105.76268/5
108.4056424.3341923.2815167.6388527.68411058.30197/5
103.0502403.6286879.0493159.4193502.26051008.42886/5
97.3985381.7681832.3241150.7427475.4082955.72381
91.3949358.5334782.6240141.5227446.8528899.63074/5
84.9641333.6263729.2903131.6420416.2193839.38633/5
77.9995306.6230671.3826120.9340382.9734773.89642/5
70.3410276.8856607.4789109.1485346.3082701.49831/5
2066.8218263.8169581.3592103.7477330.2736672.08399/5
64.0622252.9963557.767899.4807316.8241645.07398/5
61.1777241.6846533.100995.0203302.7624616.82827/5
58.1497229.8079507.195090.3375287.9955587.15736/5
54.9543217.2717479.840485.3951272.4047555.81771
51.5604203.9517450.761080.1444255.8336522.48824/5
47.9254189.6792419.580874.5192238.0691486.73003/5
43.9893174.2147385.765068.4258218.8089447.91752/5
39.6620157.1986348.507561.7233197.5975405.10561/5
Table 7. Frequencies for framed structure with varying Young modulus for Euler–Bernoulli beam model.
Table 7. Frequencies for framed structure with varying Young modulus for Euler–Bernoulli beam model.
H/L Frequencies r a d s E 1 E 2 = 9 5 E 1 E 2 = 8 5 E 1 E 2 = 7 5 E 1 E 2 = 6 5 E 1 E 2 = 1 E 1 E 2 = 4 5 E 1 E 2 = 3 5 E 1 E 2 = 2 5 E 1 E 2 = 1 5
1ω1289.9012277.9001265.3567252.1902238.2974223.5427207.7428190.6379171.8387
ω21126.99701080.34221031.5796980.3946926.3858869.0269807.6044741.1086668.0263
ω31822.26561746.82851667.98321585.22111497.89311405.14831305.83291198.31451080.1461
1/2ω1207.5357198.9443189.9647180.5390170.5933160.0307148.7198136.4746123.0166
ω2371.7867356.3957340.3093323.4238305.6068286.6846266.4218244.4854220.3762
ω31027.8928985.3407940.8661894.1821844.9227792.6077736.5865675.9381609.2824
1/3ω1163.2659156.5071149.4430142.0279134.2037125.8943116.9961107.363096.7757
ω2178.6683171.2719163.5413155.4267146.8644137.7710128.0334117.4915105.9054
ω3510.2879489.1633467.0842443.9084419.4540393.4828365.6716335.5632302.4726
Table 8. Frequencies for framed structure with varying density for Euler–Bernoulli beam model.
Table 8. Frequencies for framed structure with varying density for Euler–Bernoulli beam model.
H/L Frequencies r a d s ρ 1 ρ 2 = 9 5 ρ 1 ρ 2 = 8 5 ρ 1 ρ 2 = 7 5 ρ 1 ρ 2 = 6 5 ρ 1 ρ 2 = 1 ρ 1 ρ 2 = 4 5 ρ 1 ρ 2 = 3 5 ρ 1 ρ 2 = 2 5 ρ 1 ρ 2 = 1 5
1ω1211.6497217.4671223.7923230.7035238.2974246.6941256.0459266.5488278.4603
ω2820.7426843.7390868.7835896.1992926.3858959.8437997.20991039.30991087.2358
ω31325.22581362.75141403.65651448.48091497.89311552.73331614.07391683.30961762.2936
1/2ω1151.5350155.6962160.2202165.1630170.5933176.5971183.2829190.7906199.3034
ω2271.3307278.8103286.9446295.8351305.6068316.4154328.4585341.9905357.3457
ω3748.6100769.5766792.4097817.4038844.9227875.4222909.4826947.8553991.5346
1/3ω1119.2165122.4890126.0467129.9336134.2037138.9246144.1815150.0842156.7767
ω2130.4482134.0323137.9290142.1866146.8644152.0366157.7968164.2656171.6012
ω3372.2256382.5257393.7311405.9826419.4540434.3621450.9818469.6679490.8874
Table 9. Frequencies for framed structure with varying Young modulus for Timoshenko beam model.
Table 9. Frequencies for framed structure with varying Young modulus for Timoshenko beam model.
H/L Frequencies r a d s E 1 E 2 = 9 5 E 1 E 2 = 8 5 E 1 E 2 = 7 5 E 1 E 2 = 6 5 E 1 E 2 = 1 E 1 E 2 = 4 5 E 1 E 2 = 3 5 E 1 E 2 = 2 5 E 1 E 2 = 1 5
1ω1273.2436262.3707250.9990239.0513226.4284212.9990198.5833182.9241165.6319
ω21026.1581986.2055944.4121900.4884854.0600804.6293751.5111693.7194629.7500
ω31556.45461498.23591437.32571373.28831305.55631233.36861155.66611070.9072976.7086
1/2ω1199.0289191.0202182.6453173.8480164.5564154.6753144.0749132.5704119.8823
ω2352.8565338.7469323.9914308.4903292.1159274.6992256.0090235.7153213.3186
ω3951.2203913.8004874.6600833.5304790.0654743.8055694.1199640.1035580.3797
1/3ω1157.9586151.5656144.8807137.8597130.4453122.5625114.1089104.938594.8316
ω2172.7205165.7303158.4213150.7449142.6388134.0210124.7794114.7549103.7071
ω3484.9226465.5170445.2231423.9042401.3845377.4319351.7290323.8225293.0266
Table 10. Frequencies for framed structure with varying density for Timoshenko beam model.
Table 10. Frequencies for framed structure with varying density for Timoshenko beam model.
H/L Frequencies r a d s ρ 1 ρ 2 = 9 5 ρ 1 ρ 2 = 8 5 ρ 1 ρ 2 = 7 5 ρ 1 ρ 2 = 6 5 ρ 1 ρ 2 = 1 ρ 1 ρ 2 = 4 5 ρ 1 ρ 2 = 3 5 ρ 1 ρ 2 = 2 5 ρ 1 ρ 2 = 1 5
1ω1201.1193206.6449212.6525219.2165226.4284234.4025243.2830253.2559264.5652
ω2757.1785778.2845801.2598826.3976854.0600884.7000918.8931957.38371001.1544
ω31156.94411189.30361224.53921263.10361305.55631352.59771405.11861464.27211531.5826
1/2ω1146.1774150.1904154.5532159.3198164.5564170.3458176.7926184.0316192.2395
ω2259.3760266.5211274.2912282.7831292.1159302.4383313.9384326.8588341.5181
ω3700.4027719.9347741.1974764.4625790.0654818.4258850.0771885.7092926.2332
1/3ω1115.8806119.0609122.5184126.2956130.4453135.0329140.1412145.8769152.3799
ω2126.6978130.1782133.9621138.0964142.6388147.6610153.2541159.5350166.6574
ω3356.2458366.0919376.8023388.5114401.3845415.6284431.5049449.3519469.6138
Disclaimer/Publisher’s Note: The statements, opinions and data contained in all publications are solely those of the individual author(s) and contributor(s) and not of MDPI and/or the editor(s). MDPI and/or the editor(s) disclaim responsibility for any injury to people or property resulting from any ideas, methods, instructions or products referred to in the content.

Share and Cite

MDPI and ACS Style

Ledda, L.; Greco, A.; Fiore, I.; Caliò, I. Closed-Form Exact Solution for Free Vibration Analysis of Symmetric Functionally Graded Beams. Symmetry 2024, 16, 1206. https://doi.org/10.3390/sym16091206

AMA Style

Ledda L, Greco A, Fiore I, Caliò I. Closed-Form Exact Solution for Free Vibration Analysis of Symmetric Functionally Graded Beams. Symmetry. 2024; 16(9):1206. https://doi.org/10.3390/sym16091206

Chicago/Turabian Style

Ledda, Lorenzo, Annalisa Greco, Ilaria Fiore, and Ivo Caliò. 2024. "Closed-Form Exact Solution for Free Vibration Analysis of Symmetric Functionally Graded Beams" Symmetry 16, no. 9: 1206. https://doi.org/10.3390/sym16091206

APA Style

Ledda, L., Greco, A., Fiore, I., & Caliò, I. (2024). Closed-Form Exact Solution for Free Vibration Analysis of Symmetric Functionally Graded Beams. Symmetry, 16(9), 1206. https://doi.org/10.3390/sym16091206

Note that from the first issue of 2016, this journal uses article numbers instead of page numbers. See further details here.

Article Metrics

Back to TopTop