Temperature-Dependent Phase Variations in Van Der Waals CdPS3 Revealed by Raman Spectroscopy
Abstract
1. Introduction
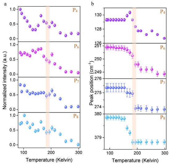
2. Results and Discussions
3. Conclusions
4. Methods
4.1. Material Fabrication
4.2. Optical Characterization
4.3. Electron Microscopy Characterization
Author Contributions
Funding
Data Availability Statement
Acknowledgments
Conflicts of Interest
References
- Manzeli, S.; Ovchinnikov, D.; Pasquier, D.; Yazyev, O.V.; Kis, A. 2D transition metal dichalcogenides. Nat. Rev. Mater. 2017, 2, 17033. [Google Scholar] [CrossRef]
- Novoselov, K.S.; Mishchenko, A.; Carvalho, A.; Castro Neto, A.H. 2D materials and van der Waals heterostructures. Science 2016, 353, aac9439. [Google Scholar] [CrossRef] [PubMed]
- Rahman, S.; Lu, Y. Nano-engineering and nano-manufacturing in 2D materials: Marvels of nanotechnology. Nanoscale Horiz. 2022, 7, 849–872. [Google Scholar] [CrossRef] [PubMed]
- Tebyetekerwa, M.; Zhang, J.; Saji, S.E.; Wibowo, A.A.; Rahman, S.; Truong, T.N.; Lu, Y.; Yin, Z.; Macdonald, D.; Nguyen, H.T. Twist-driven wide freedom of indirect interlayer exciton emission in MoS2/WS2 heterobilayers. Cell Rep. Phys. Sci. 2021, 2, 100509. [Google Scholar] [CrossRef]
- Sun, X.; Zhu, Y.; Qin, H.; Liu, B.; Tang, Y.; Lü, T.; Rahman, S.; Yildirim, T.; Lu, Y. Enhanced interactions of interlayer excitons in free-standing heterobilayers. Nature 2022, 610, 478–484. [Google Scholar] [CrossRef] [PubMed]
- Shanmugam, V.; Mensah, R.A.; Babu, K.; Gawusu, S.; Chanda, A.; Tu, Y.; Neisiany, R.E.; Försth, M.; Sas, G.; Das, O. A Review of the Synthesis, Properties, and Applications of 2D Materials. Part. Part. Syst. Charact. 2022, 39, 2200031. [Google Scholar] [CrossRef]
- Khan, K.; Tareen, A.K.; Aslam, M.; Wang, R.; Zhang, Y.; Mahmood, A.; Ouyang, Z.; Zhang, H.; Guo, Z. Recent developments in emerging two-dimensional materials and their applications. J. Mater. Chem. C 2020, 8, 387–440. [Google Scholar] [CrossRef]
- Healey, A.J.; Rahman, S.; Scholten, S.C.; Robertson, I.O.; Abrahams, G.J.; Dontschuk, N.; Liu, B.; Hollenberg, L.C.L.; Lu, Y.; Tetienne, J.-P. Varied Magnetic Phases in a van der Waals Easy-Plane Antiferromagnet Revealed by Nitrogen-Vacancy Center Microscopy. ACS Nano 2022, 16, 12580–12589. [Google Scholar] [CrossRef]
- Khan, A.R.; Zhang, L.; Ishfaq, K.; Ikram, A.; Yildrim, T.; Liu, B.; Rahman, S.; Lu, Y. Optical Harmonic Generation in 2D Materials. Adv. Funct. Mater. 2022, 32, 2105259. [Google Scholar] [CrossRef]
- Vogl, T.; Doherty, M.W.; Buchler, B.C.; Lu, Y.; Lam, P.K. Atomic localization of quantum emitters in multilayer hexagonal boron nitride. Nanoscale 2019, 11, 14362–14371. [Google Scholar] [CrossRef]
- Pradeep, A.V.; Satya Prasad, S.V.; Suryam, L.V.; Prasanna Kumari, P. A review on 2D materials for bio-applications. Mater. Today Proc. 2019, 19, 380–383. [Google Scholar] [CrossRef]
- Eng, A.Y.S.; Ambrosi, A.; Sofer, Z.; Šimek, P.; Pumera, M. Electrochemistry of Transition Metal Dichalcogenides: Strong Dependence on the Metal-to-Chalcogen Composition and Exfoliation Method. ACS Nano 2014, 8, 12185–12198. [Google Scholar] [CrossRef] [PubMed]
- Zhu, Y.; Li, Z.; Zhang, L.; Wang, B.; Luo, Z.; Long, J.; Yang, J.; Fu, L.; Lu, Y. High-Efficiency Monolayer Molybdenum Ditelluride Light-Emitting Diode and Photodetector. ACS Appl. Mater. Interfaces 2018, 10, 43291–43298. [Google Scholar] [CrossRef] [PubMed]
- Wurdack, M.; Yun, T.; Estrecho, E.; Syed, N.; Bhattacharyya, S.; Pieczarka, M.; Zavabeti, A.; Chen, S.; Haas, B.; Müller, J.; et al. Ultrathin Ga2O3 Glass: A Large-Scale Passivation and Protection Material for Monolayer WS2. Adv. Mater. 2021, 33, 2005732. [Google Scholar] [CrossRef] [PubMed]
- Ambrosi, A.; Chua, C.K.; Latiff, N.M.; Loo, A.H.; Wong, C.H.A.; Eng, A.Y.S.; Bonanni, A.; Pumera, M. Graphene and its electrochemistry—An update. Chem. Soc. Rev. 2016, 45, 2458–2493. [Google Scholar] [CrossRef] [PubMed]
- Wang, X.; Christopher, J.W.; Swan, A.K. 2D Raman band splitting in graphene: Charge screening and lifting of the K-point Kohn anomaly. Sci. Rep. 2017, 7, 13539. [Google Scholar] [CrossRef] [PubMed]
- Brownson, D.A.C.; Munro, L.J.; Kampouris, D.K.; Banks, C.E. Electrochemistry of graphene: Not such a beneficial electrode material? RSC Adv. 2011, 1, 978–988. [Google Scholar] [CrossRef]
- Chia, X.; Eng, A.Y.S.; Ambrosi, A.; Tan, S.M.; Pumera, M. Electrochemistry of Nanostructured Layered Transition-Metal Dichalcogenides. Chem. Rev. 2015, 115, 11941–11966. [Google Scholar] [CrossRef]
- Zhang, X.; Qiao, X.-F.; Shi, W.; Wu, J.-B.; Jiang, D.-S.; Tan, P.-H. Phonon and Raman scattering of two-dimensional transition metal dichalcogenides from monolayer, multilayer to bulk material. Chem. Soc. Rev. 2015, 44, 2757–2785. [Google Scholar] [CrossRef]
- Saito, R.; Tatsumi, Y.; Huang, S.; Ling, X.; Dresselhaus, M.S. Raman spectroscopy of transition metal dichalcogenides. J. Phys. Condens. Matter 2016, 28, 353002. [Google Scholar] [CrossRef]
- Liu, H.; Du, Y.; Deng, Y.; Ye, P.D. Semiconducting black phosphorus: Synthesis, transport properties and electronic applications. Chem. Soc. Rev. 2015, 44, 2732–2743. [Google Scholar] [CrossRef] [PubMed]
- Brec, R. Review on Structural and Chemical Properties of Transition Metal Phosphorous Trisulfides MPS3. Solid State Ion. 1986, 22, 3–30. [Google Scholar] [CrossRef]
- Latiff, N.M.; Mayorga-Martinez, C.C.; Khezri, B.; Szokolova, K.; Sofer, Z.; Fisher, A.C.; Pumera, M. Cytotoxicity of layered metal phosphorus chalcogenides (MPXY) nanoflakes; FePS3, CoPS3, NiPS3. FlatChem 2018, 12, 1–9. [Google Scholar] [CrossRef]
- Chittari, B.L.; Park, Y.; Lee, D.; Han, M.; MacDonald, A.H.; Hwang, E.; Jung, J. Electronic and magnetic properties of single-layer MPX3 metal phosphorous trichalcogenides. Phys. Rev. B 2016, 94, 184428. [Google Scholar] [CrossRef]
- Zhang, X.; Zhao, X.; Wu, D.; Jing, Y.; Zhou, Z. MnPSe3 Monolayer: A Promising 2D Visible-Light Photohydrolytic Catalyst with High Carrier Mobility. Adv. Sci. 2016, 3, 1600062. [Google Scholar] [CrossRef]
- Brec, R.; Ouvrard, G.; Rouxel, J. Relationship between structure parameters and chemical properties in some MPS3 layered phases. Mater. Res. Bull. 1985, 20, 1257–1263. [Google Scholar] [CrossRef]
- Rahman, S.; Yildirim, T.; Tebyetekerwa, M.; Khan, A.R.; Lu, Y. Extraordinary Nonlinear Optical Interaction from Strained Nanostructures in van der Waals CuInP2S6. ACS Nano 2022, 16, 13959–13968. [Google Scholar] [CrossRef]
- Rahman, S.; Liu, B.; Wang, B.; Tang, Y.; Lu, Y. Giant Photoluminescence Enhancement and Resonant Charge Transfer in Atomically Thin Two-Dimensional Cr2Ge2Te6/WS2 Heterostructures. ACS Appl. Mater. Interfaces 2021, 13, 7423–7433. [Google Scholar] [CrossRef]
- Frindt, R.F.; Yang, D.; Westreich, P. Exfoliated single molecular layers of Mn0.8PS3 and Cd0.8PS3. J. Mater. Res. 2005, 20, 1107–1112. [Google Scholar] [CrossRef]
- Kuzminskii, Y.V.; Voronin, B.M.; Redin, N.N. Iron and nickel phosphorus trisulfides as electroactive materials for primary lithium batteries. J. Power Sources 1995, 55, 133–141. [Google Scholar] [CrossRef]
- Liang, Q.; Zheng, Y.; Du, C.; Luo, Y.; Zhang, J.; Li, B.; Zong, Y.; Yan, Q. General and Scalable Solid-State Synthesis of 2D MPS3 (M = Fe, Co, Ni) Nanosheets and Tuning Their Li/Na Storage Properties. Small Methods 2017, 1, 1700304. [Google Scholar] [CrossRef]
- Ismail, N.; Madian, M.; El-Meligi, A.A. Synthesis of NiPS3 and CoPS and its hydrogen storage capacity. J. Alloys Compd. 2014, 588, 573–577. [Google Scholar] [CrossRef]
- Byvik, C.E.; Smith, B.T.; Reichman, B. Layered transition metal thiophosphates (MPX3) as photoelectrodes in photoelectrochemical cells. Sol. Energy Mater. 1982, 7, 213–223. [Google Scholar] [CrossRef]
- Du, K.-Z.; Wang, X.-Z.; Liu, Y.; Hu, P.; Utama, M.I.B.; Gan, C.K.; Xiong, Q.; Kloc, C. Weak Van der Waals Stacking, Wide-Range Band Gap, and Raman Study on Ultrathin Layers of Metal Phosphorus Trichalcogenides. ACS Nano 2016, 10, 1738–1743. [Google Scholar] [CrossRef] [PubMed]
- Tedeschi, D.; Blundo, E.; Felici, M.; Pettinari, G.; Liu, B.; Yildrim, T.; Petroni, E.; Zhang, C.; Zhu, Y.; Sennato, S.; et al. Controlled Micro/Nanodome Formation in Proton-Irradiated Bulk Transition-Metal Dichalcogenides. Adv. Mater. 2019, 31, 1903795. [Google Scholar] [CrossRef] [PubMed]
- Wang, F.; Shifa, T.A.; Yu, P.; He, P.; Liu, Y.; Wang, F.; Wang, Z.; Zhan, X.; Lou, X.; Xia, F.; et al. New Frontiers on van der Waals Layered Metal Phosphorous Trichalcogenides. Adv. Funct. Mater. 2018, 28, 1802151. [Google Scholar] [CrossRef]
- Le Flem, G.; Brec, R.; Ouvard, G.; Louisy, A.; Segransan, P. Magnetic interactions in the layer compounds MPX3 (M = Mn, Fe, Ni; X = S, Se). J. Phys. Chem. Solids 1982, 43, 455–461. [Google Scholar] [CrossRef]
- Lee, J.-U.; Lee, S.; Ryoo, J.H.; Kang, S.; Kim, T.Y.; Kim, P.; Park, C.-H.; Park, J.-G.; Cheong, H. Ising-Type Magnetic Ordering in Atomically Thin FePS3. Nano Lett. 2016, 16, 7433–7438. [Google Scholar] [CrossRef]
- Kim, K.; Lim, S.Y.; Lee, J.-U.; Lee, S.; Kim, T.Y.; Park, K.; Jeon, G.S.; Park, C.-H.; Park, J.-G.; Cheong, H. Suppression of magnetic ordering in XXZ-type antiferromagnetic monolayer NiPS3. Nat. Commun. 2019, 10, 345. [Google Scholar] [CrossRef]
- Rahman, S.; Torres, J.F.; Khan, A.R.; Lu, Y. Recent Developments in van der Waals Antiferromagnetic 2D Materials: Synthesis, Characterization, and Device Implementation. ACS Nano 2021, 15, 17175–17213. [Google Scholar] [CrossRef]
- Oliva, R.; Ritov, E.; Horani, F.; Etxebarria, I.; Budniak, A.K.; Amouyal, Y.; Lifshitz, E.; Guennou, M. Lattice dynamics and in-plane antiferromagnetism in MnxZn1-xPS3 across the entire composition range. Phys. Rev. B 2023, 107, 104415. [Google Scholar] [CrossRef]
- Kim, K.; Lim, S.Y.; Kim, J.; Lee, J.-U.; Lee, S.; Kim, P.; Park, K.; Son, S.; Park, C.-H.; Park, J.-G.; et al. Antiferromagnetic ordering in van der Waals 2D magnetic material MnPS3 probed by Raman spectroscopy. 2D Mater. 2019, 6, 041001. [Google Scholar] [CrossRef]
- Liu, P.; Xu, Z.; Huang, H.; Li, J.; Feng, C.; Huang, M.; Zhu, M.; Wang, Z.; Zhang, Z.; Hou, D.; et al. Exploring the magnetic ordering in atomically thin antiferromagnetic MnPSe3 by Raman spectroscopy. J. Alloys Compd. 2020, 828, 154432. [Google Scholar] [CrossRef]
- Mayorga-Martinez, C.C.; Sofer, Z.; Sedmidubský, D.; Huber, Š.; Eng, A.Y.S.; Pumera, M. Layered Metal Thiophosphite Materials: Magnetic, Electrochemical, and Electronic Properties. ACS Appl. Mater. Interfaces 2017, 9, 12563–12573. [Google Scholar] [CrossRef]
- Lifshitz, E.; Francis, A.H.; Clarke, R. An ESR and X-ray diffraction study of a first-order phase transition in CdPS3. Solid State Commun. 1983, 45, 273–276. [Google Scholar] [CrossRef]
- Niu, M.; Cheng, H.; Li, X.; Yu, J.; Yang, X.; Gao, Y.; Liu, R.; Cao, Y.; He, K.; Xie, X.; et al. Pressure-induced phase transitions in weak interlayer coupling CdPS3. Appl. Phys. Lett. 2022, 120, 233104. [Google Scholar] [CrossRef]
- Qian, X.; Chen, L.; Yin, L.; Liu, Z.; Pei, S.; Li, F.; Hou, G.; Chen, S.; Song, L.; Thebo, K.H.; et al. CdPS3 nanosheets-based membrane with high proton conductivity enabled by Cd vacancies. Science 2020, 370, 596–600. [Google Scholar] [CrossRef]
- Shakoor, A.; Hussain, F.; Hassan, N.; Majid, A.; Bhatti, M.T.; Siddique, H. A density functional theory study of Raman modes of cadmium hexathiohypodiphosphate (CdPS). Mater. Sci.-Pol. 2015, 33, 286–291. [Google Scholar] [CrossRef]
- Boucher, F.; Evain, M.; Brec, R. Phase transition upon d10 Cd2+ ordering in CdPS3. Acta Crystallogr. Sect. B-Struct. Sci. 1995, 51, 952–961. [Google Scholar] [CrossRef]
- Sekine, T.; Ohmamiuda, A.; Tanokura, Y.; Makimura, C.; Kurosawa, K. Raman-Scattering Study of Structural Phase Transition in Layered Compound CdPS3. J. Phys. Soc. Jpn. 1993, 62, 800–807. [Google Scholar] [CrossRef]
- Covino, J.; Dragovich, P.; Lowe-Ma, C.K.; Kubin, R.F.; Schwartz, R.W. Synthesis and characterization of stoichiometric CdPS3. Mater. Res. Bull. 1985, 20, 1099–1107. [Google Scholar] [CrossRef]
- Hangyo, M.; Nakashima, S.; Mitsuishi, A.; Kurosawa, K.; Saito, S. Raman spectra of MnPS3 intercalated with pyridine. Solid State Commun. 1988, 65, 419–423. [Google Scholar] [CrossRef]
- Kuo, C.-T.; Neumann, M.; Balamurugan, K.; Park, H.J.; Kang, S.; Shiu, H.W.; Kang, J.H.; Hong, B.H.; Han, M.; Noh, T.W.; et al. Exfoliation and Raman Spectroscopic Fingerprint of Few-Layer NiPS3 Van der Waals Crystals. Sci. Rep. 2016, 6, 20904. [Google Scholar] [CrossRef] [PubMed]
- Mathey, Y.; Clement, R.; Sourisseau, C.; Lucazeau, G. Vibrational study of layered MPX3 compounds and of some intercalates with Co(.eta.5-C5H5)2+ or Cr(.eta.6-C6H6)2+. Inorg. Chem. 1980, 19, 2773–2779. [Google Scholar] [CrossRef]
- Cao, Q.; Dai, Y.-W.; Xu, J.; Chen, L.; Zhu, H.; Sun, Q.-Q.; Zhang, D.W. Realizing Stable p-Type Transporting in Two-Dimensional WS2 Films. ACS Appl. Mater. Interfaces 2017, 9, 18215–18221. [Google Scholar] [CrossRef] [PubMed]
- Xiong, Y.; Xu, D.; Feng, Y.; Zhang, G.; Lin, P.; Chen, X. P-Type 2D Semiconductors for Future Electronics. Adv. Mater. 2023, 35, 2206939. [Google Scholar] [CrossRef] [PubMed]
- Jenjeti, R.N.; Kumar, R.; Austeria, M.P.; Sampath, S. Field Effect Transistor Based on Layered NiPS3. Sci. Rep. 2018, 8, 8586. [Google Scholar] [CrossRef]
- Rahman, S.; Othman NA, F.; Hatta SW, M.; Soin, N. Optimization of Graded AlInN/AlN/GaN HEMT Device Performance Based on Quaternary Back Barrier for High Power Application. ECS J. Solid State Sci. Technol. 2017, 6, P805. [Google Scholar] [CrossRef]
- Rahman, S.; Hatta SW, M.; Soin, N. Analytical Optimization of AlGaN/GaN/AlGaN DH-HEMT Device Performance Based on Buffer Characteristics. ECS J. Solid State Sci. Technol. 2019, 8, P165. [Google Scholar] [CrossRef]
- Lu, Z.; Neupane, G.P.; Jia, G.; Zhao, H.; Qi, D.; Du, Y.; Lu, Y.; Yin, Z. 2D Materials Based on Main Group Element Compounds: Phases, Synthesis, Characterization, and Applications. Adv. Funct. Mater. 2020, 30, 2001127. [Google Scholar] [CrossRef]




Disclaimer/Publisher’s Note: The statements, opinions and data contained in all publications are solely those of the individual author(s) and contributor(s) and not of MDPI and/or the editor(s). MDPI and/or the editor(s) disclaim responsibility for any injury to people or property resulting from any ideas, methods, instructions or products referred to in the content. |
© 2024 by the authors. Licensee MDPI, Basel, Switzerland. This article is an open access article distributed under the terms and conditions of the Creative Commons Attribution (CC BY) license (https://creativecommons.org/licenses/by/4.0/).
Share and Cite
Rahman, S.; Ngyuen, H.; Macdonald, D.; Lu, Y. Temperature-Dependent Phase Variations in Van Der Waals CdPS3 Revealed by Raman Spectroscopy. Symmetry 2024, 16, 140. https://doi.org/10.3390/sym16020140
Rahman S, Ngyuen H, Macdonald D, Lu Y. Temperature-Dependent Phase Variations in Van Der Waals CdPS3 Revealed by Raman Spectroscopy. Symmetry. 2024; 16(2):140. https://doi.org/10.3390/sym16020140
Chicago/Turabian StyleRahman, Sharidya, Hieu Ngyuen, Daniel Macdonald, and Yuerui Lu. 2024. "Temperature-Dependent Phase Variations in Van Der Waals CdPS3 Revealed by Raman Spectroscopy" Symmetry 16, no. 2: 140. https://doi.org/10.3390/sym16020140
APA StyleRahman, S., Ngyuen, H., Macdonald, D., & Lu, Y. (2024). Temperature-Dependent Phase Variations in Van Der Waals CdPS3 Revealed by Raman Spectroscopy. Symmetry, 16(2), 140. https://doi.org/10.3390/sym16020140

