Robust Harmonic Fuzzy Partition Local Information C-Means Clustering for Image Segmentation
Abstract
1. Introduction
- The new concept of generalized harmonic fuzzy sets is defined for the first time, and on this basis, the concept of symmetric harmonic fuzzy partition is proposed.
- On the basis of existing robust fuzzy local information clustering for noisy image segmentation, a harmonic fuzzy local information C-means clustering algorithm is proposed through extension. The convergence of the proposed clustering algorithm is rigorously analyzed using Zangwill’s theorem and the bordered Hessian matrix theorem.
- For images with high noise, two improved algorithms, IHLICM and KWHLICM, are proposed to improve the HLICM algorithm by using the idea of the KWFLICM algorithm.
- The experimental results indicate that the proposed harmonic fuzzy clustering correlation algorithms are superior to the existing state-of-the-art robust fuzzy clustering correlation algorithms.
2. Related Work
2.1. Fuzzy Sets and Fuzzy Partition
- (a)
- if and only if , ;
- (b)
- if and only if , ;
- (c)
- is the complement of , if and only if , ;
- (d)
- if and only if , ;
- (e)
- if and only if , .
- (a)
- , ;
- (b)
- , .
- (a)
- For any , there is at least one such that ;
- (b)
- For any , is continuous on ;
- (c)
- For any , there is at least one such that ;
- (d)
- For any , if for , then is non-decreasing on , and is non-increasing on ;
- (e)
- holds for .
2.2. Fuzzy Partition-Related Clustering
2.3. Robust Fuzzy Clustering with Local Information
- s.t. (a) ; (b) ; (c) .
- with the fuzzy local information factor .
- s.t. (a) ; (b) ; (c) .
- where the improved fuzzy local information factor is defined as
3. Proposed Clustering Algorithm
3.1. New Harmonic Fuzzy Set Theory
- (a)
- if and only if , ;
- (b)
- if and only if , ;
- (c)
- is the standard complement of , if and only if , ;
- (d)
- if and only if , ;
- (e)
- if and only if , .
- (a)
- Standard harmonic fuzzy complement operator , ;
- (b)
- Yager’s harmonic fuzzy complement operator is first constructed as , ;
- (c)
- Sugeno’s harmonic fuzzy complement operator , .
- (a)
- if and only if or , ;
- (b)
- if and only if , ;
- (c)
- if and only if the generalized harmonic fuzzy set is having lesser overall fuzziness than the generalized harmonic fuzzy set .
- (a)
- ;
- (b)
- (a)
- ;
- (b)
- ;
- (c)
- If , then ;
- (d)
- If , , then and .
- (a)
- ;
- (b)
- .
3.2. Harmonic Fuzzy Partition
- (1)
- If , ;
- (2)
- If , , ;
- (3)
- If , .
3.3. Modeling of Harmonic Fuzzy Clustering
- s.t. (a) ; (b) ; (c) .
- where is the fuzzy weighting exponential which affects the fuzziness of the clustering structure. denotes the harmonic fuzzy membership degree of each sample belonging to different classes.
3.3.1. Robust Harmonic Fuzzy Clustering with Local Information
- s.t. (a) ; (b) ; (c) .
- where is the fuzzy weighting exponent and represents the harmonic fuzzy membership of each sample belonging to different categories.
- Solution
- 2.
- Solution
| Algorithm 1 Harmonic fuzzy local information C-means clustering |
| Input Dataset X = {x1, x2,…, xn}, where is the number of samples. |
| Output and the clustering center matrix . |
| Initialization Set algorithm stopping error , set the maximum number of iterations of the algorithm , initialize the clustering center , set the number of iterations , and set the size of neighborhood window . |
| Repeat using Equation (39); using Equation (41); or the number of iterations of the algorithm , the algorithm ends; Otherwise, |
| End Algorithm is over. |
3.3.2. Harmonic Fuzzy Clustering with Weighted Local Information
- s.t. (a) ; (b) ; (c) .
- where is the fuzzy weighting exponent, which defaults to the range of [5, 10] and denotes the harmonic fuzzy membership of each sample belonging to different categories.
3.3.3. Robust Kernelized Harmonic Fuzzy Clustering with Local Information
- s.t. (a) ; (b) ; (c)
- where is the fuzzy weighting exponent, which defaults to the range of [5, 10], denotes the harmonic fuzzy membership of each sample belonging to different categories, and the kernel weighted harmonic fuzzy local information factor is defined as follows:
3.4. Algorithm Convergence Analysis
- (1)
- If all leading principle minors , , have the sign , then is a local minimum point of function subject to the constraints .
- (2)
- If the signs of all leading principle minors , , are alternated, the sign of being that of then is a local minimum point of functions subject to the constraints .
- (3)
- If neither the conditions of (1) nor those of (2) are satisfied, then is not a local extreme point of function subject to the constraints . Here, the case in which one or several leading principal minors have a value of zero is not considered a violation of conditions (1) or (2).
4. Experimental Results and Analysis
4.1. Evaluation Indicators
4.1.1. Peak Signal-to-Noise Ratio (PSNR) [65]
4.1.2. Segmentation Accuracy (SA) [57]
4.1.3. Mean Intersection over Union (mIoU) [66]
4.1.4. Accuracy (Acc), Sensitivity (Sen), the Jaccard Coefficient, and the DICE [67]
4.1.5. The Kappa Coefficient [67]
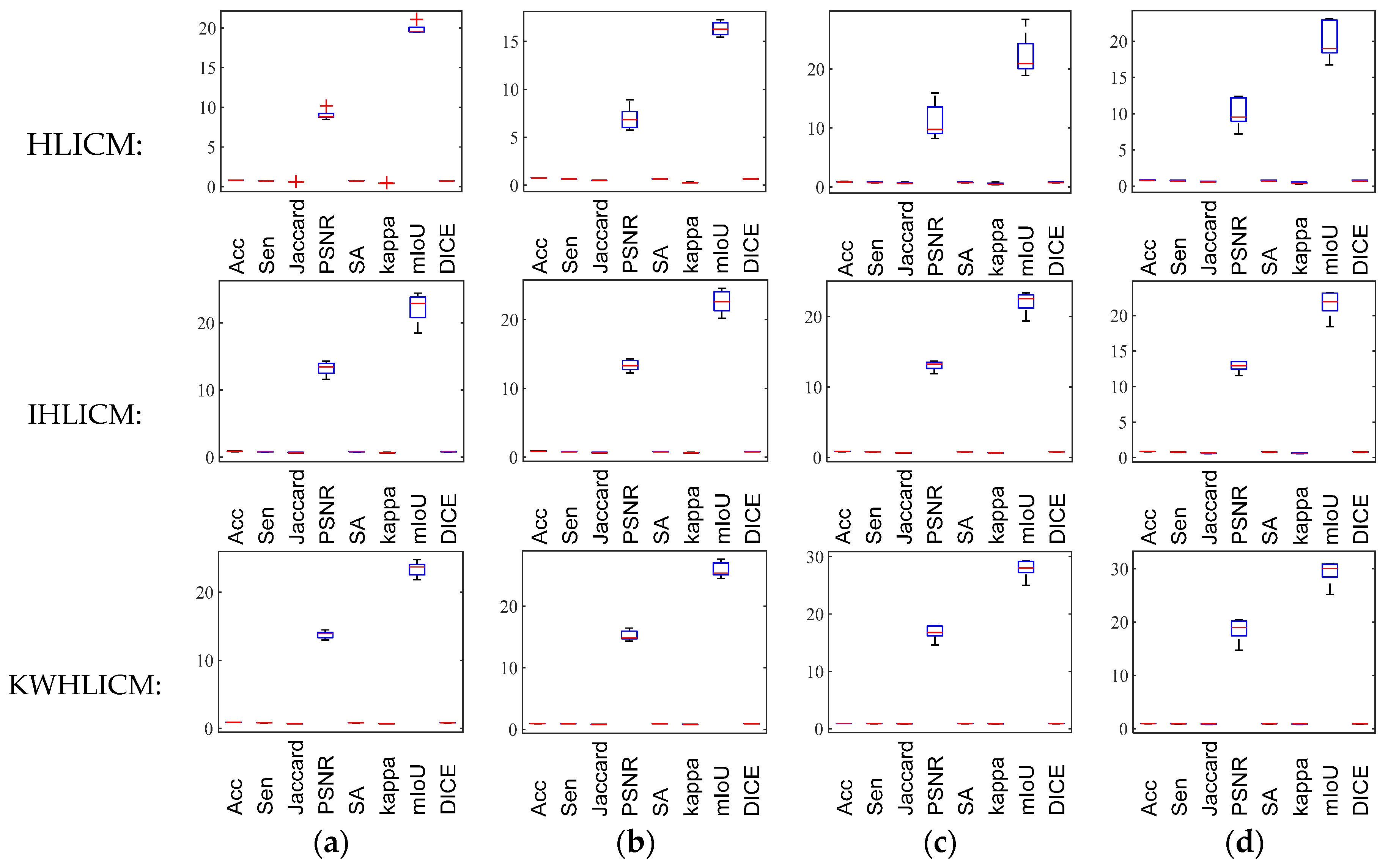
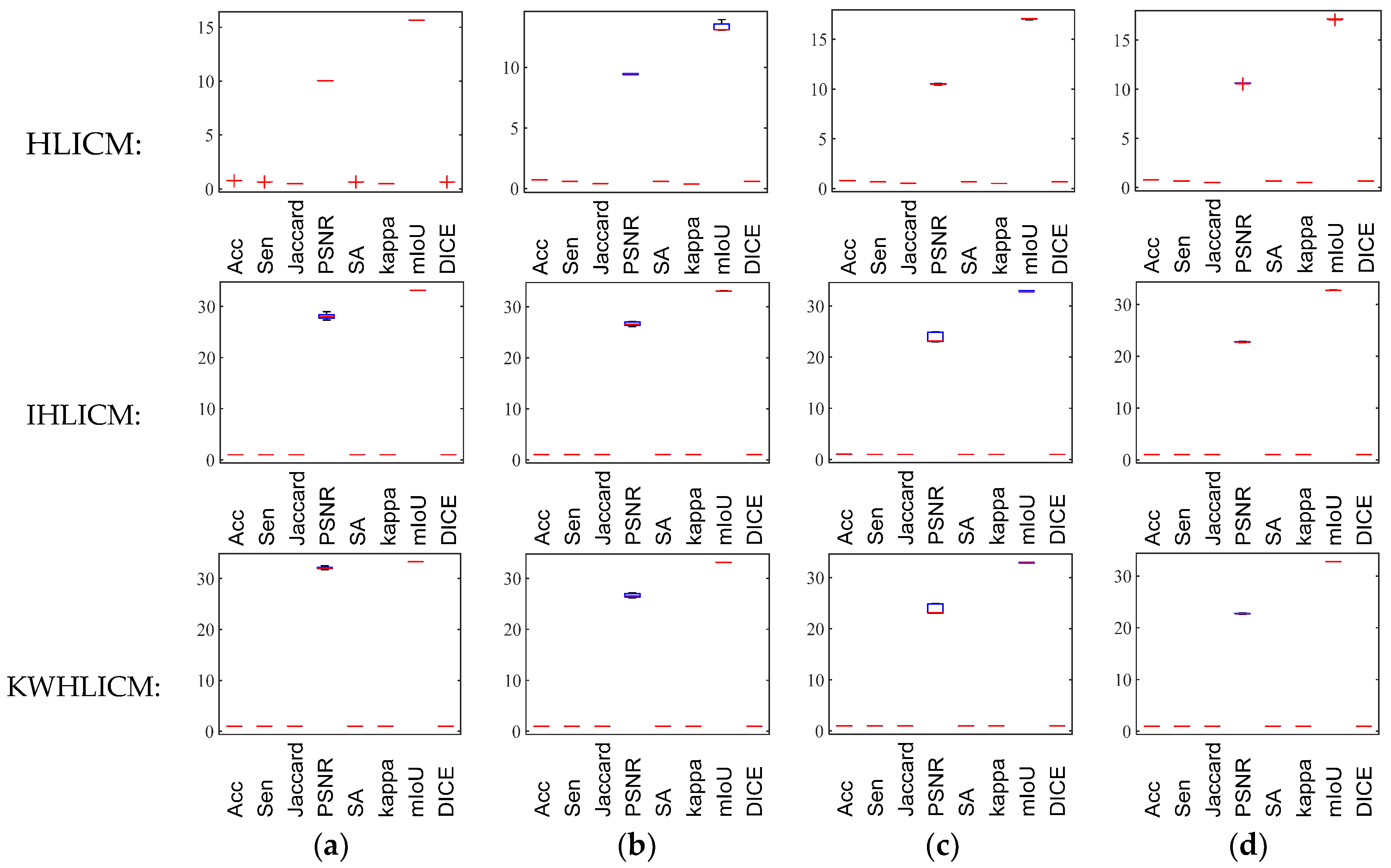
4.2. Test and Analysis of Algorithm Robustness
4.2.1. Synthetic Images
4.2.2. Natural Images
4.2.3. Remote Sensing Images
4.2.4. Medical Images
4.3. Testing and Analyzing the Effect of Noise Intensity on Algorithm Performance
4.4. Analysis and Testing of Algorithm Complexity
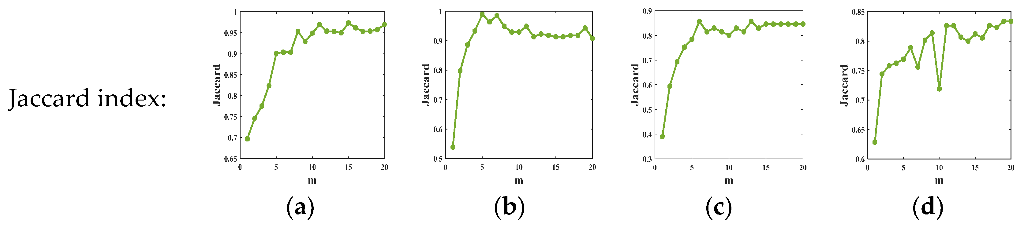
4.5. Impact of Neighborhood Size on Algorithm Performance
4.5.1. Impact Testing of Neighborhood Window Size on HLICM
4.5.2. Impact Testing of Window Size on IHLICM
4.5.3. Impact Testing of Window Size on KWHLICM
4.6. Impact of the Fuzzy Weighting Exponent on Algorithm Performance
4.6.1. Fuzzy Weighting Exponent in HCM
4.6.2. The Fuzzy Weighting Exponent in the HLICM, IHLICM, and KWHLICM Algorithms
4.7. Impact of Initial Clustering Centers on Algorithm Performance
4.8. Testing of the Algorithms’ Generalization Performance
4.9. Testing and Analysis of the Algorithms for Color Image
4.10. Statistical Comparisons by the Friedman Test
4.11. Algorithm Convergence Test
5. Conclusions and Outlook
- (1)
- The use of harmonic fuzzy partition to constrain fuzzy membership of all the algorithms;
- (2)
- In the proposed algorithm, sample clustering is performed by using harmonic fuzzy membership and neighborhood information of pixels;
- (3)
- The fuzzy membership degree in the proposed algorithm has a value range of , which is only supported by the harmonic fuzzy set theory proposed in this paper.
Author Contributions
Funding
Data Availability Statement
Acknowledgments
Conflicts of Interest
References
- Schaefer, A.; Scolaro, T.P.; Ghisi, E.E. Cluster analysis applied to obtaining reference models for building thermal performance studies. J. Build. Eng. 2024, 89, 109273. [Google Scholar] [CrossRef]
- Lee, M.; Hwang, S.; Park, Y.; Choi, B. Factors affecting bike-sharing system demand by inferred trip purpose: Integration of clustering of travel patterns and geospatial data analysis. Int. J. Sustain. Transp. 2022, 16, 847–860. [Google Scholar] [CrossRef]
- Yang, P.; Zhu, L.; Zhang, Y.; Ma, C.; Liu, L.; Yu, X.; Hu, W. On the relative value of clustering techniques for Unsupervised Effort-Aware Defect Prediction. Expert Syst. Appl. 2024, 245, 123041. [Google Scholar] [CrossRef]
- Taylor, H.H.; Bremner, A.J. Cluster kinds and the developmental origins of consciousness. Trends Cognit. Sci. 2024, 28, 586–587. [Google Scholar] [CrossRef]
- Yan, X.; Shi, K.; Ye, Y.; Yu, H. Deep correlation mining for multi-task image clustering. Expert Syst. Appl. 2022, 187, 115973. [Google Scholar] [CrossRef]
- Choi, S.; Lim, H.; Lim, J.; Yoon, S. Retrofit building energy performance evaluation using an energy signature-based symbolic hierarchical clustering method. Build. Environ. 2024, 251, 111206. [Google Scholar] [CrossRef]
- Gong, H.; Zhang, S.; Zhang, X.; Chen, Y. A method for chromatin domain partitioning based on hypergraph clustering. Comput. Struct. Biotec. 2024, 23, 1584–1593. [Google Scholar] [CrossRef]
- Mo, W.; Ni, S.; Zhou, M.; Wen, J.; Qi, D.; Huang, J.; Yang, Y.; Xu, Y.; Wang, X.; Zhao, Z. An electron density clustering based adaptive segmentation method for protein Raman spectrum calculation. Spectrochim. Acta A 2024, 314, 124155. [Google Scholar] [CrossRef] [PubMed]
- Laclau, C.; Nadif, M. Hard and fuzzy diagonal co-clustering for document-term partitioning. Neurocomputing 2016, 193, 133–147. [Google Scholar] [CrossRef]
- Zhi, X.; Fan, J.; Zhao, F. Robust local feature weighting hard c-means clustering algorithm. Neurocomputing 2014, 134, 20–29. [Google Scholar] [CrossRef]
- Ferreira, M.R.P.; Carvalho, F.A.T.; Simões, E.C. Kernel-based hard clustering methods with kernelization of the metric and automatic weighting of the variables. Pattern Recognit. 2016, 51, 310–321. [Google Scholar] [CrossRef]
- Dunn, J.C. A fuzzy relative of the ISODATA process and its use in detecting compact well separated clusters. J. Cybern. 1973, 3, 32–57. [Google Scholar] [CrossRef]
- Cardone, B.; Martino, F.D.; Senatore, S. Real estate price estimation through a fuzzy partition-driven genetic algorithm. Inf. Sci. 2024, 667, 120442. [Google Scholar] [CrossRef]
- Bezdek, J.C. Cluster validity with fuzzy sets. Cybernet. Syst. 1973, 3, 58–73. [Google Scholar] [CrossRef]
- Wu, J.; Wang, X.; Wei, T.; Fang, C. Full-parameter adaptive fuzzy clustering for noise image segmentation based on non-local and local spatial information. Comput. Vis. Image Underst. 2023, 235, 103765. [Google Scholar] [CrossRef]
- Mújica-Vargas, D.; Gallegos-Funes, F.; Rosales-Silva, A.J. A fuzzy clustering algorithm with spatial robust estimation constraint for noisy color image segmentation. Pattern Recogn. Lett. 2013, 34, 400–413. [Google Scholar] [CrossRef]
- Ahmed, M.N.; Yamany, S.M.; Mohamed, N.; Farag, A.A.; Moriarty, T. A modified fuzzy c-means algorithm for bias field estimation and segmentation of MRI data. IEEE Trans. Med. Imaging 2002, 21, 193–199. [Google Scholar] [CrossRef]
- Chen, S.; Zhang, D. Robust image segmentation using FCM with spatial constraints based on new kernel-induced distance measure. IEEE Trans. Syst. Man Cybern. Part B Cybern. 2004, 34, 1907–1916. [Google Scholar] [CrossRef]
- Szilagyi, L.; Benyo, Z.; Szilagyi, S.M.; Adam, H.S. MR brain image segmentation using an enhanced fuzzy C-means algorithm. In Proceedings of the Annual International Conference of the IEEE Engineering in Medicine and Biology Society(EMBC), Cancun, Mexico, 17–21 September 2003; pp. 17–21. [Google Scholar]
- Cai, W.; Chen, S.; Zhang, D. Fast and robust fuzzy c-means clustering algorithms incorporating local information for image segmentation. Pattern Recogn. 2007, 40, 825–838. [Google Scholar] [CrossRef]
- Krinidis, S.; Chatzis, V. A robust fuzzy local information C-means clustering algorithm. IEEE Trans. Image Process. 2010, 19, 1328–1337. [Google Scholar] [CrossRef]
- Li, Z.; Zheng, Z. Fuzzy C-mean clustering based on improved local information for MR image segmentation. Autom. Appl. 2024, 65, 225–228. [Google Scholar]
- Gong, M.; Liang, Y.; Shi, J.; Ma, W.; Ma, J. Fuzzy C-means clustering with local information and kernel metric for image segmentation. IEEE Trans. Image Process. 2013, 22, 573–584. [Google Scholar] [CrossRef] [PubMed]
- Leszczyński, K.; Penczek, P.; Grochulski, W. Sugeno’s fuzzy measure and fuzzy clustering. Fuzzy Sets Syst. 1985, 15, 147–158. [Google Scholar] [CrossRef]
- Li, J.J.; Zhang, L.; Yao, T.S. Convergence analysis of the GLCA algorithm. J. Comp. Res. Dev. 1999, 36, 978–981. [Google Scholar]
- Leski, J.M. Generalized weighted conditional fuzzy clustering. IEEE Trans. Fuzzy Syst. 2003, 11, 709–715. [Google Scholar] [CrossRef]
- Zadeh, L.A. Similarity relations and fuzzy ordering. Inf. Sci. 1971, 3, 177–200. [Google Scholar] [CrossRef]
- Huang, W.; Zhang, F.; Wang, S.; Kong, F. A novel knowledge-based similarity measure on intuitionistic fuzzy sets and its applications in pattern recognition. Expert Syst. Appl. 2024, 249, 123835. [Google Scholar] [CrossRef]
- Ruspini, E.H. A new approach to clustering. Inf. Control. 1969, 15, 22–32. [Google Scholar] [CrossRef]
- Ruspini, E.H. New experimental results in fuzzy clustering. Inf. Sci. 1973, 6, 273–284. [Google Scholar] [CrossRef]
- Pan, X.; Xu, Y. Redefinition of the concept of fuzzy set based on vague partition from the perspective of axiomatization. Soft Comput. 2018, 22, 1777–1789. [Google Scholar] [CrossRef]
- Mesiar, R.; Rybátrik, J. Entropy of fuzzy partitions: A general model. Fuzzy Sets Syst. 1998, 99, 73–79. [Google Scholar] [CrossRef]
- Torra1, V.; JurÍo, A.; Bustince, H.; Aliahmadipour, L. Fuzzy sets in clustering: On fuzzy partitions. Advances in Intelligent Systems and Computing. In Proceedings of the International Conference on Intelligent and Fuzzy Systems, INFUS 2019, Istanbul, Turkey, 23–25 July 2019; Springer: Cham, Switzerland, 2019; Volume 1029, pp. 7–14. [Google Scholar]
- Bezdek, J.C.; Harris, J.D. Fuzzy partitions and relations; an axiomatic basis for clustering. Fuzzy Sets Syst. 1978, 1, 111–127. [Google Scholar] [CrossRef]
- Torra, I.; Miyamoto, S. A definition for I-fuzzy partitions. Soft Comput. 2011, 15, 363–369. [Google Scholar] [CrossRef]
- Wang, J.; Chung, F.; Wang, S.; Deng, Z. Double indices-induced FCM clustering and its integration with fuzzy subspace clustering. Pattern Analysis Appl. 2014, 17, 549–566. [Google Scholar] [CrossRef]
- Zhu, J.; Li, K.; Xia, K.; Gu, X.; Xue, J.; Qiu, S.; Jiang, Y.; Qian, P. A novel double-index-constrained, multi-view, fuzzy-clustering algorithm and its application for detecting epilepsy electroencephalogram signals. IEEE Access 2019, 7, 103823–103832. [Google Scholar] [CrossRef]
- Zhang, X.; Juan, A.; Tauler, R. Local rank-based spatial information for improvement of remote sensing hyperspectral imaging resolution. Talanta 2016, 146, 1–9. [Google Scholar] [CrossRef]
- Siriapisith, T.; Kusakunniran, W.; Haddawy, P. Pyramid graph cut: Integrating intensity and gradient information for grayscale medical image segmentation. Comput. Biol. Med. 2020, 126, 103997. [Google Scholar] [CrossRef]
- Wu, C.; Zhang, X. A novel kernelized total Bregman divergence-based fuzzy clustering with local information for image segmentation. Int. J. Approx. Reason 2021, 136, 281–305. [Google Scholar] [CrossRef]
- Memon, K.H.; Lee, D.H. Generalised kernel weighted fuzzy C-means clustering algorithm with local information. Fuzzy Sets Syst. 2018, 340, 91–108. [Google Scholar] [CrossRef]
- Nik-Khorasani, A.; Mehrizi, A.; Sadoghi-Yazd, H. Robust hybrid learning approach for adaptive neuro-fuzzy inference systems. Fuzzy Sets Syst. 2024, 481, 108890. [Google Scholar] [CrossRef]
- Zadeh, L.A. Fuzzy sets. Inf. Control 1965, 8, 338–353. [Google Scholar] [CrossRef]
- Aggarwal, M. Redefining fuzzy entropy with a general framework. Expert Syst. Appl. 2021, 164, 113671. [Google Scholar] [CrossRef]
- Marín, N.; Rivas-Gervilla, G.; Sánchez, D.; Yager, R.R. Specificity measures based on fuzzy set similarity. Fuzzy Sets Syst. 2020, 401, 189–199. [Google Scholar] [CrossRef]
- Li, J.; Deng, G.; Li, H.; Zeng, W. The relationship between similarity measure and entropy of intuitionistic fuzzy sets. Inf. Sci. 2012, 188, 314–321. [Google Scholar] [CrossRef]
- Nagoev, Z.; Pshenokova, I.; Bzhikhatlov, K.; Kankulov, S.; Atalikov, B. Multi-agent neurocognitive architecture of an intelligent agent pattern recognition system. Procedia Comput. Sci. 2022, 213, 504–509. [Google Scholar] [CrossRef]
- Wu, C.; Li, M. Generalized multiplicative fuzzy possibilistic product partition C-means clustering. Inf. Sci. 2024, 670, 120588. [Google Scholar] [CrossRef]
- Xu, Z. Priority weight intervals derived from intuitionistic multiplicative preference. IEEE Trans. Fuzzy Syst. 2013, 21, 642–654. [Google Scholar]
- Chen, J.; Zhu, J.; Jiang, H.; Yang, H.; Nie, F. Sparsity fuzzy C-means clustering with principal component analysis embedding. IEEE Trans. Fuzzy Syst. 2023, 31, 2099–2111. [Google Scholar] [CrossRef]
- Li, H.; Wei, M. Fuzzy clustering based on feature weights for multivariate time series. Knowl. Based Syst. 2020, 197, 105907. [Google Scholar] [CrossRef]
- Saha, A.; Das, S. Stronger convergence results for the center-based fuzzy clustering with convex divergence measure. IEEE Trans. Cybern. 2019, 49, 4229–4242. [Google Scholar] [CrossRef]
- Bezdek, J.C. A convergence theorem for the fuzzy ISODATA clustering algorithms. IEEE Trans. on Pattern Anal. Mach. Intell. 1980, 2, 1–8. [Google Scholar] [CrossRef] [PubMed]
- Yang, M.S. Convergence properties of the generalized fuzzy C-means clustering algorithms. Comput. Math. Appl. 1993, 25, 3–11. [Google Scholar] [CrossRef]
- Gröll, L.; Jäkel, J. A new convergence proof of fuzzy C-means. IEEE Trans. Fuzzy Syst. 2005, 13, 717–720. [Google Scholar] [CrossRef]
- Tian, Y.; Yang, M.S. Bias-correction fuzzy clustering algorithms. Inf. Sci. 2015, 309, 138–162. [Google Scholar]
- Gao, Y.; Wang, Z.; Xie, J.; Pan, J. A new robust fuzzy c-means clustering method based on adaptive elastic distance. Knowl. Based Syst. 2022, 237, 107769. [Google Scholar] [CrossRef]
- Zhang, X.; Sun, Y.; Liu, H.; Hou, Z.; Zhao, F.; Zhang, C. Improved clustering algorithms for image segmentation based on non-local information and back projection. Inf. Sci. 2021, 550, 129–144. [Google Scholar] [CrossRef]
- Zhang, H.; Li, H.; Chen, N.; Chen, S.; Liu, J. Novel fuzzy clustering algorithm with variable multi-pixel fitting spatial information for image segmentation. Pattern Recogn. 2022, 121, 108201. [Google Scholar] [CrossRef]
- Ghosh, S.; Hazarika, A.P.; Chandra, A.; Mudi, R.K. Adaptive neighbor constrained deviation sparse variant fuzzy C-means clustering for brain MRI of AD subject. Visual Inf. 2021, 5, 67–80. [Google Scholar] [CrossRef]
- Tang, Y.; Ren, F.; Pedrycz, W. Fuzzy C-Means clustering through SSIM and patch for image segmentation. Appl. Soft Comput. 2020, 87, 105928. [Google Scholar] [CrossRef]
- Wang, Q.; Wang, X.; Fang, C.; Yang, W. Robust fuzzy c-means clustering algorithm with adaptive spatial & intensity constraint and membership linking for noise image segmentation. Appl. Soft Comput. 2020, 92, 106318. [Google Scholar]
- Wei, T.; Wang, X.; Li, X.; Zhu, S. Fuzzy subspace clustering noisy image segmentation algorithm with adaptive local variance non-local information and mean membership linking. Eng. Appl. Artifi. Intell. 2022, 110, 104672. [Google Scholar] [CrossRef]
- José-García, A.; Gómez-Flores, W. CVIK: A Matlab-based cluster validity index toolbox for automatic data clustering. SoftwareX 2023, 22, 101359. [Google Scholar] [CrossRef]
- Wang, Q.; Wang, X.; Fang, C.; Jiao, J. Fuzzy image clustering incorporating local and region-level information with median memberships. Appl. Soft Comput. 2021, 105, 107245. [Google Scholar] [CrossRef]
- Gharieb, R.R.; Gendy, G.; Selim, H. A hard C-means clustering algorithm incorporating membership KL divergence and local data information for noisy image segmentation. Int. J. Pattern Recogn. 2018, 32, 1850012. [Google Scholar] [CrossRef]
- Zheng, X.; Chen, T. High spatial resolution remote sensing image segmentation based on the multiclassification model and the binary classification model. Neural Comput. Appl. 2023, 35, 3597–3604. [Google Scholar] [CrossRef]
- Available online: https://www2.eecs.berkeley.edu/Research/Projects/CS/vision/grouping/resources.html (accessed on 10 March 2024.).
- Visual Object Classes Challenge 2012 (VOC2012). Available online: http://host.robots.ox.ac.uk/pascal/VOC/voc2012/index.html (accessed on 12 March 2024).
- UC Merced Land Use Dataset. Available online: http://weegee.vision.ucmerced.edu/datasets/landuse.html (accessed on 14 March 2024).
- Brain Tumor MRI Dataset. Available online: https://www.kaggle.com/datasets/masoudnickparvar/brain-tumor-mri-dataset (accessed on 16 March 2024).
- Hu, L.; Pan, X.; Tan, Z.; Luo, X. A fast fuzzy clustering algorithm for complex networks via a generalized momentum method. IEEE Trans. Fuzzy Syst. 2022, 30, 3473–3485. [Google Scholar] [CrossRef]
- Zhang, X.; Dai, L. Fast bilateral filtering. Electron. Lett. 2019, 55, 258–260. [Google Scholar] [CrossRef]
- Pal, N.R.; Bezdek, J.C. On clustering validity for the fuzzy C-means model. IEEE Trans. Fuzzy Syst. 1955, 3, 370–379. [Google Scholar] [CrossRef]
- Wu, C.; Guo, X. A novel single fuzzifier interval type-2 fuzzy C-means clustering with local information for land-cover segmentation. IEEE J. Sel. Top. Appl. Earth Obs. Remote Sens. 2021, 14, 5903–5917. [Google Scholar] [CrossRef]
- Demšar, J. Statistical comparisons of classifiers over multiple data sets. J. Mach. Learn. Res. 2006, 7, 1–30. [Google Scholar]
- Bhattacharya, A.; Pal, M. A fuzzy graph theory approach to the facility location problem: A case study in the Indian banking system. Mathematics 2023, 11, 2992. [Google Scholar] [CrossRef]
- Pal, M.; Jana, C.; Bhattacharya, A. Fundamentals of Fuzzy Optimization and Decision-Making Problems; Springer: Cham, Switzerland, 2023; pp. 1–30. [Google Scholar]
- Bhattacharya, A.; Pal, M. Prediction on nature of cancer by fuzzy graphoidal covering number using artificial neural network. Artif. Intell. Med. 2024, 148, 102783. [Google Scholar] [CrossRef] [PubMed]
- Li, K.; Ni, T.; Xue, J.; Jiang, Y. Deep soft clustering: Simultaneous deep embedding and soft-partition clustering. J. Amb. Intell. Hum. Comp. 2023, 14, 5581–5593. [Google Scholar] [CrossRef]







































| Image | Algorithm | Acc | Sen | Jaccard | PSNR | SA | Kappa | mIoU | DICE |
|---|---|---|---|---|---|---|---|---|---|
| Figure 3a + RN(80) | ARFCM | 0.6673 | 0.501 | 0.3342 | 8.5511 | 0.501 | 0.2973 | 11.1393 | 0.501 |
| FLICMLNLI | 0.9808 | 0.9712 | 0.944 | 21.437 | 0.9712 | 0.9539 | 31.4661 | 0.9712 | |
| FCM_VMF | 0.5678 | 0.3516 | 0.2133 | 7.3093 | 0.3516 | 0.0346 | 7.111 | 0.3516 | |
| DSFCM_N | 0.6787 | 0.5181 | 0.3496 | 9.2906 | 0.5181 | 0.3578 | 11.6542 | 0.5181 | |
| KWFLICM | 0.9937 | 0.9906 | 0.9813 | 26.2168 | 0.9906 | 0.9849 | 32.7095 | 0.9906 | |
| PFLSCM | 0.988 | 0.9819 | 0.9645 | 23.3581 | 0.9819 | 0.9713 | 32.1502 | 0.9819 | |
| FCM_SICM | 0.9793 | 0.9689 | 0.9396 | 21.2332 | 0.9689 | 0.9511 | 31.321 | 0.9689 | |
| FSC_LNML | 0.9803 | 0.9704 | 0.9426 | 21.2592 | 0.9704 | 0.953 | 31.4195 | 0.9704 | |
| FLICM | 0.9928 | 0.9892 | 0.9787 | 25.6239 | 0.9892 | 0.9828 | 32.6226 | 0.9892 | |
| HLICM | 0.5902 | 0.3854 | 0.2387 | 7.5407 | 0.3854 | 0.1477 | 7.9558 | 0.3854 | |
| IHLICM | 0.9914 | 0.9871 | 0.9746 | 25.0162 | 0.9871 | 0.9795 | 32.4868 | 0.9871 | |
| KWHLICM | 0.9946 | 0.992 | 0.9841 | 26.9084 | 0.992 | 0.9872 | 32.8021 | 0.992 | |
| Figure 3b + GN(0, 0.1) | ARFCM | 0.7701 | 0.7221 | 0.4223 | 12.4469 | 0.5043 | 0.3984 | 11.239 | 0.5939 |
| FLICMLNLI | 0.8876 | 0.9746 | 0.6688 | 18.9598 | 0.6806 | 0.5796 | 17.196 | 0.8015 | |
| FCM_VMF | 0.7177 | 0.6096 | 0.3345 | 4.9834 | 0.4257 | 0.2299 | 9.0141 | 0.5013 | |
| DSFCM_N | 0.6667 | 0.5 | 0.2588 | 10.2282 | 0.3492 | 0.2582 | 7.0511 | 0.4112 | |
| KWFLICM | 0.8966 | 0.9938 | 0.6911 | 22.6226 | 0.694 | 0.5962 | 17.7149 | 0.8173 | |
| PFLSCM | 0.8963 | 0.9933 | 0.6905 | 22.6854 | 0.6937 | 0.5958 | 17.7012 | 0.8169 | |
| FCM_SICM | 0.8954 | 0.9912 | 0.688 | 20.8113 | 0.6922 | 0.5895 | 17.6434 | 0.8152 | |
| FSC_LNML | 0.8926 | 0.9852 | 0.681 | 21.641 | 0.688 | 0.5882 | 17.481 | 0.8102 | |
| FLICM | 0.8938 | 0.9878 | 0.6841 | 21.0176 | 0.6899 | 0.5885 | 17.552 | 0.8124 | |
| HLICM | 0.4431 | 0.0199 | 0.0083 | 2.467 | 0.0139 | 0.3469 | 0.2333 | 0.0164 | |
| IHLICM | 0.9923 | 0.9885 | 0.9772 | 22.8343 | 0.9885 | 0.9827 | 32.5731 | 0.9885 | |
| KWHLICM | 0.999 | 0.9985 | 0.997 | 29.6905 | 0.9985 | 0.9977 | 33.2318 | 0.9985 | |
| Figure 3c + SPN(0.2) | ARFCM | 0.7889 | 0.6834 | 0.519 | 10.4928 | 0.6834 | 0.5153 | 17.3007 | 0.6834 |
| FLICMLNLI | 0.7883 | 0.6825 | 0.518 | 5.2762 | 0.6825 | 0.5176 | 17.2669 | 0.6825 | |
| FCM_VMF | 0.7418 | 0.6127 | 0.4417 | 9.0293 | 0.6127 | 0.4084 | 14.7226 | 0.6127 | |
| DSFCM_N | 0.9945 | 0.9918 | 0.9836 | 26.8906 | 0.9918 | 0.9876 | 32.7879 | 0.9918 | |
| KWFLICM | 0.9954 | 0.9931 | 0.9862 | 23.8601 | 0.9931 | 0.9896 | 32.8736 | 0.9931 | |
| PFLSCM | 0.9922 | 0.9884 | 0.9770 | 21.768 | 0.9884 | 0.9825 | 32.5664 | 0.9884 | |
| FCM_SICM | 0.9896 | 0.9843 | 0.9691 | 23.8148 | 0.9843 | 0.9765 | 32.3046 | 0.9843 | |
| FSC_LNML | 0.9915 | 0.9872 | 0.9747 | 24.9698 | 0.9872 | 0.9808 | 32.49 | 0.9872 | |
| FLICM | 0.9365 | 0.9047 | 0.8260 | 16.1069 | 0.9047 | 0.8575 | 27.5323 | 0.9047 | |
| HLICM | 0.3421 | 0.0132 | 0.0066 | 2.2015 | 0.0132 | 0.4843 | 0.2211 | 0.0132 | |
| IHLICM | 0.8928 | 0.9938 | 0.6799 | 22.0172 | 0.6828 | 0.5844 | 17.2772 | 0.8094 | |
| KWHLICM | 0.9974 | 0.9962 | 0.9923 | 28.3798 | 0.9962 | 0.9942 | 33.0781 | 0.9962 | |
| Figure 3d + SN(0.2) | ARFCM | 0.8624 | 0.7248 | 0.5684 | 12.4959 | 0.7248 | 0.5005 | 14.2102 | 0.7248 |
| FLICMLNLI | 0.8724 | 0.7448 | 0.5934 | 9.2425 | 0.7448 | 0.6128 | 14.834 | 0.7448 | |
| FCM_VMF | 0.8692 | 0.7384 | 0.5853 | 9.5715 | 0.7384 | 0.5829 | 14.6329 | 0.7384 | |
| DSFCM_N | 0.9288 | 0.8576 | 0.7507 | 16.5031 | 0.8576 | 0.7746 | 18.7673 | 0.8576 | |
| KWFLICM | 0.9474 | 0.8948 | 0.8097 | 19.1373 | 0.8948 | 0.8387 | 20.2421 | 0.8948 | |
| PFLSCM | 0.9098 | 0.8197 | 0.6945 | 16.2311 | 0.8197 | 0.7056 | 17.3613 | 0.8197 | |
| FCM_SICM | 0.8865 | 0.7729 | 0.6299 | 15.8017 | 0.7729 | 0.66 | 15.7477 | 0.7729 | |
| FSC_LNML | 0.9573 | 0.9145 | 0.8425 | 22.6646 | 0.9145 | 0.8664 | 21.0621 | 0.9145 | |
| FLICM | 0.9233 | 0.8466 | 0.7339 | 18.4919 | 0.8466 | 0.7704 | 18.3485 | 0.8466 | |
| HLICM | 0.5539 | 0.1077 | 0.0569 | 3.504 | 0.1077 | 0.138 | 1.4233 | 0.1077 | |
| IHLICM | 0.9368 | 0.8736 | 0.7756 | 18.0537 | 0.8736 | 0.7879 | 19.3901 | 0.8736 | |
| KWHLICM | 0.9658 | 0.9316 | 0.872 | 20.9993 | 0.9316 | 0.8926 | 21.8009 | 0.9316 |
| Image | Algorithm | Acc | Sen | Jaccard | PSNR | SA | Kappa | mIoU | DICE |
|---|---|---|---|---|---|---|---|---|---|
| 35010 + GN(0, 0.1) | ARFCM | 0.8071 | 0.7107 | 0.5512 | 9.7139 | 0.7107 | 0.5357 | 18.3738 | 0.7107 |
| FLICMLNLI | 0.879 | 0.8185 | 0.6928 | 13.1209 | 0.8185 | 0.7268 | 23.0924 | 0.8185 | |
| FCM_VMF | 0.6083 | 0.4125 | 0.2599 | 3.886 | 0.4125 | 0.0399 | 8.6619 | 0.4125 | |
| DSFCM_N | 0.9416 | 0.9123 | 0.8388 | 16.4171 | 0.9123 | 0.8656 | 27.9603 | 0.9123 | |
| KWFLICM | 0.9217 | 0.8826 | 0.7898 | 14.8158 | 0.8826 | 0.8213 | 26.3282 | 0.8826 | |
| PFLSCM | 0.9359 | 0.9038 | 0.8245 | 16.2609 | 0.9038 | 0.8525 | 27.4819 | 0.9038 | |
| FCM_SICM | 0.8672 | 0.8007 | 0.6677 | 12.8065 | 0.8007 | 0.6992 | 22.2559 | 0.8007 | |
| FSC_LNML | 0.9054 | 0.8582 | 0.7516 | 13.986 | 0.8582 | 0.7831 | 25.052 | 0.8582 | |
| FLICM | 0.8984 | 0.8475 | 0.7354 | 14.1298 | 0.8475 | 0.7709 | 24.5143 | 0.8475 | |
| HLICM | 0.6619 | 0.4928 | 0.327 | 8.8141 | 0.4928 | 0.228 | 10.8985 | 0.4928 | |
| IHLICM | 0.9333 | 0.8999 | 0.818 | 15.9346 | 0.8999 | 0.8484 | 27.2667 | 0.8999 | |
| KWHLICM | 0.9426 | 0.914 | 0.8416 | 16.6862 | 0.914 | 0.8694 | 28.0524 | 0.914 | |
| 2007_000738 + GN(0, 0.1) | ARFCM | 0.8456 | 0.7684 | 0.624 | 11.7094 | 0.7684 | 0.6417 | 20.7985 | 0.7684 |
| FLICMLNLI | 0.9496 | 0.9244 | 0.8594 | 16.5232 | 0.9244 | 0.8858 | 28.6478 | 0.9244 | |
| FCM_VMF | 0.5614 | 0.3421 | 0.2064 | 3.7281 | 0.3421 | 0.0047 | 6.8784 | 0.3421 | |
| DSFCM_N | 0.8134 | 0.7201 | 0.5626 | 11.5132 | 0.7201 | 0.5601 | 18.7527 | 0.7201 | |
| KWFLICM | 0.9524 | 0.9286 | 0.8667 | 16.8869 | 0.9286 | 0.8917 | 28.8896 | 0.9286 | |
| PFLSCM | 0.9539 | 0.9308 | 0.8706 | 17.7253 | 0.9308 | 0.8954 | 29.0215 | 0.9308 | |
| FCM_SICM | 0.9412 | 0.9118 | 0.8379 | 16.0725 | 0.9118 | 0.866 | 27.929 | 0.9118 | |
| FSC_LNML | 0.9518 | 0.9277 | 0.8652 | 16.734 | 0.9277 | 0.8903 | 28.839 | 0.9277 | |
| FLICM | 0.9487 | 0.923 | 0.857 | 16.7076 | 0.923 | 0.8834 | 28.566 | 0.923 | |
| HLICM | 0.713 | 0.5695 | 0.3981 | 9.4704 | 0.5695 | 0.3391 | 13.2694 | 0.5695 | |
| IHLICM | 0.9408 | 0.9112 | 0.8368 | 16.4846 | 0.9112 | 0.8668 | 27.8941 | 0.9112 | |
| KWHLICM | 0.9592 | 0.9388 | 0.8847 | 18.0792 | 0.9388 | 0.9078 | 29.4916 | 0.9388 | |
| 2009_003974 + SPN(0.3) | ARFCM | 0.9331 | 0.9331 | 0.8746 | 11.7456 | 0.9331 | 0.8473 | 43.7294 | 0.9331 |
| FLICMLNLI | 0.7359 | 0.7359 | 0.5822 | 5.7823 | 0.7359 | 0.2075 | 29.1076 | 0.7359 | |
| FCM_VMF | 0.8383 | 0.8383 | 0.7216 | 7.9127 | 0.8383 | 0.6381 | 36.0802 | 0.8383 | |
| DSFCM_N | 0.9716 | 0.9716 | 0.9448 | 15.4732 | 0.9716 | 0.9355 | 47.2424 | 0.9716 | |
| KWFLICM | 0.9809 | 0.9809 | 0.9626 | 17.1941 | 0.9809 | 0.9559 | 48.1277 | 0.9809 | |
| PFLSCM | 0.9523 | 0.9523 | 0.9089 | 13.2147 | 0.9523 | 0.8908 | 45.447 | 0.9523 | |
| FCM_SICM | 0.9654 | 0.9654 | 0.9331 | 14.6104 | 0.9654 | 0.9216 | 46.6565 | 0.9654 | |
| FSC_LNML | 0.9791 | 0.9791 | 0.959 | 16.7933 | 0.9791 | 0.9513 | 47.9504 | 0.9791 | |
| FLICM | 0.9627 | 0.9627 | 0.928 | 14.2793 | 0.9627 | 0.9156 | 46.4012 | 0.9627 | |
| HLICM | 0.9587 | 0.9587 | 0.9206 | 13.8372 | 0.9587 | 0.9041 | 46.0309 | 0.9587 | |
| IHLICM | 0.9779 | 0.9779 | 0.9567 | 16.5499 | 0.9779 | 0.9486 | 47.8348 | 0.9779 | |
| KWHLICM | 0.9824 | 0.9824 | 0.9654 | 17.539 | 0.9824 | 0.9591 | 48.2681 | 0.9824 | |
| 2007_003330 + SPN(0.3) | ARFCM | 0.7441 | 0.6161 | 0.4452 | 6.8606 | 0.6161 | 0.2414 | 14.8401 | 0.6161 |
| FLICMLNLI | 0.4389 | 0.1583 | 0.086 | 2.6778 | 0.1583 | 0.0797 | 2.8659 | 0.1583 | |
| FCM_VMF | 0.5663 | 0.3495 | 0.2117 | 7.8681 | 0.3495 | 0.136 | 7.0578 | 0.3495 | |
| DSFCM_N | 0.8804 | 0.8206 | 0.6957 | 13.4025 | 0.8206 | 0.7106 | 23.1903 | 0.8206 | |
| KWFLICM | 0.8942 | 0.8313 | 0.7117 | 13.4062 | 0.8313 | 0.7205 | 24.0562 | 0.8313 | |
| PFLSCM | 0.7245 | 0.5868 | 0.4152 | 9.0832 | 0.5868 | 0.2914 | 13.8393 | 0.5868 | |
| FCM_SICM | 0.8343 | 0.7515 | 0.6019 | 11.92 | 0.7515 | 0.6019 | 20.0634 | 0.7515 | |
| FSC_LNML | 0.8334 | 0.75 | 0.6001 | 11.6917 | 0.75 | 0.6072 | 20.0017 | 0.75 | |
| FLICM | 0.6228 | 0.4342 | 0.2773 | 8.2936 | 0.4342 | 0.2558 | 9.2436 | 0.4342 | |
| HLICM | 0.5408 | 0.3112 | 0.1843 | 7.0116 | 0.3112 | 0.1161 | 6.1429 | 0.3112 | |
| IHLICM | 0.8913 | 0.8369 | 0.7196 | 13.4113 | 0.8369 | 0.7212 | 23.9863 | 0.8369 | |
| KWHLICM | 0.91 | 0.865 | 0.7622 | 14.371 | 0.865 | 0.7754 | 25.4052 | 0.865 |
| Image | Algorithm | Acc | Sen | Jaccard | PSNR | SA | Kappa | mIoU | DICE |
|---|---|---|---|---|---|---|---|---|---|
| buildings69 + SN(0.2) | ARFCM | 0.6864 | 0.5295 | 0.3601 | 7.7277 | 0.5295 | 0.2995 | 12.0035 | 0.5295 |
| FLICMLNLI | 0.7429 | 0.6143 | 0.4433 | 9.5792 | 0.6143 | 0.4146 | 14.7778 | 0.6143 | |
| FCM_VMF | 0.5672 | 0.3508 | 0.2127 | 7.8796 | 0.3508 | 0.023 | 7.091 | 0.3508 | |
| DSFCM_N | 0.8233 | 0.7349 | 0.5809 | 11.603 | 0.7349 | 0.6034 | 19.3644 | 0.7349 | |
| KWFLICM | 0.8097 | 0.7146 | 0.5559 | 11.4341 | 0.7146 | 0.5696 | 18.5312 | 0.7146 | |
| PFLSCM | 0.7758 | 0.6637 | 0.4966 | 9.9682 | 0.6637 | 0.4971 | 16.5544 | 0.6637 | |
| FCM_SICM | 0.782 | 0.673 | 0.5072 | 9.949 | 0.673 | 0.5126 | 16.9066 | 0.673 | |
| FSC_LNML | 0.7873 | 0.6809 | 0.5162 | 10.9229 | 0.6809 | 0.5184 | 17.2059 | 0.6809 | |
| FLICM | 0.7943 | 0.6914 | 0.5284 | 11.0962 | 0.6914 | 0.5334 | 17.6131 | 0.6914 | |
| HLICM | 0.527 | 0.2905 | 0.1699 | 4.6904 | 0.2905 | 0.0755 | 5.6633 | 0.2905 | |
| IHLICM | 0.6965 | 0.5448 | 0.3743 | 9.3695 | 0.5448 | 0.3168 | 12.4779 | 0.5448 | |
| KWHLICM | 0.8267 | 0.7401 | 0.5874 | 11.6808 | 0.7401 | 0.6094 | 19.5808 | 0.7401 | |
| tenniscourt95 + SN(0.2) | ARFCM | 0.6902 | 0.5353 | 0.3655 | 9.1703 | 0.5353 | 0.3213 | 12.182 | 0.5353 |
| FLICMLNLI | 0.9519 | 0.9278 | 0.8653 | 17.0663 | 0.9278 | 0.8577 | 28.8447 | 0.9278 | |
| FCM_VMF | 0.548 | 0.322 | 0.1919 | 7.2992 | 0.322 | 0.1678 | 6.3963 | 0.322 | |
| DSFCM_N | 0.5571 | 0.3357 | 0.2017 | 7.9079 | 0.3357 | 0.2106 | 6.723 | 0.3357 | |
| KWFLICM | 0.9542 | 0.9314 | 0.8715 | 17.5641 | 0.9314 | 0.8575 | 29.0516 | 0.9314 | |
| PFLSCM | 0.7513 | 0.6269 | 0.4565 | 10.3653 | 0.6269 | 0.4455 | 15.2183 | 0.6269 | |
| FCM_SICM | 0.9607 | 0.941 | 0.8886 | 18.2487 | 0.941 | 0.8771 | 29.6188 | 0.941 | |
| FSC_LNML | 0.9693 | 0.954 | 0.9121 | 19.3537 | 0.954 | 0.9056 | 30.4021 | 0.954 | |
| FLICM | 0.5647 | 0.347 | 0.2099 | 8.0035 | 0.347 | 0.1758 | 6.9974 | 0.347 | |
| HLICM | 0.5433 | 0.3149 | 0.1869 | 7.5337 | 0.3149 | 0.1772 | 6.229 | 0.3149 | |
| IHLICM | 0.8934 | 0.8401 | 0.7242 | 13.8614 | 0.8401 | 0.6497 | 24.1415 | 0.8401 | |
| KWHLICM | 0.9707 | 0.956 | 0.9157 | 19.5066 | 0.956 | 0.9097 | 30.5232 | 0.956 | |
| storagetanks42 + SPN(0.4) | ARFCM | 0.7013 | 0.5519 | 0.3811 | 7.1462 | 0.5519 | 0.178 | 12.7038 | 0.5519 |
| FLICMLNLI | 0.5905 | 0.3858 | 0.239 | 3.0518 | 0.3858 | 0.2223 | 7.9657 | 0.3858 | |
| FCM_VMF | 0.7182 | 0.5774 | 0.4058 | 9.6883 | 0.5774 | 0.267 | 13.528 | 0.5774 | |
| DSFCM_N | 0.8015 | 0.7023 | 0.5412 | 10.6572 | 0.7023 | 0.5443 | 18.0396 | 0.7023 | |
| KWFLICM | 0.9145 | 0.8718 | 0.7727 | 12.0773 | 0.8718 | 0.7832 | 25.7568 | 0.8718 | |
| PFLSCM | 0.7302 | 0.5953 | 0.4238 | 8.0759 | 0.5953 | 0.4086 | 14.1271 | 0.5953 | |
| FCM_SICM | 0.6502 | 0.4753 | 0.3117 | 8.0735 | 0.4753 | 0.2375 | 10.3897 | 0.4753 | |
| FSC_LNML | 0.7775 | 0.6662 | 0.4995 | 10.1503 | 0.6662 | 0.4959 | 16.6491 | 0.6662 | |
| FLICM | 0.4582 | 0.1873 | 0.1033 | 6.2131 | 0.1873 | 0.1096 | 3.4439 | 0.1873 | |
| HLICM | 0.4845 | 0.2268 | 0.1279 | 6.8809 | 0.2268 | 0.1515 | 4.2636 | 0.2268 | |
| IHLICM | 0.8344 | 0.7516 | 0.602 | 11.7069 | 0.7516 | 0.5862 | 20.0678 | 0.7516 | |
| KWHLICM | 0.9187 | 0.878 | 0.7826 | 12.2518 | 0.878 | 0.7958 | 26.0855 | 0.878 | |
| runway22 + SPN(0.4) | ARFCM | 0.6441 | 0.4661 | 0.3039 | 7.6938 | 0.4661 | 0.1317 | 10.1287 | 0.4661 |
| FLICMLNLI | 0.4776 | 0.2165 | 0.1214 | 3.4518 | 0.2165 | 0.0048 | 4.0455 | 0.2165 | |
| FCM_VMF | 0.4977 | 0.2466 | 0.1406 | 3.6175 | 0.2466 | 0.0388 | 4.688 | 0.2466 | |
| DSFCM_N | 0.9033 | 0.8549 | 0.7466 | 14.0114 | 0.8549 | 0.7759 | 24.8875 | 0.8549 | |
| KWFLICM | 0.934 | 0.901 | 0.8198 | 13.6366 | 0.901 | 0.8476 | 27.3262 | 0.901 | |
| PFLSCM | 0.7454 | 0.6181 | 0.4473 | 8.3616 | 0.6181 | 0.4375 | 14.9095 | 0.6181 | |
| FCM_SICM | 0.8067 | 0.71 | 0.5504 | 8.3693 | 0.71 | 0.5678 | 18.3477 | 0.71 | |
| FSC_LNML | 0.8454 | 0.768 | 0.6234 | 11.2611 | 0.768 | 0.6391 | 20.7808 | 0.768 | |
| FLICM | 0.4353 | 0.1529 | 0.0828 | 3.8178 | 0.1529 | 0.2488 | 2.7594 | 0.1529 | |
| HLICM | 0.6178 | 0.4267 | 0.2712 | 6.4005 | 0.4267 | 0.1023 | 9.0416 | 0.4267 | |
| IHLICM | 0.8736 | 0.8104 | 0.6813 | 13.2393 | 0.8104 | 0.6918 | 22.7091 | 0.8104 | |
| KWHLICM | 0.9366 | 0.905 | 0.8264 | 14.5244 | 0.905 | 0.8539 | 27.5469 | 0.905 |
| Image | Algorithm | Acc | Sen | Jaccard | PSNR | SA | Kappa | mIoU | DICE |
|---|---|---|---|---|---|---|---|---|---|
| Tr-me_ 0180 + RN(80) | ARFCM | 0.8089 | 0.7134 | 0.5544 | 11.0986 | 0.7134 | 0.5777 | 18.481 | 0.7134 |
| FLICMLNLI | 0.869 | 0.8036 | 0.6716 | 12.9467 | 0.8036 | 0.6929 | 22.3873 | 0.8036 | |
| FCM_VMF | 0.5256 | 0.2885 | 0.1685 | 4.8038 | 0.2885 | 0.0528 | 5.618 | 0.2885 | |
| DSFCM_N | 0.9296 | 0.8944 | 0.809 | 15.7027 | 0.8944 | 0.8343 | 26.9663 | 0.8944 | |
| KWFLICM | 0.9368 | 0.9052 | 0.8269 | 16.0956 | 0.9052 | 0.8487 | 27.5619 | 0.9052 | |
| PFLSCM | 0.8279 | 0.7419 | 0.5897 | 11.8537 | 0.7419 | 0.6183 | 19.6554 | 0.7419 | |
| FCM_SICM | 0.9275 | 0.8912 | 0.8037 | 15.5499 | 0.8912 | 0.8261 | 26.7907 | 0.8912 | |
| FSC_LNML | 0.9353 | 0.9029 | 0.823 | 16.0768 | 0.9029 | 0.8438 | 27.4346 | 0.9029 | |
| FLICM | 0.519 | 0.2785 | 0.1618 | 7.1822 | 0.2785 | 0.0242 | 5.3927 | 0.2785 | |
| HLICM | 0.6549 | 0.4823 | 0.3178 | 8.6043 | 0.4823 | 0.3064 | 10.5927 | 0.4823 | |
| IHLICM | 0.9388 | 0.9083 | 0.8319 | 16.3982 | 0.9083 | 0.8481 | 27.731 | 0.9083 | |
| KWHLICM | 0.9494 | 0.9241 | 0.8589 | 17.1511 | 0.9241 | 0.8782 | 28.6309 | 0.9241 | |
| Te-no_ 0013 + RN(90) | ARFCM | 0.7977 | 0.6965 | 0.5343 | 10.3466 | 0.6965 | 0.4949 | 17.811 | 0.6965 |
| FLICMLNLI | 0.7946 | 0.6919 | 0.5289 | 10.9236 | 0.6919 | 0.4889 | 17.6306 | 0.6919 | |
| FCM_VMF | 0.4321 | 0.1482 | 0.08 | 3.3136 | 0.1482 | 0.0272 | 2.6673 | 0.1482 | |
| DSFCM_N | 0.6493 | 0.4739 | 0.3106 | 8.5867 | 0.4739 | 0.2995 | 10.3524 | 0.4739 | |
| KWFLICM | 0.859 | 0.7884 | 0.6508 | 12.6522 | 0.7884 | 0.6064 | 21.6926 | 0.7884 | |
| PFLSCM | 0.7539 | 0.6308 | 0.4607 | 10.1671 | 0.6308 | 0.4521 | 15.3577 | 0.6308 | |
| FCM_SICM | 0.8704 | 0.8055 | 0.6744 | 13.0409 | 0.8055 | 0.6793 | 22.4799 | 0.8055 | |
| FSC_LNML | 0.838 | 0.757 | 0.609 | 12.0918 | 0.757 | 0.6167 | 20.2996 | 0.757 | |
| FLICM | 0.4315 | 0.1472 | 0.0795 | 5.9744 | 0.1472 | 0.4162 | 2.6484 | 0.1472 | |
| HLICM | 0.621 | 0.4316 | 0.2752 | 7.9845 | 0.4316 | 0.2397 | 9.1717 | 0.4316 | |
| IHLICM | 0.8536 | 0.7804 | 0.6399 | 12.6573 | 0.7804 | 0.6222 | 21.3286 | 0.7804 | |
| KWHLICM | 0.9009 | 0.8514 | 0.7412 | 14.2151 | 0.8514 | 0.757 | 24.7082 | 0.8514 | |
| 37 no + GN(0, 0.1) | ARFCM | 0.8391 | 0.7586 | 0.6111 | 10.7429 | 0.7586 | 0.5924 | 20.3684 | 0.7586 |
| FLICMLNLI | 0.9226 | 0.8838 | 0.7918 | 14.3431 | 0.8838 | 0.7997 | 26.395 | 0.8838 | |
| FCM_VMF | 0.5679 | 0.3519 | 0.2135 | 5.4027 | 0.3519 | 0.1204 | 7.1161 | 0.3519 | |
| DSFCM_N | 0.809 | 0.7135 | 0.5546 | 10.6189 | 0.7135 | 0.5205 | 18.4869 | 0.7135 | |
| KWFLICM | 0.9356 | 0.9035 | 0.8239 | 15.5901 | 0.9035 | 0.8283 | 27.4647 | 0.9035 | |
| PFLSCM | 0.9456 | 0.9184 | 0.8491 | 16.813 | 0.9184 | 0.8565 | 28.3044 | 0.9184 | |
| FCM_SICM | 0.9253 | 0.888 | 0.7985 | 15.0557 | 0.888 | 0.8038 | 26.6163 | 0.888 | |
| FSC_LNML | 0.9464 | 0.9196 | 0.8512 | 16.7574 | 0.9196 | 0.8587 | 28.3749 | 0.9196 | |
| FLICM | 0.9447 | 0.917 | 0.8467 | 16.7861 | 0.917 | 0.8529 | 28.2228 | 0.917 | |
| HLICM | 0.7885 | 0.6827 | 0.5183 | 10.6503 | 0.6827 | 0.3551 | 17.2767 | 0.6827 | |
| IHLICM | 0.9454 | 0.918 | 0.8485 | 16.8143 | 0.918 | 0.8562 | 28.2827 | 0.918 | |
| KWHLICM | 0.9529 | 0.9294 | 0.8681 | 17.4791 | 0.9294 | 0.8759 | 28.9369 | 0.9294 | |
| Tr-me_ 0235 + GN(0, 0.1) | ARFCM | 0.7905 | 0.6858 | 0.5218 | 9.558 | 0.6858 | 0.5328 | 17.3946 | 0.6858 |
| FLICMLNLI | 0.8931 | 0.8397 | 0.7237 | 13.1501 | 0.8397 | 0.7484 | 24.1233 | 0.8397 | |
| FCM_VMF | 0.5382 | 0.3073 | 0.1815 | 6.542 | 0.3073 | 0.0512 | 6.0514 | 0.3073 | |
| DSFCM_N | 0.929 | 0.8935 | 0.8075 | 15.7062 | 0.8935 | 0.8329 | 26.9177 | 0.8935 | |
| KWFLICM | 0.9375 | 0.9063 | 0.8286 | 16.3113 | 0.9063 | 0.8498 | 27.6196 | 0.9063 | |
| PFLSCM | 0.9483 | 0.9224 | 0.856 | 17.1174 | 0.9224 | 0.879 | 28.5339 | 0.9224 | |
| FCM_SICM | 0.8748 | 0.8123 | 0.6839 | 13.168 | 0.8123 | 0.6949 | 22.7958 | 0.8123 | |
| FSC_LNML | 0.9216 | 0.8824 | 0.7895 | 15.2904 | 0.8824 | 0.8134 | 26.3183 | 0.8824 | |
| FLICM | 0.9108 | 0.8662 | 0.764 | 14.7483 | 0.8662 | 0.7831 | 25.4668 | 0.8662 | |
| HLICM | 0.6067 | 0.4101 | 0.2579 | 7.9267 | 0.4101 | 0.1141 | 8.5969 | 0.4101 | |
| IHLICM | 0.9348 | 0.9022 | 0.8219 | 16.1389 | 0.9022 | 0.8415 | 27.3966 | 0.9022 | |
| KWHLICM | 0.9549 | 0.9323 | 0.8731 | 17.7196 | 0.9323 | 0.8919 | 29.1048 | 0.9323 |
| Algorithm | Computational Complexity |
|---|---|
| ARFCM | |
| FLICMLNLI | |
| FCM_VMF | |
| DSFCM_N | |
| KWFLICM | |
| PFLSCM | |
| FCM_SICM | |
| FSC_LNML | |
| FLICM | |
| HLICM | |
| KWHLICM | |
| IHLICM |
| Image | Window Size | Acc | Sen | Jaccard | PSNR | SA | Kappa | mIoU | DICE |
|---|---|---|---|---|---|---|---|---|---|
| Figure 3b + GN(0, 0.1) | 3 × 3 | 0.7846 | 0.677 | 0.5117 | 10.5861 | 0.677 | 0.5039 | 17.0561 | 0.677 |
| 5 × 5 | 0.7561 | 0.6342 | 0.4643 | 9.2284 | 0.6342 | 0.4394 | 15.4771 | 0.6342 | |
| 7 × 7 | 0.7139 | 0.5708 | 0.3994 | 7.6556 | 0.5708 | 0.3446 | 13.3123 | 0.5708 | |
| 9 × 9 | 0.5783 | 0.3675 | 0.2251 | 4.3919 | 0.3675 | 0.0473 | 7.5036 | 0.3675 | |
| 11 × 11 | 0.585 | 0.3774 | 0.2326 | 4.6463 | 0.3774 | 0.0606 | 7.754 | 0.3774 | |
| Figure 5d + SPN(0.3) | 3 × 3 | 0.7794 | 0.6691 | 0.5028 | 10.4415 | 0.6691 | 0.4586 | 16.7591 | 0.6691 |
| 5 × 5 | 0.7449 | 0.6173 | 0.4465 | 9.4334 | 0.6173 | 0.3764 | 14.882 | 0.6173 | |
| 7 × 7 | 0.7388 | 0.6082 | 0.437 | 8.8233 | 0.6082 | 0.3526 | 14.5654 | 0.6082 | |
| 9 × 9 | 0.7262 | 0.5893 | 0.4177 | 8.237 | 0.5893 | 0.3325 | 13.9249 | 0.5893 | |
| 11 × 11 | 0.6984 | 0.5476 | 0.3771 | 7.3094 | 0.5476 | 0.2761 | 12.5687 | 0.5476 | |
| Figure 7b + SN(0.2) | 3 × 3 | 0.8707 | 0.8061 | 0.6751 | 11.9614 | 0.8061 | 0.5579 | 22.5042 | 0.8061 |
| 5 × 5 | 0.9221 | 0.8832 | 0.7908 | 13.3359 | 0.8832 | 0.7728 | 26.3599 | 0.8832 | |
| 7 × 7 | 0.8849 | 0.8274 | 0.7056 | 11.9199 | 0.8274 | 0.6739 | 23.5193 | 0.8274 | |
| 9 × 9 | 0.8475 | 0.7712 | 0.6276 | 10.8084 | 0.7712 | 0.5805 | 20.9212 | 0.7712 | |
| 11 × 11 | 0.8107 | 0.716 | 0.5577 | 9.8215 | 0.716 | 0.4913 | 18.5891 | 0.716 | |
| Figure 9a + RN(80) | 3 × 3 | 0.7709 | 0.6564 | 0.4885 | 9.3521 | 0.6564 | 0.4212 | 16.2841 | 0.6564 |
| 5 × 5 | 0.7216 | 0.5824 | 0.4109 | 8.8048 | 0.5824 | 0.3115 | 13.6955 | 0.5824 | |
| 7 × 7 | 0.7135 | 0.5703 | 0.3989 | 9.2374 | 0.5703 | 0.2749 | 13.2959 | 0.5703 | |
| 9 × 9 | 0.6884 | 0.5325 | 0.3629 | 8.5715 | 0.5325 | 0.2317 | 12.0962 | 0.5325 | |
| 11 × 11 | 0.6671 | 0.5007 | 0.334 | 8.5147 | 0.5007 | 0.1775 | 11.1324 | 0.5007 |
| Image | Window Size | Acc | Sen | Jaccard | PSNR | SA | Kappa | mIoU | DICE |
|---|---|---|---|---|---|---|---|---|---|
| Figure 3b + GN(0.1) | 3 × 3 | 0.9924 | 0.9886 | 0.9774 | 21.9386 | 0.9886 | 0.9828 | 32.58 | 0.9886 |
| 5 × 5 | 0.9864 | 0.9796 | 0.9601 | 19.5093 | 0.9796 | 0.9694 | 32.0034 | 0.9796 | |
| 7 × 7 | 0.9809 | 0.9713 | 0.9442 | 17.94 | 0.9713 | 0.9569 | 31.4723 | 0.9713 | |
| 9 × 9 | 0.9755 | 0.9632 | 0.9291 | 16.8368 | 0.9632 | 0.9448 | 30.9687 | 0.9632 | |
| 11 × 11 | 0.9696 | 0.9544 | 0.9128 | 15.9371 | 0.9544 | 0.9316 | 30.4254 | 0.9544 | |
| Figure 5d + SPN(0.3) | 3 × 3 | 0.8884 | 0.8326 | 0.7132 | 13.4479 | 0.8326 | 0.7156 | 23.7723 | 0.8326 |
| 5 × 5 | 0.8578 | 0.7867 | 0.6484 | 12.1451 | 0.7867 | 0.6384 | 21.6143 | 0.7867 | |
| 7 × 7 | 0.8399 | 0.7599 | 0.6128 | 11.286 | 0.7599 | 0.5936 | 20.4254 | 0.7599 | |
| 9 × 9 | 0.8189 | 0.7283 | 0.5727 | 10.2177 | 0.7283 | 0.5372 | 19.0915 | 0.7283 | |
| 11 × 11 | 0.7987 | 0.6981 | 0.5362 | 9.5646 | 0.6981 | 0.4826 | 17.8723 | 0.6981 | |
| Figure 7b + SN(0.2) | 3 × 3 | 0.8933 | 0.84 | 0.7241 | 13.8606 | 0.84 | 0.6496 | 24.1377 | 0.84 |
| 5 × 5 | 0.8851 | 0.8277 | 0.706 | 13.4943 | 0.8277 | 0.604 | 23.5348 | 0.8277 | |
| 7 × 7 | 0.8724 | 0.8086 | 0.6787 | 13.0383 | 0.8086 | 0.55 | 22.6222 | 0.8086 | |
| 9 × 9 | 0.8684 | 0.8026 | 0.6703 | 12.9038 | 0.8026 | 0.5318 | 22.3441 | 0.8026 | |
| 11 × 11 | 0.865 | 0.7975 | 0.6632 | 12.7963 | 0.7975 | 0.5166 | 22.1082 | 0.7975 | |
| Figure 9a + RN(80) | 3 × 3 | 0.9388 | 0.9082 | 0.8318 | 16.3974 | 0.9082 | 0.848 | 27.7261 | 0.9082 |
| 5 × 5 | 0.9309 | 0.8964 | 0.8123 | 15.8696 | 0.8964 | 0.8258 | 27.0755 | 0.8964 | |
| 7 × 7 | 0.9172 | 0.8758 | 0.7791 | 15.0826 | 0.8758 | 0.7892 | 25.97 | 0.8758 | |
| 9 × 9 | 0.9014 | 0.8521 | 0.7424 | 14.3348 | 0.8521 | 0.7462 | 24.746 | 0.8521 | |
| 11 × 11 | 0.8844 | 0.8266 | 0.7045 | 13.652 | 0.8266 | 0.699 | 23.483 | 0.8266 |
| Image | Window Size | Acc | Sen | Jaccard | PSNR | SA | Kappa | mIoU | DICE |
|---|---|---|---|---|---|---|---|---|---|
| Figure 3b + GN(0.1) | 3 × 3 | 0.999 | 0.9985 | 0.997 | 29.6905 | 0.9985 | 0.9977 | 33.2318 | 0.9985 |
| 5 × 5 | 0.9984 | 0.9977 | 0.9953 | 27.7219 | 0.9977 | 0.9965 | 33.1781 | 0.9977 | |
| 7 × 7 | 0.9977 | 0.9965 | 0.993 | 26.227 | 0.9965 | 0.9947 | 33.1012 | 0.9965 | |
| 9 × 9 | 0.9972 | 0.9957 | 0.9915 | 25.2658 | 0.9957 | 0.9936 | 33.0507 | 0.9957 | |
| 11 × 11 | 0.9962 | 0.9943 | 0.9886 | 24.0446 | 0.9943 | 0.9914 | 32.953 | 0.9943 | |
| Figure 5d + SPN(0.3) | 3 × 3 | 0.8845 | 0.8267 | 0.7046 | 13.423 | 0.8267 | 0.7185 | 23.4873 | 0.8267 |
| 5 × 5 | 0.8854 | 0.828 | 0.7065 | 13.5333 | 0.828 | 0.7184 | 23.5514 | 0.828 | |
| 7 × 7 | 0.8768 | 0.8152 | 0.688 | 13.2182 | 0.8152 | 0.6981 | 22.9335 | 0.8152 | |
| 9 × 9 | 0.8662 | 0.7994 | 0.6658 | 12.8518 | 0.7994 | 0.6737 | 22.1923 | 0.7994 | |
| 11 × 11 | 0.8557 | 0.7835 | 0.6441 | 12.5009 | 0.7835 | 0.6495 | 21.4689 | 0.7835 | |
| Figure 7b + SN(0.2) | 3 × 3 | 0.9574 | 0.9361 | 0.8799 | 18.0612 | 0.9361 | 0.8772 | 29.3299 | 0.9361 |
| 5 × 5 | 0.9768 | 0.9652 | 0.9327 | 20.5707 | 0.9652 | 0.9298 | 31.0901 | 0.9652 | |
| 7 × 7 | 0.9671 | 0.9507 | 0.906 | 18.9988 | 0.9507 | 0.8996 | 30.201 | 0.9507 | |
| 9 × 9 | 0.96 | 0.9399 | 0.8867 | 18.1137 | 0.9399 | 0.8768 | 29.5563 | 0.9399 | |
| 11 × 11 | 0.9542 | 0.9314 | 0.8715 | 17.5149 | 0.9314 | 0.8584 | 29.0516 | 0.9314 | |
| Figure 9a + RN(80) | 3 × 3 | 0.932 | 0.898 | 0.8149 | 15.8557 | 0.898 | 0.838 | 27.1649 | 0.898 |
| 5 × 5 | 0.9494 | 0.9241 | 0.8589 | 17.1482 | 0.9241 | 0.8783 | 28.6316 | 0.9241 | |
| 7 × 7 | 0.9479 | 0.9219 | 0.8551 | 17.0072 | 0.9219 | 0.8745 | 28.5048 | 0.9219 | |
| 9 × 9 | 0.9414 | 0.9121 | 0.8384 | 16.4742 | 0.9121 | 0.8588 | 27.9469 | 0.9121 | |
| 11 × 11 | 0.9314 | 0.8971 | 0.8133 | 15.757 | 0.8971 | 0.8352 | 27.1113 | 0.8971 |
| Algorithm | #36046 +SPN(0.3) | #36046 +GN(0.1) | #37 no +RN(80) | Buildings18 +SN(0.2) |
|---|---|---|---|---|
| ARFCM | 100 | 39 | 100 | 100 |
| FLICMLNLI | 20 | 20 | 20 | 20 |
| FCM_VMF | 33 | 40 | 41 | 45 |
| DSFCM_N | 695 | 387 | 190 | 608 |
| KWFLICM | 42 | 43 | 42 | 32 |
| PFLSCM | 5 | 5 | 5 | 5 |
| FCM_SICM | 22 | 31 | 17 | 24 |
| FSC_LNMI | 61 | 65 | 31 | 75 |
| FLICM | 38 | 39 | 37 | 29 |
| HLICM | 4 | 4 | 4 | 4 |
| IHLICM | 69 | 72 | 79 | 71 |
| KWHLICM | 69 | 72 | 79 | 71 |
Disclaimer/Publisher’s Note: The statements, opinions and data contained in all publications are solely those of the individual author(s) and contributor(s) and not of MDPI and/or the editor(s). MDPI and/or the editor(s) disclaim responsibility for any injury to people or property resulting from any ideas, methods, instructions or products referred to in the content. |
© 2024 by the authors. Licensee MDPI, Basel, Switzerland. This article is an open access article distributed under the terms and conditions of the Creative Commons Attribution (CC BY) license (https://creativecommons.org/licenses/by/4.0/).
Share and Cite
Wu, C.; Zhou, S. Robust Harmonic Fuzzy Partition Local Information C-Means Clustering for Image Segmentation. Symmetry 2024, 16, 1370. https://doi.org/10.3390/sym16101370
Wu C, Zhou S. Robust Harmonic Fuzzy Partition Local Information C-Means Clustering for Image Segmentation. Symmetry. 2024; 16(10):1370. https://doi.org/10.3390/sym16101370
Chicago/Turabian StyleWu, Chengmao, and Siyu Zhou. 2024. "Robust Harmonic Fuzzy Partition Local Information C-Means Clustering for Image Segmentation" Symmetry 16, no. 10: 1370. https://doi.org/10.3390/sym16101370
APA StyleWu, C., & Zhou, S. (2024). Robust Harmonic Fuzzy Partition Local Information C-Means Clustering for Image Segmentation. Symmetry, 16(10), 1370. https://doi.org/10.3390/sym16101370

