Next Article in Journal
Control and Analysis of a Hybrid-Rotor Bearingless Switched Reluctance Motor with One-Phase Full-Period Suspension
Next Article in Special Issue
On Prešić-Type Mappings: Survey
Previous Article in Journal
An ONIOM-Based High-Level Thermochemistry Study on Hydrogen Abstraction Reactions of Large Straight-Chain Alkanes by Hydrogen, Hydroxyl, and Hydroperoxyl Radicals
Previous Article in Special Issue
Application to Activation Functions through Fixed-Circle Problems with Symmetric Contractions
error_outline You can access the new MDPI.com website here. Explore and share your feedback with us.
 
 
Font Type:
Arial Georgia Verdana
Font Size:
Aa Aa Aa
Line Spacing:
Column Width:
Background:
Article

Recent Developments in Iterative Algorithms for Digital Metrics

1
Department of Mathematics, Fatima Jinnah Women University, Islamabad 46000, Pakistan
2
Department of Mathematical and Statistical Sciences, University of Alberta, Edmonton, AB T6G 2G1, Canada
3
Department of Mathematics & Statistics, International Islamic University, Islamabad 44000, Pakistan
4
Department of Mathematics, King Abdulaziz University, P.O. Box 80203, Jeddah 21589, Saudi Arabia
*
Authors to whom correspondence should be addressed.
Symmetry 2024, 16(3), 368; https://doi.org/10.3390/sym16030368
Submission received: 29 January 2024 / Revised: 19 February 2024 / Accepted: 23 February 2024 / Published: 18 March 2024
(This article belongs to the Special Issue New Trends in Fixed Point Theory with Emphasis on Symmetry)

Abstract

This paper aims to provide a comprehensive analysis of the advancements made in understanding Iterative Fixed-Point Schemes, which builds upon the concept of digital contraction mappings. Additionally, we introduce the notion of an Iterative Fixed-Point Schemes in digital metric spaces. In this study, we extend the idea of Iteration process Mann, Ishikawa, Agarwal, and Thakur based on the ϝ-Stable Iterative Scheme in digital metric space. We also design some fractal images, which frame the compression of Fixed-Point Iterative Schemes and contractive mappings. Furthermore, we present a concrete example that exemplifies the motivation behind our investigations. Moreover, we provide an application of the proposed Fractal image and Sierpinski triangle that compress the works by storing images as a collection of digital contractions, which addresses the issue of storing images with less storage memory in this paper.

1. Introduction and Preliminaries

In recent years, Rosenfeld [1] introduced the concept of the digital image, laying the foundation for Boxer’s [2] development of the topological notion of digital representation. Subsequently, Ege and Karaca [3,4,5,6] defined a digital metric space, offering a unified approach that has shed new light on the Banach contraction principle. This framework is particularly useful for measuring distances and similarities between points or patterns within a digital image. As a result, in this research, iterative schemes are employed to reduce data size or the dimension of picture files in digital contraction mappings and its applications. These schemes efficiently compress an image by iteratively refining approximations until a close match to the original image is achieved.
Now, we review some fundamental aspects of digital images, digital metric space, and ϝ-stable iterative scheme for the main continuation of our theoretical and geometrically analysis.
Definition 1
([6]). Let r, n be positive integers with 1 r n in such a way that
ζ = ( ζ 1 , ζ 2 , , ζ n ) , κ = ( χ 1 , χ 2 , , χ n ) Z n .
where ζ and κ are ϱ r -adjacent, if there is r indices τ such that | ζ τ χ τ | = 1 and for every other indices l such that
| ζ τ χ τ | 1 , ζ l = χ l .
There are some facts can be derived from Definition 1:
  • Two points ζ and χ in Z are 2-adjacent, if | ζ χ | = 1 (see Figure 1).
  • Two points ζ and χ in Z 2 are 8-adjacent, if they are distinct and differ by at most 1 in each coordinate.
  • Two points ζ and χ in Z 2 are 4-adjacent, if they are 8-adjacent and differ in exactly one coordinate (see Figure 2).
  • Two points ζ and χ in Z 3 are 26-adjacent, if they are distinct and differ by at most 1 in each coordinate.
  • Two points ζ and χ in Z 3 are 18-adjacent, if they are 26-adjacent and differ at most two coordinates.
  • Two points ζ and χ in Z 3 are 6-adjacent, if they are 18-adjacent and differ in exactly one coordinate (see Figure 3).
Definition 2
([6]). Digital image is a graph ( D , ϱ ) , where ϱ is an adjacency relation, and D is a finite subset of Zn for some positive integer n.
Definition 3
([6]). A ϱ-neighbor of ζ Z n is a point of Z n that is ϱ-adjacent to ζ, where ϱ { 2 , 4 , 6 , 8 , 18 , 26 } and n { 1 , 2 , 3 } .
Definition 4
([6]). The set N ϱ ( ζ ) = { χ |χ is ϱ-neighbor of ζ} is called the ϱ-neighborhood of ζ.
Definition 5
([6]). A digital interval is defined by [ i , j ] Z = { κ Z | i κ j } , where i , j Z and i < j .
A digital image D Z n is ϱ –connected [6] if and only if for every pair of different points 𝚤 , j D , there is a set { 𝚤 0 , 𝚤 1 , , 𝚤 r } of points of a digital image X such that 𝚤 = 𝚤 0 , j = 𝚤 r and 𝚤 i and 𝚤 i + 1 are ϱ -neighbors where i = 0 , 1 , , r 1 .
Definition 6
([7]). Let ( D , ϱ 0 ) Z p 0 , and ( M , ϱ 1 ) Z p 1 be digital images and μ : D M be a function’
  • If for every ϱ 0 -connected of X D , μ ( X ) is a ϱ 1 -connected of M D , then μ is said to be ( ϱ 0 , ϱ 1 ) -continuous [8].
  • μ is ( ϱ 0 , ϱ 1 ) -continuous [8] if and only if for every ϱ 0 -adjacent points { 𝚤 0 , 𝚤 1 } of D, either μ ( 𝚤 0 ) = μ ( 𝚤 1 ) or μ ( 𝚤 0 ) and μ ( 𝚤 1 ) are ϱ 1 -adjacent in M.
  • If μ is ( ϱ 0 , ϱ 1 ) -continuous, bijective, and μ 1 is ( ϱ 1 , ϱ 0 ) -continuous, then μ is called ( ϱ 0 , ϱ 1 ) -isomorphism [2], that is D ( ϱ 0 , ϱ 1 ) M .
Definition 7
([7]). Let D Z n , g be the Euclidean metric on Z n . Suppose metric space ( D , g ) and ( D , ϱ ) is a digital image with ϱ-adjaceny, then ( D , g , ϱ ) is called a digital metric space.
Definition 8
([6]). A sequence { 𝚤 p } in digital metric space ( D , g , ϱ ) converges to q D , if for all ϵ > 0 , there exists η N such that for all p > η , then
g ( 𝚤 p , q ) < ϵ .
Definition 9
([6]). Let ( D , g , ϱ ) be a digital metric space and μ : ( D , g , ϱ ) ( D , g , ϱ ) be a self digital mapping. If there is L ( 0 , 1 ) such that for all 𝚤 , j D ,
g ( μ ( 𝚤 ) , μ ( j ) ) L g ( 𝚤 , j ) ,
then μ is called a digital contraction map.
Proposition 1
([6]). Every digital contraction map is digitally continuous.
Theorem 1
([9]). Digital metric space ( D , g , ϱ ) is a complete metric space.
Hicks and Harder [10] presented a stability result for iterative processes in a complete metric space, which can be restated as follows:
Definition 10
([10]). Let ( D , g ) be a complete metric space, 𝟊 : D D be a self mapping, and 𝚤 n + 1 = f ( 𝟊 , 𝚤 n ) be a iterative procedure. Suppose that F i x ( 𝟊 ) ϕ , the set of fixed point, and sequence 𝚤 n converges to l F i x ( 𝟊 ) .
Let a sequence { j n } D and ϵ n = g ( j n + 1 , f ( 𝟊 , j n ) ) . If lim n ϵ n = 0 such that lim n j n = l , then 𝚤 n + 1 = f ( 𝟊 , 𝚤 n ) is said to be 𝟊 -stable. See more details in [10,11].
Osilike and Udomene [12] designed the following contractive condition, that is, for each 𝚤 , j D there is constants η [ 0 , 1 ) and L ^ 0 such that
g ( 𝟊 𝚤 , 𝟊 j ) L ^ ( g ( 𝚤 , 𝟊 𝚤 ) ) + η g ( 𝚤 , j ) .
After, Osilike [12] established various stability results that generalize and extend many of the findings of Rhoades [11].
If L ^ = 2 ξ and η = ξ , where ξ = m a x { η , μ 1 μ , ν 1 ν } and 0 ξ < 1 then the contractive condition (1) restated to the Zamfirscu [13] contraction condition, that is,
g ( 𝟊 𝚤 , 𝟊 j ) ξ g ( 𝚤 , j ) + 2 ξ ( g ( 𝚤 , 𝟊 𝚤 ) ) .
Furthermore, if L ^ = 0 then (1) yield as
g ( 𝟊 𝚤 , 𝟊 j ) η g ( 𝚤 , j ) .
Berinde [14,15,16,17] established several generalizations of Banach’s fixed point theorem. In one of the results of Berinde [17], designed that ideas in the following frame of extension, that is, for each 𝚤 , j D , there exist η [ 0 , 1 ) and L ^ 0 such that
g ( 𝟊 𝚤 , 𝟊 j ) L ^ ( α ( 𝚤 , 𝟊 𝚤 ) ) + η A ( 𝚤 , j ) .
where
A ( 𝚤 , j ) = m a x { g ( 𝚤 , j ) , g ( 𝚤 , 𝟊 𝚤 ) , g ( j , 𝟊 j ) , 1 2 [ g ( 𝚤 , 𝟊 j ) + g ( j , 𝟊 𝚤 ) ] }
and
α ( 𝚤 , j ) = m i n { g ( 𝚤 , 𝟊 𝚤 ) , g ( j , 𝟊 j ) , g ( 𝚤 , 𝟊 j ) , g ( j , 𝟊 𝚤 ) } .
Pradip Debnath [18] introduced the following generalized Boyd–Wong-type contractive conditions and proved fixed-figure theorems in metric spaces. Suppose α : D D and upper semi-continuous functions Ξ : [ 0 , ) [ 0 , ) with 0 Ξ ( s ) < s for s > 0 such that Ξ ( 0 ) = 0 . If there is β 0 D such that
χ ( α β , β ) > 0 χ ( α β , β ) Ξ ( χ ( β , β 0 ) )
for all β D , then α is called a Boyd and Wong type β 0 -contraction.
Amid the years, which have been failed since this hypothsis, a number of iteration techniques have been established to approximate non-expasive mappings. Mann’s iteration system [19] has been substantially used to approximate fixed point of non-expasive mappings. In this fashion of iterative system, the sequence { 𝚤 n } is procreated from an arbitrary point 𝚤 0 D ; by the technique as follow:
𝚤 n + 1 = ( 1 η n ) 𝚤 n + η n 𝟊 𝚤 n , η n [ 0 , 1 ] ,
where n = 0 , 1 , 2 , , .
Later on, Ishikawa [20] investigated the new iterative system which has been broadly used to approximate fixed point of non-expasive mappings. In this regard of iterative system the sequence { 𝚤 n } is given iteratively from 𝚤 0 D by
𝚤 n + 1 = ( 1 η n ) 𝚤 n + η n 𝟊 j n ; j n = ( 1 μ n ) 𝚤 n + μ n 𝟊 𝚤 n ,
where η n , μ n [ 0 , 1 ] and n = 0,1, 2, ….
Hereafter, Agrawal et al. [21] provided the iteration system and they declared that the process of converges rate of analysis same as that of the Picard iterative system and faster than the Mann iterative system for contractions, where the sequence { 𝚤 n } is generated by
𝚤 n + 1 = ( 1 η n ) 𝟊 𝚤 n + η n 𝟊 j n ; j n = ( 1 μ n ) 𝚤 n + μ n 𝟊 𝚤 n ,
where η n , μ n [ 0 , 1 ] for all n 0 values.
B. S. Thakur et al. [22] introduce a new iteration process to approximate fixed point of nonexpasive mappings, where for any fixed value 𝚤 0 D and the sequence { 𝚤 n } is construct by
𝚤 n + 1 = ( 1 η n ) 𝟊 ζ n + η n 𝟊 j n ; j n = ( 1 μ n ) ζ n + μ n 𝟊 ζ n ; ζ n = ( 1 ν n ) 𝚤 n + ν n 𝟊 𝚤 n ,
for all n 0 , where η n , μ n , and ν n are in [ 0 , 1 ] .
Lemma 1
([14]). Let { ε n } where n = 0 , 1 , 2 , , such that lim n ν n = 0 and 0 ξ < 1 , then for any sequence of positive numbers { b n } where n = 0 , 1 , 2 , …, satisfying
b n + 1 ξ ( b n ) + ε n , n = 0 , 1 , 2 ,
then we have lim n b n = 0 .
Definition 11.
Let ( D , μ ˜ , ϱ ) be a digital metric space and : D × [ 0 , 1 ] D be a mapping such that ( l , η + μ ) = ( l , η ) + ( l , μ ) and ( l , 1 ) = l . We say that a digital metric space have linear digital structure if for all l , m , h , t D and η , μ [ 0 , 1 ] , if it satisfies,
μ ˜ ( ( l , η ) + ( m , μ ) , ( h , η ) + ( t , μ ) ) η μ ˜ ( l , h ) + μ μ ˜ ( m , t ) .
Definition 12
([23]). Let ( D , μ ˜ , ϱ ) be a digital metric space and ϝ a self-map of D. Let 𝚤 n + 1 be a iteration procedure defined as
𝚤 n + 1 = f 𝟊 , α n ( 𝚤 n )
where α n [ 0 , 1 ] and f is a function involving the digital structure. Suppose that F i x ( 𝟊 ) , the fixed point set of ϝ, is nonempty and that 𝚤 n converges to a point l F i x ( 𝟊 ) . Let { j n } D and define ϵ n = μ ˜ ( j n + 1 , f 𝟊 , α n ( j n ) ) . If lim n ϵ n = 0 implies that lim n j n = l , then the iteration procedure 𝚤 n + 1 = f 𝟊 , α n ( 𝚤 n ) is said to be ϝ-stable.
Motivated by the work of Berinde [17], we will use the following contractive condition: For a mapping 𝟊 : D D , there exists η [ 0 , 1 ) and L 0 such that for all 𝚤 , j D
μ ˜ ( 𝟊 𝚤 , 𝟊 j ) η μ ˜ ( 𝚤 , j ) + L ( m ( 𝚤 , j ) )
where,
m ( 𝚤 , j ) = m i n { μ ˜ ( 𝚤 , 𝟊 𝚤 ) , μ ˜ ( j , 𝟊 j ) , μ ˜ ( 𝚤 , 𝟊 j ) , μ ˜ ( j , 𝟊 𝚤 ) , 1 2 [ μ ˜ ( 𝚤 , 𝟊 j ) + μ ˜ ( j , 𝟊 𝚤 ) ] , 1 2 [ μ ˜ ( 𝚤 , 𝟊 𝚤 ) + μ ˜ ( j , 𝟊 j ) ] } .
The contractive condition (13) is more general than the contractive conditions (1), (3), (2) and (4).
In this study, inspired by the concept of Mann, Ishikawa, Agarwal, and Thakur iterative procedure in the class of Banch spaces, we develop a new iterative procedure and design 𝟊 -stability in the context of digital metric space. We also develop several fractal images to illustrate the compression of Fixed-Point Iterative Schemes and contractive mappings. Additionally, we present a specific example to demonstrate the motivation behind our investigations. Furthermore, we provide an application of the proposed Fractal image and Sierpinski triangle, which compress works by storing images as a collection of digital contractions, addressing the issue of storing images with less storage memory.

2. Main Results

First, in order to give our new extended iterative procedure in the class of digital metric space:
  • Extended Mann (6) iteration process:
    𝚤 n + 1 = ( 𝚤 n , ( 1 η n ) ) + ( 𝟊 ( 𝚤 n ) , η n ) , η n [ 0 , 1 ] .
  • Extended Ishikawa (7) iteration process:
    𝚤 n + 1 = ( 𝚤 n , ( 1 η n ) ) + ( 𝟊 ( j n ) , η n ) , η n [ 0 , 1 ] , j n = ( 𝚤 n , ( 1 μ n ) ) + ( 𝟊 ( 𝚤 n ) , μ n ) , μ n [ 0 , 1 ] .
  • Extended Agarwal (8) iteration process:
    𝚤 n + 1 = ( 𝟊 𝚤 n , ( 1 η n ) ) + ( 𝟊 ( j n ) , η n ) , η n [ 0 , 1 ] , j n = ( 𝚤 n , ( 1 μ n ) ) + ( 𝟊 ( 𝚤 n ) , μ n ) , μ n [ 0 , 1 ] .
  • Extended Thakur (9) iteration process:
    𝚤 n + 1 = ( 𝟊 z n , ( 1 η n ) ) + ( 𝟊 ( j n ) , η n ) , η n [ 0 , 1 ] , j n = ( z n , ( 1 μ n ) ) + ( 𝟊 ( z n ) , μ n ) , μ n [ 0 , 1 ] . ζ n = ( 𝚤 n , ( 1 ν n ) ) + ( 𝟊 ( 𝚤 n ) , ν n ) , ν n [ 0 , 1 ] .
Theorem 2.
Let ( D , μ ˜ , ϱ ) be a digital metric space with linear digital structure ♢ and 𝟊 : D D be a mapping that satisfies contractive condition (13). Suppose that ϝ has a fixed point l. For arbitrary setting 𝚤 0 D , let the sequence { 𝚤 n } n = 0 is generated by the extended Mann iterative procedure (15), where η n [ 0 , 1 ] such that 0 < η η n . Then, the extended Mann iteration is ϝ-stable.
Proof. 
Let { 𝚤 n } be the sequence in D , where n = 0 , 1 , 2 , and define ε n = μ ˜ ( 𝚤 n + 1 , ( 𝚤 n , ( 1 η n ) ) + ( 𝟊 ( 𝚤 n ) , η n ) ) . Suppose that lim n ε n = 0 . Then, we establish that lim n 𝚤 n = l . By using condition (13). Thus, we have
μ ˜ ( 𝚤 n + 1 , l ) μ ˜ ( 𝚤 n + 1 , ( 𝚤 n , ( 1 η n ) ) + ( 𝟊 ( 𝚤 n ) , η n ) ) + μ ˜ ( ( 𝚤 n , ( 1 η n ) ) + ( 𝟊 ( 𝚤 n ) , η n ) , l ) = μ ˜ ( ( 𝚤 n , ( 1 η n ) ) + ( 𝟊 ( 𝚤 n ) , η n ) , l ) + ε n = μ ˜ ( ( 𝚤 n , ( 1 η n ) ) + ( 𝟊 ( 𝚤 n ) , η n ) , ( l , 1 ) ) + ε n = μ ˜ ( ( 𝚤 n , ( 1 η n ) ) + ( 𝟊 ( 𝚤 n ) , η n ) , ( l , ( 1 η n ) + η n ) + ε n = μ ˜ ( ( 𝚤 n , ( 1 η n ) ) + ( 𝟊 ( 𝚤 n ) , η n ) , ( l , ( 1 η n ) ) + ( l , η n ) + ε n ( 1 η n ) μ ˜ ( 𝚤 n , l ) + η n μ ˜ ( 𝟊 ( 𝚤 n ) , l ) + ε n = ( 1 η n ) μ ˜ ( 𝚤 n , l ) + η n μ ˜ ( 𝟊 ( 𝚤 n ) , 𝟊 ( l ) ) + ε n .
Using (13), we have
μ ˜ ( 𝚤 n + 1 , l ) ( 1 η n ) μ ˜ ( 𝚤 n , l ) + η n [ ξ μ ˜ ( 𝚤 n , l ) + μ m ( 𝚤 n , l ) ] + ε n
Now, m ( 𝚤 n , l ) = 0 , and using (14), so
μ ˜ ( 𝚤 n + 1 , l ) ( 1 η n ) μ ˜ ( 𝚤 n , l ) + η n ( ξ μ ˜ ( 𝚤 n , l ) ) + ε n = [ ( 1 η n ) + η n ξ ] μ ˜ ( 𝚤 n , l ) + ε n = [ 1 ( 1 ξ ) η n ] μ ˜ ( 𝚤 n , l ) + ε n .
Therefore, we have
μ ˜ ( 𝚤 n + 1 , l ) [ 1 ( 1 ξ ) η ] μ ˜ ( 𝚤 n , l ) + ε n .
Therefore, since 0 1 ( 1 ξ ) η < 1 , applying Lemma 1 in (19), which yields lim n μ ˜ ( 𝚤 n , l ) = 0 , that is, lim n 𝚤 n = l . Conversely, lim n 𝚤 n = l . Then, we have to prove that lim n ε n = 0 . Next,
ε n = μ ˜ ( 𝚤 n + 1 , ( 𝚤 n , ( 1 η n ) ) + ( 𝟊 ( 𝚤 n ) , η n ) ) μ ˜ ( 𝚤 n + 1 , l ) + μ ˜ ( l , ( 𝚤 n , ( 1 η n ) ) + ( 𝟊 ( 𝚤 n ) , η n ) ) = μ ˜ ( 𝚤 n + 1 , l ) + μ ˜ ( ( l , 1 ) , ( 𝚤 n , ( 1 η n ) ) + ( 𝟊 ( 𝚤 n ) , η n ) ) μ ˜ ( 𝚤 n + 1 , l ) + μ ˜ ( ( l , ( 1 η n ) + η n ) , ( 𝚤 n , ( 1 η n ) ) + ( 𝟊 ( 𝚤 n ) , η n ) ) = μ ˜ ( 𝚤 n + 1 , l ) + μ ˜ ( ( l , ( 1 η n ) ) + ( l , η n ) , ( 𝚤 n , ( 1 η n ) ) + ( 𝟊 ( 𝚤 n ) , η n ) ) μ ˜ ( 𝚤 n + 1 , l ) + ( 1 η n ) μ ˜ ( 𝚤 n , l ) + η n μ ˜ ( 𝟊 ( 𝚤 n ) , l ) = μ ˜ ( 𝚤 n + 1 , l ) + ( 1 η n ) μ ˜ ( 𝚤 n , l ) + η n μ ˜ ( 𝟊 ( 𝚤 n ) , 𝟊 ( l ) ) μ ˜ ( 𝚤 n + 1 , l ) + [ 1 ( 1 ξ ) η n ] μ ˜ ( 𝚤 n , l ) 0 a s n .
Theorem 3.
Let ( D , μ ˜ , ϱ ) be a digital metric space with linear digital structure ♢ and 𝟊 : D D be a mapping that satisfies contractive condition (13). Suppose that ϝ has a fixed point l. For arbitrary setting 𝚤 0 D , let the sequence { 𝚤 n } n = 0 is generated by the extended Ishikawa iterative procedure (16), where η n , μ n [ 0 , 1 ] such that 0 < η η n and 0 < μ μ n . Then, the extended Ishikawa iteration is ϝ-stable.
Proof. 
Let { 𝚤 n } be the sequence in D , where n = 0 , 1 , 2 , and define
b n = ( 𝚤 n , ( 1 μ n ) ) + ( 𝟊 ( 𝚤 n ) , μ n ) ε n = μ ˜ ( 𝚤 n + 1 , ( 𝚤 n , ( 1 η n ) ) + ( 𝟊 ( b n ) , η n ) ) .
Suppose that lim n ε n = 0 . Then, we establish that lim n 𝚤 n = l by using condition (13). Thus, we have
μ ˜ ( 𝚤 n + 1 , l ) μ ˜ ( 𝚤 n + 1 , ( 𝚤 n , ( 1 η n ) ) + ( 𝟊 ( b n ) , η n ) ) + μ ˜ ( ( 𝚤 n , ( 1 η n ) ) + ( 𝟊 ( b n ) , η n ) , l ) = μ ˜ ( ( 𝚤 n , ( 1 η n ) ) + ( 𝟊 ( b n ) , η n ) , l ) + ε n = μ ˜ ( ( 𝚤 n , ( 1 η n ) ) + ( 𝟊 ( b n ) , η n ) , ( l , 1 ) ) + ε n = μ ˜ ( ( 𝚤 n , ( 1 η n ) ) + ( 𝟊 ( b n ) , η n ) , ( l , ( 1 η n ) + η n ) ) + ε n = μ ˜ ( ( 𝚤 n , ( 1 η n ) ) + ( 𝟊 ( b n ) , η n ) , ( l , ( 1 η n ) ) + ( l , η n ) ) + ε n ( 1 η n ) μ ˜ ( 𝚤 n , l ) + η n μ ˜ ( 𝟊 ( b n ) , l ) + ε n = ( 1 η n ) μ ˜ ( 𝚤 n , l ) + η n μ ˜ ( 𝟊 ( b n ) , 𝟊 ( l ) ) + ε n .
Using (13), we have,
μ ˜ ( 𝚤 n + 1 , l ) ( 1 η n ) μ ˜ ( 𝚤 n , l ) + η n [ ξ μ ˜ ( b n , l ) + ν m ( b n , l ) ] + ε n .
Now m ( b n , l ) = 0 using (14), so
μ ˜ ( 𝚤 n + 1 , l ) ( 1 η n ) μ ˜ ( 𝚤 n , l ) + η n ξ μ ˜ ( b n , l ) + ε n .
Now
μ ˜ ( b n , l ) = μ ˜ ( ( 𝚤 n , ( 1 μ n ) ) + ( 𝟊 ( 𝚤 n , μ ) ) , ( l , 1 ) ) = μ ˜ ( ( 𝚤 n , ( 1 μ n ) ) + ( 𝟊 ( 𝚤 n , μ ) , ( l , ( 1 μ n ) ) + ( 𝟊 ( l , μ ) ) ( 1 μ n ) μ ˜ ( 𝚤 n , l ) + μ n μ ˜ ( 𝟊 𝚤 n , l ) [ 1 ( 1 ξ ) μ n ] μ ˜ ( 𝚤 n , l ) .
Therefore, we have
μ ˜ ( b n , l ) [ 1 ( 1 ξ ) μ n ] μ ˜ ( 𝚤 n , l ) .
Using (21) in (20), we have
μ ˜ ( 𝚤 n + 1 , l ) ( 1 η n ) μ ˜ ( 𝚤 n , l ) + η n ξ ( [ 1 ( 1 ξ ) μ n ] μ ˜ ( 𝚤 n , l ) ) + ε n = [ 1 ( 1 ξ ) η n ( 1 ξ ) ξ η n μ n ] μ ˜ ( 𝚤 n , l ) + ε n [ 1 ( 1 ξ ) η ( 1 ξ ) ξ η μ ] μ ˜ ( 𝚤 n , l ) + ε n .
Therefore, since 0 1 ( 1 ξ ) η ( 1 ξ ) ξ η μ < 1 , applying Lemma 1 in above yields lim n μ ˜ ( 𝚤 n , l ) = 0 , that is, lim n 𝚤 n = l .
Conversely, lim n 𝚤 n = l . Then, we have to prove that lim n ε n = 0 . We have
ε n = μ ˜ ( 𝚤 n + 1 , ( 𝚤 n , ( 1 η n ) ) + ( 𝟊 b n , η n ) ) = μ ˜ ( 𝚤 n + 1 , l ) + μ ˜ ( l , ( 𝚤 n , ( 1 η n ) ) + ( 𝟊 b n , η n ) ) = μ ˜ ( 𝚤 n + 1 , l ) + μ ˜ ( ( l , ( 1 η n ) + η n ) , ( 𝚤 n , ( 1 η n ) ) + ( 𝟊 ( b n , η n ) ) = μ ˜ ( 𝚤 n + 1 , l ) + ( 1 η n ) μ ˜ ( 𝚤 n , l ) + η n μ ˜ ( 𝟊 ( b n ) , 𝟊 ( l ) ) μ ˜ ( 𝚤 n + 1 , l ) + ( 1 η n ) μ ˜ ( 𝚤 n , l ) + η n [ ξ μ ˜ ( b n , l ) + ν m ( b n , l ) ] .
Now, m ( b n , l ) = 0 using (14), so
ε n μ ˜ ( 𝚤 n + 1 , l ) + ( 1 η n ) μ ˜ ( 𝚤 n , l ) + η n ξ μ ˜ ( j n , l ) .
Using (21)
ε n μ ˜ ( 𝚤 n + 1 , l ) + ( 1 η n ) μ ˜ ( 𝚤 n , l ) + η n ξ [ 1 ( 1 ξ ) μ n ] μ ˜ ( 𝚤 n , l ) μ ˜ ( 𝚤 n + 1 , l ) + [ ( 1 η n ) + η n ξ ( 1 ( 1 ξ ) μ n ] μ ˜ ( 𝚤 n , l ) μ ˜ ( 𝚤 n + 1 , l ) + [ 1 η n ( 1 ξ ) + η n μ n ξ ( 1 ξ ) ] μ ˜ ( 𝚤 n , l ) μ ˜ ( 𝚤 n + 1 , l ) + [ 1 η ( 1 ξ ) + η μ ξ ( 1 ξ ) ] μ ˜ ( 𝚤 n , l ) .
Now, since 0 1 ( 1 ξ ) η ( 1 ξ ) ξ η μ < 1 . Using Lemma 1, we have
ε n μ ˜ ( 𝚤 n + 1 , l ) + [ 1 η ( 1 ξ ) + η μ ξ ( ( 1 ξ ) ] μ ˜ ( 𝚤 n , l ) 0 a s n .
Theorem 4.
Let ( D , μ ˜ , ϱ ) be a digital metric space with linear digital structure ♢ and 𝟊 : D D be a mapping that satisfies contractive condition (13). Suppose that ϝ has a fixed point l. For arbitrary setting 𝚤 0 D , let the sequence { 𝚤 n } n = 0 is generated by the extended Agarwal iterative procedure (17), where η n , μ n [ 0 , 1 ] such that 0 < η η n and 0 < μ μ n . Then, the extended Agarwal iteration is ϝ-stable.
Proof. 
Let { 𝚤 n } be the sequence in D , where n = 0 , 1 , 2 , and define
j n = ( 𝚤 n , ( 1 μ n ) ) + ( 𝟊 ( 𝚤 n ) , μ n ) ε n = μ ˜ ( 𝚤 n + 1 , ( 𝟊 𝚤 n , ( 1 η n ) ) + ( 𝟊 ( j n ) , η n ) ) .
Suppose that lim n ε n = 0 .
Then, we establish that lim n 𝚤 n = l by using condition (13). Thus, we have
μ ˜ ( 𝚤 n + 1 , l ) μ ˜ ( 𝚤 n + 1 , ( 𝟊 𝚤 n , ( 1 η n ) ) + ( 𝟊 ( j n ) , η n ) ) + μ ˜ ( ( 𝟊 𝚤 n , ( 1 η n ) ) + ( 𝟊 ( j n ) , η n ) , l ) = μ ˜ ( ( 𝟊 𝚤 n , ( 1 η n ) ) + ( 𝟊 ( j n ) , η n ) , l ) + ε n = μ ˜ ( ( 𝟊 𝚤 n , ( 1 η n ) ) + ( 𝟊 ( j n ) , η n ) , ( l , 1 ) ) + ε n = μ ˜ ( ( 𝟊 𝚤 n , ( 1 η n ) ) + ( 𝟊 ( j n ) , η n ) , ( l , ( 1 η n ) + η n ) ) + ε n = μ ˜ ( ( 𝟊 𝚤 n , ( 1 η n ) ) + ( 𝟊 ( j n ) , η n ) , ( l , ( 1 η n ) ) + ( l , η n ) ) + ε n = μ ˜ ( ( 𝟊 𝚤 n , ( 1 η n ) ) + ( 𝟊 ( j n ) , η n ) , ( 𝟊 l , ( 1 η n ) ) + ( 𝟊 l , η n ) ) + ε n ( 1 η n ) μ ˜ ( 𝟊 𝚤 n , 𝟊 l ) + η n μ ˜ ( 𝟊 ( j n ) , 𝟊 l ) + ε n = ( 1 η n ) μ ˜ ( 𝟊 𝚤 n , 𝟊 l ) + η n μ ˜ ( 𝟊 ( j n ) , 𝟊 ( l ) ) + ε n .
Using (13), we have
μ ˜ ( 𝚤 n + 1 , l ) ( 1 η n ) [ ξ μ ˜ ( 𝚤 n , l ) + ν m ( 𝚤 n , l ) ] + η n [ ξ μ ˜ ( j n , l ) + ν m ( j n , l ) ] + ε n .
Now, m ( 𝚤 n , l ) = 0 and m ( j n , l ) = 0 . By applying (14)
μ ˜ ( 𝚤 n + 1 , l ) ( 1 η n ) ξ μ ˜ ( 𝚤 n , l ) + η n ξ μ ˜ ( j n , l ) + ε n .
Next,
μ ˜ ( j n , l ) = μ ˜ ( ( 𝚤 n , ( 1 μ n ) ) + ( 𝟊 ( 𝚤 n , μ ) ) , ( l , 1 ) ) = μ ˜ ( ( 𝚤 n , ( 1 μ n ) ) + ( 𝟊 ( 𝚤 n , μ ) , ( l , ( 1 μ n ) ) + ( 𝟊 ( l , μ ) ) ( 1 μ n ) μ ˜ ( 𝚤 n , l ) + μ n μ ˜ ( 𝟊 𝚤 n , l ) [ 1 ( 1 ξ ) μ n ] μ ˜ ( 𝚤 n , l ) .
Therefore, we have
μ ˜ ( j n , l ) [ 1 ( 1 ξ ) μ n ] μ ˜ ( 𝚤 n , l ) .
Using (22) in (23), we have
μ ˜ ( 𝚤 n + 1 , l ) ( 1 η n ) ξ μ ˜ ( 𝚤 n , l ) + η n ξ ( [ 1 ( 1 ξ ) μ n ] μ ˜ ( 𝚤 n , l ) ) + ε n = ξ [ 1 ( 1 ξ ) η n μ n ] μ ˜ ( 𝚤 n , l ) + ε n ξ [ 1 ( 1 ξ ) η μ ] μ ˜ ( 𝚤 n , l ) + ε n .
Since 0 1 ( 1 ξ ) η μ < 1 , and applying Lemma 1 which yields lim n μ ˜ ( 𝚤 n , l ) = 0 , that is, lim n 𝚤 n = l .
Conversely, lim n 𝚤 n = l . Then, we have to prove that lim n ε n = 0 . We have,
ε n = μ ˜ ( 𝚤 n + 1 , ( 𝟊 𝚤 n , ( 1 η n ) ) + ( 𝟊 j n , η n ) ) = μ ˜ ( 𝚤 n + 1 , l ) + μ ˜ ( l , ( 𝟊 𝚤 n , ( 1 η n ) ) + ( 𝟊 j n , η n ) ) = μ ˜ ( 𝚤 n + 1 , l ) + μ ˜ ( ( l , ( 1 η n ) + η n ) , ( 𝟊 𝚤 n , ( 1 η n ) ) + ( 𝟊 ( j n , η n ) ) = μ ˜ ( 𝚤 n + 1 , l ) + ( 1 η n ) μ ˜ ( 𝟊 𝚤 n , 𝟊 l ) + η n μ ˜ ( 𝟊 j n , 𝟊 ( l ) ) μ ˜ ( 𝚤 n + 1 , l ) + ( 1 η n ) [ ξ μ ˜ ( 𝚤 n , l ) + ν m ( 𝚤 n , l ) ] + η n [ ξ μ ˜ ( j n , l ) + ν m ( j n , l ) ]
Now, m ( 𝚤 n , l ) = 0 and m ( j n , l ) = 0 using (14), so
ε n μ ˜ ( 𝚤 n + 1 , l ) + ( 1 η n ) ξ μ ˜ ( 𝚤 n , l ) + η n ξ μ ˜ ( j n , l ) .
Using (22)
ε n μ ˜ ( 𝚤 n + 1 , l ) + ( 1 η n ) ξ μ ˜ ( 𝚤 n , l ) + η n ξ [ 1 ( 1 ξ ) μ n ] μ ˜ ( 𝚤 n , l ) μ ˜ ( 𝚤 n + 1 , l ) + ξ [ ( 1 η n ) + η n ( 1 ( 1 ξ ) μ n ] μ ˜ ( 𝚤 n , l ) μ ˜ ( 𝚤 n + 1 , l ) + ξ [ ( 1 η n μ n ( 1 ξ ) ] μ ˜ ( 𝚤 n , l ) μ ˜ ( 𝚤 n + 1 , l ) + ξ [ ( 1 η μ ( 1 ξ ) ] μ ˜ ( 𝚤 n , l ) .
Now, since 0 1 ( 1 ξ ) η μ < 1 , using Lemma 1:
ε n μ ˜ ( 𝚤 n + 1 , l ) + [ 1 η μ ( 1 ξ ) ] μ ˜ ( 𝚤 n , l ) ⟶ 0 as n . □
Theorem 5.
Let ( D , μ ˜ , ϱ ) be a digital metric space with linear digital structure ♢ and 𝟊 : D D be a mapping that satisfies contractive condition (13). Suppose that ϝ has a fixed point l. For arbitrary setting 𝚤 0 D , let the sequence { 𝚤 n } n = 0 is generated by the extended Thakur iterative procedure (18), where η n , μ n , ν n [ 0 , 1 ] such that 0 < η η n , 0 < μ μ n and 0 < ν ν n . Then, the extended Thakur iteration is ϝ-stable.
Proof. 
Let { 𝚤 n } be the sequence in D , where n = 0 , 1 , 2 , and define
ζ n = ( 𝚤 n , ( 1 ν n ) ) + ( 𝟊 𝚤 n , ν n ) , j n = ( ζ n , ( 1 μ n ) ) + ( 𝟊 ζ n , μ n ) , ε n = μ ˜ ( 𝚤 n + 1 , ( 𝟊 ζ n , ( 1 η n ) ) + ( 𝟊 j n , η n ) ) .
Suppose that lim n ε n = 0 . Then, we establish that lim n 𝚤 n = l by using condition (13). Thus, we have
μ ˜ ( 𝚤 n + 1 , l ) μ ˜ ( 𝚤 n + 1 , ( 𝟊 ζ n , ( 1 η n ) ) + ( 𝟊 j n , η n ) ) + μ ˜ ( ( 𝟊 ζ n , ( 1 η n ) ) + ( 𝟊 ( j n ) , η n ) , l ) = μ ˜ ( ( 𝟊 ζ n , ( 1 η n ) ) + ( 𝟊 j n , η n ) , l ) + ε n = μ ˜ ( ( 𝟊 ζ n , ( 1 η n ) ) + ( 𝟊 j n , η n ) , ( l , 1 ) ) + ε n = μ ˜ ( ( 𝟊 ζ n , ( 1 η n ) ) + ( 𝟊 j n , η n ) , ( l , ( 1 η n ) + η n ) ) + ε n = μ ˜ ( ( 𝟊 ζ n , ( 1 η n ) ) + ( 𝟊 j n , η n ) , ( l , ( 1 η n ) ) + ( l , η n ) ) + ε n = μ ˜ ( ( 𝟊 ζ n , ( 1 η n ) ) + ( 𝟊 j n , η n ) , ( 𝟊 l , ( 1 η n ) ) + ( 𝟊 l , η n ) ) + ε n ( 1 η n ) μ ˜ ( 𝟊 ζ n , 𝟊 l ) + η n μ ˜ ( 𝟊 j n , 𝟊 l ) + ε n = ( 1 η n ) μ ˜ ( 𝟊 ζ n , 𝟊 l ) + η n μ ˜ ( 𝟊 j n , 𝟊 ( l ) ) + ε n .
Using (13), we have,
μ ˜ ( 𝚤 n + 1 , l ) ( 1 η n ) [ ξ μ ˜ ( ζ n , l ) + η m ( ζ n , l ) ] + η n [ ξ μ ˜ ( j n , l ) + η m ( j n , l ) ] + ε n .
Now, m ( 𝚤 n , l ) = 0 and m ( j n , l ) = 0 using (2.4), so
μ ˜ ( 𝚤 n + 1 , l ) ( 1 η n ) ξ μ ˜ ( ζ n , l ) + η n ξ μ ˜ ( j n , l ) + ε n .
Now,
μ ˜ ( j n , l ) = μ ˜ ( ( ζ n , ( 1 μ n ) ) + ( 𝟊 ( ζ n , μ ) ) , ( l , 1 ) ) = μ ˜ ( ( ζ n , ( 1 μ n ) ) + ( 𝟊 ( ζ n , μ ) , ( l , ( 1 μ n ) ) + ( 𝟊 ( l , μ ) ) ( 1 μ n ) μ ˜ ( ζ n , l ) + μ n μ ˜ ( 𝟊 ( ζ n , l ) [ 1 ( 1 ξ ) μ n ] μ ˜ ( ζ n , l ) .
Therefore, we have
μ ˜ ( j n , l ) [ 1 ( 1 ξ ) μ n ] μ ˜ ( ζ n , l ) .
Now
μ ˜ ( ζ n , l ) = μ ˜ ( ( 𝚤 n , ( 1 ν n ) ) + ( 𝟊 ( ζ n , ν ) ) , ( l , 1 ) ) . = μ ˜ ( ( 𝚤 n , ( 1 ν n ) ) + ( 𝟊 ( 𝚤 n , ν ) , ( l , ( 1 ν n ) ) + ( 𝟊 ( l , ν ) ) ( 1 ν n ) μ ˜ ( 𝚤 n , l ) + ν n μ ˜ ( 𝟊 ( 𝚤 n , l ) [ 1 ( 1 ξ ) ν n ] μ ˜ ( 𝚤 n , l ) .
Therefore, we have
μ ˜ ( ζ n , l ) [ 1 ( 1 ξ ) ν n ] μ ˜ ( 𝚤 n , l )
Using (24) and (25), we have
μ ˜ ( 𝚤 n + 1 , l ) ( 1 η n ) ξ μ ˜ ( ζ n , l ) + η n ξ ( 1 ( 1 ξ ) μ n ) μ ˜ ( ζ n , l ) + ε n = ξ [ ( 1 η n ) + η n ( [ 1 ( 1 ξ ) μ n ) ] μ ˜ ( ζ n , l ) + ε n = ξ [ 1 ( 1 ξ ) η n μ n ] μ ˜ ( ζ n , l ) + ε n .
Now, using (26),
μ ˜ ( 𝚤 n + 1 , l ) ξ ( 1 ( 1 ξ ) η n μ n ) ( 1 ( 1 ξ ) ν n ) μ ˜ ( 𝚤 n , l ) + ε n ξ ( 1 ( 1 ξ ) η μ ) ( 1 ( 1 ξ ) ν ) μ ˜ ( 𝚤 n , l ) + ε n .
Therefore, since 0 ( 1 ( 1 ξ ) η μ ) ( 1 ( 1 ξ ) ν ) < 1 , by applying Lemma 1 yields lim n μ ˜ ( 𝚤 n , l ) = 0 , that is, lim n 𝚤 n = l .
Conversely, let lim n 𝚤 n = l . We have to prove that lim n ε n = 0 . We have
ε n = μ ˜ ( 𝚤 n + 1 , ( 𝟊 ζ n , ( 1 η n ) ) + ( 𝟊 j n , η n ) ) = μ ˜ ( 𝚤 n + 1 , l ) + μ ˜ ( l , ( 𝟊 ζ n , ( 1 η n ) ) + ( 𝟊 j n , η n ) ) = μ ˜ ( 𝚤 n + 1 , l ) + μ ˜ ( ( l , ( 1 η n ) + η n ) , ( 𝟊 ζ n , ( 1 η n ) ) + ( 𝟊 ( j n , η n ) ) = μ ˜ ( 𝚤 n + 1 , l ) + ( 1 η n ) μ ˜ ( 𝟊 ζ n , 𝟊 l ) + η n μ ˜ ( 𝟊 j n , 𝟊 l ) μ ˜ ( 𝚤 n + 1 , l ) + ( 1 η n ) [ ξ μ ˜ ( ζ n , l ) + ν m ( ζ n , l ) ] + η n [ ξ μ ˜ ( j n , l ) + ν m ( j n , l ) ]
Now, m ( ζ n , l ) = 0 and m ( j n , l ) = 0 using (14), so
ε n μ ˜ ( 𝚤 n + 1 , l ) + ( 1 η n ) ξ μ ˜ ( ζ n , l ) + η n ξ μ ˜ ( j n , l ) .
Using (25) and (26),
ε n μ ˜ ( 𝚤 n + 1 , l ) + ( 1 η n ) ξ μ ˜ ( ζ n , l ) + η n ξ [ 1 ( 1 ξ ) μ n ] μ ˜ ( ζ n , l ) μ ˜ ( 𝚤 n + 1 , l ) + ξ [ ( 1 η n ) + η n ( 1 ( 1 ξ ) μ n ] μ ˜ ( ζ n , l ) μ ˜ ( 𝚤 n + 1 , l ) + ξ [ ( 1 ( 1 ξ ) η n μ n ] [ 1 ( 1 ξ ) ν n ] μ ˜ ( 𝚤 n , l ) μ ˜ ( 𝚤 n + 1 , l ) + ξ [ ( 1 ( 1 ξ ) η μ ] [ 1 ( 1 ξ ) ν ] μ ˜ ( 𝚤 n , l )
Now, since 0 ( 1 ( 1 ξ ) η μ ) ( 1 ( 1 ξ ) ν ) < 1 , by using Lemma 1 we have
ε n μ ˜ ( 𝚤 n + 1 , l ) + [ ( 1 ( 1 ξ ) η μ ) ( 1 ( 1 ξ ) ν ) ] μ ˜ ( 𝚤 n , l ) ⟶ 0 as n . □
Here, we have designed a non trivial example to check the stability of digital contraction mapping and compare the rate of convergence with the different iterative schemes.
Example 1.
Let D = [ 0 , ] Z and ( D , μ ˜ , ϱ ) be the digital metric spaces endowed with the metric μ ˜ ( 𝚤 , j ) = | 𝚤 j | and digital structure : D × [ 0 , 1 ] Z D defined as ( l , α ) = α l . For 𝟊 : ( D , μ ˜ , ϱ ) ( D , μ ˜ , ϱ ) , define
𝟊 𝚤 = 𝚤 2 + 3 ,
and η n = μ n = ν n = 5 6 , n = 1 , 2 , 3 , .
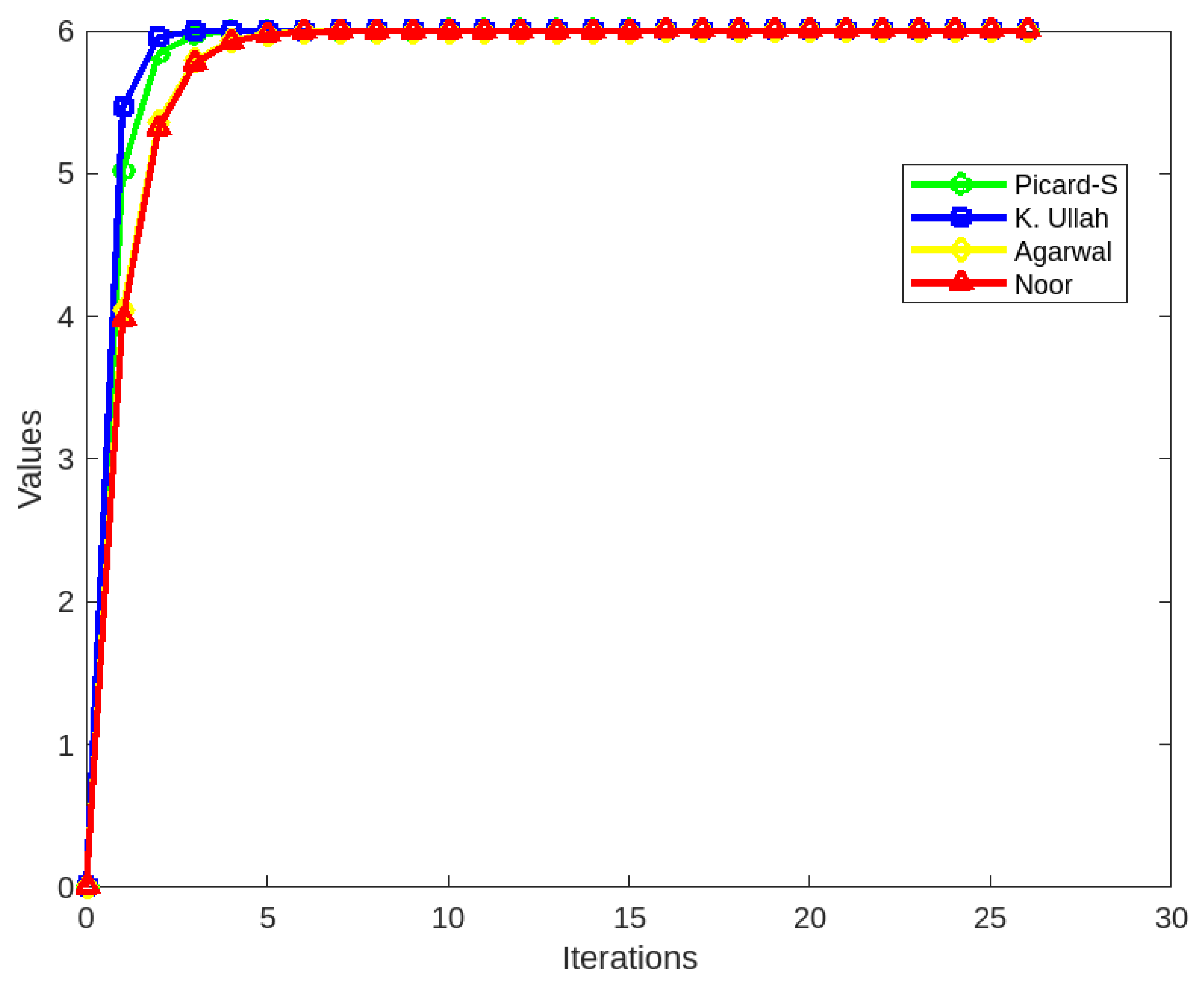
From Table 1, it is evident that every iterative algorithm was ϝ-stable and converges to l = 6 . Table 2 and Figure 4 shows the rate of convergence of Picard-S, K. Ullah, Agarwal and Noor’s iterative schemes.

3. Application

Recurring patterns up to scale similarity are seen in many natural phenomena at all scales. This gives rise to a novel concept of symmetry. This is also known mathematically as a “fractal”, and it occurs when self similarity patterns appear similar at different small scales. For example Mandelbrot set (Figure 5). When a precise and intricate pattern is observed to repeat itself, fractals are employed.
The fractal tree (Figure 6) is another examples of a fractal.
Fractal compression uses an image’s self-similarity to its advantage in order to compress data. In this technique, the image is divided into smaller blocks known as range blocks, and comparable patterns inside the image known as domain blocks are found. Fractal compression can achieve high compression ratios by identifying these matches and encoding the modifications required to recreate them.
Now, we give an example to illustrate how fractal compression techniques’ iterative nature helps in measuring distances and similarities between points or patterns within a digital image and is efficient in the compression of an image by repeatedly improving approximations until a near match to the actual image is achieved.
Example 2.
Let D = [ 0 , 2 ] Z be a digital interval with 2-adjacency. Let X 0 be a digital image (see Figure 7,
Using the Ishikawa (16) iteration scheme and η n = 0 and μ n = 1 , n = 1 , 2 , 3 , , duplicating X 0 and attach one copy to the vertex on the lower left and one to the lower right makes a new digital image X 1 as (see Figure 8),
Applying the second iteration on X 1 , we have again a new digital image X 2 , which is similar to X 1 .
X 2 (see Figure 9) is therefore the fixed point in this process. We would want to present the mathematical version of the higher process. Give ϝ the function that converts X i to 𝟊 ( X i ) . Thus, we can see that X 2 is a fixed point of this function or that 𝟊 ( X 2 ) = X 2 . An infinite sequence is produced if the procedure is repeated on X n sets. There is a convergence of X n to X 2 . It is impossible to differentiate between X 5 and X 2 . Consequently, the computer software uses X 5 rather than X 2 for improved resolution. Simultaneously, the application may quickly determine certain digital image properties by using X 2 instead of X 5 .
Example 3.
(Sierpinski triangle) We took a triangle and cut off its middle, then we repeated it again to generate the Sierpinski triangle. However, an iterative function system can also be used to represent the Sierpinski triangle. Start with a solid triangle with digital image I 0 (see Figure 10).
Then, three functions { ξ 1 , ξ 2 , ξ 3 } are generators, representing a contractive mapping are used to form I 1 . Every mapping reduces the triangle’s size by half, placing the reduced triangles in each of I 0 ’s corners.
The corresponding Iterative process is given by { R 2 : ξ 1 , ξ 2 , ξ 3 } , where the contractive transformations ξ 1 , ξ 2 , and ξ 3 are given by
ξ 1 ( 𝚤 , j ) = 1 2 0 0 1 2 𝚤 j , ξ 2 ( 𝚤 , j ) = 1 2 0 0 1 2 𝚤 j + 1 2 0 , x i 3 ( 𝚤 , j ) = 1 2 0 0 1 2 𝚤 j + 1 4 3 2 .
The result of this Iterative process is the Sierpinski triangle (see Figure 11) and is given by I = lim n ξ n ( I 0 ) .

4. Conclusions

In conclusion, this paper has undertaken a thorough examination of the advancements achieved in comprehending Iterative Fixed-Point Schemes, grounded in the concept of digital contraction mappings. Additionally, we have introduced the concept of Iterative Fixed-Point Schemes within digital metric spaces. This study extends the Iteration process of Mann (15), Ishikawa (16), Agarwal (17), and Thakur (18), incorporating the ϝ -Stable Iterative Scheme in the context of digital metric spaces. The design and exploration of fractal images serve to illustrate the compression of Fixed-Point Iterative Schemes and contractive mappings. Furthermore, a concrete example has been presented to elucidate the underlying motivation for our investigations.
Moreover, our paper has demonstrated the practical application of the proposed Fractal image and Sierpinski triangle in compressing works, specifically addressing the challenge of storing images efficiently by representing them as a collection of digital contractions. This approach offers a solution to the problem of conserving storage memory while retaining the essential features of the images discussed in this study.

Author Contributions

Conceptualization, A.S. and A.B.; methodology, A.S. and A.B.; software, A.B.; validation, A.A. and A.H.; formal analysis, A.A.; investigation, A.A., H.A.S. and A.H.; Data curation, A.B. and A.H.; writing—original draft, A.S.; writing—review and editing, A.A. and H.A.S.; supervision, A.H.; and funding acquisition, H.A.S. and A.H. All authors have read and agreed to the published version of the manuscript.

Funding

The authors declare that there is no funding available for this paper.

Data Availability Statement

Data are contained within the article.

Acknowledgments

For the financial support and encouragement, the authors are thankful to the employ of King Abdulaziz University P.O.Box 80203 Jeddah, 21589, Saudi Arabia.

Conflicts of Interest

The authors declare no conflicts of interest.

References

  1. Rosenfeld, A. Digital topology. Am. Math. Mon. 1979, 86, 621–630. [Google Scholar] [CrossRef]
  2. Boxer, L. Remarks on Fixed Point Assertions in Digital Topology, 2. Appl. Gen. Topol. 2019, 20, 155–175. [Google Scholar] [CrossRef]
  3. Ege, O.K. Some Results on Simplicial Homology Groups of 2D Digital Images. Int. J. Inform. Comput. Sci. 2012, 1, 198–203. [Google Scholar]
  4. Ege, O.K. Lefschetz Fixed Point Theorem for Digital Images. Fixed Point Theory Appl. 2013, 2013, 253. [Google Scholar] [CrossRef][Green Version]
  5. Ege, O.K. Applications of The Lefschetz Number to Digital Images. Bull. Belg. Math. Soc. Simon Stevin 2014, 21, 823–839. [Google Scholar] [CrossRef]
  6. Ege, O.K. Banach Fixed Point Theorem for Digital Images. J. Nonlinear Sci. Appl. 2015, 8, 237–245. [Google Scholar] [CrossRef]
  7. Sridevi, K.; Kameswari, M.V.R.; Kiran, D.M.K. Fixed Point Theorems for Digital Contractive Type Mappings in Digital Metric Spaces. Int. J. Math. Trends Technol. (IJMTT) 2017, 48, V48P522. [Google Scholar]
  8. Boxer, L. A classical construction for the digital fundamental group. J. Math. Imaging Vis. 1999, 10, 51–62. [Google Scholar] [CrossRef]
  9. Han, S.E. Banach fixed point theorem from the viewpoint of digital topology. J. Nonlinear Sci. Appl. 2015, 9, 895–905. [Google Scholar] [CrossRef]
  10. Harder, A.M. Hicks, T.L. Stability results for fixed point iteration procedures. Math. J. 1988, 33, 693–706. [Google Scholar]
  11. Rhoades, B.E. Fixed point theorems and stability results for fixed point iteration procedures II. Indian J. Pure Appl. Math. 1993, 24, 691–703. [Google Scholar]
  12. Osilike, M.O.; Udomene, A. Short proofs of stability results for fixed point iteration procedures for a class of contractive-type mappings. Indian J. Pure Appl. Math. 1999, 30, 1229–1234. [Google Scholar]
  13. Zamfirescu, T. Fix point theorems in metric spaces. Arch. Math. 1972, 23, 292–298. [Google Scholar] [CrossRef]
  14. Berinde, V. On the Stability of Some Fixed Point Procedures. Bul. științific Univ. Baia Mare Ser. Mat. Inform. 2002, XVIII, 7–14. [Google Scholar]
  15. Berinde, V. On the convergence of the Ishikawa iteration in the class of quasi-contractive operators. Acta Math. Univ. Comen. 2004, LXXIII, 119–126. [Google Scholar]
  16. Berinde, V. Iterative Approximation of Fixed Points; Springer: Berlin/Heidelberg, Germany, 2007. [Google Scholar]
  17. Berinde, V. Some remarks on a fixed point theorem for Ciric-type almost contractions. Carpathian J. Math. 2009, 25, 157–162. [Google Scholar]
  18. Debnath, P.; Torres, D.F.M.; Cho, Y.J. Generalized Boyd-Wong-Type Contractions and Related Fixed-Figure Results. In Advanced Mathematical Analysis and Its Applications; Chapman and Hall/CRC: Boca Raton, FL, USA, 2023; pp. 18–26. [Google Scholar]
  19. Mann, W.R. Mean value methods in iteration. Proc. Am. Math. Soc. 1953, 44, 506–510. [Google Scholar] [CrossRef]
  20. Ishikawa, S. Fixed point by a new iteration method. Proc. Am. Math. Soc. 1974, 44, 147–150. [Google Scholar] [CrossRef]
  21. Agarwal, R.P.; O’Regan, D.; Sahu, D.R. It Fixed Point Theory for Lipschitzian Type Mappings with Applications, Topological Fixed Point Theory and Its Applications; Springer: New York, NY, USA, 2009; Volume 6. [Google Scholar]
  22. Thakur, B.S.; Thakur, D.; Postolache, M. A new iterative scheme for numerical reckoning fixed points of Suzuki’s generalized nonexpansive mappings. Appl. Math. Comput. 2016, 275, 147–155. [Google Scholar] [CrossRef]
  23. Botmart, T.; Shaheen, A.; Batool, A.; Etemad, S.; Rezapour, S. A novel scheme of k-step iterations in digital metric spaces. AIMS Math. 2023, 8, 873–886. [Google Scholar] [CrossRef]
Figure 1. 2-adjacent.
Figure 1. 2-adjacent.
Symmetry 16 00368 g001
Figure 2. 4-adjacent and 8-adjacent.
Figure 2. 4-adjacent and 8-adjacent.
Symmetry 16 00368 g002
Figure 3. 6-adjacent, 18-adjacent, and 26-adjacent.
Figure 3. 6-adjacent, 18-adjacent, and 26-adjacent.
Symmetry 16 00368 g003
Figure 4. Graphical presentation of Table 1.
Figure 4. Graphical presentation of Table 1.
Symmetry 16 00368 g004
Figure 5. Madelbrot set.
Figure 5. Madelbrot set.
Symmetry 16 00368 g005
Figure 6. Fractal tree.
Figure 6. Fractal tree.
Symmetry 16 00368 g006
Figure 7. X 0 .
Figure 7. X 0 .
Symmetry 16 00368 g007
Figure 8. X 1 .
Figure 8. X 1 .
Symmetry 16 00368 g008
Figure 9. X 2 .
Figure 9. X 2 .
Symmetry 16 00368 g009
Figure 10. Generators of Sierpinski triangle.
Figure 10. Generators of Sierpinski triangle.
Symmetry 16 00368 g010
Figure 11. Iterations.
Figure 11. Iterations.
Symmetry 16 00368 g011
Table 1. Numerical values obtained for different initial approximations.
Table 1. Numerical values obtained for different initial approximations.
IterationsPicard-SK. UllahAgarwalNoor
00000
15.02083333335.459583333334.041666666673.97569444444
25.84020543985.956979137735.360821759265.31703116962
35.97392241555.999685771455.791379324205.76957706707
45.99574428315.999816700015.931908529435.92225892946
55.99930549065.999973268555.977775700585.97377138650
65.99988665995.999997725995.992746235605.99115087866
75.99998150355.999999806555.997632451905.99701444575
85.99999698155.999999983545.999227258615.99899272099
95.99999950745.999999999865.999747785795.99966015992
105.99999991965.999999999885.999917680095.99988534331
115.99999998695.999999999995.999973131695.99996131664
125.99999999796.000000000005.999991230485.99998694884
135.99999999976.000000000005.999997137735.99999559674
145.99999999996.000000000005.999999065795.99999851441
156.00000000006.000000000005.999999695085.99999949879
166.000000000006.000000000005.999999900485.99999983090
176.000000000006.000000000005.999999967525.99999994295
186.000000000006.000000000005.999999989405.99999998075
196.000000000006.000000000005.999999996545.99999999351
206.000000000006.000000000005.999999998875.99999999781
216.000000000006.000000000005.999999999635.99999999926
226.000000000006.000000000005.999999999885.99999999975
236.000000000006.000000000005.999999999965.99999999992
246.000000000006.000000000005.999999999995.99999999997
256.000000000006.000000000006.000000000005.99999999999
266.000000000006.000000000006.000000000006.00000000000
Table 2. Comparisions of iterative steps.
Table 2. Comparisions of iterative steps.
AlgorithmIterations
Mann48
Ishikawa32
Noor26
Agarwal28
Picard-S15
K.Ullah11
Disclaimer/Publisher’s Note: The statements, opinions and data contained in all publications are solely those of the individual author(s) and contributor(s) and not of MDPI and/or the editor(s). MDPI and/or the editor(s) disclaim responsibility for any injury to people or property resulting from any ideas, methods, instructions or products referred to in the content.

Share and Cite

MDPI and ACS Style

Shaheen, A.; Batool, A.; Ali, A.; Sulami, H.A.; Hussain, A. Recent Developments in Iterative Algorithms for Digital Metrics. Symmetry 2024, 16, 368. https://doi.org/10.3390/sym16030368

AMA Style

Shaheen A, Batool A, Ali A, Sulami HA, Hussain A. Recent Developments in Iterative Algorithms for Digital Metrics. Symmetry. 2024; 16(3):368. https://doi.org/10.3390/sym16030368

Chicago/Turabian Style

Shaheen, Aasma, Afshan Batool, Amjad Ali, Hamed Al Sulami, and Aftab Hussain. 2024. "Recent Developments in Iterative Algorithms for Digital Metrics" Symmetry 16, no. 3: 368. https://doi.org/10.3390/sym16030368

APA Style

Shaheen, A., Batool, A., Ali, A., Sulami, H. A., & Hussain, A. (2024). Recent Developments in Iterative Algorithms for Digital Metrics. Symmetry, 16(3), 368. https://doi.org/10.3390/sym16030368

Note that from the first issue of 2016, this journal uses article numbers instead of page numbers. See further details here.

Article Metrics

Back to TopTop