Abstract
In recent years, growing interest has been paid to the exploration of the concepts of entropy, heat and information, which are closely related to the symmetry properties of the physical systems in quantum theory. In this paper, we follow this line of research on the the validity of the concepts in quantum field theory by studying Landauer’s principle for a Dirac field interacting perturbatively with an Unruh–DeWitt detector in a -dimensional MIT bag cavity. When the field is initially prepared in the vacuum state, we find that the field always absorbs heat, while the Unruh–DeWitt detector can either gain or lose entropy, depending on its motion status, as a result of the Unruh effect. When the field is initially prepared in the thermal state and the detector remains still, the heat transfer and entropy change can be obtained under two additional but reasonable approximations: (i) one is where the duration of the interaction is turned on for a sufficiently long period, and (ii) the other is where the Unruh–DeWitt detector is in resonance with one of the field modes. Landauer’s principle is verified for both considered cases. Compared to the results of a real scalar field, we find that the formulas of the vacuum initial state differ solely in the internal degree of freedom of the Dirac field, and the distinguishability of the fermion and anti-fermion comes into play when the initial state of the Dirac field is thermal. We also point out that the results for a massless fermionic field can be obtained by taking the particle mass straightforwardly.
1. Introduction
One of the pillars of the current knowledge about the building blocks of the universe is quantum field theory, which gives an almost perfect description of the interaction of microscopic particles and is the theoretical foundation of many branches of modern physics, such as particle physics, condensed-matter physics and quantum optics. Conventionally, the study of quantum field theory is concentrated on the computation of scattering spectra and the exploration of the symmetries of the fundamental forces, while less attention is paid to quantum states. However, some of the conceptual puzzles that lie at the heart of quantum physics require us to examine quantum information concepts like measurement theory and entanglement at the quantum field theory level [1,2,3,4,5,6] requiring the knowledge of the explicit forms of the quantum states of the quantum fields with which the validity of concepts like entropy, heat and information in quantum field theory can be examined, which are also related to the symmetry properties of the theory. One of the most important applications of this direction is the exploration of the nature of black hole entropy, whose corresponding micro-states are believed to be quantum in nature, thus calling for a deeper and thorough discussion about the relationship between gravity, quantum field theory, information theory and thermodynamics.
The research on the information aspects of quantum field theory is diverse and has already led to many astonishing results, such as the violation of Bell’s inequality by the quantum vacuum [7,8,9,10] and the lack of a self-consistent theory of measurement of quantum fields, resulting in the establishment of the entanglement harvesting protocol [11,12,13,14,15]. Landauer’s principle, considered to be a bridge that connects the concepts of information theory and thermodynamics, states that at least energy is required to erase one bit of information [16,17], providing a new perspective for exploring the black hole information paradox [18,19]. Unfortunately, there has been no convincing conception of Landauer’s principle to date. In 2013, in their work [20], Reeb and Wolf proposed a tightened Landauer’s principle in the framework of the quantum statistical physics approach. They stated that the tightened Landauer’s principle takes the following form of the inequality equation:
where is the heat transferred to the reservoir, is the initial temperature of the reservoir, and is the von Newmann entropy change of the system interacting with the reservoir when four assumptions are met [20]. Equation (1) looks very different from the conventional statement of Landauer’s principle and the textbook definition of heat transfer. This is because Equation (1) is a law of quantum thermodynamics based on quantum information concepts.
The implication of Landauer’s principle in quantum field theory has recently emerged as a topic of discussion. In [21,22], the authors discussed and verified Landauer’s principle in a qubit–cavity system composed of an Unruh–DeWitt detector linearly coupled to a real scalar field in the dimension through monopole momentum. Theoretically speaking, the applicability of Landauer’s principle should be irrelevant to the specific type of field. And it is well known that, in quantum field theory, physical fields can be classified into two kinds, namely, fermion fields and boson fields, where the former are considered to be the building blocks of the matter world, while the latter are the carriers of interaction forces. Thus, it is natural to think that Landauer’s principle must also hold for fermionic fields; even the techniques for this generalization may not be as trivial as one may think. Experimentally speaking, the realization and control of the cavity boundary, as well as the interaction between a two-level detector and an electromagnetic field, can be conducted in a precise and mature manner; replacing the electromagnetic field with a real scalar field in theoretical models captures all the physical essentials and greatly simplifies the calculation. For a fermionic field, the baryon boundary and four-fermion interaction are possible candidates for realizing the boundary condition of a cavity and linear coupling with detectors, which provides a platform for studying Landauer’s principle for fermion fields [11,23,24,25,26].
In this paper, we study an Unruh–DeWitt detector traveling through the Dirac field in a -dimensional cavity, where the cavity boundaries are modeled using the MIT bag boundary condition [25,26]. The Dirac field is linearly coupled to the Unruh–DeWitt detector, and the coupling strength is set to be small, thus allowing for the use of perturbation theory. We obtain the heat transfer and entropy change when the Dirac field is initially prepared in vacuum and thermal states. The results of the thermal states are computed under two additional assumptions: one is where the interaction is turned on for a sufficiently long period, and the other is where the detector is tuned in resonance with one of the field modes. By making a comparison with the results obtained for a real scalar field [21], we find that, for the vacuum initial state, the difference in heat transfer and entropy change only comes from the internal degree of freedom of the Dirac field, and the detector can either gain or lose entropy, where the former is a result of the fermion version of the Unruh effect [27]. For the thermal initial state, the difference between a real scalar field and the Dirac field also comes from the distinguishability of the fermion and anti-fermion. We point out that the results for the massless fermionic field can be obtained by taking the limit of our results straightforwardly. Landauer’s principle is verified in all the cases considered in this paper. This paper is organized as follows: In Section 2, we demonstrate the setup of our system and provide the basic formula that is later used. The heat transfer and entropy change when the Dirac field is initially prepared in the vacuum state are given in Section 3, where we also obtain the results for an accelerating detector and discuss the role played by the Unruh effect. In Section 4, when the Dirac field is initially prepared in the thermal state, we obtain the heat transfer and entropy change under the assumption that the interaction is turned on for a sufficiently long period and the detector is in resonance with one of the field modes. The conclusion and discussion are presented in Section 5.
Throughout this paper, the units are chosen as .
2. Model Setup
In this work, the field equation that we consider is the Dirac equation in the dimension:
where m is the fermion mass, and . The spacetime metric is , and the representation is used, where denotes the Pauli matrices.
Unlike the boson field, the Dirac field cannot be perfectly confined by the Dirichlet boundary condition, resulting from the famous Klein paradox [26]. As such, we apply the so-called MIT bag boundary condition [28]:
where represents the boundaries of the cavity, which, in this case, are the points and , with L being the length of the cavity. is the normal vector of the boundary, and is an arbitrary real number. Under the MIT bag boundary condition of Equation (3), the Dirac field can be mode-expanded as
where n is the mode number, and and are the annihilation operator of the fermion and the creation operator of the anti-fermion of mode n, respectively. And are the normalized bases of the solution space of the Dirac Equation (3), which is given as [28]
where is the normalization constant, and the mode frequency is defined as
with which the field modes can be obtained from the transcendental equation [28]
Note that, by taking , we obtain the spectra of the massless fermionic field straightforwardly.
The total Hamiltonian of our system consists of three parts, namely, , where and denote the Hamiltonian of the free Dirac field inside the cavity, the free Unruh–DeWitt detector and the interaction between the detector and the Dirac field, respectively. Note that the linear interaction term takes the same form as the one used in the entanglement harvest setup in [11] and, in some sense, can be regarded as an effective theory of four-fermion interactions [23,24]. In the interaction picture, and take the forms of
where , is the frequency of the detector, and is the coupling strength. and are the Pauli matrix and corresponding ladder operators acting on the Hilbert space of the detector. The smear function is given by , where is a spinor, which is taken as in the sequel. is a parameter determined by the energy scale of the fermion [11], which is set to 1 in the following. And the switching function turns the interaction on and off; specifically, when and vanishes otherwise. The trajectory of the Unruh–DeWitt detector is given by .
The evolution operator can be expressed as
where is the time-ordering symbol. Then, (9) is expanded in the Dyson series
where I denotes the unitary matrix, and (10) can be organized by the order of as , where denotes the i-th order of the expansion. The initial density matrix evolves according to
Thus, the final density matrix can be expanded with respect to as , where
In general, the n-th order term is a summation of terms such as with .
3. Vacuum State
In this section, we study the situation where the Dirac field is initially prepared in the vacuum state ; this is also a thermal state corresponding to the condition , where denotes the temperature of the field, which acts as the reservoir in our case. The initial state of the whole system can be written as , where and correspond to the excited and ground states of the Unruh–DeWitt detector, respectively. p is a real number, and . Thus, the initial state is a product state of the Dirac field and detector, where the Dirac field is in a pure vacuum state, while the detector is in a mixed state, with the possibility of being p in the excited state and the possibility of being in the ground state. The heat transferred to the Dirac field and the entropy change of the detector are given by [20]
where is the heat transferred to the Dirac field, and and are the final and initial density matrices of the Dirac field, respectively. is the von Newmann entropy change of the Unruh–DeWitt detector, with and being the initial and final density matrices of the detector. From (8), we can see that only the diagonal elements of the corresponding reduced density matrix of the Unruh–DeWitt detector and Dirac field contribute to and . Since is made up of terms like and , its action upon only gives rise to non-diagonal elements in the reduced density matrices of the detector and Dirac field, which means that does not contribute to the heat transfer and entropy change .
Now, we consider the second-order contribution . With (8) and (10), we obtain
where denotes one fermion and the anti-fermion state of mode n, respectively. Thus,
where the notations
are used. Thus, the density matrices of the field are obtained,
as well as the reduced density matrix of the detector
where
Then, we obtain the heat transferred to the Dirac field and the entropy change of the detector as
From (20), we can see that, in this case, the difference between the heat transfer and entropy growth of the real scalar field and Dirac field solely comes from the internal degree of freedom of the Dirac field from the factors and in the integrand (16). And from (20), we can see that the heat transfer is always non-negative, which is in agreement with the intuition that, when in the ground state of , the Dirac vacuum can only absorb energy, while the entropy of the detector can either grow or decrease. In this case, Landauer’s principle is always fulfilled since .
For an accelerating detector with a constant proper acceleration a in its proper frame, the trajectory is given by
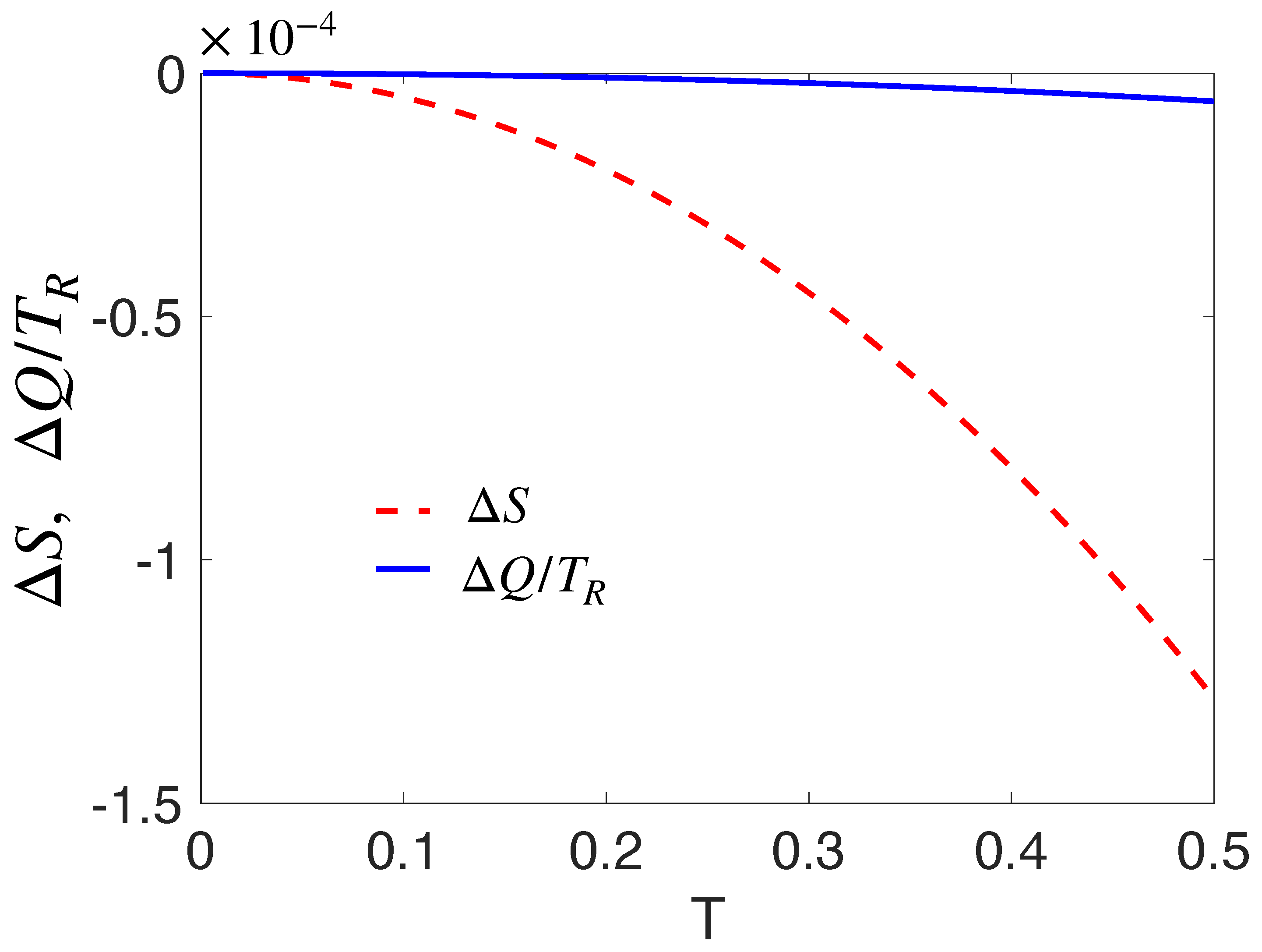
where is the proper time of the detector. and are plotted in Figure 1. The decrease in can be understood with the following picture. From the perspective of the detector, it is immersed in the thermal state of the quantum field, as indicated by the Unruh effect. Thus, it is possible for the detector to drain energy from the Dirac field. Together with (20), we can see that both the Dirac field vacuum and the detector absorb energy. From the perspective of an observer in the lab, this phenomenon comes from the process of the excition of the detector accompanied by the emission of the particle, which is intuitively thought to be banned by the energy conservation law. However, this does not occur in our considered case because the emitted particles cause the recoil of the detector. So to keep the acceleration (21), an external force must be applied to the detector, thus pouring energy into the system. To see this in a mathematical form, we can substitute (21) into (8), and it is easy to check that the Hamiltonian is time-dependent, i.e., . Note that this does not violate the assumptions introduced in [20], where the Hilbert space of the whole system is still the direct product of the Dirac field and the detector, and the evolution of the system is still described by unitary evolution, because the external force is applied in a classical manner.
Figure 1.
Accelerating detector in the vacuum state. We set , , and .
4. Thermal State
In this section, we consider the case where the Dirac field is initially prepared in the thermal state. The Hilbert space of the Dirac field can be factorized as , where denotes the Hilbert subspace of mode n, spanned by the basis , where the numbers of the fermion and anti-fermion in mode n are given by and , respectively, with . Thus the partition function can also be factorized by mode numbers as , where , and . Thus, the thermal state of the field can be written as
which is also a diagonal matrix, and the possibility of the occupation configuration is given by . It is easy to verify that the trace of equals 1. By taking , only survives for each n; thus, (22) becomes the vacuum state. From Equation (6), it is easy to see that, for each mode n, the frequency ; thus, the possibility of having a single fermion or anti-fermion in the initial state is
where Q is the largest field number corresponding to the cut-off field frequency . From Equation (23), we can see that the possibility increases when the temperature grows or the mass m decreases. The right-hand side of Equation (23) provides us with a simple way to estimate the possibility of having a single fermion or anti-fermion in the initial state. If we assume the mass to be the electron mass and the temperature to be room temperature , then we can obtain a very small value from the right-hand side of Equation (23). Thus, it is quite straightforward to see that the temperature of the field must be extremely high if we want to observe the existence of particles with a reasonable probability when the mass m of the particles is relatively large. This can be understood in a picturized manner: when preparing the initial state, the particles are boiled out of vacuum.
The anticommutation relation of the fermion operators makes it impossible to write in a unified manner; thus, the formula of heat transfer and entropy growth will be too complicated. Fortunately, things are not as hopeless as it seems. By observing (16), we find that, under certain conditions, we can obtain an elegant result by introducing two additional but reasonable assumptions. When the Unruh–DeWitt detector stays still in the thermal bath during the whole process, one of the field modes B is in resonance with the detector (i.e., ) and the interacting time T is taken to be large enough, working out the integrals in (16), we can see that is the dominant part growing linearly with the interaction time T, while the exponential part in other terms gives the upper bound, which is less than 1.
The initial state of the Unruh–DeWitt detector is also chosen as , whose direct product with (22) gives the initial state of the whole system. By using the same arguments as in the last section, we can see that does not contribute to the heat transfer and entropy growth in this case either. The second order of and the contribution are dominated by resonance mode B; thus, we have the relevant contributions
and
By tracing out the degrees of freedom of the Dirac field and using the same notation of in (18), we obtain
where
where denotes the probabilities of distribution with the i fermion and j anti-fermion of mode B, and the numbers of the particles of other modes are summed over here. Then, we obtain the heat transfer and entropy growth as
In this case, we can see that the distinguishability of the fermion and anti-fermion comes into play by shaping the structure of . By taking , the results reduce to (20) if we only keep the term. By substituting (27) into (28), and after calculating some algebra, we can check that Landauer’s principle is satisfied. The initial state of the detector can also be assigned with a temperature with . From (28), we can see that the Dirac field absorbs heat when and emits heat when , which is in agreement with classical thermodynamics. Note that there is no stronger condition for heat transfer like the one obtained in [21] for a real scalar field. A possible reason for this is the resonance approximation introduced in our case. In Figure 2 and Figure 3, we present the results by setting and with , which correspond to the conditions and , respectively. In Figure 2, we can see that the energy flows from the Dirac field towards the detector, while in Figure 3, the energy flow direction is inverted.
Figure 2.
The case of . We set , , and .
Figure 3.
The case of . We set , , and .
5. Conclusions
In this work, we studied Landauer’s principle in a qubit–cavity system composed of an Unruh–DeWitt detector linearly coupled to a Dirac field in a -dimensional cavity with MIT bag boundary condition. We showed that, when the Dirac field is initially prepared in the vacuum state, the heat transferred to the Dirac field is always non-negative, thus preserving Landauer’s principle. In the meantime, the entropy of the detector can either grow or decrease, where the former can be viewed as the result of the Unruh effect. We found that, when the initial state of the Dirac field is thermal, heat transfer and entropy growth can be obtained under two additional assumptions, and we verified the validity of Landauer’s principle. We found that, compared to the case of a real scalar field [21], the heat transfer and entropy growth of the vacuum initial state differ only due to the internal degree of freedom of the Dirac field, while for the thermal initial state, the distinguishability of the fermion and anti-fermion also plays a part. Our work has the potential of being applied to the neutrino–baryon system, where the internal structure of the baryon provides the MIT bag boundary, and the interaction between the nucleon and neutrino models the interaction between the Unruh–DeWitt detector and Dirac field [23,24,29], which may be experimentally feasible.
Author Contributions
Conceptualization, methodology, investigation and writing, Y.-S.C., Y.L. and R.Z.; visualization and funding acquisition, Y.L. All authors have read and agreed to the published version of the manuscript.
Funding
This research was funded by the National Natural Science Foundation of China under Grant No. 12204406.
Institutional Review Board Statement
Not applicable.
Informed Consent Statement
Not applicable.
Data Availability Statement
Not applicable.
Conflicts of Interest
The authors declare no conflict of interest.
References
- Hu, B.L.; Jacobson, T.A. Directions in General Relativity; Cambridge University Press: Cambridge, UK, 1993. [Google Scholar]
- Polo-Gomez, J.; Garay, L.J.; Martin-Martinez, E. A detector-based measurement theory for quantum field theory. Phys. Rev. D 2022, 105, 065003. [Google Scholar] [CrossRef]
- Higuchi, A.; Iso, S.; Ueda, K.; Yamamoto, K. Entanglement of the vacuum between left, right, future, and past. Phys. Rev. D 2017, 96, 083531. [Google Scholar] [CrossRef]
- Reznik, B. Entanglement from the vacuum. Found. Phys. 2003, 33, 167–176. [Google Scholar] [CrossRef]
- Swingle, B. Mutual information and the structure of entanglement in quantum field theory. arXiv 2010, arXiv:1010.4038. [Google Scholar]
- Hollands, S.; Sanders, K. Entanglement measures and their properties in quantum field theory. arXiv 2018, arXiv:1702.04924. [Google Scholar]
- Summers, S.J.; Werner, R. Bell’s Inequalities and Quantum Field Theory. 1. General Setting. J. Math. Phys. 1987, 28, 2440. [Google Scholar] [CrossRef]
- Summers, S.J.; Werner, R. Bell’s inequalities and quantum field theory. II. Bell’s inequalities are maximally violated in the vacuum. J. Math. Phys. 1987, 28, 2448. [Google Scholar] [CrossRef]
- Reznik, B.; Retzker, A.; Silman, J. Violating Bell’s inequalities in vacuum. Phys. Rev. A 2005, 71, 042104. [Google Scholar] [CrossRef]
- Summers, S.J.; Werner, R. The vacuum violates Bell’s inequalities. Phys. Lett. 1985, 110A, 5. [Google Scholar] [CrossRef]
- Perche, T.R.; Lima, C.; Martin-Martinez, E. Harvesting entanglement from complex scalar and fermionic fields with linearly coupled particle detectors. arXiv 2022, arXiv:2111.12779. [Google Scholar] [CrossRef]
- Cong, W.; Tjoa, E.; Mann, R.B. Entanglement harvesting with moving mirrors. J. High Energ. Phys. 2019, 2019, 21. [Google Scholar] [CrossRef]
- Valentini, A. Non-local correlations in quantum electrodynamics. Phys. Lett. A 1991, 153, 321–325. [Google Scholar] [CrossRef]
- Maeso-Garcia, H.; Polo-Gomez, J.; Martin-Martinez, E. Entanglement harvesting: State dependence and covariance. arXiv 2022, arXiv:2208.13801. [Google Scholar] [CrossRef]
- Perche, T.R.; Ragula, B.; Martin-Martinez, E. Harvesting entanglement from the gravitational vacuum. arXiv 2022, arXiv:2210.14921. [Google Scholar]
- Landauer, R. Irreversibility and Heat Generation in the Computing Process. IBM J. Res. Dev. 1961, 5, 183. [Google Scholar] [CrossRef]
- Landauer, R. The physical nature of information. Phys. Lett. A 1996, 217, 188. [Google Scholar] [CrossRef]
- Herrera, L. Landauer Principle and General Relativity. Entropy 2020, 22, 340. [Google Scholar] [CrossRef]
- Daffertshofer, A.; Plastino, A.R. From Landauer’s principle to Tolman’s temperature. Phys. Lett. A 2007, 362, 243–245. [Google Scholar] [CrossRef]
- Reeb, D.; Wolf, M.M. An improved Landauer principle with finite-size corrections. New J. Phys. 2014, 16, 103011. [Google Scholar] [CrossRef]
- Xu, H.; Ong, Y.C.; Yung, M.-H. Landauer’s principle in Qubit-Cavity quantum-field-theory interaction in vacuum and thermal states. Phys. Rev. A 2022, 105, 012430. [Google Scholar] [CrossRef]
- Xu, H.; Ong, Y.C.; Yung, M.-H. Decoherence and Landauer’s Principle in Qubit-Cavity Quantum-Field-Theory Interaction. arXiv 2022, arXiv:2207.06702. [Google Scholar] [CrossRef]
- Torres, B.S.L.; Perche, T.R.; Landulfo, A.G.S.; Matsas, G.E.A. Neutrino flavor oscillations without flavor states. Phys. Rev. D 2020, 102, 093003. [Google Scholar] [CrossRef]
- Perche, T.R.; Martin-Martinez, E. Antiparticle detector models in QFT. Phys. Rev. D 2021, 104, 105021. [Google Scholar] [CrossRef]
- Mamaev, S.G.; Trunov, N.N. Vacuum expectation values of the energy-momentum tensor of quantized fields on manifolds with different topologies and geometries. III. Sov. Phys. 1980, 23, 551–554. [Google Scholar] [CrossRef]
- Saghian, R.; Valuyan, M.A.; Seyedzahedi, A.; Gousheh, S.S. Casimir energy for a massive Dirac field in one spatial dimension: A direct approach. Int. J. Mod. Phys. A 2012, 27, 1250038. [Google Scholar] [CrossRef]
- Unruh, W.G.; Weiss, N. Acceleration radiation in interacting field theories. Phys. Rev. D 1984, 29, 1656. [Google Scholar] [CrossRef]
- Fosco, C.D.; Hansen, G. Dynamical Casimir effect from fermions in an oscillating bag in 1 + 1 dimensions. Phys. Rev. D 2022, 105, 016004. [Google Scholar] [CrossRef]
- Chodos, A.; Jaffe, R.L.; Johnson, K.; Thorn, C.B. Baryon structure in the bag theory. Phys. Rev. D 1974, 10, 2599. [Google Scholar] [CrossRef]
Disclaimer/Publisher’s Note: The statements, opinions and data contained in all publications are solely those of the individual author(s) and contributor(s) and not of MDPI and/or the editor(s). MDPI and/or the editor(s) disclaim responsibility for any injury to people or property resulting from any ideas, methods, instructions or products referred to in the content. |
© 2023 by the authors. Licensee MDPI, Basel, Switzerland. This article is an open access article distributed under the terms and conditions of the Creative Commons Attribution (CC BY) license (https://creativecommons.org/licenses/by/4.0/).


