Towards a Warm Holographic Equation of State by an Einstein–Maxwell-Dilaton Model
Abstract
1. Introduction
2. Holographic Einstein–Maxwell-Dilaton Model
3. Numerical Results: EoS
3.1. CEP Location and FOPT
3.2. Scaled Entropy, Density, Pressure, and Specific Entropy
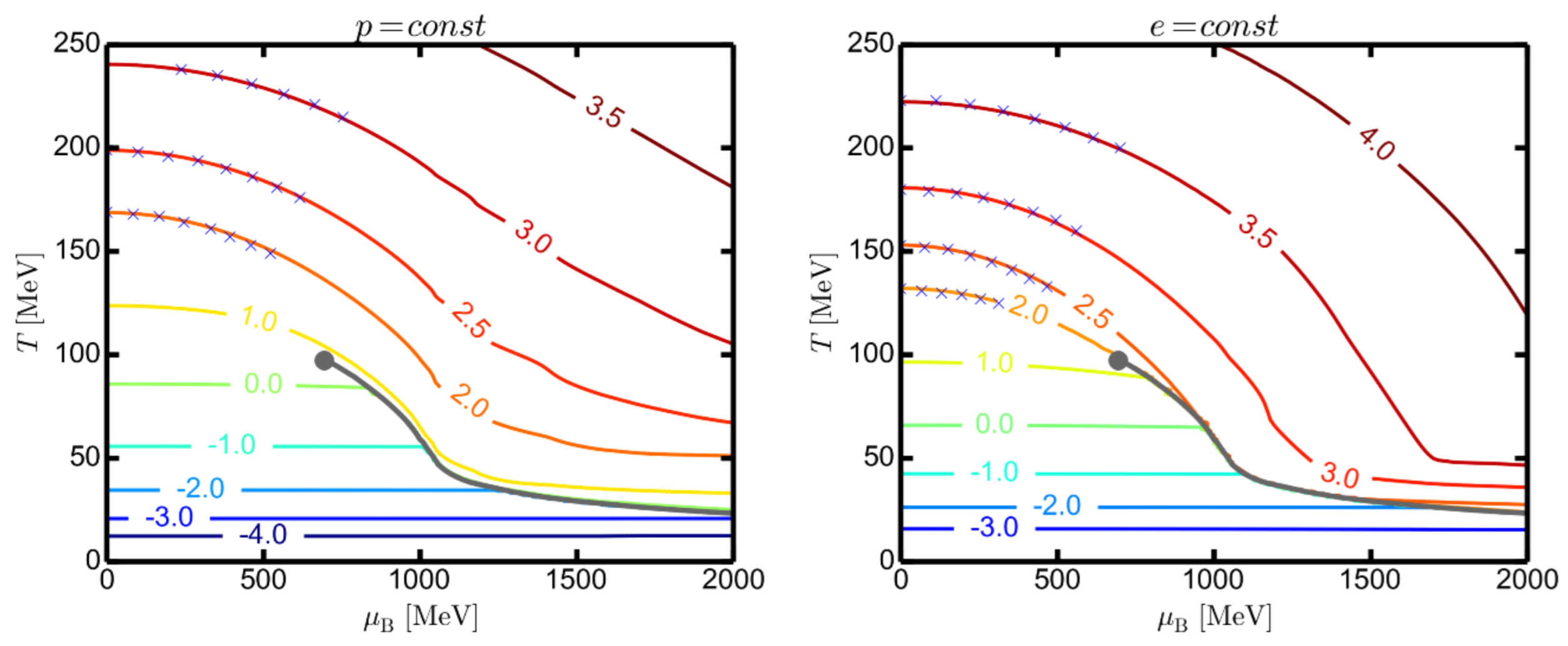
3.3. Isobars and Iso-Energy Lines
3.4. Warm EoS
4. Conclusions and Summary
Author Contributions
Funding
Data Availability Statement
Acknowledgments
Conflicts of Interest
Appendix A. A Toy Model of Isobars

Appendix B. Details of the EMd Model
Appendix C. Density and Pressure at FOPT

Appendix D. Various Dilaton Potential Parameterizations

References
- Abbott, B.P.; Abbott, R.; Abbott, T.D.; Abraham, S.; Acernese, F.; Ackley, K.; Adams, C.; Adhikari, R.X.; Adya, V.B.; Affeldt, C.; et al. [LIGO Scientific and Virgo]. GW190425: Observation of a Compact Binary Coalescence with Total Mass ∼ 3.4M⊙. Astrophys. J. Lett. 2020, 892, L3. [Google Scholar] [CrossRef]
- Miller, M.C.; Lamb, F.K.; Dittmann, A.J.; Bogdanov, S.; Arzoumanian, Z.; Gendreau, K.C.; Guillot, S.; Harding, A.K.; Ho, W.C.G.; Lattimer, J.M.; et al. PSR J0030 + 0451 Mass and Radius from NICER Data and Implications for the Properties of Neutron Star Matter. Astrophys. J. Lett. 2019, 887, L24. [Google Scholar] [CrossRef]
- Riley, T.E.; Watts, A.L.; Bogdanov, S.; Ray, P.S.; Ludlam, R.M.; Guillot, S.; Arzoumanian, Z.; Baker, C.L.; Bilous, A.V.; Chakrabarty, D.; et al. A NICER View of PSR J0030 + 0451: Millisecond Pulsar Parameter Estimation. Astrophys. J. Lett. 2019, 887, L21. [Google Scholar] [CrossRef]
- Miller, M.C.; Lamb, F.K.; Dittmann, A.J.; Bogdanov, S.; Arzoumanian, Z.; Gendreau, K.C.; Guillot, S.; Ho, W.C.G.; Lattimer, J.M.; Loewenstein, M.; et al. The Radius of PSR J0740+6620 from NICER and XMM-Newton Data. Astrophys. J. Lett. 2021, 918, L28. [Google Scholar] [CrossRef]
- Järvinen, M. Holographic modeling of nuclear matter and neutron stars. Eur. Phys. J. C 2022, 82, 282. [Google Scholar] [CrossRef]
- Hoyos, C.; Jokela, N.; Vuorinen, A. Holographic approach to compact stars and their binary mergers. Prog. Part. Nucl. Phys. 2022, 126, 103972. [Google Scholar] [CrossRef]
- Chesler, P.M.; Jokela, N.; Loeb, A.; Vuorinen, A. Finite-temperature Equations of State for Neutron Star Mergers. Phys. Rev. D 2019, 100, 066027. [Google Scholar] [CrossRef]
- DeWolfe, O.; Gubser, S.S.; Rosen, C. A holographic critical point. Phys. Rev. D 2011, 83, 086005. [Google Scholar] [CrossRef]
- DeWolfe, O.; Gubser, S.S.; Rosen, C. Dynamic critical phenomena at a holographic critical point. Phys. Rev. D 2011, 84, 126014. [Google Scholar] [CrossRef]
- Cai, R.G.; He, S.; Li, L.; Wang, Y.X. Probing QCD critical point and induced gravitational wave by black hole physics. Phys. Rev. D 2022, 106, L121902. [Google Scholar] [CrossRef]
- Grefa, J.; Noronha, J.; Noronha-Hostler, J.; Portillo, I.; Ratti, C.; Rougemont, R. Hot and dense quark-gluon plasma thermodynamics from holographic black holes. Phys. Rev. D 2021, 104, 034002. [Google Scholar] [CrossRef]
- Critelli, R.; Noronha, J.; Noronha-Hostler, J.; Portillo, I.; Ratti, C.; Rougemont, R. Critical point in the phase diagram of primordial quark-gluon matter from black hole physics. Phys. Rev. D 2017, 96, 096026. [Google Scholar] [CrossRef]
- Knaute, J.; Yaresko, R.; Kämpfer, B. Holographic QCD phase diagram with critical point from Einstein–Maxwell-dilaton dynamics. Phys. Lett. B 2018, 778, 419–425. [Google Scholar] [CrossRef]
- Jokela, N.; Järvinen, M.; Remes, J. Holographic QCD in the NICER era. Phys. Rev. D 2022, 105, 086005. [Google Scholar] [CrossRef]
- Demircik, T.; Ecker, C.; Järvinen, M. Dense and Hot QCD at Strong Coupling. Phys. Rev. X 2022, 12, 041012. [Google Scholar] [CrossRef]
- Ishii, T.; Järvinen, M.; Nijs, G. Cool baryon and quark matter in holographic QCD. J. High Energy Phys. 2019, 2019, 3. [Google Scholar] [CrossRef]
- Tootle, S.; Ecker, C.; Topolski, K.; Demircik, T.; Järvinen, M.; Rezzolla, L. Quark formation and phenomenology in binary neutron-star mergers using V-QCD. SciPost Phys. 2023, 13, 109. [Google Scholar] [CrossRef]
- Demircik, T.; Ecker, C.; Järvinen, M.; Rezzolla, L.; Tootle, S.; Topolski, K. Exploring the Phase Diagram of V-QCD with Neutron Star Merger Simulations. EPJ Web Conf. 2022, 274, 07006. [Google Scholar] [CrossRef]
- Grefa, J.; Hippert, M.; Noronha, J.; Noronha-Hostler, J.; Portillo, I.; Ratti, C.; Rougemont, R. Transport coefficients of the quark-gluon plasma at the critical point and across the first-order line. Phys. Rev. D 2022, 106, 034024. [Google Scholar] [CrossRef]
- Hoyos, C.; Jokela, N.; Järvinen, M.; Subils, J.G.; Tarrio, J.; Vuorinen, A. Holographic approach to transport in dense QCD matter. Phys. Rev. D 2022, 105, 066014. [Google Scholar] [CrossRef]
- Zhang, L.; Huang, M. Holographic cold dense matter constrained by neutron stars. Phys. Rev. D 2022, 106, 096028. [Google Scholar] [CrossRef]
- Rougemont, R.; Grefa, J.; Hippert, M.; Noronha, J.; Noronha-Hostler, J.; Portillo, I.; Ratti, C. Hot QCD phase diagram from holographic Einstein–Maxwell–Dilaton models. Prog. Part. Nucl. Phys. 2024, 135, 104093. [Google Scholar] [CrossRef]
- Jokela, N.; Järvinen, M.; Piispa, A. Refining holographic models of the quark-gluon plasma. arXiv 2024, arXiv:2405.02394. [Google Scholar]
- Borsányi, S.; Fodor, Z.; Guenther, J.N.; Kara, R.; Katz, S.D.; Parotto, P.; Pásztor, A.; Ratti, C.; Szabó, K.K. Lattice QCD equation of state at finite chemical potential from an alternative expansion scheme. Phys. Rev. Lett. 2021, 126, 232001. [Google Scholar] [CrossRef] [PubMed]
- Bazavov, A.; Bhattacharya, T.; DeTar, C.; Ding, H.T.; Gottlieb, S.; Gupta, R.; Hegde, P.; Heller, U.M.; Karsch, F.; Laermann, E.; et al. Equation of state in (2 + 1)-flavor QCD. Phys. Rev. D 2014, 90, 094503. [Google Scholar] [CrossRef]
- Borsanyi, S.; Fodor, Z.; Hoelbling, C.; Katz, S.D.; Krieg, S.; Szabo, K.K. Full result for the QCD equation of state with 2 + 1 flavors. Phys. Lett. B 2014, 730, 99–104. [Google Scholar] [CrossRef]
- Bazavov, A.; Ding, H.T.; Hegde, P.; Kaczmarek, O.; Karsch, F.; Laermann, E.; Maezawa, Y.; Mukherjee, S.; Ohno, H.; Petreczky, P.; et al. The QCD Equation of State to () from Lattice QCD. Phys. Rev. D 2017, 95, 054504. [Google Scholar] [CrossRef]
- Borsanyi, S.; Guenther, J.N.; Kara, R.; Fodor, Z.; Parotto, P.; Pasztor, A.; Ratti, C.; Szabo, K.K. Resummed lattice QCD equation of state at finite baryon density: Strangeness neutrality and beyond. Phys. Rev. D 2022, 105, 114504. [Google Scholar] [CrossRef]
- Bollweg, D.; Clarke, D.A.; Goswami, J.; Kaczmarek, O.; Karsch, F.; Mukherjee, S.; Petreczky, P.; Schmidt, C.; Sharma, S.; (HotQCD Collaboration). Equation of state and speed of sound of (2 + 1)-flavor QCD in strangeness-neutral matter at nonvanishing net baryon-number density. Phys. Rev. D 2023, 108, 014510. [Google Scholar] [CrossRef]
- Ecker, C.; Rezzolla, L. Impact of large-mass constraints on the properties of neutron stars. Mon. Not. R. Astron. Soc. 2022, 519, 2615–2622. [Google Scholar] [CrossRef]
- Annala, E.; Gorda, T.; Katerini, E.; Kurkela, A.; Nättilä, J.; Paschalidis, V.; Vuorinen, A. Multimessenger Constraints for Ultradense Matter. Phys. Rev. X 2022, 12, 011058. [Google Scholar] [CrossRef]
- Hebeler, K.; Lattimer, J.M.; Pethick, C.J.; Schwenk, A. Equation of state and neutron star properties constrained by nuclear physics and observation. Astrophys. J. 2013, 773, 11. [Google Scholar] [CrossRef]
- Stephanov, M.A.; Rajagopal, K.; Shuryak, E.V. Event-by-event fluctuations in heavy ion collisions and the QCD critical point. Phys. Rev. D 1999, 60, 114028. [Google Scholar] [CrossRef]
- Karsch, F. Lattice QCD at high temperature and density. Lect. Notes Phys. 2002, 583, 209–249. [Google Scholar]
- Fukushima, K.; Hatsuda, T. The phase diagram of dense QCD. Rept. Prog. Phys. 2011, 74, 014001. [Google Scholar] [CrossRef]
- Halasz, A.M.; Jackson, A.D.; Shrock, R.E.; Stephanov, M.A.; Verbaarschot, J.J.M. On the phase diagram of QCD. Phys. Rev. D 1998, 58, 096007. [Google Scholar] [CrossRef]
- Almaalol, D.; Hippert, M.; Noronha-Hostler, J.; Noronha, J.; Speranza, E.; Basar, G.; Bass, S.; Cebra, D.; Dexheimer, V.; Keane, D.; et al. QCD Phase Structure and Interactions at High Baryon Density: Continuation of BES Physics Program with CBM at FAIR. arXiv 2022, arXiv:2209.05009. [Google Scholar]
- Du, L.; Sorensen, A.; Stephanov, M. The QCD phase diagram and Beam Energy Scan physics: A theory overview. arXiv 2024, arXiv:2402.10183. [Google Scholar] [CrossRef]
- Lovato, A.; Dore, T.; Pisarski, R.D.; Schenke, B.; Chatziioannou, K.; Read, J.S.; Landry, P.; Danielewicz, P.; Lee, D.; Pratt, S.; et al. Long Range Plan: Dense matter theory for heavy-ion collisions and neutron stars. arXiv 2022, arXiv:2211.02224. [Google Scholar]
- Kumar, R.; Dexheimer, V.; Jahan, J.; Noronha, J.; Noronha-Hostler, J.; Ratti, C.; Yunes, N.; Acuna, A.R.N.; Alford, M.; Anik, M.H.; et al. Theoretical and Experimental Constraints for the Equation of State of Dense and Hot Matter. arXiv 2023, arXiv:2303.17021. [Google Scholar] [CrossRef]
- Fujimoto, Y.; Fukushima, K.; McLerran, L.D.; Praszalowicz, M. Trace Anomaly as Signature of Conformality in Neutron Stars. Phys. Rev. Lett. 2022, 129, 252702. [Google Scholar] [CrossRef]
- Marczenko, M.; McLerran, L.; Redlich, K.; Sasaki, C. Reaching percolation and conformal limits in neutron stars. Phys. Rev. C 2023, 107, 025802. [Google Scholar] [CrossRef]
- Pradeep, M.S.; Sogabe, N.; Stephanov, M.; Yee, H.U. Non-monotonic specific entropy on the transition line near the QCD critical point. arXiv 2024, arXiv:2402.09519. [Google Scholar]
- He, S.; Li, L.; Wang, S.; Wang, S.J. Constraints on holographic QCD phase transitions from PTA observations. arXiv 2023, arXiv:2308.07257. [Google Scholar]
- Middeldorf-Wygas, M.M.; Oldengott, I.M.; Bödeker, D.; Schwarz, D.J. Cosmic QCD transition for large lepton flavor asymmetries. Phys. Rev. D 2022, 105, 123533. [Google Scholar] [CrossRef]
- Hippert, M.; Grefa, J.; Manning, T.A.; Noronha, J.; Noronha-Hostler, J.; Vazquez, I.P.; Ratti, C.; Rougemont, R.; Trujillo, M. Bayesian location of the QCD critical point from a holographic perspective. arXiv 2023, arXiv:2309.00579. [Google Scholar]
- Bellwied, R.; Borsanyi, S.; Fodor, Z.; Katz, S.D.; Pasztor, A.; Ratti, C.; Szabo, K.K. Fluctuations and correlations in high temperature QCD. Phys. Rev. D 2015, 92, 114505. [Google Scholar] [CrossRef]
- Yaresko, R.; Knaute, J.; Kämpfer, B. Cross-over versus first-order phase transition in holographic gravity–single-dilaton models of QCD thermodynamics. Eur. Phys. J. C 2015, 75, 295. [Google Scholar] [CrossRef]
- Zöllner, R.; Kämpfer, B. Phase structures emerging from holography with Einstein gravity—dilaton models at finite temperature. Eur. Phys. J. Plus 2020, 135, 304. [Google Scholar] [CrossRef]
- Zöllner, R.; Ding, M.; Kämpfer, B. Masses of compact (neutron) stars with distinguished cores. Particles 2023, 6, 217–238. [Google Scholar] [CrossRef]
- Gao, F.; Pawlowski, J.M. Chiral phase structure and critical end point in QCD. Phys. Lett. B 2021, 820, 136584. [Google Scholar] [CrossRef]
- Bernhardt, J.; Fischer, C.S.; Isserstedt, P.; Schaefer, B.J. Critical endpoint of QCD in a finite volume. Phys. Rev. D 2021, 104, 074035. [Google Scholar] [CrossRef]
- Karthein, J.M.; Mroczek, D.; Acuna, A.R.N.; Noronha-Hostler, J.; Parotto, P.; Price, D.R.P.; Ratti, C. Strangeness-neutral equation of state for QCD with a critical point. Eur. Phys. J. Plus 2021, 136, 621. [Google Scholar] [CrossRef]
- Parotto, P.; Bluhm, M.; Mroczek, D.; Nahrgang, M.; Noronha-Hostler, J.; Rajagopal, K.; Ratti, C.; Schäfer, T.; Stephanov, M. QCD equation of state matched to lattice data and exhibiting a critical point singularity. Phys. Rev. C 2020, 101, 034901. [Google Scholar] [CrossRef]
- Blacker, S.; Bauswein, A. Comprehensive survey of hybrid equations of state in neutron star mergers and constraints on the hadron-quark phase transition. arXiv 2024, arXiv:2406.14669. [Google Scholar]
- Demircik, T.; Jokela, N.; Jarvinen, M.; Piispa, A. Is holographic quark-gluon plasma homogeneous? arXiv 2024, arXiv:2405.02392. [Google Scholar]
- Hippert, M.; Noronha, J.; Romatschke, P. Upper Bound on the Speed of Sound in Nuclear Matter from Transport. arXiv 2024, arXiv:2402.14085. [Google Scholar]
- Yao, N.; Sorensen, A.; Dexheimer, V.; Noronha-Hostler, J. Structure in the speed of sound: From neutron stars to heavy-ion collisions. Phys. Rev. C 2024, 109, 065803. [Google Scholar] [CrossRef]
- Rojas, J.C.; Demircik, T.; Järvinen, M. Popcorn Transitions and Approach to Conformality in Homogeneous Holographic Nuclear Matter. Symmetry 2023, 15, 331. [Google Scholar] [CrossRef]
- Mroczek, D.; Yao, N.; Zine, K.; Noronha-Hostler, J.; Dexheimer, V.; Haber, A.; Most, E.R. Finite-temperature expansion of the dense-matter equation of state. arXiv 2024, arXiv:2404.01658. [Google Scholar]
- Flor, F.A.; Olinger, G.; Bellwied, R. Flavour and Energy Dependence of Chemical Freeze-out Temperatures in Relativistic Heavy Ion Collisions from RHIC-BES to LHC Energies. Phys. Lett. B 2021, 814, 136098. [Google Scholar] [CrossRef]
- Günther, J.; Bellwied, R.; Borsanyi, S.; Fodor, Z.; Katz, S.D.; Pasztor, A.; Ratti, C. The QCD equation of state at finite density from analytical continuation. EPJ Web Conf. 2017, 137, 07008. [Google Scholar] [CrossRef]
- Zöllner, R.; Kämpfer, B. Quarkonia Formation in a Holographic Gravity–Dilaton Background Describing QCD Thermodynamics. Particles 2021, 4, 159–177. [Google Scholar] [CrossRef]
- Zöllner, R.; Kämpfer, B. Holographic bottomonium formation in a cooling strong-interaction medium at finite baryon density. Phys. Rev. D 2021, 104, 106005. [Google Scholar] [CrossRef]
- Gursoy, U.; Kiritsis, E.; Mazzanti, L.; Michalogiorgakis, G.; Nitti, F. Improved Holographic QCD. Lect. Notes Phys. 2011, 828, 79–146. [Google Scholar]





Disclaimer/Publisher’s Note: The statements, opinions and data contained in all publications are solely those of the individual author(s) and contributor(s) and not of MDPI and/or the editor(s). MDPI and/or the editor(s) disclaim responsibility for any injury to people or property resulting from any ideas, methods, instructions or products referred to in the content. |
© 2024 by the authors. Licensee MDPI, Basel, Switzerland. This article is an open access article distributed under the terms and conditions of the Creative Commons Attribution (CC BY) license (https://creativecommons.org/licenses/by/4.0/).
Share and Cite
Zöllner, R.; Kämpfer, B. Towards a Warm Holographic Equation of State by an Einstein–Maxwell-Dilaton Model. Symmetry 2024, 16, 999. https://doi.org/10.3390/sym16080999
Zöllner R, Kämpfer B. Towards a Warm Holographic Equation of State by an Einstein–Maxwell-Dilaton Model. Symmetry. 2024; 16(8):999. https://doi.org/10.3390/sym16080999
Chicago/Turabian StyleZöllner, Rico, and Burkhard Kämpfer. 2024. "Towards a Warm Holographic Equation of State by an Einstein–Maxwell-Dilaton Model" Symmetry 16, no. 8: 999. https://doi.org/10.3390/sym16080999
APA StyleZöllner, R., & Kämpfer, B. (2024). Towards a Warm Holographic Equation of State by an Einstein–Maxwell-Dilaton Model. Symmetry, 16(8), 999. https://doi.org/10.3390/sym16080999

