Next Article in Journal
A Modified Osprey Optimization Algorithm for Solving Global Optimization and Engineering Optimization Design Problems
Previous Article in Journal
Enantioselective Transfer Reactions of α-Heteroatom-Substituted Carbenes
 
 
Font Type:
Arial Georgia Verdana
Font Size:
Aa Aa Aa
Line Spacing:
Column Width:
Background:
Article

Generator Matrices and Symmetrized Weight Enumerators of Linear Codes over Fpm + uFpm + vFpm + wFpm

by
Alhanouf Ali Alhomaidhi
1,
Sami Alabiad
1,* and
Nawal A. Alsarori
2
1
Department of Mathematics, College of Science, King Saud University, P.O. Box 2455, Riyadh 11451, Saudi Arabia
2
Department of Mathematics, Dr. Babasaheb Ambedkar Marathwada University, Aurangabad 431004, India
*
Author to whom correspondence should be addressed.
Symmetry 2024, 16(9), 1169; https://doi.org/10.3390/sym16091169
Submission received: 6 August 2024 / Revised: 26 August 2024 / Accepted: 3 September 2024 / Published: 6 September 2024
(This article belongs to the Section Mathematics)

Abstract

Let u , v , and w be indeterminates over F p m and let R = F p m + u F p m + v F p m + w F p m , where p is a prime. Then, R is a ring of order p 4 m , and R F p m [ u , v , w ] I with maximal ideal J = u F p m + v F p m + w F p m of order p 3 m and a residue field F p m of order p m , where I is an appropriate ideal. In this article, the goal is to improve the understanding of linear codes over local non-chain rings. In particular, we investigate the symmetrized weight enumerators and generator matrices of linear codes of length N over R . In order to accomplish that, we first list all such rings up to the isomorphism for different values of the index of nilpotency l of J, 2 l 4 . Furthermore, we fully describe the lattice of ideals of R and their orders. Next, for linear codes C over R , we compute the generator matrices and symmetrized weight enumerators, as shown by numerical examples.

1. Introduction

Every ring used in this work is a finite and commutative ring with an identity. This article highlights the importance of finite local rings, characterized by having the set of zero divisors J to form an ideal, with the quotient ring being a field. Each local ring is associated with specific integer invariants p , n , m , t , and k , where p is a prime number. When J is principal, it generates a distinguished class known as chain rings [1,2,3,4]. Chain rings are, in fact, principal ideal rings (PIRs), and PIRs are a subclass of Frobenius rings. This article investigates the properties of codes over Frobenius rings. One of the main reasons that Frobenius rings are the appropriate class used to describe codes is that they satisfy MacWilliams identities, which connect the symmetrized weight enumerators of a linear code to that of its dual; see [5,6,7,8,9]. Furthermore, Frobenius local rings can be decomposed into their component parts, and this enable us to find their generating characters. For more on codes over finite rings, see [10,11,12,13,14,15] and related references.
Linear codes with length N over a ring R are subsets of R N that are R-submodules. Linear codes over rings and those over fields are associated by Gray maps. While linear codes over chain rings have been extensively studied, codes over local rings, which are not chain rings, have not received as much attention. Therefore, the main objective of this work is to produce significant coding results over local non-chain rings in order to further this field of study. In particular, we focus on codes over rings having the form F p m + u F p m + v F p m + w F p m and of order p 4 m . Such a class of rings was developed in order to build new sequences with optimal Hamming correlation qualities. These sequences were then proven to be helpful in spreading spectrum communication systems that use frequency-hopping multiple access (FHMA). Previous work on these rings was described in [16], where it was emphasized how applicable they are to coding theory and how closely they relate to linear binary codes and Z p n . These methods were taken into consideration by the authors of [9] for Frobenius local rings of small order 16 . In [7], rings of order 32 were used to characterize generator matrices and generating characters. In an attempt to expand upon earlier discoveries, this paper offers access to more generic rings with higher orders. With t = 4 , let R = F p m + u F p m + v F p m + w F p m , where J = u F p m + v F p m + w F p m is the maximum ideal of R , i.e., R is a local ring with invariants (parameters) p , n = 1 , m , t = 4 , k = 3 and of order p 4 m . In this paper, we investigate two important tools of coding theory: generator matrices and MacWilliams relations. Having a generator matrix that can generate the code and provide the code size is a very helpful tool for linear codes. There is a well-known canonical form that accomplishes this for codes over chain rings. Codes over local non-chain rings, however, do not work like this. We provide the natural extension of this canonical form to R = F p m + u F p m + v F p m + w F p m . During the process, we show why determining the code size is not always obtained directly from such a generator matrix. Next, we present a formula for a generating character ν associated with R. This formula is then used to generate a matrix, which we make use of it to obtain the MacWilliams relations between symmetrized weight enumerators for a code C over R and that of its dual code.
Following the basic definitions and findings in Section 2, the list of rings of the type R = F p m + u F p m + v F p m + w F p m , and invariants p , m , 4 , and 3 with order p 4 m are provided in Section 3. A special focus is on supplying all the information required to define the lattice of ideals of R and to describe them. The results for matrices generating linear codes over such rings are given in Section 4. While Section 5 provides the general procedure for character creation for R when it is Frobenius. Furthermore, a suitable matrix for the symmetrized weight enumerator is obtained, which leads to the determination of MacWilliams relations.

2. Preliminaries

This section provides necessary notations and basic information that will be utilized later in our discussion. We will rely on the proven results stated below (see [1,2,3,4,17]).
In our discussion, we set R = F p m + u F p m + v F p m + w F p m , which is a finite local ring of order p 4 m , where u , v , and w are indeterminates (basis) over F p m . Then, the size of J ( R ) = J is J = p 3 m with R / J G F p m = F p m . The index of nilpotency l of J is defined by J l = 0 but J l 1 0 . As J 4 = 0 , we thus have 2 l 4 . Note that when l = 1 , R will be a field of order p m , i.e., R F p m , and this contradicts the hypothesis on u , v , and w . If J is a principal, then R is a chain with parameters p , m , 4 , and 3 , and in particular, we have
R = F p m [ u ] F p m [ x ] ( g ( x ) ) ,
where u is a root of an Eisenstein polynomial g ( x ) F p m [ x ] . Let
Γ ( m ) = ( α ) { 0 } = { 0 , 1 , α , α 2 , , α p m 2 } ; Γ * ( m ) = ( α ) = { 1 , α , α 2 , , α p m 2 } .
Suppose γ R . So,
γ = α 0 + u α 1 + v α 2 + w α 3 ( ( u , v , w ) - adic expression ) .
where α i Γ ( m ) and 0 i 3 . If we set H = 1 + J , then the unit group of R, U ( R ) , is factorized as
U ( R ) = ( α ) × H .
Because n = 1 , we label p , m , 4 , and 3 as parameters of R . It is worth mentioning that there are three possible values for l , and thus, three chains (sequences) exist for J:
R = J 0 J J 2 = 0 , if l = 2 ; R = J 0 J J 2 J 3 = 0 , if l = 3 ; R = J 0 J J 2 J 3 J 4 = 0 , if l = 4 .
The structure of J plays an essential role, as we see later, in the classification of R . In general, we have
J = u F p m + v F p m + + w F p m .
Thus,
R F p m [ u , v , w ] I ,
where I is an ideal with respect to the indeterminates u , v , and w . The total sum of all minimal ideals in R is what we define as the socle of R , also known as soc ( R ) . As R is commutative, then soc ( R ) = ann ( J ) , A finite ring is said to be a Frobenius ring if R / J s o c ( R ) [6]. Another equivalent definition for Frobenius rings is given using the concept of the character. Let Hom Z ( R , C * ) denote the character group of ( R , + ) ; then, elements of Hom Z ( R , C * ) are called characters χ of ( R , + ) . If ker χ has no non-trivial ideals of R, then χ is named a generating character. Now, R is called Frobenius if soc ( R ) is a cyclic ideal, generated by one element (principal). As a direct result, every PIR is Frobenius, and particularly every chain ring is Frobenius.
A code C of length N over R is a subset of R N ; it is called linear if it is an R-submodule. Furthermore, by including the inner-product (·) in R N , the dual code C of C is defined as follows:
C = { u : c · u = 0 , c C } .

3. On the Ring F p m + u F p m + v F p m + w F p m

This section involves proofs of some results on local rings with residue field F p m and finite rings of order p 4 m , and with inderterminants (basis) u , v , and w . These findings support our discussion that will follow. R = p 4 m and
R = F p m + u F p m + v F p m + w F p m ,
Hence,
J = u F p m + v F p m + + w F p m .
Suppose d i = dim F p m ( J i / J i + 1 ) , where i = 1 , 2 , 3 . Then, we have
d 1 + d 2 + d 3 = 3 = k .
If p 2 , consider the usual partition on Γ * ( m ) :
A = { β Γ * ( m ) : β Γ * ( m ) 2 } ; B = { β Γ * ( m ) : β Γ * ( m ) 2 } .
As l = 2 , 3 , 4 , we have three possible cases.
Case a. When l = 2 . Then, we have J = ( u , v , w ) and J 2 = 0 .
Theorem 1. 
Suppose R = F p m + u F p m + v F p m + w F p m has invariants p , m , 4 , and 3 with l = 2 . Then, there is a unique (up to isomorphism) ring with such conditions of the form
R F p m [ u , v , w ] ( u , v , w ) 2 .
Furthermore, R is not Frobenius, and
soc ( R ) = ( u , v , w ) .
Proof. 
As l = 2 , J 2 = 0 , and thus, d 1 = dim F p m ( J / J 2 ) = 3 . This means that J = ( u , v , w ) with the condition that u 2 = v 2 = w 2 = 0 . It is clear that soc ( R ) = ( u , v , w ) , and thus, R is not Frobenius. □
Remark 1. 
We observe that
R ( u , v , w ) F p m ¬ soc ( R ) .
Example 1. 
There is only one ring of the form F 2 [ u , v , w ] ( u , v , w ) 2 of order 16 with Jacobson radical J = ( u , v , w ) of order 8. This ring is not Frobenius.
Case b. If l = 3 , then we have the sequence
R = J 0 J J 2 J 3 = 0 .
Theorem 2. 
Assume R is a local ring with invarinats p , m , 4 , and 3 and l = 3 . Then, R is isomorphic to one and only one ring of the following:
( i ) F p m [ u , v ] ( u 3 , v 2 , u v ) ; ( i i ) F p m [ u , v ] ( u 2 β v 2 , u v ) ; ( i i i ) F p m [ u , v ] ( u 2 v 2 , u v ) ; ( i v ) F 2 m [ u , v ] ( u 2 , v 2 ) ,
where β A .
Proof. 
First note that if d 1 = dim F p m ( J / J 2 ) , then d 2 = dim F p m ( J 2 ) d 1 2 . Thus, we have only the case d 1 = 2 and d 2 = 1 because d 1 + d 2 = 3 and the number of indeterminates (basis) over F p m . Let u , v J J 2 . Then, we have three choices for w 0 , which are w = α 1 u 2 , w = α 2 v 2 , or w = u v , where α 1 , α 2 Γ * ( m ) . As J 3 = 0 , then all multiplications u w , v w , w 2 , v 2 u , and u 2 v equal zero. Suppose that w = α 1 u 2 0 . Then, v 2 J 2 = ( w , u v , v 2 ) . As d 2 = 1 , u v = 0 and J 2 = ( u 2 ) . This implies that v 2 = 0 or v 2 = γ u 2 , where γ Γ * ( m ) . Hence, if v 2 = 0 , the construction of R is obvious with u 3 = 0 . On the other hand, v 2 = γ u 2 , which leads to v 2 = γ w 2 , where γ = γ α 1 1 , and thus, v 2 γ u 2 = 0 . Therefore,
R F p m [ u , v ] ( u 3 , v 2 , u v ) , when v 2 = 0 , R F p m [ u , v ] ( u 2 γ v 2 , u v ) , when v 2 = γ u 2 .
Observe that F p m [ u , v ] ( v 2 γ u 2 , u v ) F p m [ u , v ] ( u 2 γ 1 v 2 , u v ) , just by replacing u with v and vise versa. If p 2 , there are two non-isomorphic rings, namely R 1 = F p m [ u , v ] ( u 2 γ 1 v 2 , u v ) , γ 1 A , and R 2 = F p m [ u , v ] ( u 2 γ 2 v 2 , u v ) , where γ 1 B . Note that F p m [ u , v ] ( u 2 γ 2 v 2 , u v ) F p m [ u , v ] ( u 2 v 2 , u v ) . To prove that R 1 R 2 , assume the converse. Suppose ϕ is the isomorphism, and J ( R 2 ) = ( u , v ) . Then, for some β Γ * ( m ) , ϕ ( u ) = β u . Consequently, we obtain
( ϕ ( u ) ) 2 = ϕ ( u 2 ) ( β u ) 2 = ϕ ( γ 1 v 2 ) β 2 u 2 = ϕ ( γ 1 ) ϕ ( v 2 ) β 2 u 2 = ϕ ( γ 1 ) ϕ ( v ) 2 β 2 u 2 = ϕ ( γ 1 ) ( γ 3 v ) 2 β 2 u 2 = ϕ ( γ 1 ) γ 3 2 v 2 β 2 u 2 = ϕ ( γ 1 ) γ 3 2 u 2 ( β γ 3 1 ) 2 = ϕ ( γ 1 ) .
Because p 2 , this contradicts the assumption that γ 1 A , and thus, R 1 R 2 . The second case is when w = α 2 v 2 , and this is equivalent to the first case; we replace u with v . Finally, if w = u v , then v 2 = 0 = u 2 = 0 , and hence, R F p m [ u , v ] ( u 2 , v 2 ) . Now, if p 2 , then F p m [ u , v ] ( u 2 , v 2 ) F p m [ u , v ] ( u 2 v 2 , u v ) by replacing u and v with u + v and u v , respectively. However, when p = 2 , then F 2 m [ u , v ] ( u 2 , v 2 ) ¬ F 2 m [ u , v ] ( u 2 v 2 , u v ) .
Corollary 1. 
If l = 3 , then the number of rings N ( p , m , 4 , 3 ) = 3 if p 2 , and 4 otherwise.
Proposition 1. 
Suppose that R is with l = 3 . Then,
soc ( R ) = ( u 2 , v ) , if R = F p m [ u , v ] ( u 3 , v 2 , u v ) , ( u v ) , if R = F 2 m [ u , v ] ( u 2 , v 2 ) , ( u 2 ) , if R = F p m [ u , v ] ( u 2 v 2 , u v ) and R = F p m [ u , v ] ( u 2 β v 2 , u v ) .
Proof. 
As J = ( u , v ) , and since soc ( R ) = ann ( J ) , then u 2 , v soc ( F p m [ u , v ] ( u 3 , v 2 , u v ) ) . Thus, ( u 2 , u v ) soc ( F p m [ u , v ] ( u 3 , v 2 , u v ) ) . Now, assume that x is in the socle of R; then, x u = 0 and x v = 0 , and hence, x J 2 + ( v ) , which means that x ( u 2 ) + ( v ) = ( u 2 , v ) . Hence, the result follows. By a similar argument, we prove the other cases. □
The following theorem is direct from Proposition 1.
Theorem 3. 
Assume that R = F p m + u F p m + v F p m + w F p m has parameters p , m , 4 , , and 3 and l = 3 . Then, there are two Frobenius rings when p 2 , and three rings if p = 2 .
Case c. When l = 4 , l = m = 4 .
Theorem 4. 
Let l = 4 . Then, R is a chain of the form
F p m [ u ] ( u 4 ) .
Moreover, R is Frobenius with soc ( R ) = ( u 3 ) .
Proof. 
It is enough to show that R is a chain. Because l = 4 , we have the full sequence R = J 0 J J 2 J 3 = 0 , which implies that u J , v J 2 , and w J 3 , without loss of generality. Thus, we must obtain v = u 2 and w = u 3 . So, J = ( u ) is principal, and therefore, R is a chain with an Eisenstein polynomial g ( x ) = x 4 over F p m .
Table 1 presents all local rings of the form F p m + u F p m + v F p m + w F p m .

4. Generator Matrices

This section finds matrices G that produce linear codes over R . If R is any chain ring with index l = 4 , then G is expressed by
G = I t 0 H 0 , 1 H 0 , 2 H 0 , 3 H 0 , 4 0 u I t 1 u H 1 , 2 u H 1 , 3 u H 1 , 4 0 0 u 2 I t 2 u 2 H 2 , 2 u 2 H 2 , 3 0 0 0 u 3 I t 3 u 3 H 3 , 2 .
For any code C with a generator matrix of this type, the numbers t 0 , t 1 , t 2 , t 3 , are associated with such C . A code C with such a generator matrix has an immediate result:
C = ( p m ) i = 0 3 ( l i ) t i .
It is harder to construct a matrix G for codes over non-chains than for codes over chains. Although a simple set of generators can still be found, this type of generator matrix may not provide clear information about the code size or that of codewords. Henceforth, R will denote a Frobenius non-chain ring.
Definition 1. 
If the vectors with coefficients from J cannot be combined linearly in a nontrivial way to equal the zero vector, we refer to the vectors v 1 , , v e as modularly independent. When the rows of G independently produce the code C, then G is a generator matrix over the ring R.
Figure 1 above depicts the lattices of ideals of R . In addition, we have J = p 3 m , ( v ) = ( u ) = ( v + u ) = p 2 m and soc ( R ) = p m . The goal of this section is to produce a collection of independent modular vectors that represent a code’s generator matrix’s rows. A complete description of the construction of G is given by the following theorem.
Theorem 5. 
Let C be a linear code with length N over R. Thus,
Symmetry 16 01169 i001
where Tij are matrices of various sizes.
Proof. 
Assume that G is a matrix such that C is an R-module produced by the rows r i of G. Each unit-containing column is shifted to the left of G. Row reduction on those columns yields a matrix of the form
G = I e 0 A 1 0 T
Moreover, not all elements in T are unit vectors. We shift all columns holding elements of J = ( v , u ) to the left once more and perform the primary row operations to convert the matrix into the next form.
G = I t 0 B 1 B 2 0 u B 3 0 v B 4 0 0 T 1
We proceed with this process, ensuring that elements are arranged in columns so they make a pair ( v , u ) , creating the matrix T 1 . This process is repeated until the matrix assumes the desired shape:
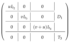
Symmetry 16 01169 i002
where one (w), (u), and (v + u) are represented by the elements of matrix T2’s columns. Next, we will deal with matrix T2. The (u), (v), and (v + u) are the three ideals. To generate a single matrix expression, we select a specific ordering for every ideal. This chosen order will be consistently used while building the matrix. Let us assume that α is a unit of R. Our steps are as follows: columns containing elements of the form (v)α, columns containing entries of the form , and lastly, columns containing elements of the form (u + v)α. In every stage, we reduce the matrix using the conventional reduction method. Note that the socle ideal is contained in both (v) and (u + v). Since the remaining column entries will originate from (λ), we repeat a similar procedure using soc(R) = (λ).
Symmetry 16 01169 i003
In conclusion, each element of T 3 comes from the ideal that λ creates. After eliminating any rows that are entirely made up of zeros and performing one final row reduction round, we have a matrix that exactly matches the required form. □
Example 2 shows a minimal set of generators may have not exist for C over a (non-chain) Frobenius singleton local, which makes the code more complex. Stated differently, it highlights the differences in coding over chain rings and that over non-chain rings.
Example 2. 
If G is a matrix of C over F p m [ u , v ] ( u 2 β v 2 , u v ) of the form
u v v 0 0 u
Suppose t M 1 represents the R-submodule produced by r 1 and r 2 of G , and M 2 is the R-submodule produced by r 3 G . Thus,
M 1 M 2 ϕ .
This shows that C cannot be decomposed.
Example 3. 
To have C of order 16 over R = F 2 [ u , v ] ( u 2 v 2 , u v ) with 2 , 1 , 4 , and 3 as invariants, set N = 1 with C = ( v , u ) . Then, C = 16 . Additionally, we want to construct C with size 32 , assuming that C = ( w , d ) with N = 2 , w = ( v , u ) , and d = ( u , v ) . This follows that C = 32 . Take N = 4 , w = ( v , 0 , u , v ) , and d = ( u , v , 0 , 0 ) , which implies that C = 2 8 . Hence,
C ( w ) ( d ) .
Example 4. 
Suppose that G for C with length N = 2 over F p m [ u , v ] ( u 2 v 2 , u v ) has the form
u 0 v v 0 u .
Note that t 0 = 0 , and t 1 = t 2 = 1 . Consider the submodules ( u , 0 ) , ( v , v ) , and 0 , u , which have a non-trivial intersection, and thus, the size of C might not be easily obtained from G. However, if we add r 1 to r 3 , we obtain
u u v v 0 u .
In such G , ( u , 0 ) , ( v , v ) 0 , u = ϕ . Therefore,
C = ( u , 0 ) , ( v , v ) × 0 , u = p 3 m × p 2 m = p 5 m .
Example 5. 
If we consider codes over F p m [ u , v ] ( u 2 β v 2 , u v ) associated with a generator matrix of the form,
u v v 0 0 u .
Then matrix G in standard form might be
u a v b 0 u ,
where a , b J . Studying all possibilities of a and b from J , we conclude that if N 1 = ( u , a ) , ( v , b ) , and N 2 = ( u , 0 ) always have a non-trivial intersection, there is no way we can find the size of C using G, which means that C cannot be factorized or decomposed as an R-submodule.
As the preceding application demonstrates, when working over local non-chain rings, there is no standard generator available, unlike with codes over chain rings where a standard form for a generator matrix exists and can be utilized to quickly compute the code size. These rings’ inability to be major perfect rings is the root of the issue. This proves that there is no way to find meaningful and general forms for generator matrices over local non-chain rings using the usual methods, even though we improved schemes for rings of a high order p 4 m .

5. Symmetrized Weight Enumerator and MacWilliams Relations

With p , m , 4 , and 3 as invariants such that 2 l 4 , let R be a Frobenius local ring of order p 4 m . Theorem 6 provides a way to compute a generating character ν for R .
Theorem 6 
([7]). Let ν : R C . Then, there exists q Z + , and for 1 i q ,
ν ( ω ) = γ 1 a 1 γ 2 a 2 γ q a q ,
is a generating character of R, where γ i is a p i -root of unity.
In Table 2, we assume that δ is a p-root of unity, and then we have
ν ( a i ) = δ ( a 1 i + a 2 i + + a 2 m 1 ) ,
where a i Z p × × Z p m - times , which has a form of
a i = a 1 i ω 0 + a 2 i ω 1 + + a 2 m 1 ω m 1
where ω 0 , , ω m 1 is a basis of F p m over Z p , the field of integers modulo p.
We now compute the symmetrized weight enumerators using MacWilliams identities for different iterations of R. In fact, these relations can be extended to a more general class of finite rings, namely the class of all Frobenius rings. These identities establish a vital connection between the weight enumerators and the dual of a code, which is essential to the study of coding theory. Let us assume the following: the elements are found in the following order: R = { x 1 , x 2 , x 3 , , x p 4 m } . Suppose that C is a linear code of length N over R. Furthermore, assume that the number of instances of a i in c C is n i ( c ) . Suppose that ∼ is defined on R by x y when there is ω U ( R ) such that x = ω y . It is evident that this relation is equivalent. Let s ^ 1 , , s ^ q be the equivalence classes and let n i ( c ) calculate the number of elements of s ^ i that occurred in the codeword c.
Definition 2. 
Let C be a code over R. Then, the symmetrized weight enumerator (SWE) of C is defined as
S W E C ( x s ^ 1 , , x s ^ q ) = c C i x s ^ i n i ( c ) .
We next state the MacWiliams equation for SWE as
S W E C ( x s ^ 1 , , x s ^ q ) = 1 C S W E C ( S · ( x s ^ 1 , , x s ^ q ) ) ,
where S = ( s i j ) and
s i j = x s ^ j ν ( x i x ) .
Table 2 illustrates the ν formulas for R. As we can see, once ν is obtained, it is not straightforward to find the matrix S in Equation (13). Nonetheless, computing S necessitates the determination of the classes s ^ i . While it takes more work, this procedure is essential to building that matrix. The classes s ^ i essentially depend on the structure of R and the unit group U ( R ) . Note that any element z of U ( R ) is of the form
z = α 1 + u α 2 + v α 3 ,
where α 1 Γ * ( m ) , and α 2 , α 3 Γ ( m ) . Also, observe that J in this ring, of order p 3 m , with 2 l 4 , as its index of nilpotency, and s o c ( R ) , is the cyclic of order p m . The following lemma provides a comprehensive scheme for determining s i j in a broader case.
Lemma 1. 
If soc ( R ) = ( λ ) , where 0 λ R , then the classes s ^ i for R are obtained by
s i j = s j ^ , if x i s j ^ = { 0 } ; 0 , if λ x i s j ^ ; ( 1 ) 1 p m 1 s j ^ , if λ x i s j ^ .
Proof. 
Assuming x i s j ^ = { 0 } , we obtani s i j = b s j ^ ν ( x i b ) = b s j ^ 0 = s j ^ . Suppose that x i s j ^ { 0 } for the remaining cases. Let λ x i s j ^ . Given that soc ( R ) = ( λ ) , α y = λ , where y s j ^ and α Γ * ( m ) is representative of s j ^ . Assume, moreover, that x x i s j ^ so that for each y in s j ^ , x = x i y . Given that γ Γ * ( m ) , it follows that x = γ λ . This implies that the set x i s j ^ is essentially a copy of soc ( R ) , as all elements of x i s j ^ are of the type α λ . Consequently,
s i j = N 0 α Γ * ( 1 ) e ( 2 π i ) α p .
However, we have the following formula for complex numbers:
1 + j = 1 p 1 e ( 2 π i ) j p = 0 .
The number N 0 in the equation represents the number of copies of soc ( R ) , which is precisely N 0 = 1 p m 1 s j ^ . Thus,
s i j = ( 1 ) 1 p m 1 s j ^ .
The last case of the proof can be performed similarly by noting that every element of x i s j ^ can be expressed as x + α λ , where α Γ ( m ) . In this case,
s i j = x ν ( x ) α Γ ( m ) ν ( α λ ) .
Hence, by Equation (14), we conclude the results. □
If R is a chain, then one can obtain the sets of s ^ i as follows:
b ^ 1 = { 0 } , b ^ 2 = U ( R ) , b ^ 3 = J J 2 , b ^ 4 = J 2 J 3 , b ^ 5 = soc ( R ) { 0 } . if l = 4 .
Theorem 7. 
Suppose that R is a chain ring with invariants p , m , 4 , and 3 and of size p 4 m . Then,
S ( 4 ) = 1 ( p m 1 ) p 3 m ( p m 1 ) p 2 m ( p m 1 ) p m p m 1 1 0 0 0 1 1 0 0 p m p m 1 1 0 p 2 m ( p m 1 ) p p m 1 1 p 3 m ( p m 1 ) p 2 m ( p m 1 ) p m p m 1 .
Proof. 
For, s 1 j and s j 1 , the values are directly from Lemma 1. As l = 4 , note that λ x i s j ^ , where ( i , j ) = ( 3 , 4 ) , ( 4 , 3 ) , ( 5 , 2 ) , and ( 2 , 5 ) Thus,
s i j = 1 p m 1 s j ^ .
Moreover, 0 x i s j ^ when ( i , j ) = ( 1 , 2 ) , ( 1 , 3 ) , ( 1 , 4 ) , ( 1 , 5 ) , ( 3 , 5 ) , ( 5 , 3 ) , ( 5 , 4 ) , and ( 5 , 5 ) . Thus, again by Lemma 1, s i j = s j ^ . Also, since λ = u 3 , then u 3 x i s j ^ , if ( i , j ) = ( 2 , 2 ) , ( 3 , 2 ) , ( 4 , 2 ) , ( 2 , 3 ) , ( 3 , 3 ) , and ( 2 , 4 ) . This implies that s i j = 0 . The first column is always equal to 1 because x 1 = 0 , and so x 1 s j ^ = { 0 } .
For R being non-chain, J = ( u , v ) , we have s ^ i , given as follows:
s ^ 1 = { 0 } , s ^ 2 = U ( R ) , s ^ 3 = ( u ) soc ( R ) , s ^ 1 = 1 s ^ 2 = ( p m 1 ) p 3 m s ^ 3 = ( p m 1 ) p m s ^ 4 = ( v ) soc ( R ) , s ^ 5 = ( u + v ) soc ( R ) , s ^ 6 = soc ( R ) { 0 } s ^ 4 = ( p m 1 ) p m s ^ 5 = ( p m 1 ) p m s ^ 6 = p m 1 .
We denote S 1 and S 2 , for simplicity, by
S 1 = 1 ( p m 1 ) p 3 m ( p m 1 ) p m ( p m 1 ) p m ( p m 1 ) p m p m 1 1 0 0 0 0 1 1 0 s 33 p m p m p m 1 1 0 p m ( p m 1 ) p p m p m 1 1 0 p m p m s 55 ( β ) p m 1 1 p 3 m ( p m 1 ) p ( p m 1 ) p m ( p m 1 ) p m p m 1 ,
where
s 33 = p m , if p = 2 , p m ( p m 1 ) , if p 2 , s 55 ( β ) = p m , if β 1 , p m ( p m 1 ) , if β = 1 . S 2 = 1 ( p m 1 ) p 3 m ( p m 1 ) p m ( p m 1 ) p m ( p m 1 ) p m p m 1 1 0 0 0 0 1 1 0 p m ( p m 1 ) p m p m p m 1 1 0 ( p m 1 ) p m p m p m p m 1 1 0 p m p m s 55 ( β ) p m 1 1 p 3 m ( p m 1 ) p m ( p m 1 ) p m ( p m 1 ) p m p m 1 .
Theorem 8. 
Suppose R is a Frobenius non-chain with invariants p , m , 4 , and 3 and of order p 4 m . Then, S takes the form of S 1 or S 2 . .
Proof. 
We consider the ordering of s ^ i and their sizes s ^ i as above. Suppose also that soc ( R ) = ( λ ) , x 1 = 0 , x 2 = 1 , x 3 = u , x 4 = v , x 5 = u + v , and x 6 = λ . Observe that
0 x 1 s ^ i , if 1 i 6 , 0 x 6 s ^ i , if 3 i 6 , 0 x i s ^ 6 , if 2 i 5 .
Thus,
s 1 i = s ^ i .
Also, { 0 } = x j s ^ 1 . Then, s i 1 = 1 . While λ x 2 s i ^ and λ x i s 2 ^ , 2 i 5 , s 2 i = 0 = s i 2 , with regard to x i s ^ j , where 3 i , j 5 . Note that λ is in x 5 s ^ 3 , x 5 s ^ 4 , x 3 s ^ 5 , and x 4 s ^ 5 , and hence, the corresponding s i j is equal to p m by Lemma 1. The value of s 55 depends on β in F p m [ u , v ] ( u 2 β v 2 , u v ) when the quotient ideal I of R includes β . This means that we obtain s 55 = s 55 ( β ) , where s 55 ( β ) is defined above. We notice that s 33 = s 44 because ( u 2 ) = ( v 2 ) . For F 2 m [ u , v ] ( u 2 , v 2 ) , we have s 33 = ( 2 m 1 ) 2 m = s 44 . Furthermore, s 34 = s 43 for all rings since x 3 s ^ 4 = x 4 s ^ 3 . To conclude, we have tow different submatrices, of sizes 3 × 3 of the form
s 33 p m p m p m p m ( p m 1 ) p m p m p m s 55 ( β ) , p m p m ( p m 1 ) p m p m ( p m 1 ) p m p m p m p m s 55 ( β ) .
Therefore, we obtain S 1 and S 2 for each R non-chain Frobenius ring of order p 4 m as desired. □
For clarification, we introduce Table 3 to present all matrices S, and s ^ i corresponds to rings R.
Next, we proceed to a numerical illustration of these calculations and associated procedures using a ring of order 3 4 = 81 as an example. Before constructing S , we will first focus on understanding s i ^ under ∼.
Example 6. 
We now construct S for R = F 3 [ u , v ] ( u 2 v 2 , u v ) . This means that p = 3 and m = 1 , i.e., R is with parameters 3 , 1 , 4 , and 3 . The equivalent classes are therefore
s 1 ^ = { 0 } x 1 = 0 , s ^ 2 = U ( R ) , x 2 = 1 , s 3 ^ = ( u ) ( u 2 ) , x 3 = u , s 4 ^ = ( v ) ( u 2 ) , x 4 = v , s 5 ^ = ( u + v ) ( u 2 ) , x 5 = u + v s 6 ^ = s o c ( R ) { 0 } = ( u 2 ) , x 6 = u 2 .
Thus, in the light of Theorem 8 and after making the necessary computations, S takes the form of
S 2 = 1 54 6 6 6 2 1 0 0 0 0 1 1 0 3 6 3 1 1 0 6 3 3 1 1 0 3 3 6 1 1 27 6 6 6 1 .

6. Conclusions

We conclude that, up to isomorphism, all local rings of the form R = F p m + u F p m + v F p m + w F p m and R = p 4 m have been successfully classified in terms of the invariants p , m , 4 , and 3 . In addition, symmetrized weight enumerators and generator matrices for linear codes over such rings have been described. These are widely used and efficient methods for data encoding over chain rings; such a situation might not be achievable with codes over local non-chain rings of higher orders. Since non-chain local rings are not PIRs, the difficulty lies in determining the minimum number of generators and calculating the code size. This limitation implies that more studies and improved techniques are required to investigate this kind of problem in general.

Author Contributions

Conceptualization, A.A.A. and S.A.; methodology, A.A.A. and S.A.; formal analysis, A.A.A., S.A. and N.A.A.; investigation, A.A.A. and S.A.; writing—original draft, S.A. and N.A.A.; writing—review and editing, S.A., A.A.A. and N.A.A. All authors have read and agreed to the published version of the manuscript.

Funding

This research was supported by the Researchers Supporting Project number (RSPD2024R871), King Saud University, Riyadh, Saudi Arabia.

Data Availability Statement

No new data were created or analyzed in this study.

Conflicts of Interest

The authors declare no conflict of interest.

References

  1. Alkhamees, Y.; Alabiad, S. The structure of local rings with singleton basis and their enumeration. Mathematics 2022, 10, 4040. [Google Scholar] [CrossRef]
  2. Raghavendran, R. Finite associative rings. Compos. Math. 1969, 21, 195–229. [Google Scholar]
  3. Zariski, O.; Samuel, P. Commutative Algebra; Springer: New York, NY, USA, 1960; Volume II. [Google Scholar]
  4. Corbas, B.; Williams, G. Rings of order p5 Part II. Local Rings. J. Algebra 2000, 231, 691–704. [Google Scholar] [CrossRef]
  5. Wood, J.A. Duality for modules over finite rings and applications to coding theory. Am. J. Math. 1999, 121, 555–575. [Google Scholar] [CrossRef]
  6. Honold, T. Characterization of finite Frobenius rings. Arch. Math. 2001, 76, 406–415. [Google Scholar] [CrossRef]
  7. Alabiad, S.; Alhomaidhi, A.A.; Alsarori, N.A. On Linear Codes over Finite Singleton Local Rings. Mathematics 2024, 12, 1099. [Google Scholar] [CrossRef]
  8. Yildiz, B.; Karadeniz, S. Linear codes over Z4+uZ4: MacWilliams identities, projections, and formally self-dual codes. Finite Fields Their Appl. 2014, 27, 24–40. [Google Scholar] [CrossRef]
  9. Dougherty, S.T.; Saltürk, E.; Szabo, S. On codes over Frobenius rings: Generating characters, MacWilliams identities and generator matrices. Appl. Algebra Eng. Commun. Comput. 2019, 30, 193–206. [Google Scholar] [CrossRef]
  10. Sriwirach, W.; Klin-Eam, C. Repeated-root constacyclic codes of length 2ps over F pm+u F pm+u2 F pm. Cryptogr. Commun. 2021, 13, 27–52. [Google Scholar] [CrossRef]
  11. Laaouine, J.; Charkani, M.E.; Wang, L. Complete classification of repeated-root-constacyclic codes of prime power length over F pm[u]/(u3). Discret. Math. 2021, 344, 112325. [Google Scholar] [CrossRef]
  12. Martínez-Moro, E.; Szabo, S. On codes over local Frobenius non-chain rings of order 16. In Noncommutative Rings and Their Applications; Contemporary Mathematics; Dougherty, S., Facchini, A., Leroy, A., Puczylowski, E., Solé, P., Eds.; American Mathematical Society: Providence, RI, USA, 2015; Volume 634, pp. 227–241. [Google Scholar]
  13. Greferath, M. Cyclic codes over finite rings. Discret. Math. 1997, 177, 273–277. [Google Scholar] [CrossRef]
  14. Norton, G.; Salagean, A. On the structure of linear cyclic codes over finite chain rings. Appl. Algebra Eng. Commun. Comput. 2000, 10, 489–506. [Google Scholar] [CrossRef]
  15. Shi, M.; Zhu, S.; Yang, S. A class of optimal p-ary codes from one-weight codes over F p[u]/⟨um⟩. J. Frankl. Inst. 2013, 350, 929–937. [Google Scholar] [CrossRef]
  16. Dougherty, S.T.; Saltürk, E.; Szabo, S. Codes over local rings of order 16 and binary codes. Adv. Math. Commun. 2016, 10, 379–391. [Google Scholar] [CrossRef]
  17. Alabiad, S.; Alkhamees, Y. Constacyclic codes over finite chain rings of characteristic p. Axioms 2021, 10, 303. [Google Scholar] [CrossRef]
Figure 1. Lattices of ideals.
Figure 1. Lattices of ideals.
Symmetry 16 01169 g001
Table 1. Local rings of order p 4 m .
Table 1. Local rings of order p 4 m .
Frobenius Rings
Non-ChainChainNon-Frobenius Rings
R 1 = F p m [ u , v ] ( u 2 β v 2 , u v ) R 4 = F p m [ u ] ( u 4 ) F p m [ u , v ] ( u 3 , v 2 , u v )
R 2 = F p m [ u , v ] ( u 2 v 2 , u v ) F p m [ u , v , w ] ( u , v , w ) 2
R 3 = F 2 m [ u , v ] ( u 2 , v 2 )
Table 2. ν for the ring R.
Table 2. ν for the ring R.
Ring ( R , + ) ν
F p m [ u , v ] ( u 2 β v 2 , u v ) ( Z p × × Z p m - times ) 4 ν ( a 1 + a 2 u + a 3 v + a 4 u 2 ) = i = 1 4 ν ( a i )
F p m [ u , v ] ( u 2 v 2 , u v ) ( Z p × × Z p m - times ) 4 ν ( a 1 + a 2 u + a 3 v + a 4 u 2 ) = i = 1 4 ν ( a i )
F 2 m [ u , v ] ( u 2 , v 2 ) ( Z p × × Z p m - times ) 4 ν ( a 1 + a 2 u + a 3 v + a 4 u v ) = i = 1 4 ν ( a i )
F p m [ u ] ( u 4 ) ( Z p × × Z p m - times ) 4 ν ( a 1 + a 2 u + a 3 u 2 + a 4 u 3 ) = i = 1 4 ν ( a i )
Table 3. S and s ^ i for Frobenius local rings of order p 4 .
Table 3. S and s ^ i for Frobenius local rings of order p 4 .
Ringsoc ( R ) S s ^ i
F p m [ u , v ] ( u 2 β v 2 , u v ) ( u 2 ) S 2 ( 0 ) , U ( R ) , ( u ) soc ( R ) , ( v ) soc ( R ) , ( u + v ) soc ( R ) , soc ( R ) { 0 }
F p m [ u , v ] ( u 2 v 2 , u v ) ( u 2 ) S 2 ( 0 ) , U ( R ) , ( u ) soc ( R ) , ( v ) soc ( R ) , ( u + v ) soc ( R ) , soc ( R ) { 0 }
F 2 m [ u , v ] ( u 2 , v 2 ) ( u v ) S 1 ( 0 ) , U ( R ) , ( u ) soc ( R ) , ( v ) soc ( R ) , ( u + v ) soc ( R ) , soc ( R ) { 0 }
F p m [ u ] ( u 4 ) ( u 3 ) S ( 4 ) ( 0 ) , U ( R ) , J J 2 , J 2 J 3 , soc ( R ) { 0 }
Disclaimer/Publisher’s Note: The statements, opinions and data contained in all publications are solely those of the individual author(s) and contributor(s) and not of MDPI and/or the editor(s). MDPI and/or the editor(s) disclaim responsibility for any injury to people or property resulting from any ideas, methods, instructions or products referred to in the content.

Share and Cite

MDPI and ACS Style

Alhomaidhi, A.A.; Alabiad, S.; Alsarori, N.A. Generator Matrices and Symmetrized Weight Enumerators of Linear Codes over Fpm + uFpm + vFpm + wFpm. Symmetry 2024, 16, 1169. https://doi.org/10.3390/sym16091169

AMA Style

Alhomaidhi AA, Alabiad S, Alsarori NA. Generator Matrices and Symmetrized Weight Enumerators of Linear Codes over Fpm + uFpm + vFpm + wFpm. Symmetry. 2024; 16(9):1169. https://doi.org/10.3390/sym16091169

Chicago/Turabian Style

Alhomaidhi, Alhanouf Ali, Sami Alabiad, and Nawal A. Alsarori. 2024. "Generator Matrices and Symmetrized Weight Enumerators of Linear Codes over Fpm + uFpm + vFpm + wFpm" Symmetry 16, no. 9: 1169. https://doi.org/10.3390/sym16091169

APA Style

Alhomaidhi, A. A., Alabiad, S., & Alsarori, N. A. (2024). Generator Matrices and Symmetrized Weight Enumerators of Linear Codes over Fpm + uFpm + vFpm + wFpm. Symmetry, 16(9), 1169. https://doi.org/10.3390/sym16091169

Note that from the first issue of 2016, this journal uses article numbers instead of page numbers. See further details here.

Article Metrics

Back to TopTop