Abstract
Based on the differential quadrature procedure (DQP), the vibrational response of functionally graded (FG) sandwich annular plates enhanced with graphene platelets (GPLs) and with an FG porous core is illustrated in this paper. The current annular plate is assumed to deform axisymmetrically and expose to a radial magnetic field. The Lorentz magnetic body force is deduced via Maxwell’s relations. The effective physical properties of the upper and lower layers of the sandwich plate are obtained by employing the Halpin–Tsai model. Our technique depends on a new four-unknown shear deformation theory to depict the displacements. In addition, the motion equations are established via Hamilton’s principle. The motion equations are solved by employing the DQP. In order to study the convergence of the DQ method, the minimum number of grid points needed for a converged solution is ascertained. In addition, the current theory’s outcomes are compared with those of previous higher-order theories. The effects of the porosity distribution type, porosity factor, GPLs distribution pattern, GPLs weight fraction, inner-to-outer radius ratio, outer radius-to-thickness ratio, magnetic field parameters, core thickness, and elastic substrate parameters on the nondimensional vibration frequencies are discussed.
1. Introduction
Reinforcements like graphene platelets (GPLs) are extensively used to improve the material’s mechanical characteristics. Because of their excellent toughness-to-weight ratio, reinforced composite structures have found extensive use in a variety of engineering fields, including aerospace, automotive, and marine engineering. Graphene represents the best reinforcing nanofillers due to its remarkable physical and mechanical characteristics, such as the highest strength and rigidity, the best thermal and electrical conductivity, and so on [1,2,3,4]. Polymers, metals, and ceramics can be enhanced with GPLs, which gives them high resistance, improved mechanical strength, and excellent thermal properties [1]. In this context, FG graphene-enhanced nanocomposite plates are considered to be one of the most important recent innovations in this field. These plates are characterized by their graded composition, which gives them unique mechanical and thermal properties. Song et al. [5] implemented the buckling and bending of graphene/polymer composite plates via the first-order theory (FPT). On the other hand, Abazid [6] explored the thermal buckling of GPLs metal foam nanoplates under the impact of 2D magnetic fields and humid conditions. Zargaripoora et al. [7] investigated the free vibration behavior of nanoplates strengthened by GPLs by employing the finite element method. On the basis of quasi-three-dimensional theory, wave propagation in porous nanocomposite plates immersed in an elastic media and subjected to mechanical and Lorentz forces was studied by Abazid et al. [8]. Zhang et al. [9] investigated the nonlinear analysis of rotating GPLs-reinforced metal foams annular plates resting on a viscoelastic foundation under pulse loads utilizing the FPT and von-Karman’s nonlinearity. The nonlinear vibration and bending responses of GPLs-reinforced piezoelectric porous curved beams were illustrated by Yang et al. [10], who employed Hamilton’s principle to deduce the nonlinear equations and used the DQP to solve them. The literature contains a large amount of other research on graphene-reinforced composites, such as that of Li et al. [11], Zhang et al. [12], Ding and She [13], Zhang et al. [9], Yee et al. [14], Sobhy [15], and Garg et al. [16].
Functionally graded materials (FGMs) exhibit progressive changes in their material structure and mechanical characteristics in a variety of directions [17]. This is a great choice for composite constructions that experience severe inconsistencies in structural and thermal properties along the boundaries of multiple materials [18]. Furthermore, the gradual alterations in composition may be customized to adapt for diverse operating situations while also meeting varying objectives. FGMs are often composed of several kinds of ceramics and metals or a variety of other materials. The ceramic material used in an FGM provides heat insulation benefits while also protecting the metal from damage caused by oxidation and corrosion. The metallic substance toughens and strengthens the FGM. FGMs are presently being developed for broad usage as construction components in severe high-temperature settings and other fields. In this particular circumstance, FGM structures have garnered substantial research efforts in recognition of their distinctive benefits and extensive prospective practical usage in the aviation industry, engineering, etc. Furthermore, recent studies that have examined the characteristics and behaviors of FG-GPLs-reinforced structures include [19,20,21,22,23].
A porous material is a type of material that contains small internal holes or pores [24,25]. These pores allow materials to absorb and pass fluids or gases through them. Porous materials such as metal foams in a graphene-FG microstructure are utilized as lightweight structures to ensure adequate rigidity stiffness relative to their weight. Correspondingly, numerous technical sectors, including civil construction, the automobile industry, and aerospace, frequently use porous structures [26]. Such materials’ internal porosities may be evenly distributed, unevenly distributed, or FG across the thickness of the structure. The strength of such materials is decreased because of the interior pores. Porous materials may be strengthened with harder elements, such as graphene nanoplates or carbon nanotubes [8,27], or they may be sandwiched between two strong sheets to minimize this disadvantage [28]. Chen et al. [29] explored the effect of porosity of sandwich beams with FG porous cores. In order to maximize critical force while minimizing beam mass, Magnucka-Blandzi and Magnucki [30] developed a sandwich beam with a porous core. In a different work, Chen et al. [29] examined the vibration response of porous beams using various porosity patterns. They found that a decrease in stiffness caused by different porosity distributions had a considerable impact on frequencies of the plate. Wattanasakulpong and Eiadtrong [31] investigated the vibration behavior of sandwich panels with an FG metal foam core exposed to a dynamic load utilizing the FPT. Pham et al. [32] illustrated the effects of a blast load on the vibration of sandwich panels with an FG porous core using the mixed interpolation of tensorial components triangular element and the Newmark-beta approach. Sobhy [33] studied the impacts of moisture and external voltage on the thermal buckling of sandwich panels composed of FG piezoelectric faces and a porous core. Meanwhile, Sobhy [34] used a nonlocal strain gradient model and a refined four-variable theory to elucidate the static bending behavior of annular and circular sandwich nanoplates with a metal foam core and piezoelectric faces resting on elastic foundations and exposed to an electric voltage and mechanical load. Based on various shear deformation theories, different behaviors of sandwich beams [35,36,37] and sandwich shells [38,39] with porous cores have been studied.
Since the differential quadrature method (DQM) is a useful numerical technique for solving ordinary and partial differential equations with initial or boundary conditions, it is used to solve the governing equations. Furthermore, in comparison to previous numerical approaches, the DQM predicts fairly accurate numerical outcomes with substantially fewer mech points [40]. A weighted linear sum of the function’s values throughout the whole domain is used to estimate the partial derivatives of a function at a specific discrete point in accordance with the DQM. Employing the DQ approach, linear free vibration and nonlinear vibration responses of FG-GPLs-reinforced annular and circular plates and cylindrical shells were studied by Nie and Zhong [41], Mercan et al. [42], Liu et al. [43], Liang et al. [44], Alsebai et al. [45] and Alali et al. [46].
As discussed in the above literature review, an axisymmetric vibrational analysis of FG sandwich annular plates strengthened with GPLs having an FG porous core and subjected to a radial magnetic field has not been considered in the available literature. Furthermore, a new improved four-unknown shear deformation plate theory that takes transverse shear strain into account to get the displacement field is used in this research. To discretize the equations of motion and convert them into an algebraic system of equations, the DQM is utilized. This system represents an eigenvalue problem that can be solved to obtain the eigenfrequencies of the sandwich annular plates. Next, the validity of the current theory is confirmed by comparing its results with the results of some other higher-order theories. In addition, the impacts of the graphene distribution type, GPLs volume fraction, magnetic field, and electric voltage on the eigenfrequencies of the FG porous sandwich annular plates are illustrated.
2. Mathematical Formulation
Figure 1 depicts a three-layered annular plate, two FG metal/GPLs face sheets, and a metal foam core placed on an elastic foundation. The face sheets are assumed to be perfectly bonded to the core. This annular plate has an inner radius of and an outer radius of . Each of the top and bottom layers has a thickness , while the middle layer has a thickness ; therefore, the total plate thickness is . In this investigation, the cylindrical coordinate system is used. The current approach takes into account both axial symmetry and geometry.
Figure 1.
A schematic representation of FG-GPLs-reinforced annular sandwich plates with a porous core and lying on an elastic substrate.
2.1. Refined Four-Variable Shear and Normal Deformations Theory
Shimpi’s theory [47] is utilized to model the present theory and includes the following assumptions:
- Since the displacements are tiny, the strains involved are also very tiny.
- The transverse normal stress is negligible in comparison to the in-plane stresses and .
- The transverse displacement contains two components: the bending component and the shear component . Both components are functions of R and t only.
- The mid-plane radial displacement u is added to Shimpi’s two-variable plate theory [47].
Therefore, the displacement field can be written as:
where , for which
The shape function takes many forms such as the third-order plate theory (TPT) [48], the sinusoidal plate theory (SPT) [49], the hyperbolic plate theory (HPT) [50], and the exponential plate theory (EPT) [51] that can be respectively given as:
2.2. The Magnetic Field
The relationships between the current density and the distribution vector of the magnetic field are given by Maxwell’s equations as [53,54]:
where represents the in-plane magnetic field vector, and represents the displacement vector. The vector of the distributed magnetic field can be expanded as:
By substituting Equation (9) into Equation (8), the current density can be expressed as:
The Lorentz magnetic force vector per unit volume is given by [53]:
where is the permeability of the magnetic field. By substituting Equation (10) into Equation (11), we get:
2.3. Plate Properties
2.3.1. Nanocomposite Face Layers
The face layers are made of metal reinforced with GPLs that can be equally dispersed or smoothly modulated across the thickness of the layer. The Young’s modulus and Poisson’s ratio of the top and bottom layers have the following form in accordance with the modified Halpin–Tsai model and mixture law [55]:
where and are graphene’s Young’s modulus and Poisson’s ratio, respectively; and are metal’s Young’s modulus and Poisson’s ratio, respectively; , , and are the length, width, and thickness of the GPLs; is the mass density of the layers; and are graphene’s density and metal’s density, respectively. There are three types of GPLs distributions, as shown in Figure 2:
Figure 2.
Types of GPLs distributions.
Type A:
In this type, the GPLs are evenly dispersed throughout the sandwich faces’ thickness; one may write [5,56]:
where and ; and are the layer interface coordinates (see Figure 1). Meanwhile, is provided as [5]:
where represents the weight fraction of the GPLs.
Type B:
In this state, the interfaces ( and ) are graphene-free, while the upper and lower surfaces of the plate are graphene-rich ; thus, we can type [57]:
Type C:
In the final situation, the graphene distribution is the inverse of the preceding type: ; thus, is given as [57]:
It is worth noting that the distribution types of GPLs play a crucial role in determining the response of the plates. In particular, Type A might improve the mechanical properties of the plates more than the other types. On the other hand, Type B is characterized by a strong bond between the two face layers and the core layer, where the interfaces between the layers are only metal. Therefore, it is expected that the third type will be less efficient than the other two types.
2.3.2. Porous Core Layer
The metal foam core is considered to be constructed of aluminum with evenly dispersed or FG porosities throughout the core thickness (see Figure 3). The current study takes into account three alternative porosity distributions:
Figure 3.
Types of porosity distributions.
Porous-I:
In this case, the pores are dispersed equally across the thickness of the core (UD) as follows [58]:
where P denotes the mechanical properties, like Young’s modulus E and shear modulus G, and denotes the porosity coefficient, where , and the parameter is defined as [58]:
Porous-II:
From the interfaces to the core’s mid-plane, the volume fraction of the porosities increases (O-FG). As a result, the mid-plane has the lowest mechanical property values. As a result, the properties are as follows [57]:
Porous-III:
The mid-plane of the core is pore-free in this instance, but the interfaces are pore-rich (X-FG). As a result, we can write [57]:
The Poisson’s ratios of the cores in the preceding three categories are computed as follows [59]:
Once again, the porosity distribution types significantly influence the reaction characteristics of the plates. Since the upper and lower surfaces of Type II are pore-free, the bond between the core and the face layers is enhanced. On the other hand, for porosity Type III, the thermal conductivity of the core at the interfaces might be substantially lower than that of the other types, reducing heat transfer to the core layer. Therefore, in high thermal environments, this type will be the best to use. The impact of distinct distribution types of GPLs and porosity on the vibrational response of FG sandwich annular plates will be discussed in more detail in Section 5.
2.4. Elastic Foundation
The flexible foundation is a layer beneath the plate that helps to distribute the weight and stress. Polymers, rubber, and flexible metals can be used to create the flexible foundation. In this context, the flexible foundation has a significant impact on the plate’s ability to absorb vibrations and shocks. Further, the flexible foundation better distributes stresses along the plate and absorbs vibration energy. The load is distributed across a broader area on the ground when employing a flexible foundation, which can minimize the pressure on the plate. This broader distribution can improve the overall performance of the plate by decreasing undesirable deformations or bending. For adding foundation stiffness, the Pasternak model has been defined as [8,60,61]:
where S, , , and represent the density reaction of the foundations, the Winkler stiffness, the transverse displacement, and the shear (Pasternak) foundation stiffness, respectively.
3. Governing Equations
To find the equations of motion, Hamilton’s principle is used and is stated as:
where is the variation of the strain energy, is the variation of the work done by an external force, and is the variation of the kinetic energy; these are given as:
By inserting Equations (26)–(28) into Equation (25) and integrating by parts, we obtain
where
and
By substituting Equations (5) and (6) into Equation (30) and then into Equation (29), the equations of motion are rewritten as:
where
By separating the variables, the displacement components can be expressed as:
where , in which , and is the eigenfrequency. By substituting Equation (36) into Equations (32)–(34), we get the following ordinary differential equations:
In the current analysis, the following simply supported conditions are used at and :
4. Solution Procedure
In this part, the equilibrium Equations (37)–(39) are solved using the DQM in the radial direction. The current annular plate is discretized by n grid points in the domain . According to the DQM, the displacement component differentiations are approximated as a weighted linear sum of function values at all discrete sites as follows [40]:
where denotes the weighting coefficients for the pth-order derivative. They are provided as [40]:
Furthermore, the weighting coefficients for higher-order derivatives are defined as [40]:
However, the Gauss–Chebyshev–Lobatto approach is applied to estimate the mesh points as [40]:
The motion Equations (37)–(39) can be discretized using Equation (41), resulting in linear algebraic equations as follows:
Furthermore, the boundary conditions can be represented in a discretized form as follows:
5. Numerical Results
In the current section, various numerical examples are presented to demonstrate the effects of various parameters on the frequency of a GPLs-reinforced annular plate with an FG porous core, including the porosity factor , the porosity distribution types, the GPLs weight fraction , the GPLs distribution type, the outer radius-to-thickness ratio , the magnetic field parameter , the core thickness , and the elastic substrate parameters and . The dimensionless formulations are defined by:
The material properties of the constituent materials are taken as: GPa, , Kg/m3, TPa, , and Kg/m3.
The numerical examples use the following fixed data (unless otherwise declared): , , , , , , , , m, nm, nm, and nm.
Firstly, Table 1 shows a convergence analysis for the current outcomes of the FG porous annular plate enhanced by GPLs for various values of core thickness . The minimal number of grid points needed for a converged solution in the DQM is calculated in this table. It is worth noting that 17 grid points are adequate to produce a converged solution.
Table 1.
Convergence of the results of FG porous nanocomposite annular plates ().
Secondly, to ensure the accuracy of the current theory, the frequency obtained via the present theory is compared with that estimated using the third-order plate theory (TPT) [48], the sinusoidal plate theory (SPT) [49], the hyperbolic plate theory (HPT) [50], and the exponential plate theory (EPT) [51] for various plate geometry parameter values as shown in Table 2. It should be observed that the frequencies offered by our theory are extremely consistent with those obtained by the other, higher-order theories. Furthermore, this table shows the results for various values of the outer radius-to-thickness ratio and the inner-to-outer radius ratio . As shown in this table, the eigenfrequency increases as the ratio increases and the ratio decreases because the increase in the inner-to-outer radius ratio leads to a decrease in the plate width; hence, the annular plate becomes weaker.
Table 2.
Comparison of the results of the present theory for the frequency of a GPLs-reinforced annular plate with an FG porous core with the results of other theories.
Table 3, Table 4 and Table 5 depict the effects of the outer radius-to-thickness ratio , the inner-to-outer radius ratio , and the GPLs weight fraction on the frequency of a GPLs-reinforced annular plate with an FG porous core. It can be noted that, irrespective of the graphene distribution type, the frequency gradually increases with an increasing outer radius-to-thickness ratio and a decreasing inner-to-outer radius ratio . On the other hand, the frequency increases as the graphene weight fraction increases because the plate becomes stiffer by increasing the graphene component.
Table 3.
The frequency of a GPLs-reinforced annular plate with an FG porous core for different values of inner-to-outer radius ratio , outer radius-to-thickness ratio , and weight fraction of GPLs (type A) ().
Table 4.
The frequency of a GPLs-reinforced annular plate with an FG porous core for different values of inner-to-outer radius ratio , outer radius-to-thickness ratio , and weight fraction of GPLs (type B) ().
Table 5.
The frequency of a GPLs-reinforced annular plate with an FG porous core for different values of inner-to-outer radius ratio , outer radius-to-thickness ratio , and weight fraction of GPLs (type C) ().
Table 6, Table 7 and Table 8 depict the effects of the porosity factor on the frequency of a GPLs-reinforced circular/annular plate with an FG porous core for various values of the outer radius-to-thickness ratio and the inner-to-outer radius ratio . It is found that, regardless of the variations of the ratios and , the frequency gradually increases with an increasing porosity factor since the plate becomes lighter. It is also noted that the difference between the results of the three porosity types is slight.
Table 6.
The frequency of a GPLs-reinforced annular plate with an FG porous core for different values of the inner-to-outer radius ratio and the outer radius-to-thickness ratio (Porous-I) ().
Table 7.
The frequency of a GPLs-reinforced annular plate with an FG porous core for different values of the inner-to-outer radius ratio and the outer radius-to-thickness ratio (porous-II) ().
Table 8.
The frequency of a GPLs-reinforced annular plate with an FG porous core for different values of the inner-to-outer radius ratio and the outer radius-to-thickness ratio (porous-III) ().
The influence of the magnetic field parameter on the frequency of a GPLs-reinforced annular plate with or without an FG porous core is depicted in Table 9, Table 10 and Table 11 for different values of the outer radius-to-thickness ratio and the inner-to-outer radius ratio . It can be seen that the frequency monotonically increases with an increase in the magnetic field parameter . One can conduct that the presence of the magnetic field enhances the plate strength.
Table 9.
The frequency of a GPLs-reinforced annular plate with an FG porous core for different values of the magnetic field parameter , the inner-to-outer radius ratio , and the outer radius-to-thickness ratio ().
Table 10.
The frequency of a GPLs-reinforced annular plate with an FG porous core for different values of the magnetic field parameter , the inner-to-outer radius ratio , and the outer radius-to-thickness ratio ().
Table 11.
The frequency of a GPLs-reinforced annular plate with an FG porous core for different values of the magnetic field parameter , the inner-to-outer radius ratio , and the outer radius-to-thickness ratio ().
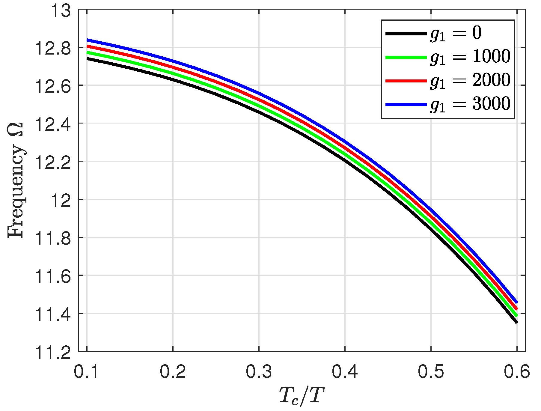
Table 12, Table 13 and Table 14 display the effects of the Winkler and shear elastic substrate stiffnesses on the frequency of a GPLs-reinforced annular plate with an FG porous core for various values of the outer radius-to-thickness ratio and the inner-to-outer radius ratio . As expected, the presence of the elastic foundation enhances the plate stiffness, so the frequency gradually increases with an increase in the elastic substrate parameters and .
Table 12.
The frequency of a GPLs-reinforced annular plate with an FG porous core for different values of the shear elastic substrate stiffness , the inner-to-outer radius ratio , and the outer radius-to-thickness ratio ().
Table 13.
The frequency of a GPLs-reinforced annular plate with an FG porous core for different values of the shear elastic substrate stiffness , the inner-to-outer radius ratio , and the outer radius-to-thickness ratio ().
Table 14.
The frequency of a GPLs-reinforced annular plate with an FG porous core for different values of the shear elastic substrate stiffness , the inner-to-outer radius ratio , and the outer radius-to-thickness ratio ().
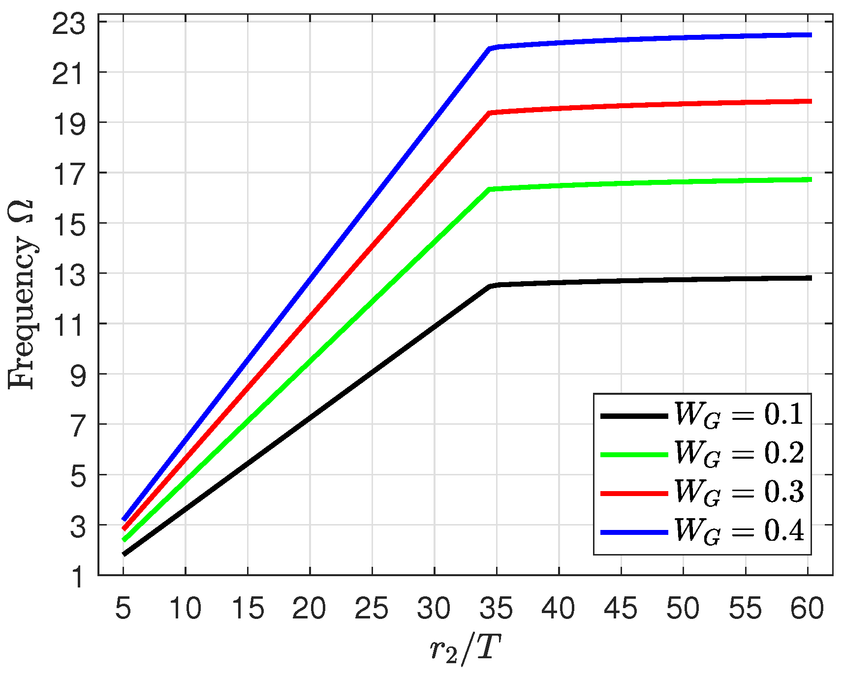
To explain the effects of various parameters on the frequency of a GPLs-reinforced (type A) annular plate with a porous core (porous-I) in graphical form, Figure 4, Figure 5, Figure 6, Figure 7 and Figure 8 are presented. As shown in Figure 4, the eigenfrequency of the GPLs-reinforced annular plate with a porous core increases linearly when . After that, it increases slowly as the outer radius-to-thickness ratio increases. As expected and as mentioned above in Table 3, Table 4 and Table 5, a noticeable increment in the frequency occurs with an increasing in the GPLs weight fraction .
Figure 4.
The frequency of a GPLs-reinforced annular plate with a porous core vs. the outer radius-to-thickness ratio for different values of the graphene weight fraction .
Figure 5.
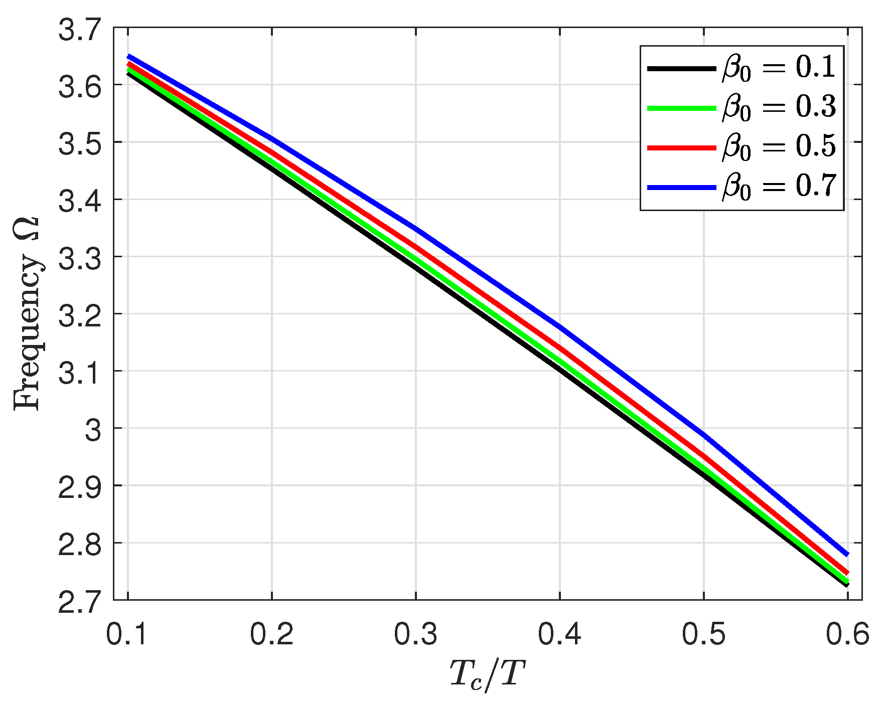
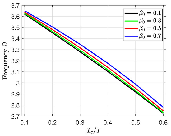
The frequency of a GPLs-reinforced annular plate with a porous core vs. the core thickness ratio for various values of the porosity factor .
Figure 6.
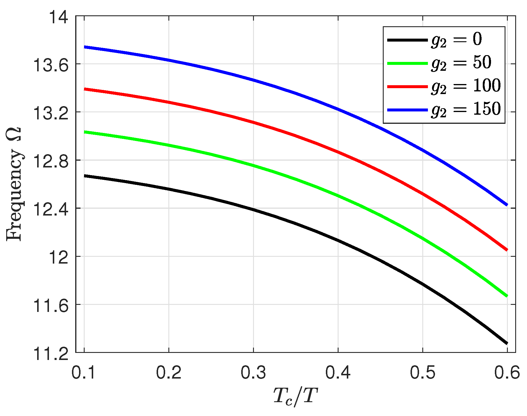
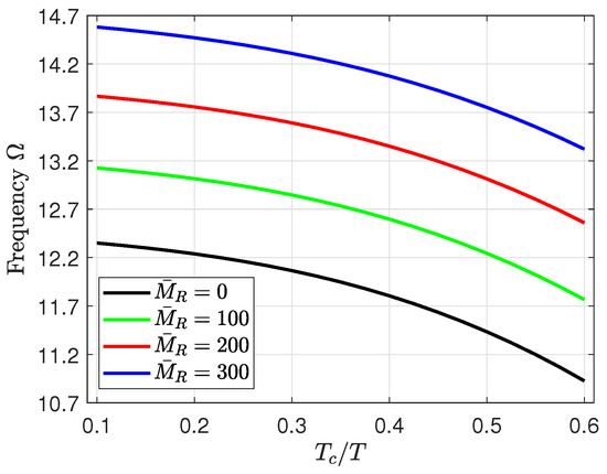
Effect of Winkler elastic substrate stiffness on the frequency of a GPLs-reinforced annular plate with a porous core ().
Figure 7.
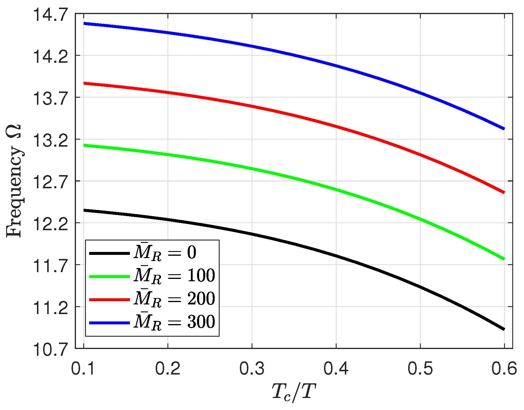
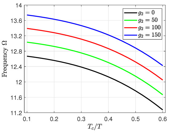
Effect of the shear elastic substrate stiffness on the frequency of a GPLs-reinforced annular plate with a porous core ().
Figure 8.
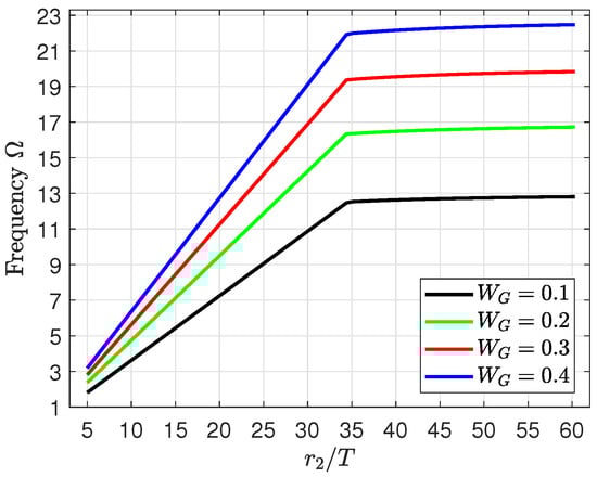
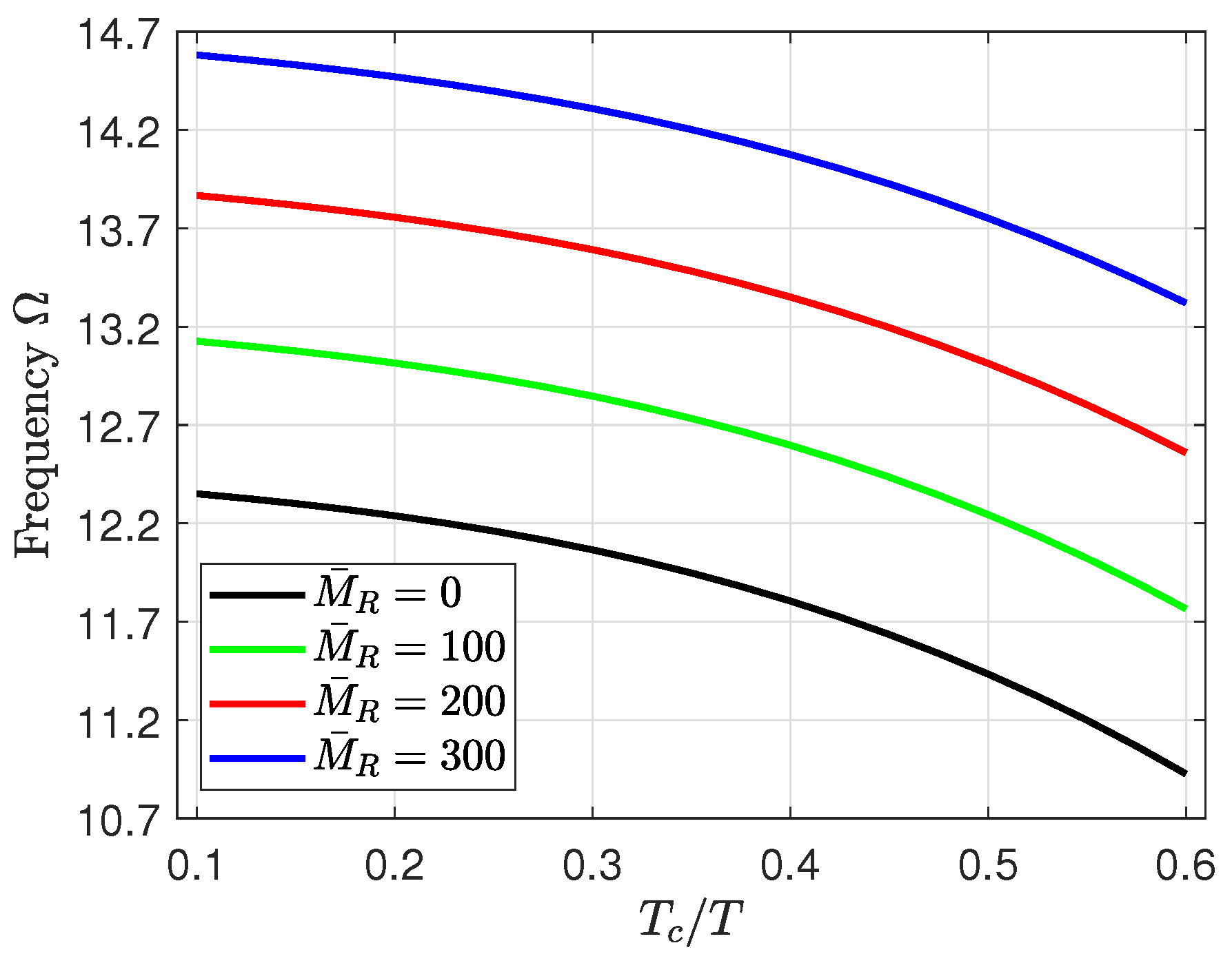
Effect of the magnetic field parameter on the frequency of a GPLs-reinforced annular plate with a porous core ().
The influences of the porosity factor , Winkler and shear elastic substrate stiffnesses, magnetic field parameter , and core thickness ratio on the eigenfrequency of a GPLs-reinforced annular plate with a porous core are illustrated in Figure 5, Figure 6, Figure 7 and Figure 8, respectively. It can be noted that the eigenfrequency increases with increasing , , , and . However, it decreases as the ratio increases.
6. Conclusions
The current article discusses the vibrational behavior of FG-GPLs-strengthened sandwich annular plates with an FG porous core lying on an elastic medium and exposed to a radial magnetic field. Based on three graphene distribution types, the volume fraction of the GPLs is varied through the thickness. Further, the porosities are graded across the core thickness according to three patterns of distribution. The Lorentz magnetic body force is deduced via Maxwell’s relations. The displacements are modeled based on a novel shear deformation theory, while the motion equations are depicted from Hamilton’s principle. The DQM is employed to convert the motion equations into a linear algebraic system that can be solved to obtain the minimum eigenfrequency. Convergence analysis is done to find the minimum mesh points that are needed to obtain reliable findings. The results of the current theory are in a good agreement with those obtained by other theories. Moreover, numerous parametric examples have been carried out to show the impacts of different parameters on the eigenfrequency of the composite annular plate. Accordingly, the ensuing items can be concluded:
- The presence of the elastic foundation and the magnetic field boosts the strength of the plate, so the eigenfrequency increases by increasing the elastic foundation parameters and the magnetic field parameter.
- A noticeable decrement in the eigenfrequency occurs as the inner-to-outer radius ratio increases and the outer radius-to-thickness ratio decreases.
- It is known that the addition of graphene components raises the plate stiffness, so the eigenfrequency grows as the GPLs weight fraction increases.
- Since increasing the porosities in the core layer makes the plate lighter, increasing the porosity factor leads to an increase in frequency.
Author Contributions
Conceptualization, F.H.H.A.M., A.H.K.A.-A., and M.S.; methodology, F.H.H.A.M., A.H.K.A.-A., and M.S.; software, M.S.; validation, F.H.H.A.M. and M.S.; formal analysis, F.H.H.A.M., A.H.K.A.-A., and M.S.; investigation, F.H.H.A.M., A.H.K.A.-A., and M.S.; resources, F.H.H.A.M., A.H.K.A.-A., and M.S.; data curation, F.H.H.A.M., A.H.K.A.-A., and M.S.; writing—original draft preparation, F.H.H.A.M., A.H.K.A.-A., and M.S.; writing—review and editing, F.H.H.A.M., A.H.K.A.-A., and M.S.; visualization, F.H.H.A.M., A.H.K.A.-A., and M.S.; supervision, M.S.; project administration, F.H.H.A.M., A.H.K.A.-A., and M.S.; funding acquisition, F.H.H.A.M., A.H.K.A.-A., and M.S. All authors have read and agreed to the published version of the manuscript.
Funding
This work was supported by the Deanship of Scientific Research, Vice Presidency for Graduate Studies and Scientific Research, King Faisal University, Saudi Arabia (grant No. KFU241076).
Data Availability Statement
Data are contained within the article.
Conflicts of Interest
The authors declare no conflicts of interest.
References
- Cadelano, E.; Palla, P.L.; Giordano, S.; Colombo, L. Nonlinear elasticity of monolayer graphene. Phys. Rev. Lett. 2009, 102, 235502. [Google Scholar] [CrossRef] [PubMed]
- Zhang, Y.; Wang, C.; Cheng, Y.; Xiang, Y. Mechanical properties of bilayer graphene sheets coupled by sp3 bonding. Carbon 2011, 49, 4511–4517. [Google Scholar] [CrossRef]
- Zhang, L.; Zhang, Y.; Liew, K. Vibration analysis of quadrilateral graphene sheets subjected to an in-plane magnetic field based on nonlocal elasticity theory. Compos. Part B Eng. 2017, 118, 96–103. [Google Scholar] [CrossRef]
- Siyar, M.; Maqsood, A.; Khan, S.B. Synthesis of mono layer graphene oxide from sonicated graphite flakes and their Hall effect measurements. Mater. Sci.-Pol. 2014, 32, 292–296. [Google Scholar] [CrossRef]
- Song, M.; Yang, J.; Kitipornchai, S. Bending and buckling analyses of functionally graded polymer composite plates reinforced with graphene nanoplatelets. Compos. Part B Eng. 2018, 134, 106–113. [Google Scholar] [CrossRef]
- Alakel Abazid, M. 2D magnetic field effect on the thermal buckling of metal foam nanoplates reinforced with FG-GPLs lying on Pasternak foundation in humid environment. Eur. Phys. J. Plus 2020, 135, 1–27. [Google Scholar] [CrossRef]
- Zargaripoor, A.; Daneshmehr, A.; Isaac Hosseini, I.; Rajabpoor, A. Free vibration analysis of nanoplates made of functionally graded materials based on nonlocal elasticity theory using finite element method. J. Comput. Appl. Mech. 2018, 49, 86–101. [Google Scholar]
- Abazid, M.A.; Zenkour, A.M.; Sobhy, M. Wave propagation in FG porous GPLs-reinforced nanoplates under in-plane mechanical load and Lorentz magnetic force via a new quasi 3D plate theory. Mech. Based Des. Struct. Mach. 2022, 50, 1831–1850. [Google Scholar] [CrossRef]
- Zhang, Y.W.; She, G.L.; Eltaher, M. Nonlinear transient response of graphene platelets reinforced metal foams annular plate considering rotating motion and initial geometric imperfection. Aerosp. Sci. Technol. 2023, 142, 108693. [Google Scholar] [CrossRef]
- Yang, Z.; Wu, H.; Zhao, S.; Yang, J.; Liu, A.; Lv, J.; Fu, J. Nonlinear static bending and dynamic behaviors of graphene platelets reinforced dielectric porous arches. Aerosp. Sci. Technol. 2023, 143, 108729. [Google Scholar] [CrossRef]
- Li, Z.; Zhang, Q.; Shen, H.; Xiao, X.; Kuai, H.; Zheng, J. Buckling performance of the encased functionally graded porous composite liner with polyhedral shapes reinforced by graphene platelets under external pressure. Thin-Walled Struct. 2023, 183, 110370. [Google Scholar] [CrossRef]
- Zhang, Y.W.; She, G.L. Combined resonance of graphene platelets reinforced metal foams cylindrical shells with spinning motion under nonlinear forced vibration. Eng. Struct. 2024, 300, 117177. [Google Scholar] [CrossRef]
- Ding, H.X.; She, G.L. Nonlinear combined resonances of axially moving graphene platelets reinforced metal foams cylindrical shells under forced vibrations. Nonlinear Dyn. 2024, 112, 419–441. [Google Scholar] [CrossRef]
- Yee, K.; Khaniki, H.B.; Ghayesh, M.H.; Ng, C.T. Free vibrations of cracked functionally graded graphene platelets reinforced Timoshenko beams based on Hu-Washizu-Barr variational method. Eng. Struct. 2023, 293, 116587. [Google Scholar] [CrossRef]
- Sobhy, M. Nonlinear deflection and traveling wave solution for FG-GPLs reinforced microtubes embedded in Kerr foundation and conveying magnetic fluid. Ocean. Eng. 2024, 296, 117026. [Google Scholar] [CrossRef]
- Garg, A.; Chalak, H.; Belarbi, M.; Zenkour, A.; Sahoo, R. Estimation of carbon nanotubes and their applications as reinforcing composite materials–an engineering review. Compos. Struct. 2021, 272, 114234. [Google Scholar] [CrossRef]
- Avcar, M.; Hadji, L.; Civalek, Ö. Natural frequency analysis of sigmoid functionally graded sandwich beams in the framework of high order shear deformation theory. Compos. Struct. 2021, 276, 114564. [Google Scholar] [CrossRef]
- Liang, Y.; Zheng, S.; Wang, H.; Chen, D. Nonlinear isogeometric analysis of axially functionally graded graphene platelet-reinforced composite curved beams. Compos. Struct. 2024, 330, 117871. [Google Scholar] [CrossRef]
- Ying, Y.F.; Zhao, L.C.; Kumar, A. Higher-order buckling analysis of FG porous cylindrical micro-shells integrated with GPLs-RC patches in hygrothermal environment immersed on Kerr foundation. Acta Mech. 2024, 235, 1785–1802. [Google Scholar] [CrossRef]
- Cuong, B.M.; Tounsi, A.; Van Thom, D.; Van, N.; Van Minh, P. Finite element modelling for the static bending response of rotating FG-GPLRC beams with geometrical imperfections in thermal mediums. Comput. Concr. 2024, 33, 91–102. [Google Scholar]
- Zhou, Z.; Wang, Y.; Zhang, S.; Dimitri, R.; Tornabene, F.; Asemi, K. Numerical study on the buckling behavior of FG porous spherical caps reinforced by graphene platelets. Nanomaterials 2023, 13, 1205. [Google Scholar] [CrossRef] [PubMed]
- Peng, W.; Zenkour, A.M.; Pan, B. Surface and double nonlocal effects on thermoelastic damping analysis of functionally graded sandwich microbeam resonators reinforced with graphene nanoplatelets. Int. J. Heat Mass Transf. 2024, 221, 125031. [Google Scholar] [CrossRef]
- Mouaici, F.; Bouadi, A.; Bendaida, M.; Draiche, K.; Bousahla, A.A.; Bourada, F.; Tounsi, A.; Ghazwani, M.H.; Alnujaie, A. Investigation of the mechanical behavior of functionally graded sandwich thick beams. Steel Compos. Struct. 2022, 44, 707–726. [Google Scholar]
- Ijaz, U.; Siyar, M.; Park, C.; Umer, M.A.; Ishaq, M.; Chen, Y.X.; Zheng, Z.H. Incorporating Controlled Porosity in a Cu2SnSe3 Material To Enhance Its Thermoelectric Properties. ACS Appl. Energy Mater. 2023, 6, 12353–12363. [Google Scholar] [CrossRef]
- Ijaz, U.; Siyar, M. The power of pores: Review on porous thermoelectric materials. RSC Sustain. 2024, 2, 852–870. [Google Scholar] [CrossRef]
- Betts, C. Benefits of metal foams and developments in modelling techniques to assess their materials behaviour: A review. Mater. Sci. Technol. 2012, 28, 129–143. [Google Scholar] [CrossRef]
- Dong, Y.; Li, Y.; Chen, D.; Yang, J. Vibration characteristics of functionally graded graphene reinforced porous nanocomposite cylindrical shells with spinning motion. Compos. Part B Eng. 2018, 145, 1–13. [Google Scholar] [CrossRef]
- Qin, Q.; Zheng, X.; Zhang, J.; Yuan, C.; Wang, T. Dynamic response of square sandwich plates with a metal foam core subjected to low-velocity impact. Int. J. Impact Eng. 2018, 111, 222–235. [Google Scholar] [CrossRef]
- Chen, D.; Kitipornchai, S.; Yang, J. Nonlinear free vibration of shear deformable sandwich beam with a functionally graded porous core. Thin-Walled Struct. 2016, 107, 39–48. [Google Scholar] [CrossRef]
- Magnucka-Blandzi, E.; Magnucki, K. Effective design of a sandwich beam with a metal foam core. Thin-Walled Struct. 2007, 45, 432–438. [Google Scholar] [CrossRef]
- Wattanasakulpong, N.; Eiadtrong, S. Transient Responses of Sandwich Plates with a Functionally Graded Porous Core: Jacobi–Ritz Method. Int. J. Struct. Stab. Dyn. 2023, 23, 2350039. [Google Scholar] [CrossRef]
- Pham, Q.H.; Tran, T.T.; Nguyen, P.C. Dynamic response of functionally graded porous-core sandwich plates subjected to blast load using ES-MITC3 element. Compos. Struct. 2023, 309, 116722. [Google Scholar] [CrossRef]
- Sobhy, M. Analytical buckling temperature prediction of FG piezoelectric sandwich plates with lightweight core. Mater. Res. Express 2021, 8, 095704. [Google Scholar] [CrossRef]
- Sobhy, M. Piezoelectric bending of GPL-reinforced annular and circular sandwich nanoplates with FG porous core integrated with sensor and actuator using DQM. Arch. Civ. Mech. Eng. 2021, 21, 78. [Google Scholar] [CrossRef]
- Magnucki, K.; Magnucka-Blandzi, E. A refined shear deformation theory of an asymmetric sandwich beam with porous core: Linear bending problem. Appl. Math. Model. 2023, 124, 624–638. [Google Scholar] [CrossRef]
- Xin, L.; Kiani, Y. Vibration characteristics of arbitrary thick sandwich beam with metal foam core resting on elastic medium. In Proceedings of the Structures; Elsevier: Amsterdam, The Netherlands, 2023; Volume 49, pp. 1–11. [Google Scholar]
- Safaei, M.; Malekzadeh, P.; Haghighi, M.G. Out-of-plane moving load response and vibrational behavior of sandwich curved beams with GPLRC face sheets and porous core. Compos. Struct. 2024, 327, 117658. [Google Scholar] [CrossRef]
- Ansari, M.I.; Chaubey, A.K.; Kumar, A. Deflection of FGM sandwich conoidal shell with porous core. Mater. Today Proc. 2023, in press. [Google Scholar]
- Adab, N.; Arefi, M. Vibrational behavior of truncated conical porous GPL-reinforced sandwich micro/nano-shells. Eng. Comput. 2023, 39, 419–443. [Google Scholar] [CrossRef]
- Shu, C. Differential Quadrature and Its Application in Engineering; Springer Science & Business Media: Berlin/Heidelberg, Germany, 2012. [Google Scholar]
- Nie, G.; Zhong, Z. Semi-analytical solution for three-dimensional vibration of functionally graded circular plates. Comput. Methods Appl. Mech. Eng. 2007, 196, 4901–4910. [Google Scholar] [CrossRef]
- Mercan, K.; Demir, Ç.; Civalek, Ö. Vibration analysis of FG cylindrical shells with power-law index using discrete singular convolution technique. Curved Layer. Struct. 2016, 3, 82–90. [Google Scholar] [CrossRef]
- Liu, T.; Zhang, W.; Mao, J.; Zheng, Y. Nonlinear breathing vibrations of eccentric rotating composite laminated circular cylindrical shell subjected to temperature, rotating speed and external excitations. Mech. Syst. Signal Process. 2019, 127, 463–498. [Google Scholar] [CrossRef]
- Liang, X.; Zha, X.; Yu, Y.; Cao, Z.; Jiang, X.; Leng, J. Semi-analytical vibration analysis of FGM cylindrical shells surrounded by elastic foundations in a thermal environment. Compos. Struct. 2019, 223, 110997. [Google Scholar] [CrossRef]
- Alsebai, F.; Al Mukahal, F.H.; Sobhy, M. Semi-analytical solution for thermo-piezoelectric bending of FG porous plates reinforced with graphene platelets. Mathematics 2022, 10, 4104. [Google Scholar] [CrossRef]
- Alali, M.; Abazid, M.; Sobhy, M. Frequency analysis of asymmetric circular organic solar cells embedded in an elastic medium under hygrothermal conditions. Symmetry 2024, 16, 577. [Google Scholar] [CrossRef]
- Shimpi, R.P. Refined plate theory and its variants. AIAA J. 2002, 40, 137–146. [Google Scholar] [CrossRef]
- Reddy, J.N. A simple higher-order theory for laminated composite plates. J. Appl. Mech. 1984, 51, 745–752. [Google Scholar] [CrossRef]
- Touratier, M. An efficient standard plate theory. Int. J. Eng. Sci. 1991, 29, 901–916. [Google Scholar] [CrossRef]
- Soldatos, K. A transverse shear deformation theory for homogeneous monoclinic plates. Acta Mech. 1992, 94, 195–220. [Google Scholar] [CrossRef]
- Karama, M.; Afaq, K.; Mistou, S. Mechanical behaviour of laminated composite beam by the new multi-layered laminated composite structures model with transverse shear stress continuity. Int. J. Solids Struct. 2003, 40, 1525–1546. [Google Scholar] [CrossRef]
- Lim, C.; Zhang, G.; Reddy, J. A higher-order nonlocal elasticity and strain gradient theory and its applications in wave propagation. J. Mech. Phys. Solids 2015, 78, 298–313. [Google Scholar] [CrossRef]
- Wang, H.; Dong, K.; Men, F.; Yan, Y.; Wang, X. Influences of longitudinal magnetic field on wave propagation in carbon nanotubes embedded in elastic matrix. Appl. Math. Model. 2010, 34, 878–889. [Google Scholar] [CrossRef]
- Brodsky, A.; Urbakh, M. The influence of the microscopic structure of surfaces on the optical properties of metals. Prog. Surf. Sci. 1984, 15, 121–244. [Google Scholar] [CrossRef]
- Song, M.; Kitipornchai, S.; Yang, J. Free and forced vibrations of functionally graded polymer composite plates reinforced with graphene nanoplatelets. Compos. Struct. 2017, 159, 579–588. [Google Scholar] [CrossRef]
- Sobhy, M.; Abazid, M.A.; Al Mukahal, F.H. Electro-thermal buckling of FG graphene platelets-strengthened piezoelectric beams under humid conditions. Adv. Mech. Eng. 2022, 14, 16878132221091005. [Google Scholar] [CrossRef]
- Sobhy, M.; Alsaleh, F. Nonlinear bending of FG metal/graphene sandwich microplates with metal foam core resting on nonlinear elastic foundations via a new plate theory. Mech. Based Des. Struct. Mach. 2023, 1–28. [Google Scholar] [CrossRef]
- Yaghoobi, H.; Taheri, F. Analytical solution and statistical analysis of buckling capacity of sandwich plates with uniform and non-uniform porous core reinforced with graphene nanoplatelets. Compos. Struct. 2020, 252, 112700. [Google Scholar] [CrossRef]
- Bamdad, M.; Mohammadimehr, M.; Alambeigi, K. Analysis of sandwich Timoshenko porous beam with temperature-dependent material properties: Magneto-electro-elastic vibration and buckling solution. J. Vib. Control 2019, 25, 2875–2893. [Google Scholar] [CrossRef]
- Pham, Q.H.; Tran, V.K.; Tran, T.T.; Nguyen-Thoi, T.; Nguyen, P.C.; Pham, V.D. A nonlocal quasi-3D theory for thermal free vibration analysis of functionally graded material nanoplates resting on elastic foundation. Case Stud. Therm. Eng. 2021, 26, 101170. [Google Scholar] [CrossRef]
- Tran, T.T.; Nguyen, P.C.; Pham, Q.H. Vibration analysis of FGM plates in thermal environment resting on elastic foundation using ES-MITC3 element and prediction of ANN. Case Stud. Therm. Eng. 2021, 24, 100852. [Google Scholar] [CrossRef]
Disclaimer/Publisher’s Note: The statements, opinions and data contained in all publications are solely those of the individual author(s) and contributor(s) and not of MDPI and/or the editor(s). MDPI and/or the editor(s) disclaim responsibility for any injury to people or property resulting from any ideas, methods, instructions or products referred to in the content. |
© 2024 by the authors. Licensee MDPI, Basel, Switzerland. This article is an open access article distributed under the terms and conditions of the Creative Commons Attribution (CC BY) license (https://creativecommons.org/licenses/by/4.0/).







