Abstract
The memristor, a novel device, has been widely utilized due to its small size, low power consumption, and memory characteristics. In this paper, we propose a new three-dimensional discrete memristor map based on coupling a one-dimensional chaotic map amplifier with a memristor. Firstly, we analyzed the memristor model to understand its characteristics. Then, a Simulink model for this three-dimensional discrete memristor map was developed. Lastly, the complex dynamical characteristics of the system were analyzed via equilibrium points, bifurcation diagrams, Lyapunov exponent spectra, complexity, and multistability. This study revealed the phenomena of coexisting attractors and hyperchaotic attractors. Simulink modeling confirmed that the discrete memristors effectively enhanced the chaos complexity in the three-dimensional discrete memristor map. This approach addresses the shortcomings of randomness, the lack of ergodicity, and the small key space in a one-dimensional chaotic map, thereby enriching the theoretical analysis and circuit implementation of chaos.
1. Introduction
The memristor, a passive nonlinear fundamental circuit element, is utilized to describe the relationship between charge and magnetic flux. Moreover, as a novel component, it is the fourth passive nonlinear fundamental circuit element, distinct from resistors, inductors, and capacitors. Memristors are characterized by their small size and low power consumption, and have been widely applied in artificial neural networks, logic operations, non-volatile memory, chaotic oscillators, and other fields [1]. In recent years, researchers have been significantly interested in the combination of discrete maps and memristors [2]. AliMansouri et al. [3] presented a novel one-dimensional chaotic map amplifier (1-DCMA). They incorporated a chaotic map generated by the 1-DCMA into a novel asymmetric image encryption scheme (Amp-Lg-IE). It has been demonstrated that Amp-Lg-IE can efficiently encrypt a plain image into an indistinguishable random-like image, exhibiting high resistance against various threats and attacks within a reasonable timeframe. Fu Longxiang et al. [4] discussed discrete memristor modeling and discrete memristor map designing based on Simulink. They verified the realizability and laid a foundation for the future applications of discrete memristors. Wang et al. [5] introduced a fractional-order discrete memristor (FDM) derived from the Grünwald–Letnikov definition and employed it in the Hénon map. The study suggests that this implementation can enhance the chaotic range and broaden the region of high complexity. The order of the system can control the chaotic state and has been implemented on FPGA [6]. Hua et al. [7] introduced a new 2–D chaotic map derived from logistic and sine maps to devise an encryption scheme based on the classical confusion–diffusion framework. Despite their inherent complexity and hyperchaotic characteristics, many multi-dimensional maps suffer from substantial computational overhead. The proposed algorithms for encryption must disrupt the correlation between adjacent pixels, facilitate image recovery from damage, and withstand differential attacks. Standard encryption systems typically employ the confusion–diffusion strategy to rearrange pixel positions, thereby addressing correlation issues and aiding in the recovery of damaged images. Subsequently, they introduce value changes to diffuse any alterations in the plaintext image throughout the encrypted output. Hong et al. [8] proposed and analyzed a discrete flux-controlled memristor model, and a discrete Chialvo–Rulkov neural network was designed using a new type of memristor. The research imitates the principles of biological neuron coupling and can be applied to confidentiality and encryption systems. Ren et al. [9] constructed a new discrete memristor and a new three-dimensional hyperchaotic map by coupling the new discrete memristor. They analyzed the dynamical characteristics using phase diagrams, the Lyapunov exponent spectrum (Les), bifurcation diagrams and attractor basins. In addition, the state transition and the attractor’s coexistence with periodic, quasi-periodic, chaotic, and hyperchaotic phenomena have been studied. Laskaridis et al. [10] developed a multistable discrete memristor model that combines a comprehensive methodology for generating memristor maps using the modulo function and exponential memristance. Zhang et al. [11] successfully demonstrated chaotic oscillations using a memristor and discrete maps, designing a circuit based on discrete logic maps to achieve chaotic behavior. The significant potential of memristors with discrete maps for generating chaos has been emphasized via bifurcation diagrams and Lyapunov exponents. Wang et al. [12] proposed a color image encryption scheme with new features based on a two-dimensional discrete memristor logistic map (2D-MLM), deoxyribonucleic acid (DNA) encoding and multi-wing hyperchaotic systems.
Currently, two prevalent approaches for constructing memristor-based chaotic systems exist. The first approach employs the memristor as the core component, complemented with streamlined peripheral circuit modules, thereby establishing a novel chaotic system. The second method directly adds memristors to chaotic systems or replaces some nonlinear terms with memristors. Lai et al. [13] studied a new chaotic system generated from the simplest memristor chaotic circuit by introducing a simple nonlinear feedback control input. This circuit structure is succinct, comprising only three primary components, including a memristor. The system can induce extreme multistability phenomena by introducing novel control inputs, demonstrating rich dynamical characteristics. Bao et al. [14] studied a novel fifth-order two-memristor system based on Chua’s hyperchaotic circuit, which is synthesized from an active band pass filter-based Chua circuit by replacing a nonlinear resistor and a linear resistor with two different memristors. A hardware circuit was constructed, and experiments were conducted to validate the extreme multistability in the two-memristor system of the Chua hyperchaotic circuit. Li et al. [15] established a general framework for constructing two-dimensional discrete memristors by coupling cosine discrete memristors with some one-dimensional discrete maps. Based on this, Bao et al. [16] proposed a universal discrete memristor model and its unified map model. They also proposed four examples of two-dimensional discrete memristor maps, all of which can generate hyperchaotic phenomena. In 2021, Bao et al. [17] studied a new discrete memristor model by applying the forward Euler difference algorithm and coupling it with a logistic map. Thereafter, Bao et al. [18] proposed a two-dimensional sine-transform-based memristive model. They found that this model had a line fixed point and its stability depended on the initial state of the memristor. Chaotic and hyperchaotic attractors emerged by controlling various parameters, demonstrating their complicated fractal structures and outstanding performance indicators.
In the research on memristors, the study of the dynamic behavior of memristive chaotic systems mainly focuses on coexistence attractors and extreme multistability. Yan et al. [19] proposed a new hyperchaotic system and constructed infinite hyperchaotic coexistence attractors with multiple scrolls. Multiscroll coexistence attractors have a more complex structure and dynamic behavior. Zhang et al. [20] proposed a 4D hyperchaotic system with symmetry based on a memristor. The system has rich dynamical behaviors such as transient chaos, intermittent chaos, offset enhancement, burst oscillation, infinite attractor coexistence, high complexity, and symmetric multistability. Almatroud et al. [21] proposed a novel 4D fractional memristor by combining a nonintegral order discrete memristor with the GrassiMiller map. The proposed memristor-based map features no equilibria and the coexistence of various chaotic and hyperchaotic attractors. Li et al. [22] restored the DVD by introducing initial states on both sides of the equation, achieving initial condition-oriented offset boosting. Li et al. [23] constructed a class of chaotic systems, providing a single constant generating direct offset boosting in two dimensions. This offset-boostable chaotic system regime has multiple typical control modes, and the new type of chaotic system also involves two-dimensional offset boosting combined with amplitude control.
In this paper, we innovatively coupled the one-dimensional chaotic map amplifier (1-DCMA) [3] with a memristor, thereby creating a novel three-dimensional discrete memristor. Via analysis, we observed that this structure exhibited hyperchaotic and multistability phenomena, which hold significant potential for applications in chaotic cryptography and related fields. We utilized Simulink tools for modeling to validate the feasibility of this theoretical model and obtained the corresponding experimental validation results. We effectively addressed key issues encountered in previous applications of one-dimensional chaotic mappings via this groundbreaking research, such as poor randomness, insufficient ergodicity, and limited key space, providing a more solid theoretical foundation and practical support for applying chaotic maps in fields such as information security.
This study investigated a new three-dimensional discrete memristor map based on coupling a one-dimensional chaotic map amplifier with a memristor. The remainder of this paper is structured as follows:
2. Discrete Memristor Model and Simulink Simulation
Chaos theory has demonstrated significant potential and application prospects in modern scientific and technological domains. The one-dimensional chaotic map amplifier, an innovative technology based on chaos theory, finds wide applications in signal processing, communications, control systems, and other fields. Mansouri et al. [3] recently proposed a novel one-dimensional chaotic map amplifier (1-DCMA). The results showed that the 1-DCMA improved the chaotic behavior, control parameters’ structure, and sensitivity of the 1D chaotic maps used as inputs.
This one-dimensional chaotic map amplifier (1-DCMA) is described as follows:
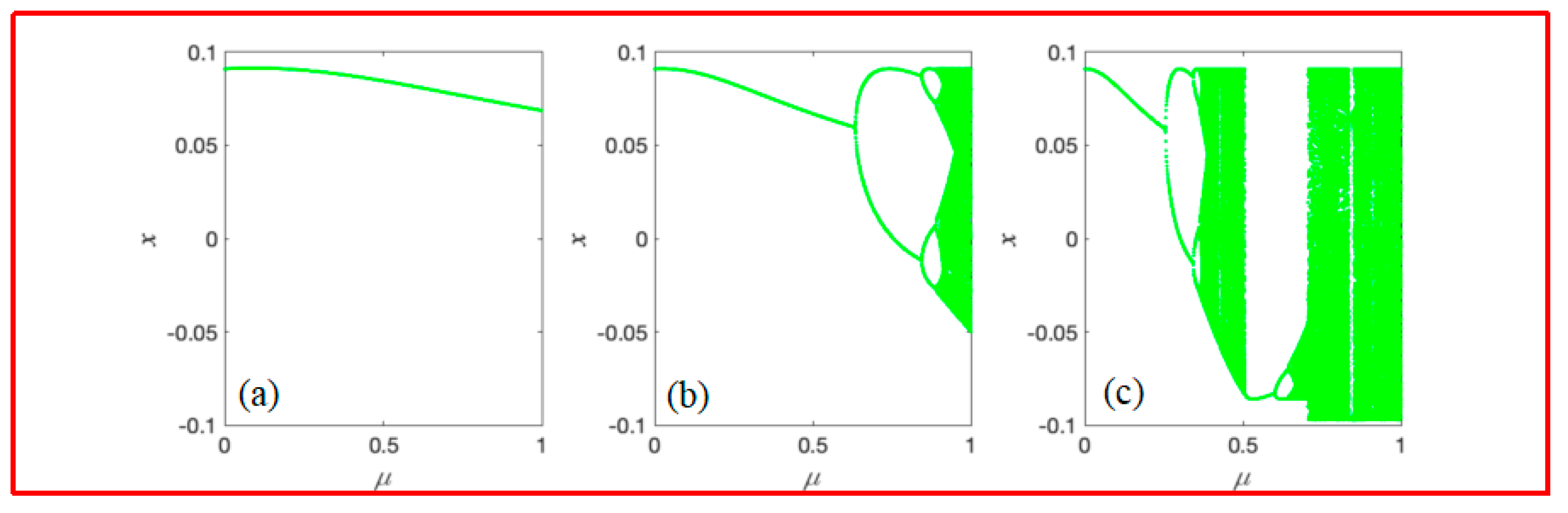
where is the control parameter; with k = 0.1; and xn is the input parameter of the map with the initial value set to . The parameter is changed to obtain the bifurcation diagram, as shown in Figure 1.
Figure 1.
Bifurcation diagram of the one−dimensional chaotic map amplifier: (a) ; (b) ; and (c) .
Memristors are frequently integrated into the coupling process of one-dimensional maps to enhance the complexity of chaotic maps. We defined a discrete charge-controlled memristor based on the forward Euler differencing method to achieve more precise and efficient control mechanisms. Therefore, this discrete charge-controlled memristor model can be described as follows:
where and represent the discrete input current, discrete input voltage, and inner charge of the memristor, respectively; M() represents the memristor value, where is the internal state z at the beginning of the n-th iteration; and represents the iteration step.
Figure 2 illustrates the discrete charge-controlled memristor model constructed in Simulink. This model depicts the input–output relationship of the memristor and its circuit connections. Different behaviors of the memristor under various conditions can be simulated by adjusting the parameters and settings within the model, facilitating a deeper understanding of its operational principles and characteristics. The model integrates the categorization of addition, subtraction, multiplication, and division within the discrete memristor mathematical model and achieves the iteration of charge z by combining a discrete-time summation module with the forward difference operator. The scope depicts the relationship between the input voltage of the memristor and the current flowing through it. A discrete input current was set to to verify the characteristics of discrete memristor. The volt-ampere characteristic curves of the discrete memristor are shown in Figure 3.
Figure 2.
Discrete charge-controlled memristor Simulink model.
Figure 3.
Characteristic curves of the discrete memristor: (a) volt−ampere characteristic curve; (b) the current and voltage sequence output via scope.
As shown in Figure 3a, the characteristic curve conforms to the distinctive hysteresis loop of the magnetic materials under the influence of sinusoidal current, typical of a memristor. The variations in the current and voltage are depicted in Figure 3b. This indicates that the constructed Simulink model of the discrete memristor conforms to the standard definition of a memristor and can therefore be employed for various applications.
The curves in the figure display the hysteresis loops. Therefore, coupling the discrete memristor with a sine arcsine map yields a new three-dimensional discrete memristor map, which is defined as follows:
where k and are the control and input parameter of the map, respectively. xn, yn, and zn stand for the values of three variables x, y and z at the beginning of the n-th iteration, respectively; xn+1, yn+1, and zn+1 stand for the values of three variables x, y and z at the beginning of the (n + 1)-th iteration, respectively. is the amplification parameter. h represents the coupling parameter between the one-dimensional map and the memristor.
According to the new three-dimensional discrete memristor map (Equation (3)), we can construct the simulation model of this system in Simulink, as shown in Figure 4. In Simulink, the memristor module adopts the model shown in Figure 1, and the shaded area represents the discrete memristor. Gain2/Gain5 represent , Gain1/Gain6 represent the block set r, and the ‘Gain3’ block is crucial as it represents the system’s coupling parameter h, which significantly influences the dynamics of the chaotic attractor. This parameter makes the system exhibit various chaotic behaviors by adjusting the interaction between the system state variables. The output signals xn and zn are observed in the scope and XY graphs, respectively, and the data are output to the workspace. Firstly, with a set initial value (x0, y0, z0) = (0.1, 0, 1) in Unit Delay 1, Unit Delay 2, and Unit Delay 3, respectively, the coupling parameter h values of System (3) are set to as 0.75 and 0.89. Then, the numerical data from the scope image are saved in the workspace, and the corresponding phase diagram is plotted using MATLAB (version 2020), as shown in Figure 5. In Figure 5, the phase diagram transition of the new chaotic system illustrates the system’s evolution from a chaotic state to a hyperchaotic state with a varying coupling parameter h, setting the input parameter as = 0.2 and the coupling parameter h as 0.75 and 0.89.
Figure 4.
Simulink model of the three−dimensional discrete memristor map (3).
Figure 5.
Simulink simulation phase diagram of the three−dimensional discrete memristor map: (a) (h, μ) = (0.2, 0.75); (b) (h, μ) = (0.2, 0.89).
3. Dynamic Characteristic Analysis
We conducted a comprehensive series of investigations to delve into the complex dynamic behaviors of this three-dimensional discrete memristor map, focusing on the profound impact of control parameters on the system’s complex dynamics from several perspectives, including the equilibrium point, bifurcation diagram, maximum Lyapunov exponent (LE), complexity, and metastability. These findings enhance our understanding and insight into the dynamic characteristics of this complex system and provide a solid theoretical foundation for subsequent applications and optimizations.
3.1. Equilibrium Point and Stability Analysis
Firstly, we meticulously analyzed the equilibrium point and stability. The equilibrium point is an essential characteristic of dynamical systems and is thus crucial for understanding a system’s stability and dynamic variations. The equilibrium point reflects the system’s stable states under specific control parameters within the three-dimensional discrete memristor map. We observed that adjustments to the parameters could alter the equilibrium point by plotting curves of the equilibrium point against varying control parameters, leading to transitions between stable states.
By making the left and right sides of Equation (3) equal, the system equilibrium point is expressed as follows:
where can be arbitrary, i.e., y* can take any value, indicating that the system has an infinite number of equilibrium points. Linearizing a system is a crucial task in control theory and engineering. It aims to approximate complex nonlinear systems into linear systems using mathematical methods, thereby simplifying the analysis and design processes. The Jacobian matrix is derived from (3) as follows:
Its characteristic polynomial is given via
Moreover, the two corresponding eigenvalues are calculated as
where . According to Equation (7), we know that the equilibrium E is stable if the three eigenvalues ; is critical since it remains on the unit circle, while may be either stable or unstable because they can be located inside or outside the unit circle. Different states are determined by the control parameter , the coupling parameter h, and the initial state of the memristor.
Considering h and as parameters related to the memristor, can be treated as a collective parameter, where pertains to the map parameter . A stability phase portrait of the discrete chaotic map at the equilibrium point is depicted in Figure 6. The gray and blue regions signify the critical stable state (CST) and unstable state (UST) areas, respectively. In summary, the system has an unstable equilibrium point, which can exhibit chaotic behavior, verifying the Simulink simulation results.
Figure 6.
Stability distribution of the equilibrium point sets E in the parameter plane.
3.2. Bifurcation Diagram and Lyapunov Exponent Analysis
We utilized bifurcation diagrams to indicate the system’s dynamic behavior under different control parameters. Bifurcation diagrams illustrate the process of changes in a system’s dynamic behavior as parameters continuously vary. In the three-dimensional discrete memristor map, the bifurcation diagram unveiled complex dynamic variations near the equilibrium point, including periodic oscillations, chaotic phenomena, and the emergence of a bifurcation point, which often coincide with abrupt changes in system properties and are pivotal for understanding complex dynamic behavior. Additionally, we evaluated the system’s chaotic degree by computing the maximum Lyapunov exponent (LE). Lyapunov exponent values are a critical indicator for determining whether a system enters a chaotic state. Within the three-dimensional discrete memristor map, we found that the Lyapunov exponent values exhibited significant changes with adjustments to the control parameters. When the Lyapunov exponent values were greater than zero, the system entered a chaotic state, exhibiting complex dynamic behavior; conversely, when the Lyapunov exponent values were less than or equal to zero, the system presented stable dynamic characteristics.
In this study, System (4) possesses an infinite number of unstable equilibrium points, indicating the rich dynamical behavior of this discrete memristor chaotic system. The largest Lyapunov exponent and the system’s bifurcation diagram were analyzed as parameter varied within the range of [0, 1] to further investigate the system’s complex dynamical characteristics. The largest Lyapunov exponent can be defined as follows:
where , and represent xn, , and zn, represent the corresponding largest Lyapunov exponents, respectively.
Therefore, with a fixed parameter k = 0.1, h = 0.5. Meanwhile, the initial value is set to (x0, y0, z0) = (0.1, 0, −1). We can obtain the largest Lyapunov exponent and the bifurcation diagram of the system by changing the parameter h of system (3), as shown in Figure 7.
Figure 7.
For fixed k = 0.1, h = 0.5 and (x0, y0, z0) = (0.1, 0, −1), the largest Lyapunov exponent (top) and bifurcation diagram (bottom) of the three−dimensional discrete memristor map with parameter (0, 1): (a); (b).
The newly constructed discrete chaotic map exhibits hyperchaotic behavior, as illustrated in Figure 7, with the hyperchaotic range expanding as the map amplification parameter increases.
Figure 7a shows that the largest Lyapunov exponent of this system is approximately 0, with the input parameter . This indicates that the system is in a period-1 state.
When the input parameter , the system sequentially enters a period-doubling bifurcation state, nearing the largest Lyapunov exponent of this system, which ultimately stabilizes at 0. When the input parameter increases again, the system enters a chaotic state, and the largest Lyapunov exponent of the system is approximately 0~0.24. Simultaneously, the appearance of two positive Lyapunov exponents indicates that the system has entered a hyperchaotic state. A period window is observed within the chaotic interval of . This consistency between the Lyapunov exponent and the bifurcation diagram demonstrates that both indicate this system can generate complex dynamic behaviors. Figure 7b shows that the hyperchaotic range expands as the map amplification parameter increases.
With the coupling parameters h = 0.2 and r = 2 and the initial state values (x0, y0, z0) = (0.1, 0, −1), we set the input parameter to three values: Then, we save the numerical data from the scope image in the workspace and plot the phase plane chaotic/chaotic attractors via the new model in the x–y plane, which are shown in Figure 8a–c. As shown in Figure 8d–f, with the parameter r = 2 and the initial state values (x0, y0, z0) = (0.1, 0, −1), we set the different input parameter and the different coupling parameter h.
Figure 8.
The phase plane plots of chaotic/hyperchaotic attractors generated by the new model in the x–y plane for six groups of parameters with (x0, y0, z0) = (0.1, 0, −1) and r = 2. (a) ; (b) ; (c) ; (d) ; (e) ; (f) .
The phase diagrams in Figure 8a–c reveal a transition from a chaotic state to a hyperchaotic state as coupling parameter h is 0.75, 0.85, and 0.91. The input parameter is constantly compared to Figure 8c,d; in the phase plane, plots of hyperchaotic attractors are generated by the new model in the x–y plane, where the input parameter is constant. This progression indicates that small changes in the coupling parameter h can cause significant changes in the system’s dynamical complexity. Figure 8e,f schematically illustrate the phase plane plots of the hyperchaotic attractors generated by the new model in the x–y plane at two different coupling parameter h values where the input parameter is . The system enters a hyperchaotic state.
3.3. Complexity and Multistability Analysis
Beyond the equilibrium point, bifurcation diagrams, and Lyapunov exponent, we also studied the complexity and multistability of the system. Complexity reflects the degree of complexity in the system’s dynamic behavior, while multistability reveals the potential for multiple stable states under different control parameters. We further unveiled the rich implications of the three-dimensional discrete memristor map in terms of complex dynamic behavior by calculating the complexity and analyzing the multistability phenomena.
3.3.1. Complexity Analysis
Complexity is a metric for measuring the proximity of chaotic sequences to random sequences, where greater complexity indicates a higher degree of randomness in the chaotic sequence. In summary, our numerical simulations demonstrate that the chaos map proposed in this study can generate hyperchaotic attractors.
Quantitative evaluations of hyperchaotic performance were conducted in this paper using the Lyapunov exponents (LE1, LE2), Spectral Entropy (SE), Permutation Entropy (PE), and Correlation Dimension (CorDim). Then, the length of the hyperchaotic sequences was set to 105. Table 1 lists the performance metrics of various novel two-dimensional discrete memristor maps, where LE1 = 0.212 and LE2 = 0.024, which indicates that the system is chaotic. The system is shown to be chaotic, whenever the Lyapunov exponent is positive. In terms of the PE, the hyperchaotic performance of the proposed method surpasses that of some existing new maps. Its advantages become more pronounced when compared with chaotic attractors. This implies that this discrete memristor map exhibits more complex dynamic behaviors, making it more suitable for various chaos-based encryption applications.
Table 1.
Lists performance metrics of various novel three-dimensional discrete memristor maps.
3.3.2. Multistability Analysis
In this subsection, we explore the combined impact of the parameter values and z0 on the system’s dynamic behavior. With the different coupling parameter values of h, the basins of attraction in the x0-y0 initial plane demonstrate the parameter effects of the coupling memristor on the multistability, as shown in Figure 9. The cyan, gray, purple, and blue regions represent the attracting regions of the quasi-period attractor (QPA), chaos attractor (CA), hyperchaos attractor (HCA), and period-4 attractor (P4A), respectively. The map model’s basins of attraction exhibit complex fractal evolution as the parameter values of h vary. The differently colored attractor regions within these basins confirm the coexistence of multiple attractors. As shown in Figure 9a,b, the blue, gray, and purple areas are the main regions, indicating that the model is prone to exhibiting period-4, chaos, and hyperchaos for these two parameter values, respectively. Cyan is also observed, indicating that the model also generates multiperiod behaviors. As demonstrated in Figure 9c,d, the cyan area gradually expands, while the gray and purple regions, representing chaos and hyperchaos, respectively, gradually shrink as h increases. Similarly, the parameters were set to (h, μ) = (0.1, 0.89), and the initial conditions of the memristor were configured at z0 = 0, 0.5, 1, 2, respectively. The basins of attraction in the x0-y0 initial plane were simulated as shown in Figure 10. The basins of attraction exhibit complex fractal evolution as the initial condition z0 varies, which confirms the coexistence of multiple attractors.
Figure 9.
The basins of attraction in the x0-y0 initial plane for fixed μ = 0.89 and z0 = − 1 with different coupling parameter values of h, demonstrating the parameter effects of the coupling memristor on the multistability. (a) h = 0.02; (b) h = 0.05; (c) h = 0.08 (d) h = 0.1; (e) h = 0.4; (f) h = 0.5.
Figure 10.
The basins of attraction in the x0-y0 initial plane for fixed (h, μ) = (0.1, 0.89) with different values of memristor initial condition z0, demonstrating the initial effects of the coupling memristor on the heterogeneous multistability. (a) z0 = 0; (b) z0 = 0.5; (c) z0 = 1; (d) z0 = 2; (e) z0 = 3; (f) z0 = 4.
4. Conclusions
This paper introduced a novel three-dimensional memristor chaotic system with complex dynamical behaviors achieved by coupling discrete memristors with a one-dimensional discrete map. The system exhibits period-doubling bifurcation paths as the parameters vary and demonstrates an infinite number of coexisting attractors under different initial conditions. Moreover, this study revealed this new system’s capability to generate superior hyperchaotic attractors. The numerical results were further validated using digital experiments and Simulink simulations, confirming the feasibility of discrete memristors and their potential applications in image encryption and secure communications.
Author Contributions
Conceptualization, H.S. and S.P.; methodology, S.P.; software, S.P.; validation, S.P., Q.X., R.L., Y.L. and S.D.; formal analysis, S.P.; investigation, S.P.; resources, S.P.; data curation, S.P.; writing—original draft preparation, S.P.; writing—review and editing, S.P.; visualization, S.P.; supervision, S.P.; project administration, S.P.; funding acquisition, S.P. All authors have read and agreed to the published version of the manuscript.
Funding
This research was funded by the Natural Science Research Program of Fuyang Normal University (Grant No. 2021FSKJ1400), Anhui Province Photovoltaic Industry Common Technology Research Center Open Subjects (Grant No. AHPV202404), Anhui Provincial Collaborative Innovation program for colleges and Universities (Grant No. GXXT-2023-030), and (GXXT-2023-032), and Fuyang Normal University Undergraduate Teaching Project (Grant No. 2023YLKC0010).
Data Availability Statement
Data are contained within the article.
Acknowledgments
The authors also thank the reviewers for their valuable input.
Conflicts of Interest
The authors declare no conflict of interest.
References
- Yan, X.; Wang, X.; Xian, Y. Synchronously scramble diffuse image encryption method based on a new cosine chaotic map. Chin. Phys. B 2022, 31, 080504. [Google Scholar]
- Huang, L.; Liu, J.; Xiang, J.; Wang, L.; Zhang, Y. A novel two-dimensional memristive hyperchaotic map and its DSP implementation. Res. Explor. Lab. 2023, 42, 36–40. [Google Scholar]
- Mansouri, A.; Wang, X. A novel one-dimensional chaotic map generator and its application in a new index representation-based image encryption scheme. Inf. Sci. Int. J. 2021, 563, 91–110. [Google Scholar] [CrossRef]
- Fu, T.-K.; He, S.; Sun, K. Simulink modeling and dynamic characteristics of discrete memristor chaotic system. Acta Phys. Sin. 2022, 71, 030501. [Google Scholar] [CrossRef]
- He, S.; Zhan, D.; Wang, H.; Sun, K.; Peng, Y. Discrete Memristor and Discrete Memristive Systems. Entropy 2022, 24, 786. [Google Scholar] [CrossRef]
- Wang, H.; Li, G.; Sun, K.; He, S. An improved Hénon map based on G-L fractional-order discrete memristor and its FPGA implementation. Eur. Phys. J. Plus 2024, 139, 154. [Google Scholar] [CrossRef]
- Hua, Z.; Zhou, Y. Image encryption using 2d logistic-adjusted-sine map. Inf. Sci. 2016, 339, 237–253. [Google Scholar] [CrossRef]
- Cao, H.; Wang, Y.; Banerjee, S.; Cao, Y.; Mou, J. A discrete Chialvo Rulkov neuron network coupled with a novel memristor model: Design, Dynamical analysis, DSP implementation and its application. Chaos Solitons Fractals 2024, 179, 114466. [Google Scholar] [CrossRef]
- Ren, L.; Mou, J.; Banerjee, S.; Zhang, Y. A hyperchaotic map with a new discrete memristor model: Design dynamical analysis, implementation and application. Chaos Solitons Fractals 2023, 167, 113024. [Google Scholar] [CrossRef]
- Laskaridis, L.; Volos, C.; Nistazakis, H.; Meletlidou, E. Exploring the dynamics of a multistable general model of discrete memristor-based map featuring an exponentially varying memristance. Integration 2024, 95, 102131. [Google Scholar] [CrossRef]
- Zhang, Y.; Wang, Z.; Sun, J. Realization of chaotic oscillations using memristor with discrete map. Chaos Solitons Fractals 2019, 138, 122–130. [Google Scholar]
- Wang, C.; Chong, Z.; Zhang, H.; Ma, P.; Dong, W. Color image encryption based on discrete memristor logistic map and DNA encoding. Integration 2024, 96, 102138. [Google Scholar] [CrossRef]
- Lai, Q.; Wan, Z.; Kuate, P.D.K.; Fotsin, H. Coexisting attractors, circuit implementation and synchronization control of a new chaotic system evolved from the simplest memristor chaotic circuit. Commun. Nonlinear Sci. Numer. Simul. 2020, 89, 105341. [Google Scholar] [CrossRef]
- Bao, B.; Jiang, T.; Wang, G.; Jin, P.; Bao, H.; Chen, M. Two-memristor-based Chua’s hyper chaotic circuit with plane equilibrium and its extreme multistability. Nonlinear Dyn. 2017, 89, 1157–1171. [Google Scholar] [CrossRef]
- Li, H.; Hua, Z.; Bao, H.; Zhu, L.; Chen, M.; Bao, B. Two-dimensional memristive hyperchaotic maps and application in secure communication. IEEE Trans. Ind. Electron. 2021, 68, 9931–9940. [Google Scholar] [CrossRef]
- Bao, H.; Hua, Z.; Li, H.; Chen, M.; Bao, B. Discrete memristor hyperchaotic maps. IEEE Trans. Circuits Syst. I Reg. Pap. 2021, 68, 4534–4544. [Google Scholar] [CrossRef]
- Bao, B.; Rong, K.; Li, H.; Li, K.; Hua, Z.; Zhang, X. Memristor-coupled logistic hyperchaotic map. IEEE Trans. Circuits Syst. II Express Briefs 2021, 68, 2992–2996. [Google Scholar] [CrossRef]
- Bao, H.; Li, H.; Hua, Z.; Xu, Q.; Bao, B. Sine-transform-based memristive hyperchaotic model with hardware implementation. IEEE Trans. Ind. Inform. 2023, 19, 2792–2801. [Google Scholar] [CrossRef]
- Yan, M.; Xu, H. The multi-scroll hyper-chaotic coexistence attractors and its application. Signal Process. Image Commun. 2021, 95, 116210. [Google Scholar] [CrossRef]
- Zhang, J.; Guo, Y.; Guo, J. Design of memristor hyperchaotic circuit with burst oscillation and infinite attractor coexistence and its application. Microelectron. Eng. 2023, 282, 112099. [Google Scholar] [CrossRef]
- Almatroud, A.O.; Grassi, G.; Khennaoui, A.A.; Abbes, A.; Ouannas, A.; Alshammari, S.; Albosaily, S. A novel fractional memristor-based Grassi-Miller map: Hyperchaotic behavior and coexistence of attractors. Alex. Eng. J. 2024, 93, 1–6. [Google Scholar] [CrossRef]
- Li, C.; Yi, C.; Li, Y.; Mitro, S.; Wang, Z. Offset boosting in a discrete system. Chaos Interdiscip. J. Nonlinear Sci. 2024, 34, 031102. [Google Scholar] [CrossRef]
- Li, C.; Gao, Y.; Lei, T.; Li, R.Y.M.; Xu, Y. Two independent offset controllers in a three-dimensional chaotic system. Int. J. Bifurc. Chaos 2024, 34, 2450008. [Google Scholar] [CrossRef]
- Bao, H.; Rong, K.; Chen, M.; Zhang, X.; Bocheng, B. Multistability and synchronization of discrete maps via memristive coupling. Chaos Solitons Fractals 2023, 174, 113844. [Google Scholar] [CrossRef]
- Xiang, Q.; Shen, Y.; Peng, S.; Liu, M. A Two-Dimensional Discrete Memristor Map: Analysis and Implementation. Int. J. Bifurc. Chaos 2024, 2450124. [Google Scholar] [CrossRef]
Disclaimer/Publisher’s Note: The statements, opinions and data contained in all publications are solely those of the individual author(s) and contributor(s) and not of MDPI and/or the editor(s). MDPI and/or the editor(s) disclaim responsibility for any injury to people or property resulting from any ideas, methods, instructions or products referred to in the content. |
© 2024 by the authors. Licensee MDPI, Basel, Switzerland. This article is an open access article distributed under the terms and conditions of the Creative Commons Attribution (CC BY) license (https://creativecommons.org/licenses/by/4.0/).









