Next Article in Journal
An Analysis of the Factors Influencing the Strong Chromatic Index of Graphs Derived by Inflating a Few Common Classes of Graphs
Previous Article in Journal
Development of Fixed Point Results for αΓ-F-Fuzzy Contraction Mappings with Applications
 
 
Font Type:
Arial Georgia Verdana
Font Size:
Aa Aa Aa
Line Spacing:
Column Width:
Background:
Article

Multiscale Asymptotic Computations for the Elastic Quadratic Eigenvalue Problem in Periodically Composite Structure

1
School of Mathematics, Sichuan University, Chengdu 610041, China
2
China Aerodynamics Research and Development Center, Mianyang 621000, China
3
LSEC, ICMSEC, Academy of Mathematics and Systems Science, Chinese Academy of Sciences (CAS), Beijing 100190, China
*
Authors to whom correspondence should be addressed.
Symmetry 2023, 15(7), 1299; https://doi.org/10.3390/sym15071299
Submission received: 3 June 2023 / Revised: 16 June 2023 / Accepted: 17 June 2023 / Published: 22 June 2023
(This article belongs to the Special Issue Mathematical Models of Material Science: Symmetry and Applications)

Abstract

A multiscale analysis and computational method based on the Second-Order Two-Scale (SOTS) approach are proposed for the elastic quadratic eigenvalue problems in the periodic composite domain. Two typical quadratic eigenvalue problems with different damping effects are considered, and by the asymptotic expansions of both the eigenfunctions and eigenvalues, the first- and second-order cell functions, the microscale features of this heterogeneous materials are defined successively. Then, the homogenized quadratic eigenvalue problems are derived and the second-order expansions of the eigenfunctions are formed. The eigenvalues are also broadened to the second-order terms by introducing proper auxiliary elastic functions defined in the composite structure, and the nonlinear expressions of the correctors of the eigenvalues are derived. The finite element procedures are established, linearized methods are discussed for solving the quadratic eigenvalue problems and the second-order asymptotic computations are performed. Effectiveness of the asymptotic model is demonstrated by both the qualitative and quantitative comparisons between the computed SOTS approximations and the reference solutions, and the converging behavior of the eigenfunctions are numerically verified. It is also indicated that the second-order correctors are of importance to reconstruct the detailed information of the original eigenfunctions within the micro cells.

1. Introduction

Eigenvalue problems play an important role in many areas of science and engineering. In many structural systems, while linear eigenvalue analysis is sufficient to predict the modal response, it is not an adequate description when damping are taken into account and polynomial eigenvalue problem often arise in the analysis of vibration of the system [1]. The quadratic eigenvalue problem (QEP) is a special case of polynomial eigenvalue problems. Although it is less common and less regularly solved than the generalized eigenvalue problem (GEP), a wide range of applications require solving this problem, most of which appear in the dynamic analysis of structural mechanics, harmonic systems, circuit simulation, fluid mechanics, and, more recently, in modeling microelectromechanical systems (MEMS) [2,3]. Additionally, some studies on quadratic eigenvalue problem have involved discrete ill-posed problems [4], dissipative acoustics [5], gyroscopic [6] and overdamped systems [7].
Currently, along with the rapid growth of the advanced materials and structures, the composite materials with fine microstructures have become a matter of great concern and present interesting mathematical and computational challenges. With the improvement of computing power and the demand for accurate modeling of new materials and complex systems, this field is receiving renewed attention. In fact, traditional methods cannot solve the fine scale with reasonable calculation cost, and may be inconsistent and stable. We need a high computational cost to calculate the structure composed of heterogeneous materials. In general, a practical modeling approach is to use macroscopic or homogenized information of the material, i.e., by considering how the microstructure affects the macroscopic behavior. The asymptotic expansion homogenization (AEH) method [8,9,10,11] is introduced to simplify the control equation with fast oscillation coefficient to the medium equation with homogenization or effective coefficient in order to facilitate the analysis and economize computational memory. Hou et al. [12,13] propose a multiscale finite element method, which is systematic and self-consistent, for solving various equations with rapidly oscillating coefficients. Some studies have involved the linear static elastic equation [14], incompressible Navier–Stokes equations [15], two-phase immiscible flow simulations in heterogeneous porous media [16], the large deformation problem [17], the elastic and thermo-elastic problem in cylindrical coordinates [18,19] and the nonlinear coupled thermoelectric problem [20,21].
In order to obtain more accurate predictions of the physical and mechanical properties of composites, Cui et al. [22] develop a second-order two-scale (SOTS) method by taking into account second-order corrections. Additionally, Cao [23] gives a rigorous proof of the convergence of second-order asymptotic progression in elliptic eigenvalue problems with mixed boundaries in porous regions. Next, aiming at the dynamic thermodynamic problems of cylindrical periodic composite structures, a new second-order two-scale analysis method and corresponding numerical algorithm are proposed in [24]. Ma et al. also extend the SOTS method to the heat conduction problems of composite materials with periodic structure under coordinate transformation [25], the axisymmetric and spherically symmetric elastic problems with small periodic structure [26], the static heat conduction problems in periodic porous regions with cavity surface radiation boundary conditions [27] and the dynamic piezoelectric problem [28]. Liu et al. [29] propose that nearly all the composite materials are provided with multiscale properties, that is to say, the scale of the structure is far greater than the feature size of the materials or constituents. For the eigenvalue problems in the composite materials. Kesavan [30,31] introduces the corrector equation to obtain second-order correctors of eigenvalues and numerical experiments show that they play an important role in improving accuracy. Our previous work also involves the eigenvalue problem. The elliptic eigenvalue problem formulated in the curvilinear coordinates is proposed and the general SOTS expansions of the eigenvalues and eigenfunctions are derived [32].
Different from the asymptotic methods and finite element algorithm that are established on the linear models [26,28,32]. In this paper, as the first try, we will consider asymptotic model for the elastic quadratic eigenvalue problem in the composite structure and the high-order finite element algorithm. To the best of our knowledge, it is the new application of the SOTS method to the nonlinear complex-valued eigenvalue problem. The derivation of the second-order expansions of both the eigenfunctions and eigenvalues is also important for the numerical simulation. In the implementation of the algorithms, we will perform the numerical computations on two separate meshes, which is different from the multiscale finite element method [12,14]. For the multiscale finite element method, the expansion of the solutions is often limited to the first-order term, we will always perform the second-order expansions. Moreover, it can be seen that this numerical procedure proposed in our work is also quite effective to capture the local oscillation of the displacement and stress field in much smaller periodicity.
For this purpose, the paper is organized as follows. Two quadratic eigenvalue problems with damping terms, one of which is a Rayleigh damping that is of industrial interest, are considered and the corresponding compact forms are described in Section 2. Two-scale asymptotic analysis for the eigenfunctions and eigenvalues are derived in Section 3. Next, the SOTS finite algorithm is presented in Section 4. Numerical examples are discussed in Section 5, and concluding remarks are given in Section 6. For ease of notations, the convention of summation with regard to repeated indices is adopted. Without loss of generality, the bold letters in the formula represent tensors or vector functions.

2. Elastic Quadratic Eigenvalue Problem in Composite Domain

The composite domain of consideration is denoted by Ω R N with N being the dimension, which is shown in Figure 1. Several kinds of constituent materials are periodically scattered in the composite domain in Figure 1a and the normalized cell domain Q = [ 0 , 1 ] N is plotted in Figure 1b. Let x Ω and y Q be the macroscopic and microscopic coordinates, respectively, and the relationship between them is expressed by a small parameter ε as
y = x ε x ε ,
where · denotes the round down operation. It can be seen that the ε represents the periodicity of the cell Q that is distributed in the macroscopic domain Ω ( ε = 1 / 8 in Figure 1). With this configuration, Ω can be denoted by
Ω = z I ε ( Q + z ) ,
with the index set I = { z Z N | ε ( Q + z ) Ω } .
The quadratic eigenvalue problem can be typically derived from the elastodynamic equation with a damping effect formulated as follows [1,5]
ρ ϵ 2 U i ε t 2 + c ϵ U i ε t x j ( C i j k l ε U k ε x l ) = f i ,
where U i ε ( x , t ) , i = 1 , 2 , , N denotes the displacement, ρ ε is the density, c ε is the damping coefficient, C i j k l ε is the elasticity tensor and f i is the component of the body force. Considering the free vibration of the structure, we have f i = 0 and let U i ε ( x , t ) be expressed by
U i ε ( x , t ) = e λ ε t u i ε ( x ) ,
where λ ε is the complex-valued eigenvalue with the real and imaginary part corresponding to the damping and oscillation, respectively. Substituting the expression of U i ε ( x , t ) above into the Equation (2) and combining boundary conditions, we obtain the first case of the elastic quadratic eigenvalue problem as
( QEP 1 ) : λ ε 2 ρ ε u i ε + λ ε c ε u i ε x j ( C i j k l ε u k ε x l ) = 0 in Ω , u i ε = 0 on Γ 1 , C i j k l ε u k ε x l n j = 0 on Γ 2 ,
with u i ε ( x ) standing for the elastic eigenfunction. By the periodic setting in Ω , the coefficients can be defined as
ρ ε ( x ) = ρ ( x ε ) = ρ ( y ) , c ε ( x ) = c ( x ε ) = c ( y ) , C i j k l ε ( x ) = C i j k l ( x ε ) = C i j k l ( y ) ,
in which, ρ , c, and C i j k l are the y -periodic functions and have the regularity
ρ , c , C i j k l L ( Q ) , ρ ρ 0 > 0 , c 0 , C i j k l = C j i k l = C k l i j , α | e ( ϕ ) | 2 C e ( ϕ ) e ( ϕ ) , | C e ( ϕ ) | β | e ( ϕ ) | ,
where
α , β > 0 , e ( ϕ ) = ( e i j ) 1 i , j N , e i j ( ϕ ) = 1 2 ( ϕ i x j + ϕ j x i ) , ( C e ( ϕ ) ) i j = C i j k l e k l , C e ( ϕ ) e ( ϕ ) = C i j k l e i j e k l , | e ( ϕ ) | = ( i , j = 1 N e i j 2 ) 1 2 .
The homogeneous mixed boundary conditions are applied on the boundary Ω as
Ω = Γ 1 Γ 2 , Γ 1 Γ 2 = ,
where the zero displacement is prescribed on the boundary Γ 1 and the structure is free of motion on Γ 2 . n = [ n 1 , , n N ] T is the outward normal unit on Γ 2 . To some extent, the setting of damping coefficients c ε is general, and it is not necessarily proportional to the mass ρ ε or the elasticity C i j k l ε . Nevertheless, in the engineering, the Rayleigh damping is also of interest, and the associated quadratic eigenproblem, which forms the second case of our consideration, can be modeled by
( QEP 2 ) : λ ε 2 ρ ε u i ε + λ ε k 1 ρ ε u i ε k 2 x j ( C i j k l ε u k ε x l ) x j ( C i j k l ε u k ε x l ) = 0 in Ω , u i ε = 0 on Γ 1 , C i j k l ε u k ε x l n j = 0 on Γ 2 ,
where the constant Rayleigh coefficients k 1 > 0 , k 2 > 0 are determined by experiments. When each of the constituent materials is homogeneous and isotropic, the elastic tensor can be defined as C i j k l ε = Λ ε δ i j δ k l + 2 μ ε δ i k δ j l , where δ i j is the Kronecker delta symbol and Λ ε and μ ε are the Lam e ´ coefficients of the materials, expressed by the Young’s modules E ε and the Poisson’s ratio ν ε as
Λ ε = E ε ν ε ( 1 2 ν ε ) ( 1 + ν ε ) , μ ε = E ε 2 ( 1 + ν ε ) .
The material coefficients Λ ε , μ ε , E ε , ν ε are assumed to be periodic and expressed as
Λ ε ( x ) = Λ ( x ε ) = Λ ( y ) , μ ε ( x ) = μ ( x ε ) = μ ( y ) , E ε ( x ) = E ( x ε ) = E ( y ) , ν ε ( x ) = ν ( x ε ) = ν ( y ) .

3. Second-Order Two-Scale Asymptotic Analysis for the Eigenpair

In this section, we will use the SOTS asymptotic analysis method to derive the eigenfunctions and eigenvalue expansions of these two quadratic eigenvalue problems with different damping effects.

3.1. Case 1

For the QEP1, different from static problems [14,26], we assume both the eigenfunction u i ε and eigenvalue λ ε are expanded to the second order terms as [10,30]
u i ε ( x , y ) = u i 0 ( x ) + ε u i 1 ( x , y ) + ε 2 u i 2 ( x , y ) + O ( ε 3 ) , λ ε = λ 0 + ε λ 1 + ε 2 λ 2 + O ( ε 3 ) ,
where the ( u i 0 , λ 0 ) is referred to as the homogenized eigenpair and u i 1 , u i 2 , λ 1 and λ 2 are the correctors of the eigensolutions. Respecting x , y as independent variables, the partial differential becomes
x i x i + ε 1 y i .
By substituting (6) and (7) into the governing Equation (3), considering the independence of y for u k 0 , and equalizing the factor of the same power of ε on both sides of the equation, we obtain the first two equations
O ( ε 1 ) : y j ( C i j k l u k 1 y l ) = C i j k l y j u k 0 x l in Ω × Q , O ( ε 0 ) : y j ( C i j k l u k 2 y l ) = x j ( C i j k l u k 1 y l ) + y j ( C i j k l u k 1 x l ) + x j ( C i j k l u k 0 x l )
+ λ 0 2 ρ u i 0 + λ 0 c u i 0 in Ω × Q .
After that, from the Equation (8), it is suggested that the corrector u k 1 ( x , y ) can be represented in the form
u k 1 ( x , y ) = N k α 1 m ( y ) u m 0 ( x ) x α 1 , α 1 , m = 1 , 2 , , N ,
where the N k α 1 m is the so-called first-order cell function, which is y -periodic and the solution of the following cell problem
y j ( C i j k l N k α 1 m y l ) = C i j m α 1 y j in Q , N k α 1 m W p e r ( Q ) , α 1 , m , k = 1 , 2 , , N ,
where
W p e r ( Q ) = v H p e r 1 ( Q ) ; 1 | Q | Q v d y = 0 .
Next, by the integral average of the Equation (9), we obtain the homogenized quadratic eigenvalue equation
λ 0 2 ρ 0 u i 0 + λ 0 c 0 u i 0 C i j k l 0 2 u k 0 x j x l = 0 ,
with the homogenized coefficients ρ 0 , c 0 , and C i j k l 0 calculated by
ρ 0 = 1 | Q | Q ρ d y , c 0 = 1 | Q | Q c d y , C i j k l 0 = 1 | Q | Q ( C i j k l + C i j m α 1 N m l k y α 1 ) d y ,
respectively, where | Q | represents the measure of cell. Combining with the boundary condition, we can rewritten the homogenized quadratic eigenproblem as
λ 0 2 ρ 0 u i 0 + λ 0 c 0 u i 0 C i j k l 0 2 u k 0 x j x l = 0 in Ω , u i 0 = 0 on Γ 1 , C i j k l 0 u k 0 x l n j = 0 on Γ 2 .
Since all the coefficients are constant, we can use a more coarser computational mesh with less time to obtain ( u i 0 , λ 0 ) numerically compared with that of ( u i ε , λ ε ) .
Now the homogenized eigenpair ( u i 0 , λ 0 ) and the first corrector u i ε are well defined, but it is not enough to describe the whole oscillating behavior of the eigenfunctions. Additionally, for fixed ε , λ 1 and λ 2 should be obtained to give proper corrections of the homogenized eigenvalues.
We now turn to Equation (9) and define the expression of u i 2 ( x , y ) as
u k 2 ( x , y ) = N k α 1 α 2 m ( y ) 2 u m 0 ( x ) x α 1 x α 2 λ 0 H k m ( y ) u m 0 ( x ) , α 1 , α 2 , m = 1 , 2 , , N ,
where the y -periodic second-order cell functions N k α 1 α 2 m and H k m satisfy the cell problems
y j ( C i j k l N k α 1 α 2 m y l ) = C i α 2 m α 1 ρ ρ 0 C i α 2 m α 1 0 + C i α 2 k l N k α 1 m y l + y j ( C i j k α 2 N k α 1 m ) in Q , N k α 1 α 2 m W p e r ( Q ) , α 1 , α 2 , m , k = 1 , 2 , , N ,
y j ( C i j k l H k m y l ) = ( c ρ ρ 0 c 0 ) δ i m in Q , H k m W p e r ( Q ) , i , k , m = 1 , 2 , , N ,
respectively. It can be easily proved that both N k α 1 α 2 m and H k m are uniquely determined in the periodic function space.
In summary, inserting the forms (10) and (14) of u k 1 and u k 2 into expansion (6), we obtain
u k ε ( x , y ) = u k 0 ( x ) + ε N k α 1 m ( y ) u m 0 x α 1 + ε 2 N k α 1 α 2 m ( y ) 2 u m 0 x α 1 x α 2 λ 0 u m 0 H k m ( y ) + O ( ε 3 ) .
The derivation of λ 1 and λ 2 comes from the idea of “corrector equation” [30,31]. First, we introduce the auxiliary function ω k ε , which solves following the elasticity boundary value problem
x j ( C i j k l ε ω k ε x l ) = λ 0 2 ρ u i 0 λ 0 c u i 0 in Ω , ω k ε = 0 on Γ 1 , C i j k l ε ω k ε x l n j = 0 on Γ 2 ,
and apply also the SOTS method to ω k ε ( x , y ) as mentioned above. Then, the corresponding expansion of ω k ε can be constructed similarly by
ω k ε ( x , y ) = ω k 0 ( x ) + ε N k α 1 m ( y ) ω m 0 ( x ) x α 1 + ε 2 N k α 1 α 2 m ( y ) 2 ω m 0 ( x ) x α 1 x α 2 λ 0 u m 0 ( x ) H k m ( y ) + O ( ε 3 ) ,
where ω k 0 ( x ) is the solution of the following homogenized problem
C i j k l 0 2 ω k 0 x j x l = λ 0 2 ρ 0 u i 0 λ 0 c 0 u i 0 in Ω , ω k 0 = 0 on Γ 1 , C i j k l 0 ω k 0 x l n j = 0 on Γ 2 .
From the uniqueness of the problem, it is seen that ω k 0 = u k 0 , and the first three expansions terms of ω k ε are the same as those of u k ε . Now, comparing the weak forms of (3) with that of (18), we have
Ω C i j k l ε u k ε x l ϕ i x j d x = Ω ( λ ε 2 ρ ε u i ε ϕ i λ ε c ε u i ε ϕ i ) d x ,
Ω C i j k l ε ω k ε x l ϕ i x j d x = Ω ( λ 0 2 ρ u i 0 λ 0 c u i 0 ) ϕ i d x ,
respectively, where ϕ i is the arbitrary test function in Ω that vanishes on Γ 1 , i.e., ϕ i V ( Ω ) = { v | v H 1 ( Ω ) , v = 0 on Γ 1 } . Letting ϕ i be u i ε in (20) and ω i ε in (21) leads to the corrector equation:
λ ε 2 Ω ρ ε u i ε ω i ε d x + λ ε Ω c ε u i ε ω i ε d x = λ 0 2 Ω ρ ε u i 0 u i ε d x + λ 0 Ω c ε u i 0 u i ε d x .
By taking the expansions of λ ε , u k ε , and ω k ϵ into the above, and comparing the power-like terms of ε , the expressions of λ 1 and λ 2 are also calculated successively by
λ 1 = λ 0 Ω ( λ 0 ρ ε + c ε ) u i 0 u i 1 d x Ω ( 2 λ 0 ρ ε + c ε ) u i 0 u i 0 d x λ 2 = 2 λ 1 2 λ 0 λ 1 2 Ω ρ ε u i 0 u i 0 d x Ω ( c ε + 2 λ 0 ρ ε ) u i 0 u i 0 d x
2 λ 1 λ 0 Ω ρ ε u i 0 u i 1 d x Ω ( c ε + 2 λ 0 ρ ε ) u i 0 u i 0 d x λ 0 Ω ( c ε + λ 0 ρ ε ) ( u i 1 u i 1 + u i 0 u i 2 ) d x Ω ( c ε + 2 λ 0 ρ ε ) u i 0 u i 0 d x .

3.2. Case 2

For the second case, an analogous argument can be adopted as stated in the last subsection. By applying the asymptotic expansions of u k ε and λ ε in Equation (6) to the problem (4) and λ 0 k 2 + 1 0 , we can obtain the two equations for u i 1 and u i 2 as
y j ( C i j k l u k 1 y l ) = y j ( C i j k l ) u k 0 x l in Ω × Q , y j ( C i j k l u k 2 y l ) = x j ( C i j k l u k 1 y l ) + y j ( C i j k l u k 1 x l ) + x j ( C i j k l u k 0 x l ) + λ 1 k 2 1 + λ 0 k 2 y j ( C i j k l ) u k 0 x l + y j ( C i j k l u k 1 y l )
λ 0 2 + k 1 λ 0 1 + λ 0 k 2 ρ u i 0 in Ω × Q .
We similarly obtain the expansions of u k ε as
u k ε ( x , y ) = u k 0 ( x ) + ε N k α 1 m ( y ) u m 0 ( x ) x α 1 + ε 2 N k α 1 α 2 m ( y ) 2 u m 0 ( x ) x α 1 x α 2 + O ( ε 3 ) ,
and ( u k 0 ( x ) , λ 0 ) here is the eigenpair of the following homogenized eigenvalue problem:
λ 0 2 ρ 0 u i 0 + λ 0 [ k 1 ρ 0 u i 0 k 2 C i j k l 0 2 u k 0 x j x l ] C i j k l 0 2 u k 0 x j x l = 0 in Ω , u k 0 = 0 on Γ 1 , C i j k l 0 u k 0 x l n j = 0 on Γ 2 .
Turning to the expansions of λ 1 and λ 2 , we can analogously introduce the auxiliary function w ˜ k ε ( x , y ) , which satisfies
x j ( C i j k l ε w ˜ k x l ) = λ 0 2 + λ 0 k 1 1 + λ 0 k 2 ρ ε u i 0 in Ω , w ˜ k ε = 0 on Γ 1 , C i j k l ε w ˜ k ε x l n j = 0 on Γ 2 ,
and performing second-order two-scale expansion for w ˜ k ε again, one immediately has
w ˜ k ε ( x , y ) = w ˜ k 0 ( x ) + ε N k α 1 m ( y ) w ˜ m 0 ( x ) x α 1 + ε 2 N k α 1 α 2 m 2 w ˜ m 0 ( x ) x α 1 x α 2 + O ( ε 3 ) ,
and the equation w ˜ k 0 = u k 0 still holds in this case. Then, the “corrector equation” this time leads to
λ ε 2 + k 1 λ ε 1 + k 2 λ ε Ω ρ ε u i ε w ˜ i ε d x = λ 0 2 + k 1 λ 0 1 + k 2 λ 0 Ω ρ ε u i 0 u i ε d x ,
and consequently the expressions of λ 1 and λ 2 are derived by
λ 1 = λ 0 ( 1 + k 2 λ 0 ) ( λ 0 + k 1 ) Ω ρ ε u i 0 u i 1 d x ( 2 λ 0 + k 1 + k 2 λ 0 2 ) Ω ρ ε u i 0 u i 0 d x , λ 2 = λ 1 2 ( 1 + k 2 λ 0 ) 2 λ 0 + k 1 + k 2 λ 0 2 + λ 1 2 ( 4 λ 0 + 2 k 1 + 3 k 2 λ 0 2 + k 1 k 2 λ 0 ) λ 0 ( 1 + k 2 λ 0 ) ( k 1 + λ 0 )
+ λ 1 Ω ρ ε ( u i 0 u i 2 + u i 1 u i 1 ) d x Ω ρ ε u i 0 u i 1 d x .

4. The SOTS Algorithm

Based on the expansion of eigenvalues and eigenvectors, it is natural to construct the SOTS algorithm. For simplicity of presentation, we recursively define the homogenized solution, the first-order two-scale (FOTS) and the second-order two-scale (SOTS) asymptotic estimations of the eigenfunction and eigenvalue
u ε , 0 = u 0 , u ε , 1 = u ε , 0 + ε u 1 , u ε , 2 = u ε , 1 + ε 2 u 2 , λ ε , 0 = λ 0 , λ ε , 1 = λ ε , 0 + ε λ 1 , λ ε , 2 = λ ε , 1 + ε 2 λ 2 ,
respectively, and give out the SOTS algorithm in the two-dimensional case as follows:
1.
Construct the homogenized domain and the composite cell Q and determine the coefficients ρ ε , c ε and C i j k l ε in each material. The above domains are discretized in space to obtain the computational meshes.
2.
Compute cell problems and the homogenized coefficients.
(1)
Obtain the first-order cell function N k α 1 m ( y ) via the following weak form:
Q C i j k l N k α 1 m y l ϕ i y j d y = Q C i j m α 1 ϕ i y j d y .
(2)
Computation of homogenized coefficients ρ 0 , c 0 and C i j k l 0 based on the integral expressions in Equation (12).
(3)
Obtain the second-order cell functions N k α 1 α 2 m ( y ) and H k m ( y ) via the following two weak forms:
Q C i j k l N k α 1 α 2 m y l ϕ i y j d y = Q ( C i α 2 m α 1 ρ ρ 0 C i α 2 m α 1 0 + C i α 2 k l N k α 1 m y l ) ϕ i d y
Q C i j k α 2 N k α 1 m ϕ i y j d y ,
Q C i j k l H k m y l ϕ i y j d y = Q ( c c 0 ρ ρ 0 ) ϕ m d y ,
where ϕ i W p e r ( Q ) .
3.
Solve homogenized eigenpair ( u i 0 , λ 0 ).
For the ease of illustration, consider the two dimensional case, we can solve ( u 0 ( x ) , λ 0 ) via the following weak form:
λ 0 2 Ω ρ 0 ϕ T u 0 d x + λ 0 Ω c 0 ϕ T u 0 d x + Ω ( e ˜ ) T D 0 e 0 d x = 0 ,
For case 1, with the homogenized constitutive relation denoted by
D 0 e 0 = C 1111 0 C 1122 0 C 1112 0 C 2211 0 C 2222 0 C 2212 0 C 1211 0 C 1222 0 C 1212 0 u 1 0 x 1 u 2 0 x 2 u 1 0 x 2 + u 2 0 x 1 ,
ϕ = [ ϕ 1 ϕ 2 ] T , e ˜ = ϕ 1 x 1 ϕ 2 x 2 ϕ 1 x 2 + ϕ 2 x 1 T .
ϕ is the arbitrary test function in Ω and satisfies ϕ = 0 on Γ 1 . Then, after discretizing the spatial domain, let u 0 ( x ) be presented by the node value η e in each element, i.e.,
u 0 ( x ) = [ N ( x ) ] 2 × N v η e ,
where N v is the number of node per element and [ N ( x ) ] 2 × N v is the shape function of u 0 ( x ) . Based on the weak form Equations (37), the elastic quadratic eigenvalue discretized system as
e = 1 N e ( λ 0 2 M e + λ 0 K e + C e ) η e = 0 ,
where
M e = e ρ 0 N T N d x e , K e = e c 0 N T N d x e , C e = e B T D 0 B d x e ,
N e is the number of elements, “ e ” represents the integral on an element and
B = N 11 x 1 N 12 x 1 N 1 , N v x 1 N 21 x 2 N 22 x 2 N 2 , N v x 2 N 11 x 2 + N 21 x 1 N 12 x 2 + N 22 x 1 N 1 , N v x 2 + N 2 , N v x 1 .
Then, the finite element assembly is carried out, and the discrete system of the whole space are as follows [5]
[ λ 0 2 M + λ 0 K + C ] η = 0 ,
where M , K , C are the global mass matrix, damping matrix and stiff matrix, respectively, and η is the global eigenvector.
There are many methods to solve the QEP, such as the Lanczos two-sided recursion [33], the SOAR method [34,35] and a Refined Second-Order Arnoldi (RSOAR) method, the Generalized Second-Order Arnoldi (GSOAR) method [36,37] and the Refined GSOAR (RGSOAR) method [38] Tisseur [39] has solved the QEP by applying the QZ algorithm to a corresponding GEP. Following the linearization method, let v = λ 0 η to obtain the generalized eigenvalue problem [33,37]
C K 0 I η v = λ 0 0 M I 0 η v ,
For case 2, we can follow the same procedure as case 1, and the final generalized eigenvalue problem is formed as
C k 1 M k 2 C 0 I η v = λ 0 0 M I 0 η v ,
where the same λ 0 , η and v are applied for simplicity.
4.
Assembling the FOTS and SOTS approximation of the eigenfunctions and eigenvalues by the formulas (17), (27), (23), (24), and (31), (32).
5.
Error computation of eigenfunctions and eigenvalues. Since we cannot construct an analytical solutions for the composite domain. We will perform the classical finite element computations in the very refined meshes and let these solutions be the reference solutions and compare them with our asymptotic solutions. The relative errors for the eigenvalues are defined as
e λ , i 0 = | λ ε i λ ε , 0 i | | λ ε i | , e λ , i 1 = | λ ε i λ ε , 1 i | | λ ε i | , e λ , i 2 = | λ ε i λ ε , 2 i | | λ ε i | ,
respectively. Let ( λ ε i , u i ε ) be the i-th eigenpair. Because the characteristic function is not unique, we cannot directly compare the characteristic function. If the eigenvalue is single, we can define the relative error of the corresponding eigenfunction as
e u , i j = min α 0 C u i ε α 0 u i ε , j L 2 ( Ω ) u i ε L 2 ( Ω ) , j = 0 , 1 , 2 .
where the L 2 norm is defined by
u i ε L 2 ( Ω ) = Ω u k , i ε u ¯ k , i ε d x ,
where the summation form for the indices k and u k , i ε is the k-th component of u i ε . After minimizing the relative error in the L 2 norm based on the least square method, we can gain the scaling factors α i as follows:
α j = ( u i ε , u i ε , j ) L 2 ( Ω ) u i ε , j L 2 ( Ω ) 2 , j = 0 , 1 , 2 ,
respectively. For the eigenfunction with the multiple eigenvalues, we assumed that the algebraic multiplicity of eigenvalue λ i is m. λ i = λ i + 1 , . . . = λ i + m 1 . Because the linear combination of eigenfunctions of the same eigenvalue is also an eigenfunctions, the relative errors can be computed by
e u , i j = min α k j C u i ε α k j u i + k 1 ε , j L 2 ( Ω ) u i ε L 2 ( Ω ) , j = 0 , 1 , 2 ,
where we do not have summations on the indices i. α i = [ α 1 i , α 2 i , . . . , α m i ] T , i = 0 , 1 , 2 . Similarly, we take into account the orthogonality of the eigenfunction and obtain the coefficients as
α k j = ( u i ε , u i + k 1 ε , j ) L 2 ( Ω ) u i + k 1 ε , j L 2 ( Ω ) 2 , j = 1 , 2 ,
where we do not have summations on the indices i and k.
6.
Compute the homogenized, FOTS and SOTS strains e i j 0 , e i j ε , 1 and e i j ε , 2 by
e i j 0 = 1 2 u i 0 x j + u j 0 x i , e i j ε , 1 = 1 2 u i ε , 1 x j + u j ε , 1 x i , e i j ε , 2 = 1 2 u i ε , 2 x j + u j ε , 2 x i ,
and the stress approximations by
σ i j 0 = C i j k l 0 e k l 0 , σ i j ε , 1 = C i j k l ε e k l ε , 1 , σ i j ε , 2 = C i j k l ε e k l ε , 2 .

5. Numerical Examples

Two typical eigenvalue problems are presented to show the availability and correctness of the SOTS model and algorithm.

5.1. Two-Dimensional Domain with Composite Cell

Let Ω = [ 0 , 1 ] 2 and the two-dimensional periodic composite structure shown in Figure 2a with ε = 1 / 8 . The cell domain is depicted in Figure 2b. As is seen in Figure 2b that the cell is composed of two materials and the center is a square with side length 0.5. There is the material information in Table 1. Piecewise linear triangular elements are used for fine mesh and element meshes, and we employ the homogenization calculation quadratic triangular elements for more accurate estimation of the first and second derivatives of the solution. The details of computational meshes corresponding to different ε s are given in Table 2, to carry out the finite element computation and show the convergence of the SOTS asymptotic algorithm. It can be clearly known that the number of grid partitions calculated by SOTS is far greater than the number of grid partitions calculated by FE fine calculation. Because of its independence of ε , we only perform one asymptotic calculation, which deeply reduces the memory consumption and calculation time. Additionally, we give the finite element reference solution and SOTS solution calculation time for case 2 with different ε in Table 2. Through comparison, it can be seen that the SOTS algorithm has the advantage of saving time and cost.
Based on the weak form Equation (34), we can solve the first-order cell function N α 1 m ( y ) and the computed solutions are shown in Figure 3. By the symmetry of the domain and constitutive relation, it is seen that the Figure 3c can be obtained by rotating Figure 3a ninety degrees counterclockwise around the point (0.5, 0.5) on the x o y plane and first-order cell function N 12 ( y ) is same as N 21 ( y ) , which is consistent with Figure 3b.
After the calculation of the first-order cell functions, we can naturally obtain the homogenization coefficients in Equation (12):
ρ 0 = 3.8 , c 0 = 0.328 , C 1111 0 = ( Λ + 2 μ ) 0 = 1 | Q | Q [ Λ + 2 μ + Λ e m m ( N 11 ) + 2 μ e 11 ( N 11 ) ] d y = 132.596 , C 1122 0 = C 2211 0 = Λ 0 = 1 | Q | Q [ Λ + Λ e m m ( N 11 ) + 2 μ e 22 ( N 11 ) ] d y = 26.896 , C 2112 0 = C 1221 0 = C 2121 0 = C 1212 0 = μ 0 = 1 | Q | Q [ μ + 2 μ e 12 ( N 12 ) ] d y = 44.0353 , C 1121 0 = C 1211 0 = C 2111 0 = C 1112 0 = 1 | Q | Q [ Λ e m m ( N 12 ) + 2 μ e 11 ( N 12 ) ] d y 0 , C 1222 0 = C 2122 0 = C 2221 0 = C 2212 0 = 1 | Q | Q [ Λ e m m ( N 12 ) + 2 μ e 22 ( N 12 ) ] d y 0 , C 2222 0 = ( Λ + 2 μ ) 0 = 1 | Q | Q [ Λ + 2 μ + Λ e m m ( N 22 ) + 2 μ e 22 ( N 22 ) ] d y = 132.596 ,
where there are summations on the indices m.

5.2. Case 1

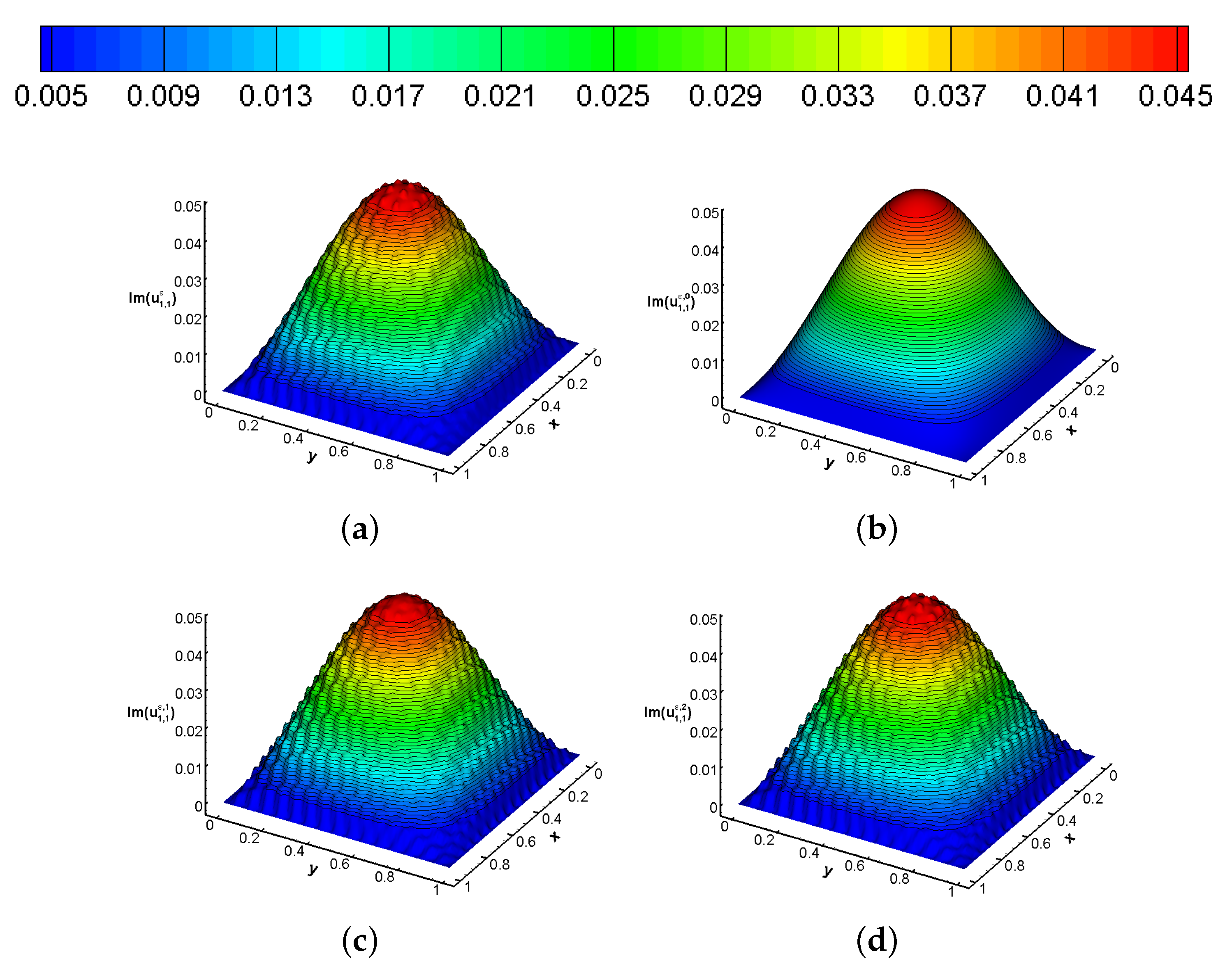
It is known that for the vibration analysis, only the first few smallest eigen modes are of interest, so we only compute the first twenty eigenvalues. Since the matrix of our studied QEP is real, the eigenvalues are real or come in pairs ( λ , λ ¯ ) and if x is a right eigenvector of λ , then x ¯ is a right eigenvector of λ ¯ . The asymptotic approximations of the imaginary part of the first component of first eigenfunction Im ( u 1 , 1 ε ) with ε = 1 / 8 are shown in Figure 4. The imaginary part of the first component of the homogenized solution Im ( u 1 , 1 ε , 0 ) are smooth enough to characterize the macroscopic behavior. And the local oscillation can be slightly captured when we append the first-order corrector. Furthermore, by adding the second-order corrector, Im ( u 1 , 1 ε , 2 ) is more close to the fine solution significantly. We can reach a similar conclusion for the first eigenfunction with ε = 1 / 16 , which are shown in Figure 5. For the simple eigenvalue, the second-order correctors also work effectively in Figure 6.
To further demonstrate the effect of asymptotic computation, we show that comparisons of the real part of the second component of the first eigenfunction Re ( u 2 , 1 ε ) and the imaginary part of the first component of the fourth eigenfunction Im ( u 1 , 4 ε ) on the line x 1 = x 2 with ε = 1 / 8 and ε = 1 / 16 in Figure 7 and Figure 8. From the above figures, we can easily see that when ε = 1 / 16 , the oscillation frequency of the broken line becomes higher. For convenience of observation, we give the details of local oscillations in Figure 7b and Figure 8b. It is observed that the homogenized solution is smooth enough, which describes the macroscopic behavior of fine solution, and it exhibits microscopic oscillatory behavior significantly with the help of first- and second-order correctors. The two figures also show the second-order correctors work better for smaller ε .
Then, the asymptotic convergence of the eigenvalues λ ε and eigenfunction u ε are talked over in refined mesh with decreasing ε . Both the homogenized and cell functions are not related to ε , so the SOTS approximation of u ε can be directly obtained for arbitrary ε . We can compute the correctors of eigenvalues from Equations (23) and (24). With different ε , the comparisons of the eigenvalue for the multiscale finite element computations are shown in Table 3 and Table 4. Note that the first four eigenvalues are the two complex-valued multiple eigenvalues corresponding to the same eigenfunction. So are the 9th to 12th and the 17th to 20th eigenvalues for both Table 3 and Table 4. It can be seen that the error decreases as the periodicity ε becomes smaller. A single table illustrates that λ ε , 0 is enough approaching to the fine solution, and the second-order correctors make λ ε , 2 more close to λ ε .
In addition, we give the distribution of eigenvalues with different ε on the complex plane, which is shown in Figure 9. Comparing Figure 9a,b, we can know that correctors of eigenvalues perform better with smaller ε , especially for the real part and by appending first-order corrector λ ε , 1 it is almost the same as the homogenized eigenvalue λ ε , 0 , which is in accordance with the Table 3 and Table 4. By these quantitative and qualitative comparisons, it is believed that the SOTS method works more effectively for smaller eigenvalues.
By the least square approximation of the eigenfunction in Equations (43) and (44), the relative errors of the real part of the asymptotic approximation of eigenfunctions with both ε = 1 / 8 and ε = 1 / 16 are listed in Table 5. The relative errors decrease with the decrease in ε . Additionally, we can obtain better approximations with the help of the first-order and second-order correctors. Especially for the first four relative errors, it is observed that e u , i j , j = 0 , 1 , 2 , i = 1 , 2 , 3 , 4 are reduced by at least half when ε changes from 1/8 to 1/16.

5.3. Case 2

In the second case, we consider the elastic quadratic eigenvalue problem with Rayleigh damping in the same composite structure and let the corresponding coefficient be k 1 = 0.0625 , k 2 = 0.0008 , respectively. Mesh information is listed in Table 2 and we also use a sequence of ε to discuss the convergence of both eigenvalues and eigenfunctions except the method analogy to case 1.
First, we consider approximations of the eigenvalue and eigenfunction with ε = 1 / 8 and ε = 1 / 16 as above. The approximations of the first twenty eigenvalues as well as relative errors are listed in Table 6 and Table 7. Comparing the two tables, it can be seen that the first- and second-order correctors, as well as the relative errors, show the effectiveness of the correctors. Similar to case 1, the homogenized eigenvalues λ ε , 0 are close enough to the eigenvalues λ ε , which be calculated under the fine mesh and by adding the first-order corrector, the approximation solution λ ε , 1 are not improved, but with the help of adding the second-order corrector to the homogenized eigenvalue λ ε , 2 , they perform extremely well. For the first four eigenvalues, the relative error e λ , i 2 , i = 1 , 2 , 3 , 4 is reduced by at least ten times compared to e λ , i 0 without the corrector.
Quantitative comparisons for the eigenfunction can also be computed. In Table 8, we give the relative errors of the real part of the eigenfunctions for ε = 1 / 8 and ε = 1 / 16 , from which it is also indicated that the SOTS solution is not much better than the FOTS one. If we take the eigenfunction into account in the practical problem, we can obtain acceptable results through first-order approximation. This is not a good idea for eigenvalue because the error improvement is not obvious only by appending the first-order corrector. Additionally, we can know that approximations of the first four eigenfunctions are improved by half mostly as ε is smaller. So, we can say that the SOT algorithm performs better for the smallest eigenmode.
The approximation for the real part of the first component of the first eigenfunction Re ( u 1 , 1 ε ) with ε = 1 / 8 is shown in Figure 10. The real part of the first component of the homogenized solution Re ( u 1 , 1 ε , 0 ) in Figure 10b is smooth enough and it has well-modeled the macroscopic behaviors of the corresponding part of the fine solutions Re ( u 1 , 1 ε ) shown in Figure 10a. The homogenized solution is locally modified by using the cell function and the first- and second-order solutions show good estimations. For Re ( u 1 , 1 ε ) , under the observation and comparison of some details, the second-order estimation Re ( u 1 , 1 ε , 2 ) is obviously better than the first-order one Re ( u 1 , 1 ε , 1 ) in capturing the microscopic oscillation behavior.
Next, the asymptotic behavior of the first eigenvalue λ ε , 0 1 and corresponding eigenfunctions with different ε are more interesting. Because the homogenized solutions are not related of ε , we do not list the value of λ ε , 0 1 in Table 9. We show λ ε 1 for different periodicity ε and the first- and second-order approximation λ ε , 1 1 , λ ε , 2 1 as well as their relative errors in Table 9.
The convergence of the imaginary part of first component of first eigenfunction Im ( u 1 , 1 ε ) is exhibited in Figure 11 and Figure 12 for ε = 1 / 2 n , n = 1 , 2 , . . . , 6 . Due to symmetry, we only show half of the figure. As can be seen from the Figure 11 and Figure 12 that for bigger ε , (shown in Figure 11a,b and Figure 12a,b) neither Im ( u 1 , 1 ε , 0 ) nor Im ( u 1 , 1 ε , 1 ) can give out good approximations of Im ( u 1 , 1 ε ) , even Im ( u 1 , 1 ε , 2 ) is not better, while Im ( u 1 , 1 ε , 2 ) is more effective for small ε , as with Im ( u 1 , 1 ε , 0 ) and Im ( u 1 , 1 ε , 1 ) (shown in Figure 11c–f and Figure 12c–f). So we can say that the asymptotic analysis shows better effectiveness in the case of smaller ε . As ε becomes smaller and smaller, the enlarged picture of oscillation details, see Figure 11d–f and Figure 12d–f with ε = 1 / 16 , ε = 1 / 32 and ε = 1 / 64 , can help us to determine the subtle differences between the eigenfunctions. The above results show that when ε < 1 / 8 , it is in accordance with the results obtained by the fine calculation.
Finally, the approximations of the shear stress σ 12 ε are plotted in Figure 13 for the fifth eigenvalue, which may be of more engineering interest. Similar to the displacement, the homogenized stress σ 12 0 in Figure 13b shows a smooth macroscopic distribution for the fine solutions. By constructing the first and second-order approximations from the Step 6 in Section 4. The local detailing can also be reconstructed efficiently in Figure 13c,d. The approximations of the stress are not as good as the displacement field, which can be expected because the accuracy of the computed gradient (stress) is always one-order lower than the original solution (displacement) from the theory of the finite element method. Maybe more advanced finite element method such as the mixed finite element method can be introduced to improve the approximations of the stress field.

6. Conclusions

In this paper, the second-order two-scale asymptotic model is presented for the nonlinear quadratic eigenvalue problem in the elastic composite structure. The novel nonlinear “corrector equation” is firstly obtained for deriving the second-order expansions of the eigenvalues. The linearization method is introduced to solve the homogenized quadratic eigenvalue problem and after the assembly of the proper correctors, both the complex-valued eigenvalues and eigenfunctions are approximated quite well. The convergences of the asymptotic expansions are verified, and it is also apparent that the second-order correctors play an indispensable role for giving more accurate approximations for both the eigenvalues and eigenfunctions in the numerical simulations.
In our future work, the quadratic eigenvalue problem with more general composite domain can be considered, such as axisymmtric and spherically symmetric domain [26], the general quasi-periodic or non-periodic domain [32]. The asymptotic analysis for other nonlinear eigenvalue problems can also be considered such as the polynomial eigenvalue problem, the piezoelectric coupled problem with damping effect. It is believed that more SOTS models can be developed and detailed consideration in constructing more efficient finite element algorithms can also be addressed.

Author Contributions

Conceptualization, Q.M. and L.B.; methodology, Q.M., H.W. and J.C.; software, Q.M. and H.W.; validation, Q.M. and H.W.; formal analysis, Q.M. and H.W.; investigation, Q.M.; resources, Q.M.; data curation, H.W.; writing—original draft preparation, H.W.; writing—review and editing, Q.M. and H.W.; visualization, H.W., T.C. and Y.W.; supervision, Q.M., L.B. and J.C.; project administration, Q.M., H.W. and L.B.; funding acquisition, Q.M. and L.B. All authors have read and agreed to the published version of the manuscript.

Funding

The research is supported by National Key of R&D Program of China (2019YFA040520X), National Natural Science Foundation of China (11801387, 11971336, 11971337), Sichuan Natural Science Foundation (2022NSFSC0322), State Key Laboratory of Science and Engineering Computing and the Fundamental Research Funds for the Central Universities (YJ201811).

Data Availability Statement

Data will be made available on request.

Conflicts of Interest

The authors declare no conflict of interest.

References

  1. Eisenfeld, J. Quadratic eigenvalue problems. J. Math. Anal. Appl. 1968, 23, 58–70. [Google Scholar] [CrossRef]
  2. Xu, J.; Yuan, W.; Xie, J.; Chang, H.; Ma, B. A Hybrid System-Level Modeling and Simulation Methodology for Structurally Complex Microelectromechanical Systems. J. Microelectromech. Syst. 2011, 20, 538–548. [Google Scholar] [CrossRef]
  3. Dewey, A.; Ren, H.; Zhang, T. Behavioral modeling of microelectromechanical systems (MEMS) with statistical performance-variability reduction and sensitivity analysis. IEEE Trans. Circuits Syst. II: Analog Digit. Signal Process. 2000, 47, 105–113. [Google Scholar] [CrossRef]
  4. Sima, D.M.; Huffel, S.V.; Golub, G.H. Regularized Total Least Squares Based on Quadratic Eigenvalue Problem Solvers. BIT Numer. Math. 2004, 44, 793–812. [Google Scholar] [CrossRef]
  5. Tisseur, F.; Meerbergen, K. The quadratic eigenvalue problem. SIAM Rev. 2001, 43, 235–286. [Google Scholar] [CrossRef]
  6. Chen, C.; Ma, C. An accelerated cyclic-reduction-based solvent method for solving quadratic eigenvalue problem of gyroscopic systems. Comput. Math. Appl. 2019, 77, 2585–2595. [Google Scholar] [CrossRef]
  7. Veseli, K. The Quadratic Eigenvalue Problem. In Damped Oscillations of Linear Systems; Lecture Notes in Mathematics; Springer: Berlin/Heidelberg, Germany, 2011; Volume 2023, pp. 121–127. [Google Scholar]
  8. Allaire, G. Homogenization and Two-Scale Convergence. SIAM J. Math. Anal. 1992, 23, 1482–1518. [Google Scholar] [CrossRef]
  9. Yi, Y.M.; Park, S.H.; Youn, S.K. Asymptotic homogenization of viscoelastic composites with periodic microstructures. Int. J. Solids Struct. 1998, 35, 2039–2055. [Google Scholar] [CrossRef]
  10. Cioranescu, D.; Donato, P. An Introduction to Homogenization; Oxford University Press Inc.: New York, NY, USA, 1999; pp. 107–121. [Google Scholar]
  11. Kaminski, M. Homogenization of transient heat transfer problems for some composite materials. Int. J. Eng. Sci. 2003, 41, 1–29. [Google Scholar] [CrossRef]
  12. Hou, T.Y.; Wu, X.H. A Multiscale Finite Element Method for Elliptic Problems in Composite Materials and Porous Media. J. Comput. Phys. 1997, 134, 169–189. [Google Scholar] [CrossRef]
  13. Hou, T.Y.; Wu, X.H.; Cai, Z. Convergence of a multiscale finite element method for elliptic problems with rapidly oscillating coefficients. Math. Comput. 1999, 68, 913–943. [Google Scholar] [CrossRef]
  14. Gao, Y.; Xing, Y.F.; Huang, Z.W.; Li, M.; Yang, Y. An assessment of multiscale asymptotic expansion method for linear static problems of periodic composite structures. Eur. J. Mech. A/Solids 2020, 81, 103951. [Google Scholar] [CrossRef]
  15. Masud, A.; Khurram, R.A. A multiscale finite element method for the incompressible Navier-Stokes equations. Comput. Methods Appl. Mech. Eng. 2006, 195, 1750–1777. [Google Scholar] [CrossRef]
  16. Efendiev, Y.; Hou, T. Multiscale finite element methods for porous media flows and their applications. Appl. Numer. Math. 2007, 57, 577–596. [Google Scholar] [CrossRef]
  17. Takano, N.; Ohnishi, Y.; Zako, M.; Nishiyabu, K. The formulation of homogenization method applied to large deformation problem for composite materials. Int. J. Solids Struct. 2000, 37, 6517–6535. [Google Scholar] [CrossRef]
  18. Chatzigeorgiou, G.; Charalambakis, N.; Murat, F. Homogenization problems of a hollow cylinder made of elastic materials with discontinuous properties. Int. J. Solids Struct. 2008, 45, 5165–5180. [Google Scholar] [CrossRef]
  19. Chatzigeorgiou, G.; Efeniev, Y.; Charalambakis, N.; Lagoudas, D.C. Effective thermoelastic properties of composites with periodicity in cylindrical coordinates. Int. J. Solids Struct. 2012, 49, 590–2603. [Google Scholar] [CrossRef]
  20. Yang, Y.; Ma, F.Y.; Lei, C.H.; Liu, Y.Y.; Li, J.Y. Nonlinear asymptotic homogenization and the effective behavior of layered thermoelectric composites. J. Mech. Phys. Solids 2013, 61, 1768–1783. [Google Scholar] [CrossRef]
  21. Yang, Y.; Lei, C.; Gao, C.F.; Li, J. Asymptotic homogenization of three-dimensional thermoelectric composites. J. Mech. Phys. Solids 2015, 76, 98–126. [Google Scholar] [CrossRef]
  22. Cui, J.Z.; Cao, L.Q. Finite Element Method Based On Two-scale Asymptotic Analysis. Math. Numer. Sin. 1998, 20, 89–102. [Google Scholar]
  23. Cao, L.Q.; Luo, J.L. Multiscale numerical algorithm for the elliptic eigenvalue problem with the mixed boundary in perforated domains. Appl. Numer. Math. 2008, 58, 1349–1374. [Google Scholar] [CrossRef]
  24. Dong, H.; Cui, J.; Nie, Y.; Yang, Z. Second-order two-scale analysis method for dynamic thermo-mechanical problems of composite structures with cylindrical periodicity. Int. J. Numer. Anal. Model. 2018, 15, 834–863. [Google Scholar]
  25. Ma, Q.; Cui, J.Z.; Li, Z.H.; Wang, Z.Q. Second-order asymptotic algorithm for heat conduction problems of periodic composite materials in curvilinear coordinates. J. Comput. Appl. Math. 2016, 306, 87–115. [Google Scholar] [CrossRef]
  26. Ma, Q.; Cui, J.Z.; Li, Z.H. Second-order two-scale asymptotic analysis for axisymmetric and spherical symmetric structure with periodic configurations. Int. J. Solids Struct. 2016, 78–79, 77–100. [Google Scholar] [CrossRef]
  27. Ma, Q.; Cui, J.Z. Second-Order Two-Scale Analysis Method for the Heat Conductive Problem with Radiation Boundary Condition in Periodical Porous Domain. Commun. Comput. Phys. 2013, 14, 1027–1057. [Google Scholar] [CrossRef]
  28. Ma, Q.; Wang, H.; Yang Z., Q.; Li, Z.H.; Cui, J.Z. Second-order asymptotic analysis and computations of axially and spherically symmetric piezoelectric problems for composite structures. J. Sci. Comput. 2019, 81, 689–731. [Google Scholar] [CrossRef]
  29. Liu, H.; Sun, X.; Xu, Y.; Chu, X. A hierarchical multilevel finite element method for mechanical analyses of periodical composite structures. Compos. Struct. 2015, 131, 115–127. [Google Scholar] [CrossRef]
  30. Kesavan, S. Homogenization of elliptic eigenvalue problems Part I. Appl. Math. Opt. 1979, 5, 153–167. [Google Scholar] [CrossRef]
  31. Kesavan, S. Homogenization of elliptic eigenvalue problems Part II. Appl. Math. Opt. 1979, 5, 197–216. [Google Scholar] [CrossRef]
  32. Ma, Q.; Li, Z.H.; Cui, J.Z. Multi-scale asymptotic analvsis and computation of the elliptic eigenvalue problems in curvilinear coordinates. Comput. Methods Appl. Mech. Eng. 2018, 340, 340–365. [Google Scholar] [CrossRef]
  33. Rajakumar, C. Lanczos algorithm for the quadratic eigenvalue problem in engineering applications. Comput. Methods Appl. Mech. Eng. 1993, 105, 1–22. [Google Scholar] [CrossRef]
  34. Bai, Z.J.; Su, Y.F. SOAR: A Second-order Arnoldi Method for the Solution of the Quadratic Eigenvalue Problem. Soc. Ind. Appl. Math. 2005, 26, 640–659. [Google Scholar] [CrossRef]
  35. Meerbergen, K. The Quadratic Arnoldi Method for the Solution of the Quadratic Eigenvalue Problem. SIAM J. Matrix Anal. Appl. 2008, 30, 1463–1482. [Google Scholar] [CrossRef]
  36. Zhou, L.; Bao, L.; Lin, Y.; Wei, Y.; Wu, Q. Restarted generalized Krylov subspace methods for solving quadratic eigenvalue problems. J. Comput. Math. Sci. 2010, 4, 148–155. [Google Scholar]
  37. Bao, L.; Lin, Y.Q.; Wei, Y.M. Restarted generalized Krylov subspace methods for solving large-scale polynomial eigenvalue problems. Numer. Algorithms 2009, 50, 17–32. [Google Scholar] [CrossRef]
  38. Jia, Z.; Sun, Y. Implicitly restarted generalized second-order Arnoldi type algorithms for the quadratic eigenvalue problem. Taiwan. J. Math. 2015, 19, 1–30. [Google Scholar] [CrossRef]
  39. Tisseur, F. Backward error and condition of polynomial eigenvalue problems. Linear Algebra Appl. 2000, 309, 339–361. [Google Scholar] [CrossRef]
Figure 1. Illustrations of the periodic composite structure and the representative cell with ε = 1 / 8 . (a) Composite domain Ω . (b) Periodic cell domain Q.
Figure 1. Illustrations of the periodic composite structure and the representative cell with ε = 1 / 8 . (a) Composite domain Ω . (b) Periodic cell domain Q.
Symmetry 15 01299 g001
Figure 2. Composite structure Ω with ε = 1 / 8 and representative cell Q. (a) Composite domain Ω . (b) Cell domain Q.
Figure 2. Composite structure Ω with ε = 1 / 8 and representative cell Q. (a) Composite domain Ω . (b) Cell domain Q.
Symmetry 15 01299 g002
Figure 3. First-order cell functions N α 1 m ( y ) . (a) N 11 ( y ) L 2 ( Q ) . (b) N 12 ( y ) L 2 ( Q ) = N 21 ( y ) L 2 ( Q ) . (c) N 22 ( y ) L 2 ( Q ) .
Figure 3. First-order cell functions N α 1 m ( y ) . (a) N 11 ( y ) L 2 ( Q ) . (b) N 12 ( y ) L 2 ( Q ) = N 21 ( y ) L 2 ( Q ) . (c) N 22 ( y ) L 2 ( Q ) .
Symmetry 15 01299 g003
Figure 4. Approximate solutions of Im ( u 1 , 1 ε ) with ε = 1 / 8 . (a) Fine solution Im ( u 1 , 1 ε ) . (b) Homogenized solution Im ( u 1 , 1 ε , 0 ) . (c) First-order approximation Im ( u 1 , 1 ε , 1 ) . (d) Second-order approximation Im ( u 1 , 1 ε , 2 ) .
Figure 4. Approximate solutions of Im ( u 1 , 1 ε ) with ε = 1 / 8 . (a) Fine solution Im ( u 1 , 1 ε ) . (b) Homogenized solution Im ( u 1 , 1 ε , 0 ) . (c) First-order approximation Im ( u 1 , 1 ε , 1 ) . (d) Second-order approximation Im ( u 1 , 1 ε , 2 ) .
Symmetry 15 01299 g004
Figure 5. Approximate solutions of Im ( u 1 , 1 ε ) with ε = 1 / 16 . (a) Fine solution Im ( u 1 , 1 ε ) . (b) Homogenized solution Im ( u 1 , 1 ε , 0 ) . (c) First-order approximation Im ( u 1 , 1 ε , 1 ) . (d) Second-order approximation Im ( u 1 , 1 ε , 2 ) .
Figure 5. Approximate solutions of Im ( u 1 , 1 ε ) with ε = 1 / 16 . (a) Fine solution Im ( u 1 , 1 ε ) . (b) Homogenized solution Im ( u 1 , 1 ε , 0 ) . (c) First-order approximation Im ( u 1 , 1 ε , 1 ) . (d) Second-order approximation Im ( u 1 , 1 ε , 2 ) .
Symmetry 15 01299 g005
Figure 6. Approximate solution of Re ( u 1 , 3 ε ) with ε = 1 / 8 and ε = 1 / 16 . (a) Re ( u 1 , 3 ε ) for ε = 1 / 8 . (b) Re ( u 1 , 3 ε , 2 ) for ε = 1 / 8 . (c) Re ( u 1 , 3 ε ) for ε = 1 / 16 . (d) Re ( u 1 , 3 ε , 2 ) for ε = 1 / 16 .
Figure 6. Approximate solution of Re ( u 1 , 3 ε ) with ε = 1 / 8 and ε = 1 / 16 . (a) Re ( u 1 , 3 ε ) for ε = 1 / 8 . (b) Re ( u 1 , 3 ε , 2 ) for ε = 1 / 8 . (c) Re ( u 1 , 3 ε ) for ε = 1 / 16 . (d) Re ( u 1 , 3 ε , 2 ) for ε = 1 / 16 .
Symmetry 15 01299 g006
Figure 7. Comparisons of Re ( u 2 , 1 ε ) with ε = 1 / 8 and ε = 1 / 16 . (a) ε = 1 / 8 . (b) ε = 1 / 16 .
Figure 7. Comparisons of Re ( u 2 , 1 ε ) with ε = 1 / 8 and ε = 1 / 16 . (a) ε = 1 / 8 . (b) ε = 1 / 16 .
Symmetry 15 01299 g007
Figure 8. Comparisons of Im ( u 1 , 4 ε ) with ε = 1 / 8 and ε = 1 / 16 . (a) ε = 1 / 8 . (b) ε = 1 / 16 .
Figure 8. Comparisons of Im ( u 1 , 4 ε ) with ε = 1 / 8 and ε = 1 / 16 . (a) ε = 1 / 8 . (b) ε = 1 / 16 .
Symmetry 15 01299 g008
Figure 9. The distribution of eigenvalues with ε = 1 / 8 and ε = 1 / 16 . (a) ε = 1 / 8 . (b) ε = 1 / 16 .
Figure 9. The distribution of eigenvalues with ε = 1 / 8 and ε = 1 / 16 . (a) ε = 1 / 8 . (b) ε = 1 / 16 .
Symmetry 15 01299 g009
Figure 10. Approximate solutions of Re ( u 1 , 1 ε ) with ε = 1 / 8 . (a) Fine solution Re ( u 1 , 1 ε ) . (b) Homogenized solution Re ( u 1 , 1 ε , 0 ) . (c) First-order approximation Re ( u 1 , 1 ε , 1 ) . (d) Second-order approximation Re ( u 1 , 1 ε , 2 ) .
Figure 10. Approximate solutions of Re ( u 1 , 1 ε ) with ε = 1 / 8 . (a) Fine solution Re ( u 1 , 1 ε ) . (b) Homogenized solution Re ( u 1 , 1 ε , 0 ) . (c) First-order approximation Re ( u 1 , 1 ε , 1 ) . (d) Second-order approximation Re ( u 1 , 1 ε , 2 ) .
Symmetry 15 01299 g010
Figure 11. Convergence for Im ( u 1 , 1 ε ) with different ε . (a) ε = 1 / 2 . (b) ε = 1 / 4 . (c) ε = 1 / 8 . (d) ε = 1 / 16 . (e) ε = 1 / 32 . (f) ε = 1 / 64 .
Figure 11. Convergence for Im ( u 1 , 1 ε ) with different ε . (a) ε = 1 / 2 . (b) ε = 1 / 4 . (c) ε = 1 / 8 . (d) ε = 1 / 16 . (e) ε = 1 / 32 . (f) ε = 1 / 64 .
Symmetry 15 01299 g011
Figure 12. Convergence for Im ( u 2 , 1 ε ) with different ε . (a) ε = 1 / 2 . (b) ε = 1 / 4 . (c) ε = 1 / 8 . (d) ε = 1 / 16 . (e) ε = 1 / 32 . (f) ε = 1 / 64 .
Figure 12. Convergence for Im ( u 2 , 1 ε ) with different ε . (a) ε = 1 / 2 . (b) ε = 1 / 4 . (c) ε = 1 / 8 . (d) ε = 1 / 16 . (e) ε = 1 / 32 . (f) ε = 1 / 64 .
Symmetry 15 01299 g012
Figure 13. Approximate solution of σ 12 ε for the fifth eigenvalue with ε = 1 / 16 . (a) Fine solution σ 12 ε . (b) Homogenized solution σ 12 0 . (c) First-order approximation σ 12 ε , 1 . (d) Second-order approximation σ 12 ε , 2 .
Figure 13. Approximate solution of σ 12 ε for the fifth eigenvalue with ε = 1 / 16 . (a) Fine solution σ 12 ε . (b) Homogenized solution σ 12 0 . (c) First-order approximation σ 12 ε , 1 . (d) Second-order approximation σ 12 ε , 2 .
Symmetry 15 01299 g013
Table 1. The elastic properties for the composite structure.
Table 1. The elastic properties for the composite structure.
Young’s Modules E ε Poisson’s Ratio ν ε Λ ε μ ε ρ ε c ε
Material a 1 2000.255.5683.32.30.1
Material a 2 150.24.176.258.31
Table 2. The information of mesh for the composite structure.
Table 2. The information of mesh for the composite structure.
Fine MeshCellHomo
ε = 1 / 2 ε = 1 / 4 ε = 1 / 8 ε = 1 / 16 ε = 1 / 32 ε = 1 / 64 MeshMesh
Nodes15972529428916,89767,073267,26511931089
Elements30484864832033,280133,120532,48022562048
Mesh size0.04220.03310.02340.01170.005860.002930.04850.0442
CPU Times (s)123561146472327868(SOTS solution)
Table 3. Comparisons of the eigenvalues for the multiscale computations with ε = 1 / 8 .
Table 3. Comparisons of the eigenvalues for the multiscale computations with ε = 1 / 8 .
i λ ε i λ ε , 0 i λ ε , 1 i λ ε , 2 i e λ , i 0 e λ , i 1 e λ , i 2
1–4−0.0434−0.0428−0.0428−0.04360.0151790.0153130.0016252
± 20.7267 i ± 21.0413 i ± 21.0441 i ± 20.7604 i
5, 6−0.0436−0.0428−0.0427−0.04360.0358120.0361360.013300
± 24.4687 i ± 25.3449 ± 25.3529 ± 24.7941 i
7, 8−0.0439−0.0428−0.0427−0.04450.0472080.0476210.016048
± 28.6791 i ± 30.033 i ± 30.0448 i ± 29.1393 i
9–12−0.0443−0.0428−0.0427−0.04510.0512540.0519150.0068505
± 33.3252 i ± 35.0332 i ± 35.0553 i ± 33.5535 i
13, 14−0.0450−0.0428−0.0427−0.04510.0250840.0253740.011814
± 34.6995 i ± 35.5699 i ± 35.5799 i ± 34.2895 i
15, 16−0.0454−0.0428−0.0427−0.04570.0334100.0338050.012559
± 38.2442 i ± 39.5220 i ± 39.5371 i ± 37.7639 i
17–20 0 .0456−0.0428−0.0427−0.04610.0500950.0507090.0073711
± 40.1831 i ± 42.1961 i ± 42.2207 i ± 39.8869 i
Table 4. Comparisons of the eigenvalues for the multiscale finite element computations with ε = 1 / 16 .
Table 4. Comparisons of the eigenvalues for the multiscale finite element computations with ε = 1 / 16 .
i λ ε i λ ε , 0 i λ ε , 1 i λ ε , 2 i e λ , i 0 e λ , i 1 e λ , i 2
1–4−0.0429−0.0428−0.0428−0.04300.0111240.0111580.0077493
± 20.8098 i ± 21.0413 i ± 21.0420 i ± 20.9711 i
5, 6−0.0430−0.0428−0.0428−0.04310.0349420.0350100.029303
± 24.4895 i ± 25.3449 ± 25.3468 ± 25.2071 i
7, 8−0.0430−0.0428−0.0428−0.04320.0416270.0417350.033887
± 28.8328 i ± 30.033 i ± 30.0361 i ± 29.8098 i
9–12−0.0431−0.0428−0.0428−0.04330.0459340.0460940.034883
± 33.4947 i ± 35.0332 i ± 35.0386 i ± 34.6631 i
13, 14−0.0433−0.0428−0.0428−0.04340.0000299030.0000426270.0090362
± 35.5708 i ± 35.5699 i ± 35.5722 i ± 35.2494 i
15, 16−0.0434−0.0428−0.0428−0.04350.00736960.00746520.0038372
± 39.2329 i ± 39.5220 i ± 39.5257 i ± 39.0823 i
17–20−0.0434−0.0428−0.0428−0.04360.0226080.0227610.0086160
± 41.2632 i ± 42.1961 i ± 42.2024 i ± 41.6187 i
Table 5. The relative errors of the real part of the eigenfunctions of the multiscale finite element computations in L 2 norm with ε = 1 / 8 and ε = 1 / 16 .
Table 5. The relative errors of the real part of the eigenfunctions of the multiscale finite element computations in L 2 norm with ε = 1 / 8 and ε = 1 / 16 .
i ε e u , i 0 e u , i 1 e u , i 2
1–41/80.0628530.0492870.032068
1/160.0285030.0188530.016703
5, 61/80.0918230.0737180.052404
1/160.0436310.0290220.026550
7, 81/80.101730.0661920.071713
1/160.0536110.0345650.030627
9–121/80.148550.130380.089557
1/160.102380.0899010.087278
13, 141/80.137460.130780.057244
1/160.0481860.0414280.030246
Table 6. Comparisons of the eigenvalues for the multiscale finite element computations with ε = 1 / 8 .
Table 6. Comparisons of the eigenvalues for the multiscale finite element computations with ε = 1 / 8 .
i λ ε i λ ε , 0 i λ ε , 1 i λ ε , 2 i e λ , i 0 e λ , i 1 e λ , i 2
1–4−0.2031−0.2083−0.2084−0.20360.0151790.0153130.0016252
± 20.7257 i ± 21.0403 i ± 21.0431 i ± 20.7594 i
5, 6−0.2707−0.2882−0.2884−0.27700.0358130.0361370.013300
± 24.4672 i ± 25.3433 ± 25.3513 ± 24.7926 i
7, 8−0.3602−0.3920−0.3923−0.37060.0472110.0476240.016048
± 28.6769 i ± 30.0305 i ± 30.0423 i ± 29.1370 i
9–12−0.4755−0.5222−0.5228−0.48070.0512580.0519190.0068509
± 33.3218 i ± 35.0294 i ± 35.0514 i ± 33.5501 i
13, 14−0.5129−0.5373−0.5376−0.50090.0250860.0253760.011815
± 34.6957 i ± 35.5658 i ± 35.5759 i ± 34.2859 i
15, 16−0.6163−0.6560−0.6565−0.60050.0334130.0338090.012561
± 38.2393 i ± 39.5166 i ± 39.5317 i ± 37.7592 i
17–20−0.6771−0.7436−0.7444−0.66580.0501800.0507950.0071311
± 40.1774 i ± 42.1927 i ± 42.2174 i ± 39.8911 i
Table 7. Comparisons of the eigenvalues for the multiscale finite element computations with ε = 1 / 16 .
Table 7. Comparisons of the eigenvalues for the multiscale finite element computations with ε = 1 / 16 .
i λ ε i λ ε , 0 i λ ε , 1 i λ ε , 2 i e λ , i 0 e λ , i 1 e λ , i 2
1–4−0.2045−0.2083−0.2084−0.20720.0111250.0111580.0077494
± 20.8088 i ± 21.0403 i ± 21.0410 i ± 20.9701 i
5, 6−0.2711−0.2882−0.2882−0.28540.0349340.0350110.029304
± 24.4880 i ± 25.3433 ± 25.3452 ± 25.2055 i
7, 8−0.3638−0.3920−0.3921−0.38670.0416290.0417380.033889
± 28.8305 i ± 30.0305 i ± 30.0336 i ± 29.8074 i
9–12−0.4800−0.5222−0.5223−0.51180.04.58830.0460470.0034823
± 33.4913 i ± 35.0294 i ± 35.0347 i ± 34.6592 i
13, 14−0.5374−0.5373−0.5374−0.52820.0000256450.0000397000.0090371
± 34.5668 i ± 35.5658 i ± 35.5682 i ± 34.2454 i
15, 16−0.6469−0.6560−0.6561−0.64210.00739040.00746600.0038376
± 39.2275 i ± 39.5166 i ± 39.5203 i ± 39.0711 i
17–20−0.7123−0.7436−0.7438−0.72410.0226880.02.28410.0087380
± 41.2571 i ± 42.1927 i ± 42.1990 i ± 41.6174 i
Table 8. The relative errors of the real part of the eigenfunctions for the multiscale finite element computations in L 2 norm with ε = 1 / 8 and ε = 1 / 16 .
Table 8. The relative errors of the real part of the eigenfunctions for the multiscale finite element computations in L 2 norm with ε = 1 / 8 and ε = 1 / 16 .
i ε e u , i 0 e u , i 1 e u , i 2
1–41/80.0533290.0294890.021533
1/160.0269160.0133820.012700
5, 61/80.0802520.0463010.037830
1/160.0416690.0209360.020197
7, 81/80.101080.0551120.042573
1/160.05.17860.0250640.023878
9–121/80.133980.0933210.078345
1/160.105440.0902130.090860
13, 141/80.0895170.0730680.032400
1/160.0398180.0291290.024539
Table 9. Convergence of λ ε 1 to the first eigenvalue λ ε , 0 1 = − 0.2083 ± 21.0403 i and its corrections.
Table 9. Convergence of λ ε 1 to the first eigenvalue λ ε , 0 1 = − 0.2083 ± 21.0403 i and its corrections.
ε λ ε 1 λ ε , 1 1 λ ε , 2 1 e λ , 1 0 e λ , 1 1 e λ , 1 2
1/2−0.1542−0.2084−0.13210.200380.200670.058009
± 17.5282 i ± 21.0453 i ± 16.5116 i
1/4−0.1947−0.2085−0.18940.0410020.0415010.014665
± 20.2117 i ± 21.0504 i ± 19.9153 i
1/8−0.2031−0.2084−0.20360.0151790.0153130.0016252
± 20.7257 i ± 21.0431 i ± 20.7594 i
1/16−0.2045−0.2084−0.20720.0111250.0111580.0077494
± 20.8088 i ± 21.0410 i ± 20.9701 i
1/32−0.2049−0.2083−0.20810.00988260.0098910.0090399
± 20.8344 i ± 21.0405 i ± 21.0228 i
1/64−0.2046−0.2083−0.20830.0106050.0106070.010394
± 20.8195 i ± 20.8195 i ± 21.0359 i
Disclaimer/Publisher’s Note: The statements, opinions and data contained in all publications are solely those of the individual author(s) and contributor(s) and not of MDPI and/or the editor(s). MDPI and/or the editor(s) disclaim responsibility for any injury to people or property resulting from any ideas, methods, instructions or products referred to in the content.

Share and Cite

MDPI and ACS Style

Ma, Q.; Wang, H.; Bi, L.; Cui, J.; Chen, T.; Wu, Y. Multiscale Asymptotic Computations for the Elastic Quadratic Eigenvalue Problem in Periodically Composite Structure. Symmetry 2023, 15, 1299. https://doi.org/10.3390/sym15071299

AMA Style

Ma Q, Wang H, Bi L, Cui J, Chen T, Wu Y. Multiscale Asymptotic Computations for the Elastic Quadratic Eigenvalue Problem in Periodically Composite Structure. Symmetry. 2023; 15(7):1299. https://doi.org/10.3390/sym15071299

Chicago/Turabian Style

Ma, Qiang, Hongyu Wang, Lin Bi, Junzhi Cui, Tingyan Chen, and Yuting Wu. 2023. "Multiscale Asymptotic Computations for the Elastic Quadratic Eigenvalue Problem in Periodically Composite Structure" Symmetry 15, no. 7: 1299. https://doi.org/10.3390/sym15071299

APA Style

Ma, Q., Wang, H., Bi, L., Cui, J., Chen, T., & Wu, Y. (2023). Multiscale Asymptotic Computations for the Elastic Quadratic Eigenvalue Problem in Periodically Composite Structure. Symmetry, 15(7), 1299. https://doi.org/10.3390/sym15071299

Note that from the first issue of 2016, this journal uses article numbers instead of page numbers. See further details here.

Article Metrics

Back to TopTop