Abstract
The second part of the article Azulene, Reactivity, and Scientific Interest Inversely Proportional to Ring Size deals with the chemical behavior of the seven-atom azulenic ring. As the title states, the ability of this system to react is lesser compared to that of the five-atom ring; despite this, a large number of syntheses contain it as a participant in the molecules of starting compounds. This review is focused on certain more frequent syntheses such as nucleophilic substitution of the seven-atom ring or its substituents, vicarious nucleophilic substitutions, substitutions of azulene metallic compounds, or reactions catalyzed by complexes of certain transition metals. The syntheses of tricyclic compounds, porphyrinogenic systems, or azulenocyanines containing an azulenyl moiety are also presented. The adopted presentation is mainly based on reaction schemes that include the reaction conditions, as well as the yields of the products formed.
1. Introduction
The chemical behavior of the azulene five-atom ring was the target of the first part of this review []. It was shown there that, unlike naphthalene which is symmetrical with respect to both axes, x and y, azulene is asymmetric with respect only to the y axis (Scheme 1). This creates a difference in electron density between the two azulene rings [,] and therefore a remarkable difference between their chemical behavior. The nucleophilicity of the electron-rich five-atom ring promotes the electrophilic character of many azulene reactions. In contrast, the seven-atom ring has an electrophilic character and is expected to prefer nucleophilic reactions. Unfortunately, the charge distribution shows that the electron density at Positions 4(8) and 6 (Scheme 1) does not justify a high ability to react with nucleophilic agents, therefore this kind of reaction will be briefly analyzed at the beginning. Several electrophilic reactions, not specific to seven-atom rings, are also reviewed. Although an appreciable number of reactions take place at the substituents of the seven-atom ring, only a few will be presented in a separate chapter dedicated to this subject. However, special attention will be paid to the reactions catalyzed by complexes of transitional metals, mainly for cross-coupling reactions which are likely to occupy the most important place in the chemistry of the seven-atom ring both from a scientific and a practical point of view. Other chapters describe the syntheses of certain tricyclic compounds containing azulene in the skeleton or of certain substituted azulenes with carbon–carbon triple bonds. Despite the fact that a large amount of information about azulene chemistry can be found in the chapter edited by Zeller in the Houben Weyl Encyclopedia published in 1984 [], it was considered necessary to exemplify in this review certain synthesis procedures elaborated earlier not only from a historical point of view but also to give fluency to the exposed material.

Scheme 1.
Symmetry axes of naphthalene and HOMO of azulene.
2. Nucleophilic Reactions at Azulene Moiety, SNAz
The strong nucleophilic reagent MeLi produces, as the first step, the Meisenheimer complexes 2.1 and 2.2 by addition of a methyl anion to the double bonds of the seven-ring as described in Scheme 2. This process is favored by the involvement of the cyclopentadienyl aromatic system which stabilizes to a certain extent the formed intermediates 2.1 and 2.2; the subsequent dehydrogenation generates the alkylated azulene. Hafner reported only the formation of the complex 2.1 with methyl in Position 2(4) and the product 2.3 [], while McDonald obtained both Meisenheimer isomers (ratio 2.1:2.2 = 9:1) without being able to obtain the 6-methylated azulene [,].

Scheme 2.
Nucleophile addition to azulene and dehydrogenation of the Meisenheimer complex.
More recently, Makosza paid attention to other nucleophilic substitutions which proceed via an addition–β-elimination mechanism which was classified as a vicarious nucleophilic substitution (VNS). The difference between this procedure and the classic nucleophilic substitution, SNAz, results from Scheme 3 []. The VSN reagent contains a leaving group, a carbanion stabilizing group, as well as the substituent.

Scheme 3.
Difference between the vicarious nucleophilic substitution (VNS) and a classical one, SNAz.
Scheme 4 presents certain additional nucleophilic substitutions reported by Hafner [], McDonald [], and Makosza [].

Scheme 4.
Certain azulene seven ring substitutions, SNAz.
Continuing the interest in the VSN reaction, Makosza investigated the reactions of azulenes’ hydroxylation and amination (Scheme 5) []. The moderate electrophilicity of azulene was increased by the presence of electron-withdrawing substituents in the five-membered ring. This allowed the formation of a σH adduct (the first VSN step) in a concentration sufficiently high for the β-elimination. As a result, tBuOO−, a weak nucleophile, reacts efficiently with good yields with these compounds, affording the 6-hydroxyazulene 5.1, while the parent azulene remains inert. As can be seen from Scheme 5, the 6-hydroxyazulenes acted as raw materials for the synthesis of other interesting compounds, 5.2–5.5.

Scheme 5.
Hydroxylation of azulenes in Position 6.
Makosza also achieved the amination of azulenes in Position 6 using 4-aminotriazole as described in Scheme 6 []. The 6-aminoazulenes had a moderate stability, thus they were isolated, purified, and characterized as the corresponding acetyl derivatives, 6.2. Vicarious nucleophilic substitution of hydrogen was also performed using N,N,N-trimethylhydrazinium iodide for further electrophilic azulene derivatives [] and the proposed mechanism in this case is presented in Scheme 6 (for Position 6).

Scheme 6.
Amination of azulenes in Position 6 (procedure for VSN).
A consistent subchapter was dedicated by Zeller in the Houben Weyl Encyclopedia [] to the substitution SNAz of certain atoms or groups present on the seven-atom ring. Certain examples will be repeated below and completed with more recent syntheses. The classical nucleophilic substitution, SNAz, of the halogen in Position 6 of azulene was studied by Hafner et al. [] and Nozoe et al. [], and certain syntheses are shown in Scheme 7. An interesting reaction is that obtaining 2-bis(4,8-dimethylazulen-6-yl)disulfane, 7.3, starting from 6-chloro-4,8-dimethylazulene, 7.1, Na2S, and sulfur. The substitution proposed by Nozoe or Morita [] starts from the 1,3-disubstituted compound with the withdrawing group CO2R and occurs with a wide variety of reagents with good to moderate yields.

Scheme 7.
Several nucleophilic early azulene substitutions, SNAz.
A contribution to the investigation of nucleophilic amination of azulenes SNAz in Position 6 by replacing Br came from Soji et al. in two papers. In these syntheses, azulenes without a substituent in Position 2, 8.1(R: H) [], or with NH2 in this position, 8.1(R: NH2) [], were reacted with various cyclic amines (Scheme 8). The reaction occurred in relatively severe experimental conditions. After protecting the amino group in Position 2, 8.1(R: NHCOCF3), the reaction proceeded at room temperature but the yields were low [].

Scheme 8.
Amination of azulenes in Position 6 (procedure for SNAz).
As already mentioned, a series of electron-withdrawing substituents (e.g., CO2R, COR, CN, etc.) in Positions 1 and 3 favors both types of nucleophilic substitution: SNAz and VSN. As show Scheme 9, the high reactivity owing to the electron-withdrawing sulfonium ions at these positions (in compound 9.1) allows the amination of SNAz with excellent yields []. The reaction continues to the product 9.2 by nucleophilic substitution (SN2) at the substituents in Positions 1 and 3 as proposed in the mechanism described in Scheme 9.

Scheme 9.
SNAz of the MeO group in Position 6 with Et2N.
3. Electrophilic Substitutions at Azulene Moiety, SEAz
As follows from Scheme 1, the azulene electrophilic substitution, SEAz, is not characteristic for the seven-atom ring of azulene. Positions 1 and 3 are by far the most favored in this regard. This is why electrophilic attack takes place on seven-membered ring only when these two positions are occupied and the electrophilic agents have an increased effectiveness. These arguments are in support of the low importance given to this type of reaction over time. A few examples of SEAz for edification will still be cited in the following.
With Positions 1 and 3 blocked with halogen atoms, Anderson and Repolge achieved azulene substitution in Position 5 with both acetyl [] and halogen [] under the classical electrophile procedure (Scheme 10).

Scheme 10.
Electrophilic halogenation and acylation of the azulene seven ring, SEAz.
Hafner [] and Nozoe [] were also concerned with the possibility of SEAz reactions at the seven ring (Scheme 11). For the Vilsmeier reaction and nitration, the first cited author used 1,3-dialkylated azulene. The Vilsmeier reaction gave the compound 11.2 after SEAz in Position 7 and the compound 11.1 by the electrophile substitution of one tBu group. Nitration of diethyl 2-hydroxyazulene-1,3-dicarboxylate occurred, obtaining diethyl 1-nitro-2-oxo-1,2-dihydroazulene-1,3-dicarboxylate, 11.4; the SEAz product 11.5 was also formed in high amounts.

Scheme 11.
Vilsmeier reaction and azulene nitration.
More recently, Shoji et al. obtained N-containing heteroarylazulenes by the electrophilic substitution of 1,3-di-tert-butylazulene [] without the presence of a transition metal catalyst. The triflates of several N-containing heterocycles were used as reagents, and the results are included in Scheme 12. As intermediates, dihydroheteroarylazulenes 12.1 and 12.2 were formed. The reaction mixture can contain mono- and di-substituted compounds, 12.3 and 12.4, and also the intermediate widely depending on the ratio between azulene, Tf2O, and heteroaryl. The intermediates were also obtained by reaction under milder reaction conditions and can be aromatized in the presence of KOH in ethanol. All reactions proceeded with very good yields. When pyridine was used as a starting material, the pyridinium compound 12.5 resulted as the only product (yield: 92%).

Scheme 12.
Synthesis of N-containing heteroarylazulenes by electrophilic substitution.
4. Nucleophilic Reactions at Azulene Substituents
Contrary to the low interest towards SNAz, nucleophilic reactions involving azulenic substituents have been studied frequently and with increasing interest. Many of these have concerned the nucleophilic substitution of a hydrogen atom belonging to an alkyl group in Position 4(6). Examining Scheme 13, it is obvious that this nucleophilic reaction takes place in the first step by the elimination of a proton with the development of the cyclopentadienyl aromatic system that stabilizes the intermediate, anion 13.1, and promotes the reaction. The scheme exemplifies a series of such reactions which, despite being carried out before 2000, can create a comprehensive view about the reaction. Thus, the halogenated reagents were used in Reactions (a) [] and (b) [] and, with iso-pentyl nitrite, the oxime 13.4 was obtained (route (c)) which was subsequently used for the generation of the nitrile 13.5 (route (c′)) []. The attempt to acylate trimethylazulene led to the condensation product 13.6 in a high yield []. Herrmann et al. condensed the trimethylazulene with ferrocen-2-yl ketones in order to prepare compounds with NLO potential, 13.7 and 13.8. The reaction occurred at methyls in both Positions 4 and 6 [,].

Scheme 13.
Nucleophilic substitution of hydrogen belonging to the alkyl group in Position 4.
Hansen condensed the methyl group from Position 4 belonging to several polyalkylated azulenes with various benzaldehydes, with the aim of affording stirylazulenes and improving the conditions under which the reaction takes place (Scheme 14) []. When both Positions 4 and 8 were methylated, the condensation took place at both positions (compounds 14.3 and 14.4). The phenyl substitution with NO2 dramatically decreased the yield (compound 14.2 NO2), as well as the substitution near the bulky tBu group (compounds 14.3 and 14.4).

Scheme 14.
Synthesis of 4-stirylazulenes.
In 2008, Razus et al. published preliminary results obtained by the condensation of the methyl groups belonging to the seven-membered ring with thiophene-2-carbaldehyde in the presence of sodium N-methylanilide (Scheme 15) []. The resultant mixture was complex, containing a reduced amount of the attempted vinylazulene 15.2. In more significant quantities, the ketone 15.3 resulted, an Oppenauer oxidation product of the intermediate alkoxide 15.1 with the used excess of starting aldehyde. Another condensation product between the ketone 15.3 and thiophene aldehyde, the compound 15.4, was present. Starting from 4,8-dimethyl-6-tert-butylazulene, the change in the base could be observed. Using PhNMeNa, a high amount of the secondary condensation compounds 15.7 and 15.8 prevailed compared to styryl derivatives such as 15.5 and 15.6. With tBuOK [], together with a small amount of the ketone 15.7, mainly vinyl compounds such as 15.5 and 15.6 were generated. The compound 15.9 was also detected by LC-MS analysis.

Scheme 15.
Condensation of guaiazulene with thiophene-2-carbaldehyde.
This investigation was continued in 2020 [] by the condensation of 6-methylazulene, 4,8-dimethyl-6-tert-butylazulene, and 4,6,8-trimethylazulene with thiophene 2- and 3-carbaldehyde using tBuOK as a base. The reaction of guaiazulene is presented in Scheme 15 in comparison with the reaction promoted by the sodium N-methylanilide. The reaction in the presence of alkoxide proceeded towards vinyl products and the ketone resulted only in very small quantities. This trend was also maintained when started from 6-methylazulene or from 4,6,8-trimethylazulene (Scheme 16). The 6-methylazulene reacted with thiophene carbaldehydes, giving exclusively vinyl derivatives: 16.1. The reaction mixture obtained after the reaction of trimethylazulene contains mono, bis, and tris-vinyl azulene, 16.2 to 16.5, in moderate yields and very small amounts from ketone derivatives such as 16.6 and 16.7 which were only detected by LC-MS analysis. The obtained results show a similarity in the behavior of the two thiophene aldehydes used in the reactions.

Scheme 16.
Condensation of guaiazulene with thiophene 2- and 3-carbaldehyde.
During a study dealing with chromophoric materials derived from guaiazulene, Belfield et al. [] condensed certain aromatic and heteroaromatic aldehydes with guaiazulene. As presented in Scheme 17, several sets of reaction conditions were tried, various aldehydes served as raw materials, and the yields were between modest and good. It should be noted that, after changing the reaction conditions (tBuOK; neat) [] compared to the previous ones (PhNMeNa; THF) [], the results for the condensation of thiophene-2-aldehyde were very different. Thus, in the presence of alkoxide/neat, the only reaction product is the alkene (17.1f = 15.2) and the formation of ketones was not observed despite the excess of aldehyde used.

Scheme 17.
Condensation of guaiazulene with certain aromatic and heteroaromatic aldehydes.
The possibility of using azulene carbaldehydes as building blocks for a wide range of syntheses has boosted investigations in this direction. Vilsmeier formylation of the azulene five-membered ring by reaction with dialkylacylamides in the presence of POCl3 was extensively presented in Zeller’s review [] and is still frequently used to obtain azulene compounds. The same cannot be said about the azulene carbaldehydes with the CHO group at the seven-membered ring. As such, interest in obtaining these azulene compounds has been present in the last decades and, in Scheme 18, certain syntheses proposed for this purpose are presented together with a few examples of vinylazulenes obtained starting from the azulene carbaldehyde. The synthesis proposed by Kurotobi et al. [] started from 4-methylazulene substituted with the electron-withdrawing group CO2Me in Position 1. This reacted with N,N-dimethylformamide dimethyl acetal giving the enamine intermediate 18.1 which was subsequently oxidized to aldehyde 18.2 with NaIO4. Wallén et al. obtained the aldehyde 18.4 from methylazulene by the same route [], and guaiazulene was transformed by Lewis into the aldehyde 18.6 [] which was alkenylated by a Horner–Wadsworth–Emmons reaction carried out using a variety of phosphonates. Comparing the results obtained by Lewis for the vinylazulene 18.7 (R = Cl or NO2) with those for the similar compound 14.2, obtained by the Hansen procedure, the yields of the latter compound were superior.

Scheme 18.
Synthesis of enamine intermediates and subsequent corresponding azulene carbaldehydes.
5. Reaction with Organometallic Derivatives
Takase et al. reported in 2000 [] their research, begun in 1973, on the treatment of a series of azulenes with organomagnesium compounds. The reaction occurred in two steps: addition of an organometallic compound and dehydrogenation with chloranil to rebuild the azulenic system (Scheme 19). The authors paid attention to the nature of the organomagnesium derivative but also to the influence of the azulene substituents. Since the addition is nucleophilic, the authors started with the favorable diethyl azulene-1,3-dicarboxylate. Without a substituent in Position 2, this position is attacked in a reduced proportion (compound 19.1a to d), and in the preferred seven-membered ring, Position 4 is activated over Position 6 (compounds 19.2a to d and 19.3a to d, respectively). The bulkiness of the agents affects the positions of the azulene attack; thus, the substitution with tBu preferred Position 6 (compounds 19.3d). The chlorine in Position 2 was not sensitive to the presence of the Grignard compounds, and the ratio between the formed products (compounds 19.5–19.7) did not differ from that in the absence of halogens. The use of methylmagnesium iodide produced a small amount of ethyl 3-acetylazulene-1-carboxylate (compounds 19.4c and 19.7c) after the reaction of the reagent with the ester group. The unexpected presence of the Ph group in Position 5 (compound 19.10) should be noted, even if the amount present was very small.

Scheme 19.
Reaction of azulenes with organomagnesium compounds.
Grignard reagents have also been implicated in syntheses obtaining azulenic dimers, and the synthesis was reported by Hünig and Ort []. The reaction mixture contains, along with the dimers 20.2–20.4, the intermediate, namely the addition compound 20.1, in a rather large amount (Scheme 20). Both in this article and in that of Takase, it is assumed that the attack of the organomagnesium reagent produces in the first instance an anion radical.

Scheme 20.
Dimerization in the presence of a Grignard reagent.
The presence of an azulene anion radical was also postulated by Maekawa et al. in an article dealing with azulene coupling with α,β-unsaturated ketones by Mg-promoted reduction []. As shown in Scheme 21, a reductive coupling of azulene with various α,β-unsaturated ketones, 21.1, takes place with magnesium in the presence of chlorotrimethylsilane in 1-methyl-2-pyrrolidinone. The electron transfers from the metal to azulene and affords the radical anion and then the dianion, and the involvement of Me3SiCl generates the addition product 21.2. The yields of this sequence were moderate, and those for the oxidation of 21.2 to 21.3 with DDQ were better. The authors’ proposed mechanism for explaining the course of the reaction is shown in Scheme 21.

Scheme 21.
Regioselective coupling of azulene at the double bond of α,β-unsaturated ketones.
In order to achieve the halogen–metal exchange reaction with a metallic reagent for a new functionalization of azulene, 2- and 6-iodoazulene were used []. These compounds were reacted with n-butyllithium and lithium tri(n-butyl)magnesate (Scheme 22). The 6-azulenylmetal, reagent 22.1, can act as the starting material for the synthesis of an important series of products. Thus, the reaction with electrophiles afforded the compound 22.3 and with DMF produced the aldehyde 22.2 used in several condensations.

Scheme 22.
Halogen–metal exchange reaction at Position 6 of azulene and subsequent replacement of metal.
6. Reactions Catalyzed by Transition Metal Complexes
The predominant way to obtain important azulene compounds substituted at the seven-atom ring is the cross-coupling reaction. This works under the catalytic influence of transition metal complexes. Therefore, the present subchapter will develop this topic with predilection, leaving the few examples that do not belong to this class of reactions to be mentioned at the end of the subchapter.
6.1. Stille Cross-Coupling
The Stille cross-coupling syntheses at the seven ring, described by Ito et al. [], start from organotin derivatives: 23.1R. As described in Scheme 23, this organometallic compound results from the substitution of halogen in Position 6 with 1,1,1,2,2,2-hexabutyldistannane, (n-Bu3Sn)2, catalyzed by Pd(0) []. This reaction occurs in moderate to good yields (for compound 23.1R = CO2Et (69%) ≡ 22.3E = nBu3Sn (82%) Scheme 22). Several classes of halogenoderivatives were reacted with azulenyltin compounds 23.1 in the presence of Pd(dba)3.P(tBu)3.CsF. Starting from 4-substituted chlorobenzenes (Entry 1), the reaction mixture contained, together with a majority of 6-phenylazulenes, 23.2, small amounts of the dimer 23.3 and the product of metal elimination, 23.4. The acyl chlorides (Entry 2) produced the substituted product 23.5 and, depending on the acyl nature, the elimination compound 23.4. When halogenoazulenes were used (Entry 3) the dimers 23.3, 23.6, or 23.7 were formed in moderate yields.

Scheme 23.
Stille reaction at azulene Position 6.
Another target proposed by Ito et [] was to obtain substituted benzene with multiple azulen-6-yl moieties (Scheme 24) starting from benzene with bromine atoms in different positions. The reaction afforded compounds substituted only with azulenyl groups, 24.2, 24.4, and 24.6, the benzene with these groups, and one nBu group, 24.3, 24.5, and 24.7, as a result of the transfer of one nBu from the organotin reagent. The attempt to substitute all six positions in benzene failed and the products obtained contained positions occupied by azulenyl but also positions where bromine had been eliminated. All the experiments described in Scheme 24 occurred with modest yields.

Scheme 24.
Stille reaction of benzene with bromine atoms in different positions.
Stille condensation was also used by Crombie et al. for building substituted azulenes and oligoazulenes []. In their works, the starting reagents were both azulene with the SnMe3 group, 25.2, and other compounds possessing this substituent, 25.3 (Scheme 25). It should be noted the surprising reaction of the compound 25.2 with the formation of the dimer 25.4 occurred with an excellent yield.

Scheme 25.
Stille reaction with organotin compounds.
The research works of Amir et al. are oriented in the same direction, using Pd2(dba)3 as catalyst. They condensed the halogenoazulene 26.1 with various trimethylstannyl derivatives in the presence of microwaves, with the aim of realizing the azulene-based conjugated oligomers 27Ra–f (Scheme 26) [,]. As can be seen, the authors started from a wide range of heterocyclic compounds and the reaction yields were very good.

Scheme 26.
Condensation of halogenozulene with various trimethylstannyl derivatives.
6.2. Heck–Negishi Condensation
This procedure represents an alternative to the Stille reaction. Here, Sn was replaced by Zn in the organometallic reagent, which is coupled with halogenoazulene in the presence of the Pd catalyst, and the product 27.1 (Scheme 27) resulted in a good yield [].

Scheme 27.
Heck–Negishi condensation.
6.3. Syntheses of Other Thienylazulene Derivatives
Scheme 28 shows a route for obtaining 6-thienylazulene derivatives [] which, with respect to their stable redox properties, may be expected to provide good-performance organic electronics. In addition to the substitute thiophene, route (a) in Scheme 28, Shoji et al. used benzo[b]thiophene and 2,3-dihydrothieno [3,4-b][1,4]dioxine as partners in the cross-coupling with the 6-bromide 28.1, with Position 2 occupied, for the generation of the products 28.3 and 28.4 via Routes (b) and (c) along the compounds 28.2 resullted on the Route (a).

Scheme 28.
Palladium catalyzed reaction between the 6-bromoazulene 28.1 and thiophene derivatives.
6.4. Suzuki–Miyaura Cross-Condensation
One of the particularly successful procedures by which the seven-membered ring can be substituted is the Suzuki–Miyaura cross-condensation. Together with halogenoderivatives, boronate reagents represent the components for this transition-metal catalyzed cross-coupling reaction. The halogen and the boryl group may belong to azulene or the other reagent that participates in the condensation.
Several pieces of information on the methodology to borylate the seven-membered ring of azulenes will be briefly mentioned below. Thus, Scheme 29 completes Scheme 22 by introducing the replacement of the metal substituent with a boryl group []. The reaction with 2-isopropoxy-4,4,5,5-tetramethyl-1,3,2-dioxaborolane furnished the desired boronate 29.1.

Scheme 29.
Borylation of azulenes.
In the syntheses included in Scheme 30, the C-H bond is activated by the catalytic presence of the iridium compound and azulene, as well as borylated azulenes being used as starting materials []. In the absence of a substituent, the borylation at the seven-membered ring occurs with only a 4% (compound 30.3) yield; however, when Bpin is present at five-membered ring (compounds 30.1 or 30.2), the substitution at the seven-atom ring increases significantly. It should be noted that Positions 5 and 6 of azulene are preferentially occupied. The authors explain how electronic and steric effects influence the ratio of products in the reaction mixture. The article also reports the deborylation of compounds 30.8 and 30.9 to 30.12 by chromatography on an SiO2 column.

Scheme 30.
Borylation at the azulene seven-membered ring.
Somewhat more recently, the polyborylation of azulene was also carried out, albeit with a modest yield []. The formed compound 31.1 was then treated with TFA in AcOEt and the deborylated compound 31.2 was subsequently Suzuki-reacted to 5,7-diphenylazulene, 31.3 (Scheme 31). The last two reactions occurred with good yields.

Scheme 31.
Polyborylation and deborylation at the azulene seven-membered ring; Suzuki coupling.
From the multitude of Suzuki cross-condensations that have been described in the literature, only a few significant examples have been chosen and will be developed below. At the beginning, certain examples of azulene dimerizations and oligomerizations will be given using the Suzuki coupling. Thus, the complex of Pd(OAc)2 catalyzes the reaction between the borylated azulene 32.1 and the halogenoazulene 32.2 [], giving the dimer 32.3 with a moderate yield (Scheme 32).

Scheme 32.
Azulene dimerization by Suzuki condensation.
Linear expanded azulene π-conjugated oligomers can play a part in the building of OFET materials; thus, Katagiri et al. [,] developed the syntheses of such compounds. The first attempt started from the halogenated dimer 33.1 and the boryl ester 33.2 without other substituents, and the reaction yield was modest (Scheme 33). Since nucleophilic agents, for electronic reasons, can more easily attack Position 6 in azulenes substituted in Positions 1 and 3 with CO2R groups, compounds with this structure 33.4 have been used in many boronyl group substitutions with good results. Due to the tendency of Position 2 to be attacked by a nucleophile, one starts from azulenes substituted in this position.

Scheme 33.
Azulene oligomerization by Suzuki condensation.
Showing similar concerns, Gao X. et al. [] have obtained 2,2″-biazulene-1,1′,3,3′-tetracarboxylic diimides, 34.2, with photophysical properties as promising organic electronic materials (Scheme 34). The synthesis starts from the sequence 33.4–33.7 described in Scheme 33.

Scheme 34.
Gao X. synthesis of cyclic diimide.
The raw material 35.1 used in Scheme 35 was prepared by replacing the halogen in Position 6 in the compound 28.1 with the boronyl group, and several interesting products were obtained using the boronate 35.1 []. In addition to the azulene dimer and trimer 35.2 and 35.3, the heterocyclic compounds 35.4 and 35.5 were also prepared (Routes a, b, and c, d). It should be noted that Murfin et al. replaced the boronyl group in 35.1 with a hydroxyl as in compound 35.6 (Route e), which may have further applications in two-photon fluorescence imaging [].

Scheme 35.
Suzuki cross-coupling syntheses.
In the examples developed above, a boronyl group is attached to azulene, whereas the following Suzuki syntheses use other borylated compounds that are coupled with halogenoazulenes. Thus, Scheme 36 illustrates the use of boronated thiophene with the 6-bromoazulene 28.1 [].

Scheme 36.
Suzuki reaction with thiophen-2-ylboronic acid.
In a study regarding photochromism, the “diarylethene” derivatives 37.1 and 37.2, incorporating a double bond of the seven-atom ring as the ”ethene” moiety, were synthesized by Suzuki coupling between five-membered heteroaryl boronates and 5,6-dibromoazulene as shown in Scheme 37 []. The derivative 37.1 with thiazole groups showed photochromism, while the compound 37.2 with thiophene rings did not show any photochromism.

Scheme 37.
Obtainment of “diarylethenes” 1 and 2 and their photochromic behavior.
The Suzuki–Miyaura protocol was also used for the synthesis of certain polymers. During the study of the optoelectronic and stimuli-responsive properties of several materials, Murai et al. [] proved that 4,7-bis(9,9-dioctylfluoren-2-yl)azulene, 38.1, and 4,7-bis(3,3′-didodecyl-2,2′-bithyenyl)azulene, 38.2, exhibit stimuli-responsive behavior in the solid state with spin-coated thin films undergoing rapid and reversible color switching. Therefore, they synthetized these compounds via the Suzuki–Miyaura route as shown in Scheme 38. Next, they treated the reagent 38.3, in which the position indicated by the arrow is also boronated, with a mixture of 1,3 and 4,7-dibromoazulenes, and the properties of the resulting polymer were studied.

Scheme 38.
Synthesis of bithyenyl-azulene, 38.1.
The target of studies undertaken by Gao X. et al. was to find compounds that can improve proton responsiveness and electrical conductivity [,]. Until their research, most compounds with these characteristics included azulenes substituted in Positions 1 and 6. In their work, Gao X. et al. paid attention to systems with 1,3-free-2,6-connected azulene units in the molecule or polymeric backbone. The generation of oligomers (39.2 and 39.6) and polymers (39.3 and 39.4) belonging to these compound classes followed the Suzuki-Miyaura protocol as can be seen in Scheme 39. The coupled reagents were 1,6-dibromoazulene and 2,2′-(9,9-dioctyl-9H-fluorene-2,7-diyl)bis(4,4,5,5-tetramethyl-1,3,2-dioxaborolane), 39.1.

Scheme 39.
Oligomers and polymers by Suzuki–Miyaura cross-coupling.
In 2020, a comprehensive and interesting review was published on “azulene-based molecules, polymers, and frameworks” []. The authors mainly refer to compounds with optoelectronic and energy applications.
6.5. Various Syntheses Catalyzed by Transition Metal Complexes
The valuable photophysical properties and proton conductivity of poly [2(6)-aminoazulene], 40.5, have boosted the study of these compounds, as well as studies of dimeric aminoazulene, 40.3 []. In order to produce these compounds, the Buchwald–Hartwig procedure shown in Scheme 40 was used.

Scheme 40.
Buchwald–Hartwig procedure for obtaining dimeric aminoazulenes and poly [2(6)-aminoazulene.
Other aminoazulenes, 41.1–41.4, with interesting chemical properties have been reported by Ito et al. []. These compounds were obtained from the reaction of p-toluidine and p-phenylenediamine with 6-bromoazulene as shown in Scheme 41, and the ratio between the formed derivatives depended on the used ligand.

Scheme 41.
Palladium-catalyzed reaction of phenylamines with 6-bromoazulene.
The reaction of dehydrogenative silylation (Scheme 42) is catalyzed by an iridium complex (Scheme 40) and takes place in two stages, both based on the chemo- and regioselective activation of Csp2–H bonds at five-atom and seven-atom azulene rings []. The first step occurs with excellent yields and provides 2-silylazulene, 42.1, even without any directing groups. However, without the presence of a hydrogen acceptor, the yield drops to 19%. The second-ring silylation does not have the same efficiency and leads to a mixture of isomers, 42.2 and 42.3.

Scheme 42.
Dehydrogenative silylation of azulene.
7. Azulene Derivatives Containing Ethynyl Group(s)
A frequented field of azulene chemistry is represented by the compounds that contain the ethynyl group in the molecule. In addition to their interesting physicochemical properties, the compounds of this class can play the role of electrochromic materials or materials for the construction of high-performance semiconducting polymers for transistors and solar cells. This is why certain examples from this broad class of compounds will be briefly presented below.
7.1. Azulenes Substituted with Ethynyl Groups
During their research of the properties of azulenes substituted with ethynyl groups, Koch et al. found that a 2,6-connection in azulene, as seen in compound 43.4, “exhibits quite interesting and unique optical and physical properties in comparison with the other isomers of di(phenylethynyl)azulenes” []. Therefore, they developed a route for the synthesis of such products, described in Scheme 43. As starting materials, halogenated azulenes were used. It should be mentioned that as the activating group in the azulene Position 2, OMe was used here instead of the amino group from compound 28.1, and the reaction with ethynylbenzene was catalyzed by the Pd complex and occurred with good yields. The subsequent reactions at the OMe group afforded bromoazulene, 43.3, which was transformed into 2,6-di(phenylethynyl)azulene, 43.4. The reaction of 4.7-dibromoazulene and ethynylbenzene gave the corresponding disubstituted product 43.5.

Scheme 43.
Reaction of bromoazulenes with ethynylbenzene.
A number of papers elaborated by Ito et al. have dealt with the obtainment, properties, and possible technical use of ethynylazulenes. Following the Sonogashira–Hagihara conditions, they reacted 6-bromoazulene with ethynyltrimethylsilane and with ethynylbenzene in the catalytic presence of the palladium complex as shown in Scheme 44 [,]. Two observations should be made in relation to this reaction. The halogen in Position 6 is not activated by effective substituents in Position 2 as in the case of the compounds 28.1 or 43.1 without a decrease in yield. In addition, the presence of CO2Et groups in Positions 1 and 3 does not improve the results of the reactions. The resultant first products 44.1 and 44.2 were then used as a starting material for subsequent reactions. Thus, the Me3Si group was removed from the compound 44.1 to yield the ethynylazulene 44.3, which afforded the dimer 44.4 after reaction with the starting bromoazulene. Both the phenylethynylazulenes 44.2 and the dimer 44.4 were involved in the Diels-Alder reaction with a large excess of tetraphenylcyclopentadienone and the polysubstituted benzene 44.5 and 44.6 were obtained. The desired target, namely the generation of hexa(6-azulenyl)benzene, failed. The reaction of the dimer 44.4 under the influence of CpCo(CO)2 led to the formation of the cobalt complex 44.7.

Scheme 44.
Reaction sequences starting from 6-bromoazulene, 44.1, and ethynyltrimethylsilane or ethynylbenzene.
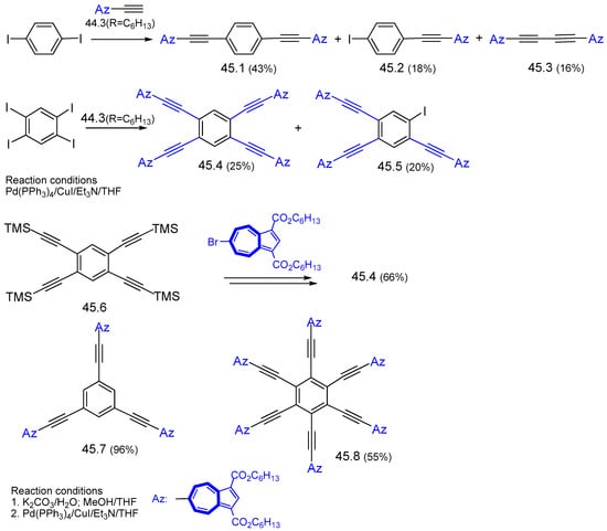
As a result of the synthesis failure of hexa(6-azulenyl)benzene, Ito et al. have focused their attention on obtaining the corresponding hexa(6-azulenylethynyl) derivative []. At the same time, a series of poly(6-azulenylethynyl)benzene derivatives were described in this study (Scheme 45) because these systems can take part in the building of advanced materials for electrochromic application with liquid crystalline behavior. Sonogashira–Hagihara conditions were applied to the halogenated compounds of benzene or azulene. Depending on the structure of the benzene iodides after the reaction with ethynylazulene, a mixture of compounds, 45.1–3, 45.4, and 45.5, was formed. The reaction of bromoazulene with ethynylbenzenes occurred with better results. The reaction of TMS elimination from 45.6 and the subsequent condensation of formed bromoazulene were developed without the separation of ethynyl compounds. In this way, compounds 45.4 and 45.7 were obtained with good yields, but especially the interesting compound 45.8 with all benzene positions substituted by azulenylethynyl groups.

Scheme 45.
Sonogashira–Hagihara reaction for the generation of azulenylethynylbenzenes.
Continuing the interest in the realization of electrochromic materials with a strong absorption in the near-infrared region, Ito et al. synthesized the compound 46.4 []. This 9,10-anthracenediyl spacer with azulene-substituted enediyne groups in Positions 9 and 10 was obtained as described in Scheme 46, and the product proprieties were investigated by the authors. The polyethynyl compound 46.3, obtained as in Scheme 46, was treated with 6-bromoazulene in the presence of a Pd(0) catalyst and afforded the attempted product 46.4.

Scheme 46.
Synthesis of 9,10-anthracenediyl with azulene-substituted enediyne groups at Positions 9 and 10.
Sonogashira–Hagihara reactions have continued to attract the attention of researchers. Thus, Okujima et al. obtained bis-substituted azulenylethynyl thiophenes, terthiophenes, and dithienothiophenes following the procedure described in Scheme 47 []. The properties of the products are expected to provide high-performance photovoltaic cells.

Scheme 47.
Sonogashira–Hagihara reaction based on reagents with thiophene in the molecule.
The synthesis of 6-(2-benzofuryl)azulenes, 48.2, with marked halochromic and fluorescent behaviors was accomplished by Shoji et al. by Sonogashira coupling of the haloazulene with 2-ethynylphenol, 48.1, followed by an intramolecular cyclization reaction (Scheme 48) [].

Scheme 48.
Sonogashira coupling of the haloazulene with 2-ethynylphenol.
An interesting reaction in which an azulenic compound 49.1 with an ethynyl group in the molecule is involved in a Diels–Alder cycloaddition to build a benzene ring, as in the product 49.2 shown in Scheme 49 []. The generation of starting 49.1, as well as its cycloaddition, occurred with excellent yields.

Scheme 49.
Diels–Alder cycloaddition to build the product 49.2.
7.2. Polymers including Ethynyl Groups
One of the remarkable properties of azulene is the possibility of being incorporated into a polymer chain with valuable technical properties. A recent review briefly presented a series of syntheses of such polymers and suggested their possible practical uses []. Among the azulene-containing polymers reported in this paper, 4,7-connected azulenes to each other or with various copolymers can be encountered, as well as other possible connections. Since, in the previous sub-chapter, several azulene compounds containing the ethynyl group were selected, a new family of polyazulenes connected through the seven-membered ring prepared by Sonogashira-coupling reactions will be presented here (Scheme 50) []. The compound 4,7-dibromoazulene 50.1 and the bis-ethynylazulene with substituents in the same positions, 50.2, were connected under the Sonogashira reaction conditions by Murai et al. [], and the polymer 50.3 resulted in a good yield. The same paper described the formation of the polymer 50.4 by the homopolymerization of azulenes using the Yamamoto protocol. Stille coupling was also realized, starting with the same dibromoazulene and 2,2′-(6-dodecylazulene-4,7-diyl)dithiophene, 50.5, converted into a trimethylstannyl derivative. A more extensive presentation of the polyazulenes topic is beyond the scope of this review.

Scheme 50.
Substitution with the simultaneous generation of a heteroaromatic substituent.
8. Polycyclic Compounds That Include the Azulenic System
One of the earliest syntheses of a tricyclic compound in which azulene is present was performed by Hafner in 1963 [,]. As can be seen from Scheme 51, the internal addition of a carbanion to the C=O bond in ketone 51.1 followed by water elimination afforded the azulenic intermediate 51.2 including a cyclohexadiene system. However, because the stability of the benzene structure exceeds that of the nonalternant nonbenzenoid aromatic azulene, the benzenoid structure was adopted for the final benzoheptafulvene derivative 51.3. A remarkable property of compound 51.3 consists of its ability to lose a proton, generating compound 51.4, containing the stable cyclopentadienyl anionic structure. The same compound can be protonated to form the stable tropylium system contained in 51.5.

Scheme 51.
The synthesis of the tricyclic compound 51.3 and its subsequent reactions.
The benzo[cd]azulen-3-ones 52.2 and 52.6 that will be discussed next are related to compound 51.2 reported by Hafner. Compound 52.2 was described by Gibson who obtained it by internal addition of a carbanion to the C=O bond in ketone 52.1 (Scheme 52) []. Later, the same system as in benzo-[cd]azulen-3-ones, 52.6, was synthesized starting with an internal attack at Position 3 of compound 52.4 and the subsequent conversion of the intermediate 4,5-dihydrobenzo-[cd]azulen-3-ones, 52.5. The latter transformation was realized by mesylation of the hydroxyl groups followed by base-assisted elimination of the mesylate in the presence of triethylamine (TEA) (Scheme 52) []. The obtained compound 52.6 was investigated in relation to its possible tautomerization. Thus, its protonation leads to a remarkable intermediate, 52.7, with the benzo-[cd]azulenium cationic structure showing a continuous electronic conjugation. The elimination of the proton occurs at the iPr group in 52.7 afforded the tautomer of 52.6 namely the compound 52.8 (R2 = H) where the azulene structure is lost in favor of the formation of the benzene moiety. The low stability of 52.8 (R2 = H) suggested it being obtained simultaneously with the methylation of the hydroxyl group with the generation of compound 52.8 (R2 = Me).

Scheme 52.
The synthesis of tricyclic compound 52.6 and its tautomerization.
Benz[a]azulenes, 53.1 (Scheme 53), are somewhat related to the previously discussed tricyclic systems shown in Scheme 52 and have been studied as starting materials in oxidation reactions. These compounds, known for a long time but obtained advantageously recently by Shoji et al. starting from 2H-cyclohepta[b]furan-2-ones [], were oxidized with bromine in a reaction performed by Nozoe et al. [] or with MnO2 as reported by Sigrist and Hansen []. In these reactions, the participation of the azulene seven-atom ring in the formation of benz[a]azulenequinones, 53.2, was highlighted. Considering the toxicity of bromine and the poor results when MnO2 was used as oxidant, as well as the complexity of the reaction mixture obtained in these reactions, Shoji et al. [] used pyridinium hydrobromide perbromide as an oxidant with acceptable results, as described in Scheme 53.

Scheme 53.
Oxidation of benz[a]azulenes with pyridinium hydrobromide perbromide.
The azulenic tricyclic compounds can also contain a heterocyclic system. Among the compounds described in the literature, only two will be retained for exemplification. The ethyl 1H-azuleno [8,1-cd]-pyridazine-5-carboxylate, 54.2, resulted in the reaction of ethyl 4-ethoxy-3-formylazulene-1-carboxylate, 54.1, with hydrazine (Scheme 54). Presumably, the reaction occurred via a substitution reaction and subsequent intramolecular condensation []. By replacing hydrazine with phenylhydrazine, the fulvenic compound 54.3 was formed as a product. It is interesting that the alkylation of compound 54.2 with alkyl iodides led to a mixture of N-alkylated pyridazines and/or fulvene products, 54.4 and 54.5.

Scheme 54.
Synthesis of pyridazines and/or fulvenes starting from ethyl 4-ethoxy-3-formylazulene-1-carboxylate and hydrazines.
Other tricyclic compounds were obtained starting from the 4-aminoguaiazulene 55.1 which was reacted with 1,2-dicarbonyl compounds: oxalyl dichloride and compounds 52.3 (ethyl 3,3,3-trifluoro-2-oxopropanoate or diethyl 2-oxomalonate) []. The lactames 55.2 and 55.3 were formed in a cascade mechanism proposed by the authors and represented in Scheme 55.

Scheme 55.
Tricyclic compounds obtained starting from 4-aminoguaiazulene and 1,2-dicarbonyl compounds.
The examples of tricyclic compounds discussed above referred to compounds in which azulene was condensed with a six-atom ring. In the following, certain procedures will be given for the realization of tricyclic azulenic systems containing a five atoms ring which are interesting both from a structural and historical point of view. After the synthesis of compound 56.1 by Vilsmeier–Haack reaction and the subsequent cyclization, Hafner obtained the tricyclic amine 56.2 []. The ammonium salt 56.3 resulted by methylation was transformed into the compounds 56.4 and 56.5, as resulted from Scheme 56.

Scheme 56.
Tricyclic azulenic systems containing a five-atom ring.
Anderson et al. condensed the carbonyl group of the starting ketone 56.6 with the methyl of the seven-membered ring in a basic medium [] and afforded the product 57.7 with various substituents at the seven-membered ring (Scheme 56).
From the polycyclic aromatic hydrocarbons, special attention was paid to dicarboximides, which are valuable from a scientific point of view but also as new π scaffolds materials. After developing the synthesis procedure for the terylene-bis imide 57.2Nf, with the structure partially represented in Scheme 57 [] (naphthalene replaces azulene in the formula 57.2Az), the same research team extended the concern to the replacement of naphthalene with azulene as in the compound 57.2Az []. The last non-alternant isomer of the terylene-bis imide was synthesized in a moderate yield by the palladium-catalyzed annulation of the bis boronic ester of azulene and dibromide 57.1.

Scheme 57.
Synthesis of dicarboximides polycyclic aromatic hydrocarbons, terylene, and the azulenic isomer.
9. Porphyrinogenic Systems and Phthalocyanines Containing Azulenyl Moiety (Azulenocyanine)
A fascinating chapter in azulene chemistry deals with the study of porphyrins with an extended electronic system by substituting them with an azulenyl group. The research of Kurotobi et al. realized the substituted porphyrinogenic systems with one to four azulenic substituents linked with their different carbon atoms []. These research works differ from those of Sprutta and Lash, who introduced the azulene system into the porphyrin network [,,]. In the following, the molecules in which the azulenyl moiety is meso-linked to the porphyrin system at the five- or six-atom ring will be considered. However, it must be remembered that Kurotobi et al. also synthesized porphyrins substituted with one azulen-1-yl or azulen-2-yl by the Suzuki–Miyaura coupling of meso-bromoporphyrin []. The first synthesis proposed by Kurotobi is based on the Ziegler–Hafner route to build the azulenic system that uses the pyridine ring as the starting system [] (Scheme 58). The same research team, in a similar way, realized the compound with a porphyrin core substituted with four azulen-6-yl moieties; however, this was only present in a 1% yield.

Scheme 58.
Azulenyl moiety meso-linked to the porphyrin system.
The second synthesis is focused on the variation in the number of azulenes substituted at the NiII porphyrinic system []. The procedure starts from the building of a porphyrinic system using azulene-containing molecules as depicted in Scheme 59. Metallization was realized upon treatment with Ni(acac)2. The scheme shows the obtainment of NiII–5-(4-azulenyl)porphyrin, 59.1, and NiII–5,15-bis(4-azulenyl)porphyrin, 59.2. The starting dipyrromethane 59.3 used for building compound 59.2 (Route 2) was obtained by the reaction of 4-azulencarbaldehyde with pyrrole in excess, in a good yield. The dipyrromethane 59.3 together with the dipyrromethane 59.4 and aldehyde 59.5 afforded the porphyrinic precursor of 59.1 (Route 1). NiII–5,10,15,20-tetrakis(4-azulenyl)porphyrin, 59.6, was prepared as a mixture of atropisomers under Lindsey conditions [] from pyrrole and 4-azulencarbaldehyde. The authors also produced the azulene-fused porphyrin by binding the azulene in Position 2 with the pyrrole system belonging to the porphyrin skeleton [].

Scheme 59.
NiII-porphyrin substituted with azulen-4-yl group(s).
Along with azuliporphyrins and azulenylporphyrins, a new family of dyes named phthalocyanines have shown intense near-IR absorption: a property that, together with a high stability to light and heat, can determine the use of these compounds in a series of technical applications. The azulenocyanine, named by the authors as the azulene-fused tetraazaporphyrin, 60.2 [], is an isomer of naphthalocyanine synthesized in 1927 by de Diesbach et al. []. The synthesis begins with the two-step preparation of di-tert-butyl 5,6-dicyanoazulenes, 60.1, which, in the presence of lithium alcoholate, generate azulenocyanine with a relatively low yield (Scheme 60).

Scheme 60.
Synthesis of azulenocyanine.
10. Conclusions
The second part of the article Azulene, Reactivity, and Scientific Interest Inversely Proportional to Ring Size deals with the chemical behavior of the seven-atom azulenic ring. For a long time, researchers’ concerns have focused on the chemical behavior of the five-atom azulenic ring. The electrophilic substitutions or cross-coupling reactions at this ring have been investigated and reported extensively, including in Part 1 of this review. The scientific interest shown in the chemical properties of the seven-atom ring, as well as the importance of certain obtained products which involve this ring in a series of practical uses, has boosted the study of the preparation and reactions of that system. The low charge density at the seven-atom ring favors nucleophilic attacks both directly on the ring and on certain substituents placed in appropriate positions. All these variants have been exemplified in the review. However, at the beginning, certain electrophilic reactions at this ring favored by the special structure of certain azulenic compounds have also been exemplified. Alongside nucleophilic attacks, reactions with organometallic derivatives, Stille, Heck–Negishi, and Suzuki–Miyaura cross-coupling, or the obtaining of azulene derivatives containing ethynyl group(s) have been reviewed here. The syntheses of tricyclic products including the azulenic system in the skeleton, together with certain syntheses of polymers and copolymers containing azulenic units, were also briefly discussed. As in the previous review, synthesis schemes in which reaction conditions and yields are found have been preferred to an extended discussion about the schemes. This way of treating the material makes it easier to go through it or to find a particular synthesis procedure. The bibliographic references are focused both on recent information and on several pieces of experimental data that allow a useful foray into the progress of azulene chemistry.
Funding
This research received no external funding.
Institutional Review Board Statement
Not applicable.
Informed Consent Statement
Not applicable.
Data Availability Statement
Data are available in a publicly accessible repository.
Conflicts of Interest
The author declares no conflict of interest.
References
- Razus, A.C. Azulene, reactivity and scientific interest inversely proportionate to ring size. Part 1. Five-membered ring. Symmetry 2023, 15, 310. [Google Scholar] [CrossRef]
- Xin, H.; Gao, X. Application of Azulene in Constructing Organic Optoelectronic Materials: New Tricks for an Old Dog. ChemPlusChem 2017, 82, 945–956. [Google Scholar] [CrossRef] [PubMed]
- Razus, A.C. Azulene Moiety as Electron Reservoir in Positive Charged Systems; Short Survey. Symmetry 2021, 13, 526. [Google Scholar] [CrossRef]
- Zeller, K.-P. Houben Weyl, Methoden der Organischen Chemie; Thieme, G., Ed.; Verlag: Stuttgart, Germany; New York, NY, USA, 1985; Volume V/2c, pp. 249–405. [Google Scholar]
- Hafner, K.; Bernhard, C.; Müller, R.; Zur Kenntnis der Azulene, V. Die Nucleophile Substitution des Azulens. Liebigs Ann. Chem. 1961, 650, 35–41. [Google Scholar] [CrossRef]
- McDonald, R.N.; Petty, H.E.; Wolfe, N.L.; Paukstelis, J.V. Nonbenzenoid aromatic systems. X. Formation, nuclear magnetic resonance spectral identification, and reactions of both Meisenheimer type and methyleneazulenate anions. J. Org. Chem. 1974, 39, 1877–1887. [Google Scholar] [CrossRef]
- Tilney-Bassett, J.F.; Waters, W.A. The substitution of azulene by benzyl radicals. J. Chem. Soc. 1959, 633, 3123–3139. [Google Scholar] [CrossRef]
- Makosza, M.; Kuciak, R.; Wojciechowski, K. Vicarious Nucleophilic Substitution (VNS) of Hydrogen in Azulenes. Liebigs Ann. Chem. 1994, 1994, 615–618. [Google Scholar] [CrossRef]
- Hunig, S.; Hafner, K.; Ort, B.; Muller, M. Einfuhrung funktioneller Gruppen in den siebengliedrigen Ring des Azulens. Liebigs Ann. Chem. 1986, 1986, 1222–1240. [Google Scholar] [CrossRef]
- Makosza, M.; Podraza, R. Hydroxylation and Amination of Azulenes by Vicarious Nucleophilic Substitution of Hydrogen. Eur. J. Org. Chem. 2000, 2000, 193–198. [Google Scholar] [CrossRef]
- Makosza, M. On amination and Diazotization of Azulene and Its Derivatives. Pol. J. Chem. 2001, 75, 275–281. [Google Scholar]
- Hafner, K.; Patzelt, H.; Kaiser, H. Zur Kenntnis der Azulene, XI. Nucleophile Substitution halogenierter Azulene. Liebigs Ann. Chem. 1962, 656, 24–33. [Google Scholar] [CrossRef]
- Nozoe, T.; Takase, K.; Tada, M. The Anionoid Substitution Reaction of Diethyl 6-Bromoazulene-1, 3-dicarboxylate. Bull. Chem. Soc. Jpn. 1965, 38, 247–251. [Google Scholar] [CrossRef]
- Morita, T.; Ise, F.; Takase, K. Synthesis of methyl 1,5- and 1,7-azulenequinone-3-carboxylates. Chem. Lett. 1982, 11, 1303–1306. [Google Scholar] [CrossRef]
- Shoji, T.; Sugiyama, S.; Takeuchi, M.; Ohta, A.; Sekiguchi, R.; Ito, S.; Yatsu, T.; Okujima, T.; Yasunami, M. Synthesis of 6-Amino- and 6-Arylazoazulenes via Nucleophilic Aromatic Substitution and Their Reactivity and Properties. J. Org. Chem. 2019, 84, 1257–1275. [Google Scholar] [CrossRef]
- Shoji, T.; Fujiwara, Y.; Maruyama, A.; Maruyama, M.; Ito, S.; Yasunami, M.; Yokoyama, R.; Morita, N. Synthesis of 2,6-Diaminoazulenes by the SNAr Reaction with Cyclic Amines. Heterocycles 2015, 90, 85–88. [Google Scholar] [CrossRef]
- Shoji, T.; Maruyama, A.; Maruyama, M.; Ito, S.; Okujima, T.; Higashi, J.; Toyota, K.; Morita, N. Synthesis and Properties of 6-Methoxy- and 6-Dimethylamino-1-methylthio- and 1,3-Bis(methylthio)azulenes and Triflic Anhydride-Mediated Synthesis of Their Biaryl Derivatives. Bull. Chem. Soc. Jpn. 2014, 87, 141–154. [Google Scholar] [CrossRef]
- Anderson, A., Jr.; Replogle, L. Communications-Electrophilic Substitution of 1,3-Dichloroazulene. J. Org. Chem. 1960, 25, 1275. [Google Scholar] [CrossRef]
- Anderson, A.G.; Replogle, L.L. Electrophilic Substitution of Some 1,3-Disubstituted Azulenes1,2,3. J. Org. Chem. 1963, 28, 2578–2581. [Google Scholar] [CrossRef]
- Hafner, K.; Moritz, K.L. Zur Kenntnis der Azulene, XIII. Elektrophile Substitutionen des Azulens in 2-und 5-bzw. 7-Stellung. Liebigs Ann. Chem. 1962, 656, 40–53. [Google Scholar] [CrossRef]
- Nozoe, T.; Asao, T.; Oda, M. Some Electrophilic Substitution Reactions of 2-Hydroxyazulene Derivatives. Bull. Chem. Soc. Jpn. 1974, 47, 681–686. [Google Scholar] [CrossRef]
- Shoji, T.; Ito, S.; Toyota, K.; Morita, N. Synthesis of 5-heteroaryl- and 5,7-bis(heteroaryl)azulenes by electrophilic substitution of 1,3-di-tert-butylazulene with triflates of N-containing heterocycles. Eur. J. Org. Chem. 2010, 80, 1059–1069. [Google Scholar] [CrossRef]
- Hafner, K.; Pelster, H.; Schneider, J. Zur Kenntnis der Azulene, VIII. 4-bzw. 8- un 6 Alkyliden-azuleniat Salze. Liebigs Ann. Chem. 1961, 650, 80–92. [Google Scholar] [CrossRef]
- Neidlein, R.; Kramer, W. Heterocyclische und carbocyclische 12-π- and 14-π-Molekelsysteme, 47. Mitteilung. Herstellung von 7,9-Dimethyl-4,5-dihydro-3H-benz [cd]-azulen-3-on and 7,9-Dimethyl-3H-benz [cd]azulen-3-on. Eine einfache Synthese eines Azulenopseudophenalenons. Helv. Chim. Acta 1982, 65, 280–285. [Google Scholar] [CrossRef]
- Wörner, M. Dissertation, Technische Hochschule Darmstadt. 1984. [Google Scholar]
- Herrmann, R.; Wagner, G.; Zollfrank, C. Ferrocene and Azulene—A Promising Combination for NLO Materials. 1995. Available online: http://www.ch.ic.ac.uk/ectoc/papers/49 (accessed on 20 March 2023).
- Herrmann, R.; Pedersen, B.; Wagner, G.; Youn, J.-H. Molecules with potential applications for non-linear optics: The combination of ferrocene and azulene. J. Organomet. Chem. 1998, 571, 261–266. [Google Scholar] [CrossRef]
- Song, J.; Hansen, H.-J. An Improved and Simplified Synthesis of 4-Styrylazulenes. Helv. Chim. Acta 1999, 82, 309–314. [Google Scholar] [CrossRef]
- Razus, A.C.; Birzan, L.; Tecuceanu, V.; Cristea, M.; Enache, C. Condensation of alkylazulenes with thiophene-2-carboxaldehyde and the corresponding azomethines. Arkivoc 2008, 11, 210–226. [Google Scholar] [CrossRef]
- Birzan, L.; Tecuceanu, V.; Draghici, C.C.; Hanganu, A.; Razus, A.C. Preparation of Azulenes Substituted at Seven-Membered Cycle with 2- and 3-thiophenevinyl Groups. Rev. Chim. 2020, 71, 212–224. [Google Scholar] [CrossRef]
- Ghazvini Zadeh, E.H.; Tang, S.; Woodward, A.W.; Liu, T.; Bondar, M.V.; Belfield, K.D. Chromophoric materials derived from a natural azulene: Syntheses, halochromism and one-photon and two-photon microlithography. J. Mater. Chem. C 2015, 3, 8495–8503. [Google Scholar] [CrossRef]
- Kurotobi, K.; Kim, K.S.; Noh, S.B.; Kim, D.; Osuka, A. A quadruply azulene-fused porphyrin with intense near-IR absorption and a large two-photon absorption cross section. Angew. Chem. Int. Ed. Engl. 2006, 45, 3944–3947. [Google Scholar] [CrossRef]
- Leino, T.O.; Baumann, M.; Yli-Kauhaluoma, J.; Baxendale, I.R.; Wallén, E. Synthesis of 1,3,6-Trisubstituted Azulenes. J. Org. Chem. 2015, 80, 11513–11520. [Google Scholar] [CrossRef]
- Williams, G.E.; Kociok-Köhn, G.; James, T.D.; Lewis, S.E. C4-aldehyde of guaiazulene: Synthesis and derivatisation. Org. Biomol. Chem. 2021, 19, 2502–2511. [Google Scholar] [CrossRef]
- Morita, T.; Abe, N.; Takase, K. Reactions of diethyl azulene-1,3-dicarboxylate derivatives and 1-azaazulene derivatives with Grignard reagents, and alkyl- and aryllithium. And reference therein. J. Chem. Soc. Perkin Trans. 1 2000, 18, 3063–3070. [Google Scholar] [CrossRef]
- Hünig, S.; Ort, B. Mehrstufige reversible Redoxsysteme, XXXVII. Biazulenyle und ω,ω′-Biazulenylpolyene: Synthesen und spektroskopische Eigenschaften. Liebigs Ann. Chem. 1984, 12, 1905–1935. [Google Scholar] [CrossRef]
- Maekawa, H.; Honda, J.; Akaba, R. Regioselective coupling reaction of azulene with α,β-unsaturated ketones by Mg-promoted reduction. Tetrahedron Lett. 2012, 53, 6519–6522. [Google Scholar] [CrossRef]
- Ito, S.; Kubo, T.; Morita, N.; Matsui, Y.; Watanabe, T.; Ohta, A.; Fujimori, K.; Murafuji, T.; Sugihara, Y.; Tajiri, A. Preparation of azulenyllithium and magnesium reagents utilizing halogen-metal exchange reaction of several iodoazulenes with organolithium or magnesium ate complex. Tetrahedron Lett. 2004, 45, 2891–2894. [Google Scholar] [CrossRef]
- Okujima, T.; Ito, S.; Morita, N. Preparation and Stille cross-coupling reaction of the first organotin reagents of azulenes. An efficient Pd(0)-catalyzed synthesis of 6-aryl- and biazulenes. Tetrahedron Lett. 2002, 43, 1261–1264. [Google Scholar] [CrossRef]
- Azizian, H.; Eaborn, C.; Pidcock, A. Synthesis of organotrialkylstannanes. The reaction between organic halides and hexaalkyldistannanes in the presence of palladium complexes. J. Organomet. Chem. 1981, 215, 49–58. [Google Scholar] [CrossRef]
- Ito, S.; Okujima, T.; Morita, N. Preparation and Stille cross-coupling reaction of the first organotin reagents of azulenes. Easy access to poly(azulen-6-yl)benzene derivatives. J. Chem. Soc. Perkin Trans. 1 2002, 16, 1896–1905. [Google Scholar] [CrossRef]
- Crombie, A.L.; Kane, J.L., Jr.; Shea, K.M.; Danheiser, R.L. Ring Expansion-Annulation Strategy for the Synthesis of Substituted Azulenes and Oligoazulenes. 2. Synthesis of Azulenyl Halides, Sulfonates, and Azulenylmetal Compounds and Their Application in Transition-Metal-Mediated Coupling Reactions. J. Org. Chem. 2004, 69, 8652–8667. [Google Scholar] [CrossRef]
- Amir, E.; Amir, R.J.; Campos, L.M.; Hawker, C.J. Stimuli-Responsive Azulene-Based Conjugated Oligomers with Polyaniline-like Properties. J. Am. Chem. Soc. 2011, 133, 10046–10049. [Google Scholar] [CrossRef]
- Amir, E.; Murai, M.; Amir, R.J.; Cowart, J.S.; Chabinyc, M.L.; Hawker, C.J. Conjugated oligomers incorporating azulene building blocks—Seven- vs. five-membered ring connectivity. Chem. Sci. 2014, 5, 4483–4489. [Google Scholar] [CrossRef]
- Shoji, T.; Maruyama, A.; Araki, T.; Ito, S.; Okujima, T. Synthesis of 2- and 6-thienylazulenes by palladium-catalyzed direct arylation of 2- and 6-haloazulenes with thiophene derivatives. Org. Biomol. Chem. 2015, 13, 10191–10197. [Google Scholar] [CrossRef] [PubMed]
- Fujinaga, M.; Murafuji, T.; Kurotobi, K.; Sugihara, Y. Polyborylation of azulenes. Tetrahedron 2009, 65, 7115–7121. [Google Scholar] [CrossRef]
- Scott, L.; Nishimura, H.; Eliseeva, M.; Wakamiya, A. 1,3,5,7-Tetra(Bpin)azulene by Exhaustive Direct Borylation of Azulene and 5,7-Di(Bpin)azulene by Selective Subsequent Deborylation. Synlett 2015, 26, 1578–1580. [Google Scholar] [CrossRef]
- Yamaguchi, Y.; Ogawa, K.; Nakayama, K.; Ohba, Y.; Katagiri, H. Terazulene: A High-Performance n-Type Organic Field-Effect Transistor Based on Molecular Orbital Distribution Control. J. Am. Chem. Soc. 2013, 135, 19095–19098. [Google Scholar] [CrossRef] [PubMed]
- Yamaguchi, Y.; Takubo, M.; Ogawa, K.; Nakayama, K.; Koganezawa, T.; Katagiri, H. Terazulene Isomers: Polarity Change of OFETs through Molecular Orbital Distribution Contrast. J. Am. Chem. Soc. 2016, 138, 11335–11343. [Google Scholar] [CrossRef]
- Xin, H.; Ge, C.; Yang, X.; Gao, H.; Yang, X.; Gao, X. Biazulene diimides: A new building block for organic electronic materials. Chem. Sci. 2016, 7, 6701–6705. [Google Scholar] [CrossRef]
- Kurotobi, K.; Tabata, H.; Miyauchi, M.; Murafuji, T.; Sugihara, Y. Coupling Reaction of Azulenyl-4,4,5,5-tetramethyl-1,3,2-dioxaborolanes with Haloazulenes. Synthesis 2002, 2002, 1013–1016. [Google Scholar] [CrossRef]
- Murfin, L.C.; Weber, M.; Park, S.J.; Kim, W.T.; Lopez-Alled, C.M.; McMullin, C.L.; Pradaux-Caggiano, F.; Lyall, C.L.; Kociok-Köhn, G.; Wenk, J.; et al. Azulene-Derived Fluorescent Probe for Bioimaging: Detection of Reactive Oxygen and Nitrogen Species by Two-Photon Microscopy. J. Am. Chem. Soc. 2019, 141, 19389–19396. [Google Scholar] [CrossRef]
- Xin, H.; Ge, C.; Jiao, X.; Yang, X.; Rundel, K.; McNeill, C.R.; Gao, X. Incorporation of 2,6-Connected Azulene Units into the Backbone of Conjugated Polymers: Towards High-Performance Organic Optoelectronic Materials. Angew. Chem. Int. Ed. 2017, 57, 1322–1326. [Google Scholar] [CrossRef]
- Kitai, J.; Kobayashi, T.; Uchida, W.; Hatakeyama, M.; Yokojima, S.; Nakamura, S.; Uchida, K. Photochromism of a Diarylethene Having an Azulene Ring. J. Org. Chem. 2012, 77, 3270–3276. [Google Scholar] [CrossRef]
- Tsurui, K.; Murai, M.; Ku, S.-Y.; Hawker, C.J.; Robb, M.J. Modulating the Properties of Azulene-Containing Polymers through Controlled Incorporation of Regioisomers. Adv. Funct. Mater. 2014, 24, 7338–7347. [Google Scholar] [CrossRef]
- Gao, H.; Ge, C.; Hou, B.; Xin, H.; Gao, X. Incorporation of 1,3-Free-2,6-Connected Azulene Units into the Backbone of Conjugated Polymers: Improving Proton Responsiveness and Electrical Conductivity. ACS Macro Lett. 2019, 8, 1360–1364. [Google Scholar] [CrossRef]
- Fu, H.; Zhao, C.; Cheng, J.; Zhou, S.; Peng, P.; Hao, J.; Liu, Z.; Gao, X.; Jia, C.; Guo, X. Dipole-improved gating of azulene-based single-molecule transistors. J. Mater. Chem. C 2022, 10, 7803–7809. [Google Scholar] [CrossRef]
- Huang, J.; Huang, S.; Zhao, Y.; Feng, B.; Jiang, K.; Sun, S.; Ke, C.; Kymakis, E.; Zhuang, X. Azulene-Based Molecules, Polymers, and Frameworks for Optoelectronic and Energy Applications. Small Methods 2020, 4, 2000628. [Google Scholar] [CrossRef]
- Hou, I.C.-Y.; Shetti, V.; Huang, S.-L.; Liu, K.-L.; Chao, C.-Y.; Lin, S.-C.; Lin, Y.J.; Chen, L.Y.; Luh, T.-Y. Poly[2(6)-aminoazulene]: Synthesis, photophysical properties, and proton conductivity. Org. Chem. Front. 2017, 4, 773–778. [Google Scholar] [CrossRef]
- Ito, S.; Kubo, T.; Morita, N.; Ikoma, T.; Tero-Kubota, S.; Kawakami, J.; Tajiri, A. Azulene-substituted aromatic amines. Synthesis and amphoteric redox behavior of N,N-Di(6-azulenyl)-p-toluidine and N,N,N′,N′-tetra(6- azulenyl)-p-phenylenediamine and their derivatives. J. Org. Chem. 2005, 70, 2285–2293. [Google Scholar] [CrossRef]
- Murai, M.; Takami, K.; Takeshima, H.; Takai, K. Iridium-Catalyzed Dehydrogenative Silylation of Azulenes Based on Regioselective C–H Bond Activation. Org. Lett. 2015, 17, 1798–1801. [Google Scholar] [CrossRef]
- Koch, M.; Blacque, O.; Venkatesan, K. Impact of 2,6-connectivity in azulene: Optical properties and stimuli responsive behavior. J. Mater. Chem. C 2013, 1, 7400–7408. [Google Scholar] [CrossRef]
- Ito, S.; Inabe, H.; Okujima, T.; Morita, N.; Watanabe, M.; Imafuku, K. Diels–Alder approach to the synthesis of azulene-substituted benzene derivatives. Synthesis and redox behavior of 1,2-di(6-azulenyl)tetraphenylbenzenes. Tetrahedron Lett. 2000, 41, 8343–8347. [Google Scholar] [CrossRef]
- Ito, S.; Inabe, H.; Okujima, T.; Morita, N.; Watanabe, M.; Harada, N.; Imafuku, K. Synthesis and Redox Behavior of Azulene-Substituted Benzene Derivatives and (η5-Cyclopentadienyl)[tetra- and di(6-azulenyl)cyclobutadiene]cobalt Complexes. J. Org. Chem. 2001, 66, 7090–7101. [Google Scholar] [CrossRef] [PubMed]
- Ito, S.; Inabe, H.; Morita, N.; Ohta, K.; Kitamura, T.; Imafuku, K. Synthesis of poly(6-azulenylethynyl)benzene derivatives as a multielectron redox system with liquid crystalline behavior. J. Am. Chem. Soc. 2003, 125, 1669–1680. [Google Scholar] [CrossRef] [PubMed]
- Ito, S.; Iida, T.; Kawakami, J.; Okujima, T.; Morita, N. Towards the Preparation of Electrochromic Materials with Strong Absorption in the Near-Infrared Region: Synthesis and Redox Behavior of Azulene-Substituted Enediyne Scaffolds Connected by a 9,10-Anthracenediyl Spacer. Eur. J. Org. Chem. 2009, 5355–5364. [Google Scholar] [CrossRef]
- Okujima, T.; Toda, A.; Miyashita, Y.; Nonoshita, A.; Yamada, H.; Ono, N.; Uno, H. Synthesis and properties of azulene-substituted thiophenes, terthiophenes and dithienothiophenes. Heterocycles 2012, 86, 637–648. [Google Scholar] [CrossRef]
- Shoji, T.; Ariga, Y.; Yamazaki, A.; Uda, M.; Nagasawa, T.; Ito, S. Synthesis, Photophysical and Electrochemical Properties of 1-, 2-, and 6-(2-Benzofuryl)azulenes. Bull. Chem. Soc. Jpn. 2021, 94, 1000–1009. [Google Scholar] [CrossRef]
- Erdogan, M. Facile One-pot Synthesis of a Novel Propargyl-Azulene Hybrid Derivative. J. Inst. Sci. Technol. 2020, 10, 2747–2758. [Google Scholar] [CrossRef]
- Zeng, H.N.; Png, Z.M.; Xu, J. Azulene in Polymers and Their Properties. Chem. Asian J. 2020, 15, 1904–1915. [Google Scholar] [CrossRef]
- Murai, M.; Amir, E.; Amir, R.J.; Hawker, C.J. Azulene-based conjugated polymers: Unique seven-membered ring connectivity leading to stimuli-responsiveness. Chem. Sci. 2012, 3, 2721. [Google Scholar] [CrossRef]
- Hafner, K.; Schaum, H. Cycloheptatrieno-Indene. Angew. Chem. Int. Ed. 1963, 2, 95–96. [Google Scholar] [CrossRef]
- Hafner, K. Structure and Aromatic Character of Non-benzenoid Cyclically Conjugated Systems. Angew. Chem. Int. Ed. 1964, 3, 165–173. [Google Scholar] [CrossRef]
- Gibson, W.K.; Leaver, D.; Roff, J.E.; Cumming, C.W. Synthesis of cycl [3,3,2]azinones and benz[cd]azulenones. Chem. Commun. 1967, 214. [Google Scholar] [CrossRef]
- Aumüller, I.B.; Yli-Kauhaluoma, J. Synthesis and Tautomerization of Benzo[cd]azulen-3-ones. Org. Lett. 2011, 13, 1670–1673. [Google Scholar] [CrossRef]
- Shoji, T.; Yamazaki, A.; Katoh, R.; Shimamura, K.; Sakai, R.; Yasunami, M.; Okujima, T.; Ito, S. Synthesis, Reactivity, and Properties of Benz[a]azulenes via the [8 + 2] Cycloaddition of 2H-Cyclohepta[b]furan-2-ones with Selenesulfonates Leading to (E)-2,3-Disulfonylpropene Derivatives. J. Org. Chem. 2022, 87, 5827–5845. [Google Scholar] [CrossRef]
- Nozoe, T.; Wakabayashi, H.; Shindo, K.; Kurihara, T.; Ishikawa, S.; Kageyama, M. A Highly Convenient, One-Pot Synthesis of 3-Bromo-1,5- and -1,7-Azulenequinones by Polybromination of Azulene. Chem. Lett. 1995, 24, 25–26. [Google Scholar] [CrossRef]
- Sigrist, R.; Hansen, H.J. Benzo[a]azulenediones and 10,10′-Bibenzo[a]azulene. Helv. Chim. Acta 2014, 97, 1165–1175. [Google Scholar] [CrossRef]
- Shoji, T.; Yamazaki, A.; Sakata, N.; Sekiguchi, R.; Ito, S.; Yasunami, M. Benz[a]azulenequinones: Reaction of Benz[a]azulenes with Pyridinium Hydrobromide Perbromide. Molbank 2022, 2022, M1467. [Google Scholar] [CrossRef]
- Devendar, B.; Wu, C.-P.; Chen, C.-Y.; Chen, H.-C.; Chang, C.-H.; Ku, C.-K.; Tsai, C.-Y.; Ku, C.-Y. Synthesis, characterization and applications of densely functionalized pyridazines and fulvene-type compounds containing azulene moiety. Tetrahedron 2013, 69, 4953–4963. [Google Scholar] [CrossRef]
- Kiriazis, A.; Aumüller, I.B.; Yli-Kauhaluoma, J. Synthesis of 4-aminoguaiazulene and its δ-lactam derivatives. Tetrahedron Lett. 2011, 52, 1151–1153. [Google Scholar] [CrossRef]
- Hafner, K.; Schneider, J. Darstellung und Eigenschaften von Derivaten des Pentalens und Heptalens. Liebigs Ann. Chem. 1959, 624, 37–47. [Google Scholar] [CrossRef]
- Anderson, A.G.; Anderson, R.G.; Hollander, G.T. The Reaction of Some 1-Trihaloacetyl-8-methylazulenes with Base. J. Org. Chem. 1965, 30, 131–138. [Google Scholar] [CrossRef]
- Pigulski, B.; Shoyama, K.; Wurthner, F. NIR-Absorbing π-Extended Azulene: Non-Alternant Isomer of Terrylene Bisimide. Angew. Chem. Int. Ed. 2020, 59, 15908–15912. [Google Scholar] [CrossRef] [PubMed]
- Shoyama, K.; Mahl, M.; Seifert, S.; Würthner, F. A General Synthetic Route to Polycyclic Aromatic Dicarboximides by Palladium-Catalyzed Annulation Reaction. J. Org. Chem. 2018, 83, 5339–5346. [Google Scholar] [CrossRef] [PubMed]
- Kurotobi, K.; Osuka, A. Synthesis of meso-Azulenylporphyrins. Org. Lett. 2005, 7, 1055–1058. [Google Scholar] [CrossRef] [PubMed]
- Lash, T.D. Out of the Blue! Azuliporphyrins and Related Carbaporphyrinoid Systems. Acc. Chem. Res. 2016, 49, 471–482. [Google Scholar] [CrossRef]
- Sprutta, N.; Swiderska, M.; Latos-Grazùynski, L. Dithiadiazuliporphyrin: Facile Generation of Carbaporphyrinoid Cation Radical and Dication. J. Am. Chem. Soc. 2005, 127, 13108–13109. [Google Scholar] [CrossRef]
- Sprutta, N.; Siczek, M.; Latos-Grazùynski, L.; Pawlicki, M.; Szterenberg, L.; Lis, T. Dioxadiazuliporphyrin: A Near-IR Redox Switchable Chromophore. J. Org. Chem. 2007, 72, 9501–9509. [Google Scholar] [CrossRef]
- Lindsey, J.S.; Schreiman, I.C.; Hsu, H.C.; Kearney, P.C.; Marguerettaz, A.M. Rothemund and Adler-Longo reactions revisited: Synthesis of tetraphenylporphyrins under equilibrium conditions. J. Org. Chem. 1987, 52, 827–836. [Google Scholar] [CrossRef]
- Muranaka, A.; Yonehara, M.; Uchiyama, M. Azulenocyanine: A New Family of Phthalocyanines with Intense Near-IR Absorption. J. Am. Chem. Soc. 2010, 132, 7844–7845. [Google Scholar] [CrossRef]
- de Diesbach, H.; von der Weid, E. Quelques sels complexes des o-dinitriles avec le cuivre et la pyridine. Helv. Chim. Acta 1927, 10, 886–888. [Google Scholar] [CrossRef]
Disclaimer/Publisher’s Note: The statements, opinions and data contained in all publications are solely those of the individual author(s) and contributor(s) and not of MDPI and/or the editor(s). MDPI and/or the editor(s) disclaim responsibility for any injury to people or property resulting from any ideas, methods, instructions or products referred to in the content. |
© 2023 by the author. Licensee MDPI, Basel, Switzerland. This article is an open access article distributed under the terms and conditions of the Creative Commons Attribution (CC BY) license (https://creativecommons.org/licenses/by/4.0/).