Tetraquarks and Pentaquarks from Quark Model Perspective
Abstract
1. Introduction
1.1. Color Structures
1.2. Multi-Body Interaction
1.3. Resonances
2. Models and Methods
2.1. Various Quark Models
2.1.1. Naïve Quark Model
2.1.2. Hybrid Quark Model
2.1.3. Chiral Quark Model
2.1.4. Quark Delocalization and Color Screening Model
2.1.5. Color Flux-Tube Model
2.1.6. Unquenched Quark Model
2.2. Methods for Identifying the Genuine Resonance States
2.2.1. Channel Coupling Phase Shift Calculation
2.2.2. Real Scaling Method
2.2.3. Complex Scaling Method
- The energies of the bound states are invariant with respect to the scaling.
- The resonances are described by the square integrable functions, like bound states.
- The continuum spectra are rotated clockwise by an angle from the positive real energy axis.
3. Bound States
3.1. and
3.1.1. Diquark–Antidiquark Configuration
3.1.2. Meson–Meson Configuration
3.1.3. Correlation between Two Configurations
3.1.4. Mixing of Two Configurations
3.2. Other Doubly Heavy Tetraquark States
3.2.1.
3.2.2. and
3.2.3.
3.2.4. Isospin, V-Spin, and U-Spin Symmetrical States
3.3. Nucleon- Bound State
3.4. Short Summary
4. Molecular Resonances
4.1. Hidden-Charm Pentaquarks
4.1.1. Hidden-Charm Pentaquark Resonances in Quark Models
4.1.2. Molecular Structure in Other Approaches
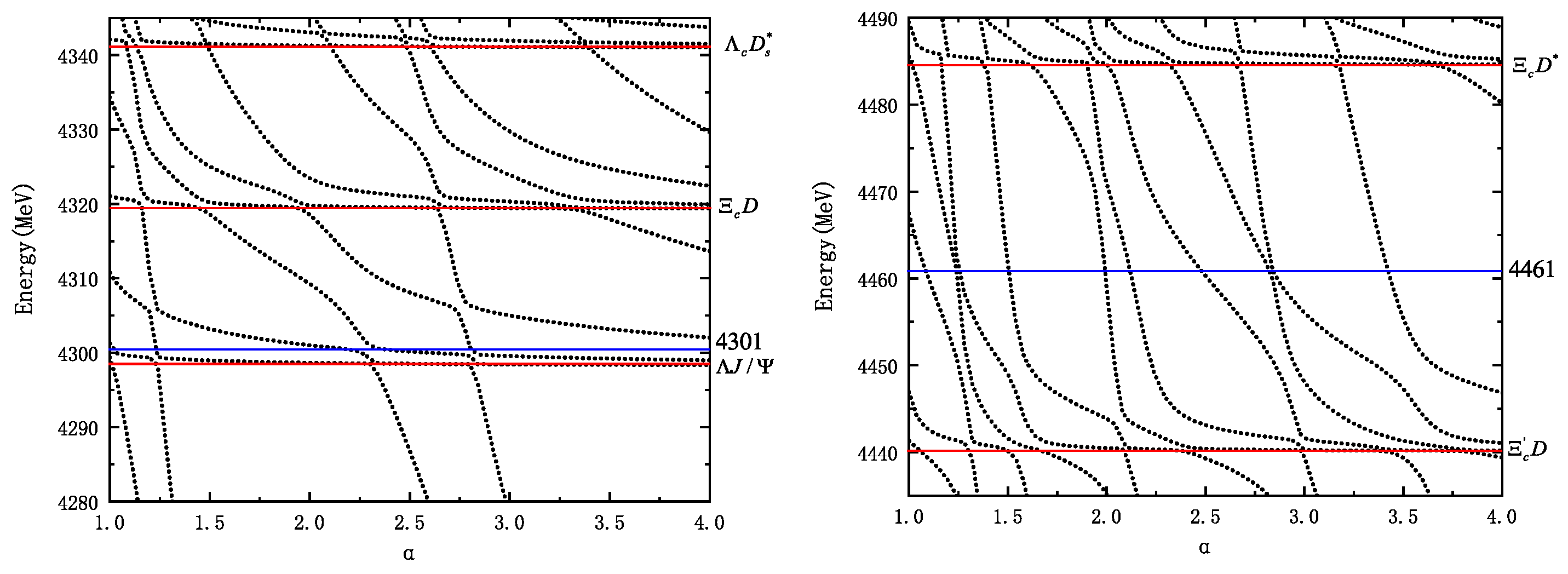
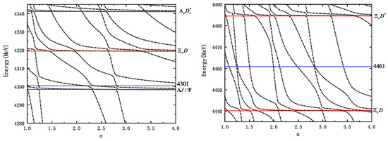
4.2. Hidden-Charm Pentaquarks with Strangeness
4.2.1. Experimental Progress
4.2.2. Molecular Explanation in ChQM
4.2.3. Molecular Structure in Other Approaches
4.3. Other Heavy Pentaquark States
4.3.1. Hidden-Bottom Pentaquarks
4.3.2.
4.3.3.
4.3.4.
4.3.5.
4.4. Fully Strange Baryon
4.4.1. Status of
4.4.2. Molecular Picture Support from ChQM
4.5. Short Summary
5. Color Structure Resonances
5.1. Fully Charm Tetraquark States
5.1.1. Diquark–Antidiquark Configuration
5.1.2. Color Octet Configuration
5.2. Fully Bottom Tetraquark States
5.3. Hidden-Charm and Hidden-Strange Tetraquark States
5.3.1. Experimental Progress
5.3.2. Diquark–Antidiquark Explanation
5.4. Alternative QCD Isomers for and
5.5. Short Summary
6. The Exotic States in Unquenched Quark Model
6.1.
6.2. and
6.3. and
6.4. Short Summary
7. Summary and Perspective
- (1)
- Theoretical approaches
- (2)
- Structure of exotic hadrons
- (3)
- Resonances
Author Contributions
Funding
Institutional Review Board Statement
Informed Consent Statement
Data Availability Statement
Acknowledgments
Conflicts of Interest
Abbreviations
| ChQM | Chiral quark model |
| CMI | Chromomagnetic interaction |
| CFTM | Color flux-tube model |
| CQM | Constituent quark Model |
| Cornell coupled-channel | |
| EFT | Effective Field Theory |
| GEM | Gaussian expansion method |
| GBE | Goldstone boson exchange |
| HQSS | Heavy-quark spin symmetry |
| NN | Nucleon–nucleon |
| OZI | Okubo–Zweig–Iizuka |
| OBE | One-boson exchange |
| OGE | One-gluon exchange |
| OPE | One-pion exchange |
| PDG | Particle data group |
| QDCSM | Quark delocalization and color screening model |
| RGM | Resonating group method |
| SHO | Simple harmonic oscillator |
References
- Aubert, B. [BaBar Collaboration]. Observation of a narrow meson decaying to Ds+π0 at a mass of 2.32-GeV/c2. Phys. Rev. Lett. 2003, 90, 242001. [Google Scholar] [CrossRef] [PubMed]
- Choi, S.K. [Belle Collaboration]. Observation of a narrow charmonium-like state in exclusive B±→K±π+π−J/ψ decays. Phys. Rev. Lett. 2003, 91, 262001. [Google Scholar] [CrossRef] [PubMed]
- Ablikim, M. [BESIII Collaboration]. Observation of a Charged Charmoniumlike Structure in e+e−→π+π−J/ψ at s =4.26 GeV. Phys. Rev. Lett. 2013, 110, 252001. [Google Scholar] [CrossRef]
- Ablikim, M. [BESIII Collaboration]. Observation of a Charged Charmoniumlike Structure Zc(4020) and Search for the Zc(3900) in e+e−→π+π−hc. Phys. Rev. Lett. 2013, 111, 242001. [Google Scholar] [CrossRef] [PubMed]
- Ablikim, M. [BESIII Collaboration]. Observation of a charged charmoniumlike structure in e+e−→(D*D¯*)±π∓ at s=4.26 GeV. Phys. Rev. Lett. 2014, 112, 132001. [Google Scholar] [CrossRef]
- Bondar, A. [Belle Collaboration]. Observation of two charged bottomonium-like resonances in Υ(5S) decays. Phys. Rev. Lett. 2012, 108, 122001. [Google Scholar] [CrossRef]
- Garmash, A. [Belle Collaboration]. Observation of Zb(10610) and Zb(10650) Decaying to B Mesons. Phys. Rev. Lett. 2016, 116, 212001. [Google Scholar] [CrossRef]
- Ablikim, M. [BESIII Collaboration]. Observation of a Near-Threshold Structure in the K+ Recoil-Mass Spectra in e+e−→K+(Ds-D*0+Ds*-D0). Phys. Rev. Lett. 2021, 126, 102001. [Google Scholar] [CrossRef]
- Aaij, R. [LHCb Collaboration]. Observation of J/ψp Resonances Consistent with Pentaquark States in Λb0→J/ψK−p Decays. Phys. Rev. Lett. 2015, 115, 072001. [Google Scholar] [CrossRef]
- Aaij, R. [LHCb Collaboration]. Observation of a narrow pentaquark state, Pc(4312)+, and of two-peak structure of the Pc(4450)+. Phys. Rev. Lett. 2019, 122, 222001. [Google Scholar] [CrossRef]
- Aaij, R. [LHCb Collaboration]. Observation of structure in the J/ψ -pair mass spectrum. Sci. Bull. 2020, 65, 1983–1993. [Google Scholar] [CrossRef]
- CMS Collaboration. Observation of new structures in the J/ψJ/ψ mass spectrum in pp collisions at s=13 TeV. arXiv 2022, arXiv:2306.07164. [Google Scholar]
- Aaij, R. [LHCb Collaboration]. A model-independent study of resonant structure in B+→D+D−K+ decays. Phys. Rev. Lett. 2020, 125, 242001. [Google Scholar] [CrossRef] [PubMed]
- Aaij, R. Observation of an exotic narrow doubly charmed tetraquark. Nat. Phys. 2022, 18, 751–754. [Google Scholar] [CrossRef]
- Chen, H.X.; Chen, W.; Liu, X.; Zhu, S.L. The hidden-charm pentaquark and tetraquark states. Phys. Rept. 2016, 639, 1–121. [Google Scholar] [CrossRef]
- Chen, H.X.; Chen, W.; Liu, X.; Liu, Y.R.; Zhu, S.L. A review of the open charm and open bottom systems. Rept. Prog. Phys. 2017, 80, 076201. [Google Scholar] [CrossRef] [PubMed]
- Liu, Y.R.; Chen, H.X.; Chen, W.; Liu, X.; Zhu, S.L. Pentaquark and Tetraquark states. Prog. Part. Nucl. Phys. 2019, 107, 237–320. [Google Scholar] [CrossRef]
- Brambilla, N.; Eidelman, S.; Hanhart, C.; Nefediev, A.; Shen, C.P.; Thomas, C.E.; Vairo, A.; Yuan, C.Z. The XYZ states: Experimental and theoretical status and perspectives. Phys. Rept. 2020, 873, 1–154. [Google Scholar] [CrossRef]
- Chen, H.X.; Chen, W.; Liu, X.; Liu, Y.R.; Zhu, S.L. An updated review of the new hadron states. Rept. Prog. Phys. 2023, 86, 026201. [Google Scholar] [CrossRef]
- Meng, L.; Wang, B.; Wang, G.J.; Zhu, S.L. Chiral perturbation theory for heavy hadrons and chiral effective field theory for heavy hadronic molecules. Phys. Rept. 2023, 1019, 1–149. [Google Scholar] [CrossRef]
- Isgur, N.; Paton, J.E. A Flux Tube Model for Hadrons in QCD. Phys. Rev. D 1985, 31, 2910. [Google Scholar] [CrossRef] [PubMed]
- Bissey, F.; Cao, F.G.; Kitson, A.R.; Signal, A.I.; Leinweber, D.B.; Lasscock, B.G.; Williams, A.G. Gluon flux-tube distribution and linear confinement in baryons. Phys. Rev. D 2007, 76, 114512. [Google Scholar] [CrossRef]
- Guo, F.K.; Hanhart, C.; Meißner, U.G.; Wang, Q.; Zhao, Q.; Zou, B.S. Hadronic molecules. Rev. Mod. Phys. 2018, 90, 015004. [Google Scholar] [CrossRef]
- Deng, C.; Chen, H.; Ping, J. Towards the understanding of fully-heavy tetraquark states from various models. Phys. Rev. D 2021, 103, 014001. [Google Scholar] [CrossRef]
- Wei, J.; Wang, Y.H.; An, C.S.; Deng, C.R. Color flux-tube nature of the states Tcs(2900) and Tcsa(2900). Phys. Rev. D 2022, 106, 096023. [Google Scholar] [CrossRef]
- Jaffe, R.L.; Wilczek, F. Diquarks and exotic spectroscopy. Phys. Rev. Lett. 2003, 91, 232003. [Google Scholar] [CrossRef]
- Huang, H.; Deng, C.; Ping, J. The various configurations of pentaquark in quark models. J. Phys. G 2007, 34, 1917–1926. [Google Scholar] [CrossRef]
- Deng, C.R.; Zhu, S.L. Decoding the double heavy tetraquark state Tcc+. Sci. Bull. 2022, 67, 1522. [Google Scholar] [CrossRef]
- Deng, C.; Ping, J.; Wang, H.; Zhou, P.; Wang, F. QCD quark cyclobutadiene and light tetraquark spectra. Phys. Rev. D 2012, 86, 114035. [Google Scholar] [CrossRef]
- Deng, C.; Ping, J.; Huang, H.; Wang, F. Heavy pentaquark states and a novel color structure. Phys. Rev. D 2017, 95, 014031. [Google Scholar] [CrossRef]
- Ping, J.L.; Deng, C.R.; Wang, F. Quantum chromodynamics quark benzene. Phys. Lett. B 2008, 659, 607–611. [Google Scholar] [CrossRef]
- Richard, J.M. An introduction to the quark model. arXiv 2012, arXiv:1205.4326. [Google Scholar]
- Stanley, D.P.; Robson, D. Instability of colored baryons in quark potential models. Phys. Rev. D 1981, 23, 2776–2778. [Google Scholar] [CrossRef]
- Bali, G.S. Casimir scaling of SU(3) static potentials. Phys. Rev. D 2000, 62, 114503. [Google Scholar] [CrossRef]
- Feinberg, G.; Sucher, J. Is There a Strong Van Der Waals Force Between Hadrons? Phys. Rev. D 1979, 20, 1717. [Google Scholar] [CrossRef]
- Greenberg, O.W.; Lipkin, H.J. The Potential Model of Colored Quarks: Success for Single Hadron States, Failure for Hadron-Hadron Interactions. Nucl. Phys. A 1981, 370, 349–364. [Google Scholar] [CrossRef]
- Greenberg, O.W.; Hietarinta, J. Permanent quark confinement without van der Waals forces. Phys. Lett. B 1979, 86, 309–312. [Google Scholar] [CrossRef]
- Lipkin, H.J. Why Explicit Gluonic Components Are Needed in Multi-Quark Wave Functions. Phys. Lett. B 1982, 113, 490–494. [Google Scholar] [CrossRef]
- Dmitrasinovic, V. Color SU(3) symmetry, confinement, stability, and clustering in the q2q2 system. Phys. Rev. D 2003, 67, 114007. [Google Scholar] [CrossRef]
- Okiharu, F.; Suganuma, H.; Takahashi, T.T. First study for the pentaquark potential in SU(3) lattice QCD. Phys. Rev. Lett. 2005, 94, 192001. [Google Scholar] [CrossRef]
- Okiharu, F.; Suganuma, H.; Takahashi, T.T. Detailed analysis of the tetraquark potential and flip-flop in SU(3) lattice QCD. Phys. Rev. D 2005, 72, 014505. [Google Scholar] [CrossRef]
- Takahashi, T.T.; Matsufuru, H.; Nemoto, Y.; Suganuma, H. The Three quark potential in the SU(3) lattice QCD. Phys. Rev. Lett. 2001, 86, 18–21. [Google Scholar] [CrossRef] [PubMed]
- Deng, C.; Ping, J.; Yang, Y.; Wang, F. X(1835), X(2120) and X(2370) in a flux tube model. Phys. Rev. D 2012, 86, 014008. [Google Scholar] [CrossRef]
- Lucha, W.; Schoberl, F.F.; Gromes, D. Bound states of quarks. Phys. Rept. 1991, 200, 127–240. [Google Scholar] [CrossRef]
- Deng, C.; Ping, J.; Wang, F.; Goldman, T. Tetraquark state and multibody interaction. Phys. Rev. D 2010, 82, 074001. [Google Scholar] [CrossRef]
- Deng, C.; Ping, J.; Wang, F. Interpreting Zc(3900) and Zc(4025)/Zc(4020) as charged tetraquark states. Phys. Rev. D 2014, 90, 054009. [Google Scholar] [CrossRef]
- Deng, C.R. Compact hidden charm pentaquark states and QCD isomers. Phys. Rev. D 2022, 105, 116021. [Google Scholar] [CrossRef]
- Huang, H.; Ping, J. Investigating the hidden-charm and hidden-bottom pentaquark resonances in scattering process. Phys. Rev. D 2019, 99, 014010. [Google Scholar] [CrossRef]
- Ping, J.L.; Huang, H.X.; Pang, H.R.; Wang, F.; Wong, C.W. Quark models of dibaryon resonances in nucleon-nucleon scattering. Phys. Rev. C 2009, 79, 024001. [Google Scholar] [CrossRef]
- Godfrey, S.; Napolitano, J. Light meson spectroscopy. Rev. Mod. Phys. 1999, 71, 1411–1462. [Google Scholar] [CrossRef]
- Gell-Mann, M. A Schematic Model of Baryons and Mesons. Phys. Lett. 1964, 8, 214–215. [Google Scholar] [CrossRef]
- Zweig, G. An SU(3) Model for Strong Interaction Symmetry and Its Breaking, Version 1; CERN-TH-401; CERN: Geneva, Switzerland, 1964. [Google Scholar] [CrossRef]
- Greenberg, O.W. Spin and Unitary Spin Independence in a Paraquark Model of Baryons and Mesons. Phys. Rev. Lett. 1964, 13, 598–602. [Google Scholar] [CrossRef]
- Han, M.Y.; Nambu, Y. Three Triplet Model with Double SU(3) Symmetry. Phys. Rev. 1965, 139, B1006–B1010. [Google Scholar] [CrossRef]
- De Rujula, A.; Georgi, H.; Glashow, S.L. Hadron Masses in a Gauge Theory. Phys. Rev. D 1975, 12, 147–162. [Google Scholar] [CrossRef]
- Appelquist, T.; De Rujula, A.; Politzer, H.D.; Glashow, S.L. Charmonium Spectroscopy. Phys. Rev. Lett. 1975, 34, 365. [Google Scholar] [CrossRef]
- Eichten, E.; Gottfried, K.; Kinoshita, T.; Kogut, J.B.; Lane, K.D.; Yan, T.M. The Spectrum of Charmonium. Phys. Rev. Lett. 1975, 34, 369–372, Erratum in Phys. Rev. Lett. 1976, 36, 1276. [Google Scholar] [CrossRef]
- Isgur, N.; Karl, G. P Wave Baryons in the Quark Model. Phys. Rev. D 1978, 18, 4187. [Google Scholar] [CrossRef]
- Isgur, N.; Karl, G. Positive Parity Excited Baryons in a Quark Model with Hyperfine Interactions. Phys. Rev. D 1979, 19, 2653, Erratum in Phys. Rev. D 1981, 23, 817. [Google Scholar] [CrossRef]
- Isgur, N.; Karl, G. Ground State Baryons in a Quark Model with Hyperfine Interactions. Phys. Rev. D 1979, 20, 1191–1194. [Google Scholar] [CrossRef]
- Neudachin, V.G.; Smirnov, Y.F.; Tamagaki, R. An Explanation of n n Repulsive Core in Terms of Forbidden States Based on the Quark Model. Prog. Theor. Phys. 1977, 58, 1072. [Google Scholar] [CrossRef]
- Oka, M.; Yazaki, K. Short Range Part of Nuclear Force and Deuteron in a Quark Model. Nucl. Phys. A 1983, 402, 477–490, Erratum in Nucl. Phys. A 1986, 458, 773. [Google Scholar] [CrossRef]
- Manohar, A.; Georgi, H. Chiral Quarks and the Nonrelativistic Quark Model. Nucl. Phys. B 1984, 234, 189–212. [Google Scholar] [CrossRef]
- Diakonov, D.; Petrov, V.Y. Instanton Based Vacuum from Feynman Variational Principle. Nucl. Phys. B 1984, 245, 259–292. [Google Scholar] [CrossRef]
- Diakonov, D.; Petrov, V.Y. A Theory of Light Quarks in the Instanton Vacuum. Nucl. Phys. B 1986, 272, 457–489. [Google Scholar] [CrossRef]
- Obukhovsky, I.T.; Kusainov, A.M. The Nucleon nucleon scattering and the baryon spectrum in the quark cluster model with two scales of interaction. Phys. Lett. B 1990, 238, 142–148. [Google Scholar] [CrossRef]
- Fernandez, F.; Valcarce, A.; Straub, U.; Faessler, A. The Nucleon-nucleon interaction in terms of quark degrees of freedom. J. Phys. G 1993, 19, 2013–2026. [Google Scholar] [CrossRef]
- Valcarce, A.; Fernandez, F.; Gonzalez, P.; Vento, V. Chiral quark cluster model study of the low-energy baryon spectrum. Phys. Lett. B 1996, 367, 35–39. [Google Scholar] [CrossRef]
- Glozman, L.Y.; Riska, D.O. The Spectrum of the nucleons and the strange hyperons and chiral dynamics. Phys. Rept. 1996, 268, 263–303. [Google Scholar] [CrossRef]
- Vijande, J.; Fernandez, F.; Valcarce, A. Constituent quark model study of the meson spectra. J. Phys. G 2005, 31, 481. [Google Scholar] [CrossRef]
- Fujiwara, Y.; Nakamoto, C.; Suzuki, Y. Effective meson exchange potentials in the SU(6) quark model for N N and Y N interactions. Phys. Rev. C 1996, 54, 2180–2200. [Google Scholar] [CrossRef]
- Fujiwara, Y.; Fujita, T.; Kohno, M.; Nakamoto, C.; Suzuki, Y. Resonating group study of baryon baryon interactions for the complete baryon octet: N N interaction. Phys. Rev. C 2001, 65, 014002. [Google Scholar] [CrossRef]
- Fujiwara, Y.; Miyagawa, K.; Kohno, M.; Suzuki, Y.; Nakamoto, C. A realistic baryon-baryon interaction in the SU(6) quark model and its applications to few-baryon systems. Nucl. Phys. A 2004, 737, 243–247. [Google Scholar] [CrossRef]
- Fujiwara, Y.; Kohno, M.; Nakamoto, C.; Suzuki, Y. Interactions between octet baryons in the SU(6) quark model. Phys. Rev. C 2001, 64, 054001. [Google Scholar] [CrossRef]
- Wang, F.; Wu, G.H.; Teng, L.J.; Goldman, J.T. Quark delocalization, color screening, and nuclear intermediate range attraction. Phys. Rev. Lett. 1992, 69, 2901–2904. [Google Scholar] [CrossRef]
- Wang, F.; Ping, J.L.; Wu, G.H.; Teng, L.J.; Goldman, J.T. Quark delocalization, color screening and dibaryons. Phys. Rev. C 1995, 51, 3411. [Google Scholar] [CrossRef]
- Huang, H.; Ping, J.; Wang, F. Prediction of NΩ-like dibaryons with heavy quarks. Phys. Rev. C 2020, 101, 015204. [Google Scholar] [CrossRef]
- Huang, H.; Deng, C.; Ping, J.; Wang, F. Possible pentaquarks with heavy quarks. Eur. Phys. J. C 2016, 76, 624. [Google Scholar] [CrossRef]
- Ping, J.L.; Wang, F.; Goldman, J.T. The d* dibaryon in the extended quark delocalization, color screening model. Phys. Rev. C 2002, 65, 044003. [Google Scholar] [CrossRef]
- Ping, J.L.; Wang, F.; Goldman, J.T. Effective baryon baryon potentials in the quark delocalization and color screening model. Nucl. Phys. A 1999, 657, 95–109. [Google Scholar] [CrossRef]
- Jin, X.; Xue, Y.; Huang, H.; Ping, J. Full-heavy tetraquarks in constituent quark models. Eur. Phys. J. C 2020, 80, 1083. [Google Scholar] [CrossRef]
- Kondo, K.I.; Kato, S.; Shibata, A.; Shinohara, T. Quark confinement: Dual superconductor picture based on a non-Abelian Stokes theorem and reformulations of Yang–Mills theory. Phys. Rept. 2015, 579, 1–226. [Google Scholar] [CrossRef]
- Weinstein, J.D.; Isgur, N. Do Multi-Quark Hadrons Exist? Phys. Rev. Lett. 1982, 48, 659. [Google Scholar] [CrossRef]
- Weinstein, J.D.; Isgur, N. K anti-K Molecules. Phys. Rev. D 1990, 41, 2236. [Google Scholar] [CrossRef] [PubMed]
- Robson, D. Hadron Hadron Interactions with Orthogonal Lattice Gauge Field Configurations. 1. General Outlook. Phys. Rev. D 1987, 35, 1018–1028. [Google Scholar] [CrossRef]
- Alexandrou, C.; De Forcrand, P.; Tsapalis, A. The Static three quark SU(3) and four quark SU(4) potentials. Phys. Rev. D 2002, 65, 054503. [Google Scholar] [CrossRef]
- Takahashi, T.T.; Suganuma, H.; Nemoto, Y.; Matsufuru, H. Detailed analysis of the three quark potential in SU(3) lattice QCD. Phys. Rev. D 2002, 65, 114509. [Google Scholar] [CrossRef]
- Deng, C.; Ping, J.; Huang, H.; Wang, F. Hidden charmed states and multibody color flux-tube dynamics. Phys. Rev. D 2018, 98, 014026. [Google Scholar] [CrossRef]
- Tornqvist, N.A. The Meson Mass Spectrum and Unitarity. Ann. Phys. 1979, 123, 1. [Google Scholar] [CrossRef]
- Tan, Y.; Ping, J. X(3872) in an unquenched quark model. Phys. Rev. D 2019, 100, 034022. [Google Scholar] [CrossRef]
- Micu, L. Decay rates of meson resonances in a quark model. Nucl. Phys. B 1969, 10, 521–526. [Google Scholar] [CrossRef]
- Le Yaouanc, A.; Oliver, L.; Pene, O.; Raynal, J.C. Naive quark pair creation model of strong interaction vertices. Phys. Rev. D 1973, 8, 2223–2234. [Google Scholar] [CrossRef]
- Le Yaouanc, A.; Oliver, L.; Pene, O.; Raynal, J.C. Naive quark pair creation model and baryon decays. Phys. Rev. D 1974, 9, 1415–1419. [Google Scholar] [CrossRef]
- Le Yaouanc, A.; Oliver, L.; Pene, O.; Raynal, J.C. Resonant Partial Wave Amplitudes in πN→ππN According to the Naive Quark Pair Creation Model. Phys. Rev. D 1975, 11, 1272. [Google Scholar] [CrossRef]
- Roberts, W.; Silvestre-Brac, B. General method of calculation of any hadronic decay in the 3P0 model. Few Body Syst. 1992, 11, 171–193. [Google Scholar] [CrossRef]
- Kalashnikova, Y.S. Coupled-channel model for charmonium levels and an option for X(3872). Phys. Rev. D 2005, 72, 034010. [Google Scholar] [CrossRef]
- Ferretti, J.; Galatà, G.; Santopinto, E. Interpretation of the X(3872) as a charmonium state plus an extra component due to the coupling to the meson-meson continuum. Phys. Rev. C 2013, 88, 015207. [Google Scholar] [CrossRef]
- Ortega, P.G.; Segovia, J.; Entem, D.R.; Fernandez, F. Coupled channel approach to the structure of the X(3872). Phys. Rev. D 2010, 81, 054023. [Google Scholar] [CrossRef]
- Hwang, D.S.; Kim, D.W. Mass shift of Dsj*(2317) by coupled channel effect. J. Phys. Conf. Ser. 2005, 9, 63–66. [Google Scholar] [CrossRef]
- Mohler, D.; Lang, C.B.; Leskovec, L.; Prelovsek, S.; Woloshyn, R.M. Ds0*(2317) Meson and D-Meson-Kaon Scattering from Lattice QCD. Phys. Rev. Lett. 2013, 111, 222001. [Google Scholar] [CrossRef]
- Bali, G.S.; Collins, S.; Cox, A.; Schäfer, A. Masses and decay constants of the Ds0*(2317) and Ds1(2460) from Nf=2 lattice QCD close to the physical point. Phys. Rev. D 2017, 96, 074501. [Google Scholar] [CrossRef]
- Chen, X.; Ping, J.; Roberts, C.D.; Segovia, J. Light-meson masses in an unquenched quark model. Phys. Rev. D 2018, 97, 094016. [Google Scholar] [CrossRef]
- Barnes, T.; Swanson, E.S. Hadron loops: General theorems and application to charmonium. Phys. Rev. C 2008, 77, 055206. [Google Scholar] [CrossRef]
- Ping, J.; Deng, C.; Huang, H.; Dong, F.F.; Wang, F. Quark models for mesons. EPJ Web Conf. 2012, 20, 01007. [Google Scholar] [CrossRef]
- Ferretti, J.; Santopinto, E. Threshold corrections of χc(2P) and χb(3P) states and Jψρ and J/ψω transitions of the χ(3872) in a coupled-channel model. Phys. Lett. B 2019, 789, 550–555. [Google Scholar] [CrossRef]
- Eichten, E.; Gottfried, K.; Kinoshita, T.; Lane, K.D.; Yan, T.M. The Interplay of Confinement and Decay in the Spectrum of Charmonium. Phys. Rev. Lett. 1976, 36, 500. [Google Scholar] [CrossRef]
- Eichten, E.; Gottfried, K.; Kinoshita, T.; Lane, K.D.; Yan, T.M. Charmonium: Comparison with Experiment. Phys. Rev. D 1980, 21, 203. [Google Scholar] [CrossRef]
- Briceno, R.A.; Dudek, J.J.; Young, R.D. Scattering processes and resonances from lattice QCD. Rev. Mod. Phys. 2018, 90, 025001. [Google Scholar] [CrossRef]
- Kondo, Y.; Morimatsu, O.; Nishikawa, T. Two-hadron-irreducible QCD sum rule for pentaquark baryon. Phys. Lett. B 2005, 611, 93–101. [Google Scholar] [CrossRef]
- Lee, S.H.; Kim, H.; Kwon, Y. Parity of Θ+(1540) from QCD sum rules. Phys. Lett. B 2005, 609, 252–258. [Google Scholar] [CrossRef]
- Lee, H.J.; Kochelev, N.I. On the ππ contribution to the QCD sum rules for the light tetraquark. Phys. Rev. D 2008, 78, 076005. [Google Scholar] [CrossRef]
- Chen, H.X.; Hosaka, A.; Toki, H.; Zhu, S.L. Light Scalar Meson σ(600) in QCD Sum Rule with Continuum. Phys. Rev. D 2010, 81, 114034. [Google Scholar] [CrossRef]
- Albuquerque, R.M.; Dias, J.M.; Khemchandani, K.P.; Martínez Torres, A.; Navarra, F.S.; Nielsen, M.; Zanetti, C.M. QCD sum rules approach to the X,Y and Z states. J. Phys. G 2019, 46, 093002. [Google Scholar] [CrossRef]
- Feshbach, H. A Unified theory of nuclear reactions. 2. Ann. Phys. 1962, 19, 287–313. [Google Scholar] [CrossRef]
- Tang, Y.C.; Lemere, M.; Thompson, D.R. Resonating-group method for nuclear many-body problems. Phys. Rept. 1978, 47, 167–223. [Google Scholar] [CrossRef]
- Kamimura, M. Chapter V. A Coupled Channel Variational Method for Microscopic Study of Reactions between Complex Nuclei. Prog. Theor. Phys. Suppl. 1977, 62, 236–294. [Google Scholar] [CrossRef]
- Simons, J. Resonance state lifetimes from stabilization graphs. J. Chem. Phys. 1981, 75, 2465. [Google Scholar] [CrossRef]
- Aguilar, J.; Combes, J.M. A class of analytic perturbations for one-body schroedinger hamiltonians. Commun. Math. Phys. 1971, 22, 269–279. [Google Scholar] [CrossRef]
- Balslev, E.; Combes, J.M. Spectral properties of many-body schroedinger operators with dilatation-analytic interactions. Commun. Math. Phys. 1971, 22, 280–294. [Google Scholar] [CrossRef]
- Ho, Y. The method of complex coordinate rotation and its applications to atomic collision processes. Phys. Rep. 1983, 99, 1–68. [Google Scholar] [CrossRef]
- Moiseyev, N. Quantum theory of resonances: Calculating energies, widths and cross-sections by complex scaling. Phys. Rep. 1998, 302, 212–293. [Google Scholar] [CrossRef]
- Myo, T.; Kikuchi, Y.; Masui, H.; Katō, K. Recent development of complex scaling method for many-body resonances and continua in light nuclei. Prog. Part. Nucl. Phys. 2014, 79, 1–56. [Google Scholar] [CrossRef]
- Yang, G.; Ping, J.; Segovia, J. Doubly-heavy tetraquarks. Phys. Rev. D 2020, 101, 014001. [Google Scholar] [CrossRef]
- Ader, J.P.; Richard, J.M.; Taxil, P. Do narrow heavy multiquark states exist? Phys. Rev. D 1982, 25, 2370. [Google Scholar] [CrossRef]
- Ballot, J.l.; Richard, J.M. Four quark states in additive potentials. Phys. Lett. B 1983, 123, 449–451. [Google Scholar] [CrossRef]
- Carlson, J.; Heller, L.; Tjon, J.A. Stability of Dimesons. Phys. Rev. D 1988, 37, 744. [Google Scholar] [CrossRef]
- Zouzou, S.; Silvestre-Brac, B.; Gignoux, C.; Richard, J.M. Four quark bound states. Z. Phys. C 1986, 30, 457. [Google Scholar] [CrossRef]
- Silvestre-Brac, B.; Semay, C. Spectrum and decay properties of diquonia. Z. Phys. C 1993, 59, 457–470. [Google Scholar] [CrossRef]
- Brink, D.M.; Stancu, F. Tetraquarks with heavy flavors. Phys. Rev. D 1998, 57, 6778–6787. [Google Scholar] [CrossRef]
- Vijande, J.; Valcarce, A.; Tsushima, K. Dynamical study of QQ-u¯d¯ mesons. Phys. Rev. D 2006, 74, 054018. [Google Scholar] [CrossRef]
- Yang, Y.; Deng, C.; Ping, J.; Goldman, T. S-wave QQq¯q¯ state in the constituent quark model. Phys. Rev. D 2009, 80, 114023. [Google Scholar] [CrossRef]
- Manohar, A.V.; Wise, M.B. Exotic QQq¯q¯ states in QCD. Nucl. Phys. B 1993, 399, 17–33. [Google Scholar] [CrossRef]
- Vijande, J.; Valcarce, A.; Richard, J.M. Stability of multiquarks in a simple string model. Phys. Rev. D 2007, 76, 114013. [Google Scholar] [CrossRef]
- Ay, C.; Richard, J.M.; Rubinstein, J.H. Stability of asymmetric tetraquarks in the minimal-path linear potential. Phys. Lett. B 2009, 674, 227–231. [Google Scholar] [CrossRef]
- Bicudo, P.; Wagner, M. Lattice QCD signal for a bottom-bottom tetraquark. Phys. Rev. D 2013, 87, 114511. [Google Scholar] [CrossRef]
- Ikeda, Y.; Charron, B.; Aoki, S.; Doi, T.; Hatsuda, T.; Inoue, T.; Ishii, N.; Murano, K.; Nemura, H.; Sasaki, K. Charmed tetraquarks Tcc and Tcs from dynamical lattice QCD simulations. Phys. Lett. B 2014, 729, 85–90. [Google Scholar] [CrossRef]
- Du, M.L.; Chen, W.; Chen, X.L.; Zhu, S.L. Exotic QQq¯q¯, QQq¯s¯ and QQs¯s¯ states. Phys. Rev. D 2013, 87, 014003. [Google Scholar] [CrossRef]
- Chen, W.; Steele, T.G.; Zhu, S.L. Exotic open-flavor bcq¯q¯, bcs¯s¯ and qcq¯b¯, scs¯b¯ tetraquark states. Phys. Rev. D 2014, 89, 054037. [Google Scholar] [CrossRef]
- Aaij, R. Observation of the doubly charmed baryon Ξcc++. Phys. Rev. Lett. 2017, 119, 112001. [Google Scholar] [CrossRef]
- Deng, C.; Chen, H.; Ping, J. Systematical investigation on the stability of doubly heavy tetraquark states. Eur. Phys. J. A 2020, 56, 9. [Google Scholar] [CrossRef]
- Karliner, M.; Rosner, J.L. Discovery of doubly-charmed Ξcc baryon implies a stable (bbu¯d¯) tetraquark. Phys. Rev. Lett. 2017, 119, 202001. [Google Scholar] [CrossRef]
- Eichten, E.J.; Quigg, C. Heavy-quark symmetry implies stable heavy tetraquark mesons QiQjq¯kq¯l. Phys. Rev. Lett. 2017, 119, 202002. [Google Scholar] [CrossRef] [PubMed]
- Francis, A.; Hudspith, R.J.; Lewis, R.; Maltman, K. Lattice Prediction for Deeply Bound Doubly Heavy Tetraquarks. Phys. Rev. Lett. 2017, 118, 142001. [Google Scholar] [CrossRef] [PubMed]
- Bicudo, P.; Scheunert, J.; Wagner, M. Including heavy spin effects in the prediction of a b¯b¯ud tetraquark with lattice QCD potentials. Phys. Rev. D 2017, 95, 034502. [Google Scholar] [CrossRef]
- Czarnecki, A.; Leng, B.; Voloshin, M.B. Stability of tetrons. Phys. Lett. B 2018, 778, 233–238. [Google Scholar] [CrossRef]
- Agaev, S.S.; Azizi, K.; Barsbay, B.; Sundu, H. Weak decays of the axial-vector tetraquark Tbb;u¯d¯-. Phys. Rev. D 2019, 99, 033002. [Google Scholar] [CrossRef]
- Francis, A.; Hudspith, R.J.; Lewis, R.; Maltman, K. Evidence for charm-bottom tetraquarks and the mass dependence of heavy-light tetraquark states from lattice QCD. Phys. Rev. D 2019, 99, 054505. [Google Scholar] [CrossRef]
- Lü, Q.F.; Chen, D.Y.; Dong, Y.B. Masses of doubly heavy tetraquarks TQQ′ in a relativized quark model. Phys. Rev. D 2020, 102, 034012. [Google Scholar] [CrossRef]
- Braaten, E.; He, L.P.; Mohapatra, A. Masses of doubly heavy tetraquarks with error bars. Phys. Rev. D 2021, 103, 016001. [Google Scholar] [CrossRef]
- Aaij, R. Study of the doubly charmed tetraquark Tcc+. Nat. Commun. 2022, 13, 3351. [Google Scholar] [CrossRef]
- Li, N.; Sun, Z.F.; Liu, X.; Zhu, S.L. Coupled-channel analysis of the possible D(*)D(*),B¯(*)B¯(*) and D(*)B¯(*) molecular states. Phys. Rev. D 2013, 88, 114008. [Google Scholar] [CrossRef]
- Meng, L.; Wang, G.J.; Wang, B.; Zhu, S.L. Probing the long-range structure of the Tcc+ with the strong and electromagnetic decays. Phys. Rev. D 2021, 104, 051502. [Google Scholar] [CrossRef]
- Weng, X.Z.; Deng, W.Z.; Zhu, S.L. Doubly heavy tetraquarks in an extended chromomagnetic model. Chin. Phys. C 2022, 46, 013102. [Google Scholar] [CrossRef]
- Deng, C.; Zhu, S.L. Tcc+ and its partners. Phys. Rev. D 2022, 105, 054015. [Google Scholar] [CrossRef]
- Feijoo, A.; Liang, W.H.; Oset, E. D0D0π+ mass distribution in the production of the Tcc exotic state. Phys. Rev. D 2021, 104, 114015. [Google Scholar] [CrossRef]
- Yan, M.J.; Valderrama, M.P. Subleading contributions to the decay width of the Tcc+ tetraquark. Phys. Rev. D 2022, 105, 014007. [Google Scholar] [CrossRef]
- Fleming, S.; Hodges, R.; Mehen, T. Tcc+ decays: Differential spectra and two-body final states. Phys. Rev. D 2021, 104, 116010. [Google Scholar] [CrossRef]
- Li, N.; Sun, Z.F.; Liu, X.; Zhu, S.L. Perfect DD* molecular prediction matching the Tcc observation at LHCb. Chin. Phys. Lett. 2021, 38, 092001. [Google Scholar] [CrossRef]
- Wu, T.W.; Pan, Y.W.; Liu, M.Z.; Luo, S.Q.; Geng, L.S.; Liu, X. Discovery of the doubly charmed Tcc+ state implies a triply charmed Hccc hexaquark state. Phys. Rev. D 2022, 105, L031505. [Google Scholar] [CrossRef]
- Ling, X.Z.; Liu, M.Z.; Geng, L.S.; Wang, E.; Xie, J.J. Can we understand the decay width of the Tcc+ state? Phys. Lett. B 2022, 826, 136897. [Google Scholar] [CrossRef]
- Chen, R.; Huang, Q.; Liu, X.; Zhu, S.L. Predicting another doubly charmed molecular resonance Tcc+(3876). Phys. Rev. D 2021, 104, 114042. [Google Scholar] [CrossRef]
- Dai, L.Y.; Sun, X.; Kang, X.W.; Szczepaniak, A.P.; Yu, J.S. Pole analysis on the doubly charmed meson in D0D0π+ mass spectrum. Phys. Rev. D 2022, 105, L051507. [Google Scholar] [CrossRef]
- Xin, Q.; Wang, Z.G. Analysis of the doubly-charmed tetraquark molecular states with the QCD sum rules. Eur. Phys. J. A 2022, 58, 110. [Google Scholar] [CrossRef]
- Guo, T.; Li, J.; Zhao, J.; He, L. Mass spectra of doubly heavy tetraquarks in an improved chromomagnetic interaction model. Phys. Rev. D 2022, 105, 014021. [Google Scholar] [CrossRef]
- Kim, Y.; Oka, M.; Suzuki, K. Doubly heavy tetraquarks in a chiral-diquark picture. Phys. Rev. D 2022, 105, 074021. [Google Scholar] [CrossRef]
- Agaev, S.S.; Azizi, K.; Sundu, H. Newly observed exotic doubly charmed meson Tcc+. Nucl. Phys. B 2022, 975, 115650. [Google Scholar] [CrossRef]
- Agaev, S.S.; Azizi, K.; Sundu, H. Hadronic molecule model for the doubly charmed state Tcc+. J. High Energy Phys. 2022, 6, 57. [Google Scholar] [CrossRef]
- Jaffe, R.L. Exotica. Phys. Rept. 2005, 409, 1–45. [Google Scholar] [CrossRef]
- Anselmino, M.; Predazzi, E.; Ekelin, S.; Fredriksson, S.; Lichtenberg, D.B. Diquarks. Rev. Mod. Phys. 1993, 65, 1199–1234. [Google Scholar] [CrossRef]
- Barabanov, M.Y. Diquark correlations in hadron physics: Origin, impact and evidence. Prog. Part. Nucl. Phys. 2021, 116, 103835. [Google Scholar] [CrossRef]
- Zhang, J.; Wang, J.B.; Li, G.; An, C.S.; Deng, C.R.; Xie, J.J. Spectrum of the S-wave fully-heavy tetraquark states. Eur. Phys. J. C 2022, 82, 1126. [Google Scholar] [CrossRef]
- Ohkoda, S.; Yamaguchi, Y.; Yasui, S.; Sudoh, K.; Hosaka, A. Exotic Mesons with Hidden Bottom near Thresholds. Phys. Rev. D 2012, 86, 014004. [Google Scholar] [CrossRef]
- Bali, G.; Hetzenegger, M. Static-light meson-meson potentials. PoS 2011, 105, 142. [Google Scholar] [CrossRef]
- Dias, J.M.; Narison, S.; Navarra, F.S.; Nielsen, M.; Richard, J.M. Relation between Tcc,bb and Xc,b from QCD. Phys. Lett. B 2011, 703, 274–280. [Google Scholar] [CrossRef]
- Bicudo, P.; Peters, A.; Velten, S.; Wagner, M. Importance of meson-meson and of diquark-antidiquark creation operators for a b¯b¯ud tetraquark. Phys. Rev. D 2021, 103, 114506. [Google Scholar] [CrossRef]
- Junnarkar, P.; Mathur, N.; Padmanath, M. Study of doubly heavy tetraquarks in Lattice QCD. Phys. Rev. D 2019, 99, 034507. [Google Scholar] [CrossRef]
- Richard, J.M.; Valcarce, A.; Vijande, J. Tetraquarks: Relativistic corrections and other issues. Rev. Mex. Fis. Suppl. 2022, 3, 0308110. [Google Scholar] [CrossRef]
- Maiani, L.; Polosa, A.D.; Riquer, V. Hydrogen bond of QCD in doubly heavy baryons and tetraquarks. Phys. Rev. D 2019, 100, 074002. [Google Scholar] [CrossRef]
- Chen, X.; Yang, Y. Doubly-heavy tetraquark states ccu¯d¯ and bbu¯d¯. Chin. Phys. C 2022, 46, 054103. [Google Scholar] [CrossRef]
- Vijande, J.; Valcarce, A. Tetraquark Spectroscopy: A Symmetry Analysis. Symmetry 2009, 1, 155–179. [Google Scholar] [CrossRef]
- Santowsky, N.; Fischer, C.S. Four-quark states with charm quarks in a two-body Bethe–Salpeter approach. Eur. Phys. J. C 2022, 82, 313. [Google Scholar] [CrossRef]
- Pflaumer, M.; Leskovec, L.; Meinel, S.; Wagner, M. Existence and Non-Existence of Doubly Heavy Tetraquark Bound States. PoS 2022, 396, 392. [Google Scholar] [CrossRef]
- Dai, L.R.; Oset, E.; Feijoo, A.; Molina, R.; Roca, L.; Torres, A.M.; Khemchandani, K.P. Masses and widths of the exotic molecular B(s)(*)B(s)(*) states. Phys. Rev. D 2022, 105, 074017, Erratum in Phys. Rev. D 2022, 106, 099904. [Google Scholar] [CrossRef]
- Caramés, T.F.; Vijande, J.; Valcarce, A. Exotic bcq¯q¯ four-quark states. Phys. Rev. D 2019, 99, 014006. [Google Scholar] [CrossRef]
- Padmanath, M.; Mathur, N. b¯c¯q1q2four-quark states from Lattice QCD. arXiv 2021, arXiv:2111.01147. [Google Scholar]
- Hudspith, R.J.; Colquhoun, B.; Francis, A.; Lewis, R.; Maltman, K. A lattice investigation of exotic tetraquark channels. Phys. Rev. D 2020, 102, 114506. [Google Scholar] [CrossRef]
- Wang, Q.N.; Chen, W. Fully open-flavor tetraquark states bcq¯s¯ and scq¯b¯ with JP=0+,1+. Eur. Phys. J. C 2020, 80, 389. [Google Scholar] [CrossRef]
- Dai, L.R.; Molina, R.; Oset, E. Prediction of new Tcc states of D*D* and Ds*D* molecular nature. Phys. Rev. D 2022, 105, 016029. [Google Scholar] [CrossRef]
- Karliner, M.; Rosner, J.L. Doubly charmed strange tetraquark. Phys. Rev. D 2022, 105, 034020. [Google Scholar] [CrossRef]
- Gao, X.Y.; Li, Y.; Shen, C.P.; Adachi, I.; Aihara, H.; Asner, D.M.; Atmacan, H.; Aushev, T.; Ayad, R.; Behera, P.; et al. Search for tetraquark states Xccs¯s¯ in Ds+Ds+(Ds*+Ds*+) final states at Belle. Phys. Rev. D 2022, 105, 032002. [Google Scholar] [CrossRef]
- Wu, Y.; Jin, X.; Liu, R.; Huang, H.; Ping, J. The study of double-charm and double-strange tetraquarks. arXiv 2021, arXiv:2112.05967. [Google Scholar] [CrossRef]
- Ke, H.W.; Shi, Y.L. Study of possible molecular states of Ds(*)Ds(*) and Bs(*)Bs(*). Phys. Rev. D 2022, 105, 114019. [Google Scholar] [CrossRef]
- Brodsky, S.J.; Schmidt, I.A.; de Teramond, G.F. Nuclear bound quarkonium. Phys. Rev. Lett. 1990, 64, 1011. [Google Scholar] [CrossRef]
- Donnachie, A.; Landshoff, P.V. Elastic Scattering and Diffraction Dissociation. Nucl. Phys. B 1984, 244, 322. [Google Scholar] [CrossRef]
- Wasson, D.A. Comment on ‘Nuclear bound quarkonium’. Phys. Rev. Lett. 1991, 67, 2237. [Google Scholar] [CrossRef]
- Dalitz, R.H.; Tuan, S.F. A possible resonant state in pion-hyperon scattering. Phys. Rev. Lett. 1959, 2, 425–428. [Google Scholar] [CrossRef]
- Alston, M.H.; Alvarez, L.W.; Eberhard, P.; Good, M.L.; Graziano, W.; Ticho, H.K.; Wojcicki, S.G. Study of Resonances of the Sigma-pi System. Phys. Rev. Lett. 1961, 6, 698–702. [Google Scholar] [CrossRef]
- Weinstein, J.D.; Isgur, N. The q q q¯q¯ System in a Potential Model. Phys. Rev. D 1983, 27, 588. [Google Scholar] [CrossRef]
- Voloshin, M.B.; Okun, L.B. Hadron Molecules and Charmonium Atom. JETP Lett. 1976, 23, 333–336. [Google Scholar]
- De Rujula, A.; Georgi, H.; Glashow, S.L. Molecular Charmonium: A New Spectroscopy? Phys. Rev. Lett. 1977, 38, 317. [Google Scholar] [CrossRef]
- Tornqvist, N.A. On deusons or deuteron-like meson meson bound states. Nuovo Cim. A 1994, 107, 2471–2476. [Google Scholar] [CrossRef]
- Tornqvist, N.A. From the deuteron to deusons, an analysis of deuteron-like meson meson bound states. Z. Phys. C 1994, 61, 525–537. [Google Scholar] [CrossRef]
- Bai, J.Z. Observation of a near threshold enhancement in th pp¯ mass spectrum from radiative J/ψ → γ pp¯ decays. Phys. Rev. Lett. 2003, 91, 022001. [Google Scholar] [CrossRef]
- Datta, A.; O’Donnell, P.J. A New state of baryonium. Phys. Lett. B 2003, 567, 273–276. [Google Scholar] [CrossRef]
- Gao, C.S.; Zhu, S.L. Understanding the possible proton anti-proton bound state observed by BES collaboration. Commun. Theor. Phys. 2004, 42, 844. [Google Scholar] [CrossRef][Green Version]
- Liu, X.; Zeng, X.Q.; Ding, Y.B.; Li, X.Q.; Shen, H.; Shen, P.N. Can the observed enhancement in the mass spectrum of pp¯ in J/ψ → γ pp¯ be interpreted by a possible pp¯ bound state. arXiv 2004, arXiv:hep-ph/0406118. [Google Scholar]
- Swanson, E.S. Short range structure in the X(3872). Phys. Lett. B 2004, 588, 189–195. [Google Scholar] [CrossRef]
- Besson, D.; Anderson, S.; Frolov, V.V.; Gong, D.T.; Kubota, Y.; Li, S.Z.; Poling, R.; Smith, A.; Stepaniak, C.J.; Urheim, J.; et al. Observation of a narrow resonance of mass 2.46 GeV/c2 decaying to Ds*+π0 and confirmation of the DsJ(2317) state. Phys. Rev. D 2007, 68, 032002, Erratum in Phys. Rev. D 2007, 75, 119908. [Google Scholar] [CrossRef]
- Barnes, T.; Close, F.E.; Lipkin, H.J. Implications of a DK molecule at 2.32-GeV. Phys. Rev. D 2003, 68, 054006. [Google Scholar] [CrossRef]
- Szczepaniak, A.P. Description of the Ds*(2320) resonance as the Dπ atom. Phys. Lett. B 2003, 567, 23–26. [Google Scholar] [CrossRef]
- van Beveren, E.; Rupp, G. Observed Ds(2317) and tentative D(2100--2300) as the charmed cousins of the light scalar nonet. Phys. Rev. Lett. 2003, 91, 012003. [Google Scholar] [CrossRef]
- Hofmann, J.; Lutz, M.F.M. Open charm meson resonances with negative strangeness. Nucl. Phys. A 2004, 733, 142–152. [Google Scholar] [CrossRef]
- Kolomeitsev, E.E.; Lutz, M.F.M. On Heavy light meson resonances and chiral symmetry. Phys. Lett. B 2004, 582, 39–48. [Google Scholar] [CrossRef]
- Guo, F.K.; Shen, P.N.; Chiang, H.C.; Ping, R.G.; Zou, B.S. Dynamically generated 0+ heavy mesons in a heavy chiral unitary approach. Phys. Lett. B 2006, 641, 278–285. [Google Scholar] [CrossRef]
- Faessler, A.; Gutsche, T.; Lyubovitskij, V.E.; Ma, Y.L. Strong and radiative decays of the Ds0(2317) meson in the DK-molecule picture. Phys. Rev. D 2007, 76, 014005. [Google Scholar] [CrossRef]
- Flynn, J.M.; Nieves, J. Elastic s-wave Bπ, Dπ, DK and Kπ scattering from lattice calculations of scalar form-factors in semileptonic decays. Phys. Rev. D 2007, 75, 074024. [Google Scholar] [CrossRef]
- Gamermann, D.; Oset, E.; Strottman, D.; Vicente Vacas, M.J. Dynamically generated open and hidden charm meson systems. Phys. Rev. D 2007, 76, 074016. [Google Scholar] [CrossRef]
- Guo, F.K.; Shen, P.N.; Chiang, H.C. Dynamically generated 1+ heavy mesons. Phys. Lett. B 2007, 647, 133–139. [Google Scholar] [CrossRef]
- Cleven, M.; Guo, F.K.; Hanhart, C.; Meissner, U.G. Light meson mass dependence of the positive parity heavy-strange mesons. Eur. Phys. J. A 2011, 47, 19. [Google Scholar] [CrossRef]
- Wu, X.G.; Zhao, Q. The mixing of Ds1(2460) and Ds1(2536). Phys. Rev. D 2012, 85, 034040. [Google Scholar] [CrossRef]
- Cleven, M.; Grießhammer, H.W.; Guo, F.K.; Hanhart, C.; Meißner, U.G. Strong and radiative decays of the Ds0*(2317) and Ds1(2460). Eur. Phys. J. A 2014, 50, 149. [Google Scholar] [CrossRef]
- Albaladejo, M.; Jido, D.; Nieves, J.; Oset, E. Ds0*(2317) and DK scattering in B decays from BaBar and LHCb data. Eur. Phys. J. C 2016, 76, 300. [Google Scholar] [CrossRef]
- Aaij, R. Observation of the doubly charmed baryon decay Ξcc++→Ξc′+π+. J. High Energy Phys. 2022, 5, 38. [Google Scholar] [CrossRef]
- Wu, J.J.; Molina, R.; Oset, E.; Zou, B.S. Prediction of narrow N* and Λ* resonances with hidden charm above 4 GeV. Phys. Rev. Lett. 2010, 105, 232001. [Google Scholar] [CrossRef]
- Wu, J.J.; Molina, R.; Oset, E.; Zou, B.S. Dynamically generated N* and Λ* resonances in the hidden charm sector around 4.3 GeV. Phys. Rev. C 2011, 84, 015202. [Google Scholar] [CrossRef]
- Wang, W.L.; Huang, F.; Zhang, Z.Y.; Zou, B.S. ΣcD¯ and ΛcD¯ states in a chiral quark model. Phys. Rev. C 2011, 84, 015203. [Google Scholar] [CrossRef]
- Yang, Z.C.; Sun, Z.F.; He, J.; Liu, X.; Zhu, S.L. The possible hidden-charm molecular baryons composed of anti-charmed meson and charmed baryon. Chin. Phys. C 2012, 36, 6–13. [Google Scholar] [CrossRef]
- Yuan, S.G.; Wei, K.W.; He, J.; Xu, H.S.; Zou, B.S. Study of qqqcc¯ five quark system with three kinds of quark-quark hyperfine interaction. Eur. Phys. J. A 2012, 48, 61. [Google Scholar] [CrossRef]
- Wu, J.J.; Lee, T.S.H.; Zou, B.S. Nucleon Resonances with Hidden Charm in Coupled-Channel Models. Phys. Rev. C 2012, 85, 044002. [Google Scholar] [CrossRef]
- Garcia-Recio, C.; Nieves, J.; Romanets, O.; Salcedo, L.L.; Tolos, L. Hidden charm N and Delta resonances with heavy-quark symmetry. Phys. Rev. D 2013, 87, 074034. [Google Scholar] [CrossRef]
- Xiao, C.W.; Nieves, J.; Oset, E. Combining heavy quark spin and local hidden gauge symmetries in the dynamical generation of hidden charm baryons. Phys. Rev. D 2013, 88, 056012. [Google Scholar] [CrossRef]
- Chen, R.; Liu, X.; Li, X.Q.; Zhu, S.L. Identifying exotic hidden-charm pentaquarks. Phys. Rev. Lett. 2015, 115, 132002. [Google Scholar] [CrossRef] [PubMed]
- Chen, H.X.; Chen, W.; Liu, X.; Steele, T.G.; Zhu, S.L. Towards exotic hidden-charm pentaquarks in QCD. Phys. Rev. Lett. 2015, 115, 172001. [Google Scholar] [CrossRef] [PubMed]
- Roca, L.; Nieves, J.; Oset, E. LHCb pentaquark as a D¯*Σc-D¯*Σc* molecular state. Phys. Rev. D 2015, 92, 094003. [Google Scholar] [CrossRef]
- He, J. D¯Σc* and D¯*Σc interactions and the LHCb hidden-charmed pentaquarks. Phys. Lett. B 2016, 753, 547–551. [Google Scholar] [CrossRef]
- Yang, G.; Ping, J. The structure of pentaquarks Pc+ in the chiral quark model. Phys. Rev. D 2017, 95, 014010. [Google Scholar] [CrossRef]
- Meißner, U.G.; Oller, J.A. Testing the χc1p composite nature of the Pc(4450). Phys. Lett. B 2015, 751, 59–62. [Google Scholar] [CrossRef]
- Xiao, C.W.; Meißner, U.G. J/ψ(ηc)N and Υ(ηb)N cross sections. Phys. Rev. D 2015, 92, 114002. [Google Scholar] [CrossRef]
- Chen, R.; Liu, X.; Zhu, S.L. Hidden-charm molecular pentaquarks and their charm-strange partners. Nucl. Phys. A 2016, 954, 406–421. [Google Scholar] [CrossRef]
- Chen, H.X.; Cui, E.L.; Chen, W.; Liu, X.; Steele, T.G.; Zhu, S.L. QCD sum rule study of hidden-charm pentaquarks. Eur. Phys. J. C 2016, 76, 572. [Google Scholar] [CrossRef]
- Azizi, K.; Sarac, Y.; Sundu, H. Analysis of Pc+(4380) and Pc+(4450) as pentaquark states in the molecular picture with QCD sum rules. Phys. Rev. D 2017, 95, 094016. [Google Scholar] [CrossRef]
- Lebed, R.F. The Pentaquark Candidates in the Dynamical Diquark Picture. Phys. Lett. B 2015, 749, 454–457. [Google Scholar] [CrossRef]
- Zhu, R.; Qiao, C.F. Pentaquark states in a diquark–triquark model. Phys. Lett. B 2016, 756, 259–264. [Google Scholar] [CrossRef]
- Maiani, L.; Polosa, A.D.; Riquer, V. The New Pentaquarks in the Diquark Model. Phys. Lett. B 2015, 749, 289–291. [Google Scholar] [CrossRef]
- Anisovich, V.V.; Matveev, M.A.; Nyiri, J.; Sarantsev, A.V.; Semenova, A.N. Pentaquarks and resonances in the pJ/ψ spectrum. arXiv 2015, arXiv:1507.07652. [Google Scholar]
- Ghosh, R.; Bhattacharya, A.; Chakrabarti, B. A study on Pc* (4380) and Pc* in the quasi particle diquark model. Phys. Part. Nucl. Lett. 2017, 14, 550–552. [Google Scholar] [CrossRef]
- Wang, Z.G. Analysis of Pc(4380) and Pc(4450) as pentaquark states in the diquark model with QCD sum rules. Eur. Phys. J. C 2016, 76, 70. [Google Scholar] [CrossRef]
- Mironov, A.; Morozov, A. Is the pentaquark doublet a hadronic molecule? JETP Lett. 2015, 102, 271–273. [Google Scholar] [CrossRef]
- Scoccola, N.N.; Riska, D.O.; Rho, M. Pentaquark candidates Pc+(4380) and Pc+(4450) within the soliton picture of baryons. Phys. Rev. D 2015, 92, 051501. [Google Scholar] [CrossRef]
- Guo, F.K.; Meißner, U.G.; Wang, W.; Yang, Z. How to reveal the exotic nature of the Pc(4450). Phys. Rev. D 2015, 92, 071502. [Google Scholar] [CrossRef]
- Liu, X.H.; Wang, Q.; Zhao, Q. Understanding the newly observed heavy pentaquark candidates. Phys. Lett. B 2016, 757, 231–236. [Google Scholar] [CrossRef]
- Mikhasenko, M. A triangle singularity and the LHCb pentaquarks. arXiv 2015, arXiv:1507.06552. [Google Scholar]
- Skerbis, U.; Prelovsek, S. Nucleon-J/ψ and nucleon-ηc scattering in Pc pentaquark channels from LQCD. Phys. Rev. D 2019, 99, 094505. [Google Scholar] [CrossRef]
- Wang, Z.G. Analysis of the Pc(4312), Pc(4440), Pc(4457) and related hidden-charm pentaquark states with QCD sum rules. Int. J. Mod. Phys. A 2020, 35, 2050003. [Google Scholar] [CrossRef]
- Guo, Z.H.; Oller, J.A. Anatomy of the newly observed hidden-charm pentaquark states: Pc(4312), Pc(4440) and Pc(4457). Phys. Lett. B 2019, 793, 144–149. [Google Scholar] [CrossRef]
- Mutuk, H. Neural Network Study of Hidden-Charm Pentaquark Resonances. Chin. Phys. C 2019, 43, 93103. [Google Scholar] [CrossRef]
- Zhu, R.; Liu, X.; Huang, H.; Qiao, C.F. Analyzing doubly heavy tetra- and penta-quark states by variational method. Phys. Lett. B 2019, 797, 134869. [Google Scholar] [CrossRef]
- Eides, M.I.; Petrov, V.Y.; Polyakov, M.V. New LHCb pentaquarks as hadrocharmonium states. Mod. Phys. Lett. A 2020, 35, 2050151. [Google Scholar] [CrossRef]
- Weng, X.Z.; Chen, X.L.; Deng, W.Z.; Zhu, S.L. Hidden-charm pentaquarks and Pc states. Phys. Rev. D 2019, 100, 016014. [Google Scholar] [CrossRef]
- Wang, F.L.; Chen, R.; Liu, Z.W.; Liu, X. Probing new types of Pc states inspired by the interaction between S-wave charmed baryon and anti-charmed meson in a T¯ doublet. Phys. Rev. C 2020, 101, 025201. [Google Scholar] [CrossRef]
- Liu, M.Z.; Pan, Y.W.; Peng, F.Z.; Sánchez Sánchez, M.; Geng, L.S.; Hosaka, A.; Pavon Valderrama, M. Emergence of a complete heavy-quark spin symmetry multiplet: Seven molecular pentaquarks in light of the latest LHCb analysis. Phys. Rev. Lett. 2019, 122, 242001. [Google Scholar] [CrossRef]
- He, J. Study of Pc(4457), Pc(4440), and Pc(4312) in a quasipotential Bethe-Salpeter equation approach. Eur. Phys. J. C 2019, 79, 393. [Google Scholar] [CrossRef]
- Meng, L.; Wang, B.; Wang, G.J.; Zhu, S.L. The hidden charm pentaquark states and ΣcD¯(*) interaction in chiral perturbation theory. Phys. Rev. D 2019, 100, 014031. [Google Scholar] [CrossRef]
- Xiao, C.W.; Nieves, J.; Oset, E. Heavy quark spin symmetric molecular states from D¯(*)Σc(*) and other coupled channels in the light of the recent LHCb pentaquarks. Phys. Rev. D 2019, 100, 014021. [Google Scholar] [CrossRef]
- Shimizu, Y.; Yamaguchi, Y.; Harada, M. Heavy quark spin multiplet structure of Pc(4312), Pc(4440), and Pc(4457). arXiv 2019, arXiv:1904.00587. [Google Scholar]
- He, J.; Chen, D.Y. Molecular states from Σc(*)D¯(*)-ΛcD¯(*) interaction. Eur. Phys. J. C 2019, 79, 887. [Google Scholar] [CrossRef]
- Chen, R.; Sun, Z.F.; Liu, X.; Zhu, S.L. Strong LHCb evidence supporting the existence of the hidden-charm molecular pentaquarks. Phys. Rev. D 2019, 100, 011502. [Google Scholar] [CrossRef]
- Wang, B.; Meng, L.; Zhu, S.L. Hidden-charm and hidden-bottom molecular pentaquarks in chiral effective field theory. J. High Energy Phys. 2019, 11, 108. [Google Scholar] [CrossRef]
- Lin, Y.H.; Zou, B.S. Strong decays of the latest LHCb pentaquark candidates in hadronic molecule pictures. Phys. Rev. D 2019, 100, 056005. [Google Scholar] [CrossRef]
- Liu, M.Z.; Wu, T.W.; Sánchez Sánchez, M.; Valderrama, M.P.; Geng, L.S.; Xie, J.J. Spin-parities of the Pc(4440) and Pc(4457) in the one-boson-exchange model. Phys. Rev. D 2021, 103, 054004. [Google Scholar] [CrossRef]
- Du, M.L.; Baru, V.; Guo, F.K.; Hanhart, C.; Meißner, U.G.; Oller, J.A.; Wang, Q. Revisiting the nature of the Pc pentaquarks. J. High Energy Phys. 2021, 8, 157. [Google Scholar] [CrossRef]
- Yalikun, N.; Lin, Y.H.; Guo, F.K.; Kamiya, Y.; Zou, B.S. Coupled-channel effects of the Σc(*)D¯(*)-Λc(2595)D¯ system and molecular nature of the Pc pentaquark states from one-boson exchange model. Phys. Rev. D 2021, 104, 094039. [Google Scholar] [CrossRef]
- Pavon Valderrama, M. One pion exchange and the quantum numbers of the Pc(4440) and Pc(4457) pentaquarks. Phys. Rev. D 2019, 100, 094028. [Google Scholar] [CrossRef]
- Yamaguchi, Y.; García-Tecocoatzi, H.; Giachino, A.; Hosaka, A.; Santopinto, E.; Takeuchi, S.; Takizawa, M. Pc pentaquarks with chiral tensor and quark dynamics. Phys. Rev. D 2020, 101, 091502. [Google Scholar] [CrossRef]
- Sakai, S.; Jing, H.J.; Guo, F.K. Decays of Pc into J/ψN and ηcN with heavy quark spin symmetry. Phys. Rev. D 2019, 100, 074007. [Google Scholar] [CrossRef]
- Xiao, C.J.; Huang, Y.; Dong, Y.B.; Geng, L.S.; Chen, D.Y. Exploring the molecular scenario of Pc(4312), Pc(4440), and Pc(4457). Phys. Rev. D 2019, 100, 014022. [Google Scholar] [CrossRef]
- Voloshin, M.B. Some decay properties of hidden-charm pentaquarks as baryon-meson molecules. Phys. Rev. D 2019, 100, 034020. [Google Scholar] [CrossRef]
- Guo, F.K.; Jing, H.J.; Meißner, U.G.; Sakai, S. Isospin breaking decays as a diagnosis of the hadronic molecular structure of the Pc(4457). Phys. Rev. D 2019, 99, 091501. [Google Scholar] [CrossRef]
- Xu, Y.J.; Cui, C.Y.; Liu, Y.L.; Huang, M.Q. Partial decay widths of Pc(4312) as a D¯Σc molecular state. Phys. Rev. D 2020, 102, 034028. [Google Scholar] [CrossRef]
- Cao, X.; Dai, J.P. Confronting pentaquark photoproduction with new LHCb observations. Phys. Rev. D 2019, 100, 054033. [Google Scholar] [CrossRef]
- Wang, G.J.; Xiao, L.Y.; Chen, R.; Liu, X.H.; Liu, X.; Zhu, S.L. Probing hidden-charm decay properties of Pc states in a molecular scenario. Phys. Rev. D 2020, 102, 036012. [Google Scholar] [CrossRef]
- Ling, X.Z.; Lu, J.X.; Liu, M.Z.; Geng, L.S. Pc(4457) →Pc (4312) π/γ in the molecular picture. Phys. Rev. D 2021, 104, 074022. [Google Scholar] [CrossRef]
- Dong, Y.; Shen, P.; Huang, F.; Zhang, Z. Selected strong decays of pentaquark State Pc(4312) in a chiral constituent quark model. Eur. Phys. J. C 2020, 80, 341. [Google Scholar] [CrossRef]
- Ling, P.; Dai, X.H.; Du, M.L.; Wang, Q. Prompt production of the hidden charm pentaquarks in the LHC. Eur. Phys. J. C 2021, 81, 819. [Google Scholar] [CrossRef]
- Park, I.W.; Cho, S.; Kim, Y.; Lee, S.H. Production of Pc(4312) state in electron-proton collisions. Phys. Rev. D 2022, 105, 114023. [Google Scholar] [CrossRef]
- Winney, D.; Fanelli, C.; Pilloni, A.; Hiller Blin, A.N.; Fernández-Ramírez, C.; Albaladejo, M.; Mathieu, V.; Mokeev, V.I.; Szczepaniak, A.P. Double polarization observables in pentaquark photoproduction. Phys. Rev. D 2019, 100, 034019. [Google Scholar] [CrossRef]
- Chen, H.X. Hidden-charm pentaquark states through current algebra: From their production to decay *. Chin. Phys. C 2022, 46, 93105. [Google Scholar] [CrossRef]
- Yang, Z.; Cao, X.; Liang, Y.T.; Wu, J.J. Identifying hidden charm pentaquark signal from non-resonant background in electron–proton scattering. Chin. Phys. C 2020, 44, 84102. [Google Scholar] [CrossRef]
- Ali, A. First Measurement of Near-Threshold J/ψ Exclusive Photoproduction off the Proton. Phys. Rev. Lett. 2019, 123, 072001. [Google Scholar] [CrossRef]
- Du, M.L.; Baru, V.; Guo, F.K.; Hanhart, C.; Meißner, U.G.; Nefediev, A.; Strakovsky, I. Deciphering the mechanism of near-threshold J/ψ photoproduction. Eur. Phys. J. C 2020, 80, 1053. [Google Scholar] [CrossRef]
- Kubarovsky, V.; Voloshin, M.B. Formation of hidden-charm pentaquarks in photon-nucleon collisions. Phys. Rev. D 2015, 92, 031502. [Google Scholar] [CrossRef]
- Karliner, M.; Rosner, J.L. Photoproduction of Exotic Baryon Resonances. Phys. Lett. B 2016, 752, 329–332. [Google Scholar] [CrossRef]
- Wu, J.J.; Lee, T.S.H.; Zou, B.S. Nucleon resonances with hidden charm in γp reactions. Phys. Rev. C 2019, 100, 035206. [Google Scholar] [CrossRef]
- Yang, G.; Ping, J.; Segovia, J. Tetra- and penta-quark structures in the constituent quark model. Symmetry 2020, 12, 1869. [Google Scholar] [CrossRef]
- Chen, H.X.; Chen, W.; Zhu, S.L. Possible interpretations of the Pc(4312), Pc(4440), and Pc(4457). Phys. Rev. D 2019, 100, 051501. [Google Scholar] [CrossRef]
- Isgur, N.; Wise, M.B. Weak Decays of Heavy Mesons in the Static Quark Approximation. Phys. Lett. B 1989, 232, 113–117. [Google Scholar] [CrossRef]
- Neubert, M. Heavy quark symmetry. Phys. Rept. 1994, 245, 259–396. [Google Scholar] [CrossRef]
- Guo, F.K.; Hanhart, C.; Meissner, U.G. Implications of heavy quark spin symmetry on heavy meson hadronic molecules. Phys. Rev. Lett. 2009, 102, 242004. [Google Scholar] [CrossRef]
- Yamaguchi, Y.; Ohkoda, S.; Hosaka, A.; Hyodo, T.; Yasui, S. Heavy quark symmetry in multihadron systems. Phys. Rev. D 2015, 91, 034034. [Google Scholar] [CrossRef]
- Yan, M.J.; Peng, F.Z.; Sánchez Sánchez, M.; Pavon Valderrama, M. Interpretations of the new LHCb Pc(4337)+ pentaquark state. Eur. Phys. J. C 2022, 82, 574. [Google Scholar] [CrossRef]
- Liu, Y.; Nowak, M.A.; Zahed, I. Holographic charm and bottom pentaquarks. II. Open and hidden decay widths. Phys. Rev. D 2021, 104, 114022. [Google Scholar] [CrossRef]
- Liu, Y.; Mamo, K.A.; Nowak, M.A.; Zahed, I. Holographic charm and bottom pentaquarks. III. Excitations through photoproduction of heavy mesons. Phys. Rev. D 2021, 104, 114023. [Google Scholar] [CrossRef]
- Nakamura, S.X.; Hosaka, A.; Yamaguchi, Y. Pc(4312)+ and Pc(4337)+ as interfering ΣcD¯ and ΛcD¯* threshold cusps. Phys. Rev. D 2021, 104, L091503. [Google Scholar] [CrossRef]
- Giron, J.F.; Lebed, R.F. Fine structure of pentaquark multiplets in the dynamical diquark model. Phys. Rev. D 2021, 104, 114028. [Google Scholar] [CrossRef]
- Wang, J.Z.; Liu, X.; Matsuki, T. Evidence supporting the existence of Pc(4380)± from the recent measurements of Bs→J/ψpp¯. Phys. Rev. D 2021, 104, 114020. [Google Scholar] [CrossRef]
- Chen, R.; He, J.; Liu, X. Possible strange hidden-charm pentaquarks from Σc(*)D¯s* and Ξc(′,*)D¯* interactions. Chin. Phys. C 2017, 41, 103105. [Google Scholar] [CrossRef]
- Shen, C.W.; Wu, J.J.; Zou, B.S. Decay behaviors of possible Λcc¯ states in hadronic molecule pictures. Phys. Rev. D 2019, 100, 056006. [Google Scholar] [CrossRef]
- Xiao, C.W.; Nieves, J.; Oset, E. Prediction of hidden charm strange molecular baryon states with heavy quark spin symmetry. Phys. Lett. B 2019, 799, 135051. [Google Scholar] [CrossRef]
- Wang, B.; Meng, L.; Zhu, S.L. Spectrum of the strange hidden charm molecular pentaquarks in chiral effective field theory. Phys. Rev. D 2020, 101, 034018. [Google Scholar] [CrossRef]
- Aaij, R. Evidence of a J/ψΛ structure and observation of excited Ξ− states in the Ξb-→J/ψΛK− decay. Sci. Bull. 2021, 66, 1278–1287. [Google Scholar] [CrossRef]
- Chen, H.X.; Chen, W.; Liu, X.; Liu, X.H. Establishing the first hidden-charm pentaquark with strangeness. Eur. Phys. J. C 2021, 81, 409. [Google Scholar] [CrossRef]
- Wang, Z.G.; Xin, Q. Analysis of hidden-charm pentaquark molecular states with and without strangeness via the QCD sum rules *. Chin. Phys. C 2021, 45, 123105. [Google Scholar] [CrossRef]
- Zhu, J.T.; Song, L.Q.; He, J. Pcs(4459) and other possible molecular states from Ξc(*)D¯(*) and Ξc′D¯(*) interactions. Phys. Rev. D 2021, 103, 074007. [Google Scholar] [CrossRef]
- Liu, M.Z.; Pan, Y.W.; Geng, L.S. Can discovery of hidden charm strange pentaquark states help determine the spins of Pc(4440) and Pc(4457)? Phys. Rev. D 2021, 103, 034003. [Google Scholar] [CrossRef]
- Peng, F.Z.; Yan, M.J.; Sánchez Sánchez, M.; Valderrama, M.P. The Pcs(4459) pentaquark from a combined effective field theory and phenomenological perspective. Eur. Phys. J. C 2021, 81, 666. [Google Scholar] [CrossRef]
- Chen, R. Can the newly reported Pcs(4459) be a strange hidden-charm ΞcD¯* molecular pentaquark? Phys. Rev. D 2021, 103, 054007. [Google Scholar] [CrossRef]
- Chen, R.; Liu, X. Mass behavior of hidden-charm open-strange pentaquarks inspired by the established Pc molecular states. Phys. Rev. D 2022, 105, 014029. [Google Scholar] [CrossRef]
- Chen, R. Strong decays of the newly Pcs(4459) as a strange hidden-charm ΞcD¯* molecule. Eur. Phys. J. C 2021, 81, 122. [Google Scholar] [CrossRef]
- Hu, X.; Ping, J. Investigation of hidden-charm pentaquarks with strangeness S=-1. Eur. Phys. J. C 2022, 82, 118. [Google Scholar] [CrossRef]
- Giron, J.F.; Lebed, R.F.; Martinez, S.R. Spectrum of hidden-charm, open-strange exotics in the dynamical diquark model. Phys. Rev. D 2021, 104, 054001. [Google Scholar] [CrossRef]
- Wang, Z.G. Analysis of the Pcs(4459) as the hidden-charm pentaquark state with QCD sum rules. Int. J. Mod. Phys. A 2021, 36, 2150071. [Google Scholar] [CrossRef]
- Wang, Z.G. Analysis of the 12± pentaquark states in the diquark–diquark–antiquark model with QCD sum rules. Eur. Phys. J. C 2016, 76, 142. [Google Scholar] [CrossRef]
- Anisovich, V.V.; Matveev, M.A.; Nyiri, J.; Sarantsev, A.V.; Semenova, A.N. Nonstrange and strange pentaquarks with hidden charm. Int. J. Mod. Phys. A 2015, 30, 1550190. [Google Scholar] [CrossRef]
- Yang, F.; Huang, Y.; Zhu, H.Q. Strong decays of the Pcs(4459) as a ΞcD¯* molecule. Sci. China Phys. Mech. Astron. 2021, 64, 121011. [Google Scholar] [CrossRef]
- Liu, W.Y.; Hao, W.; Wang, G.Y.; Wang, Y.Y.; Wang, E.; Li, D.M. Resonances X(4140), X(4160), and Pcs(4459) in the decay of Λb→J/ψΛϕ. Phys. Rev. D 2021, 103, 034019. [Google Scholar] [CrossRef]
- Cheng, C.; Yang, F.; Huang, Y. Searching for strange hidden-charm pentaquark state Pcs(4459) in γp→K+Pcs(4459) reaction. Phys. Rev. D 2021, 104, 116007. [Google Scholar] [CrossRef]
- Lu, J.X.; Liu, M.Z.; Shi, R.X.; Geng, L.S. Understanding Pcs(4459) as a hadronic molecule in the Ξb-→J/ψΛK− decay. Phys. Rev. D 2021, 104, 034022. [Google Scholar] [CrossRef]
- Wu, Q.; Chen, D.Y.; Ji, R. Production of Pcs(4459) from Ξb Decay. Chin. Phys. Lett. 2021, 38, 71301. [Google Scholar] [CrossRef]
- Azizi, K.; Sarac, Y.; Sundu, H. Investigation of Pcs(4459)0 pentaquark via its strong decay to ΛJ/Ψ. Phys. Rev. D 2021, 103, 094033. [Google Scholar] [CrossRef]
- Cheng, H.Y.; Chua, C.K. Bottom Baryon Decays to Pseudoscalar Meson and Pentaquark. Phys. Rev. D 2015, 92, 096009. [Google Scholar] [CrossRef]
- Feijoo, A.; Magas, V.K.; Ramos, A.; Oset, E. A hidden-charm S=-1 pentaquark from the decay of Λb into J/ψ,ηΛ states. Eur. Phys. J. C 2016, 76, 446. [Google Scholar] [CrossRef]
- Lu, J.X.; Wang, E.; Xie, J.J.; Geng, L.S.; Oset, E. The Λb→J/ψK0Λ reaction and a hidden-charm pentaquark state with strangeness. Phys. Rev. D 2016, 93, 094009. [Google Scholar] [CrossRef]
- Chen, H.X.; Geng, L.S.; Liang, W.H.; Oset, E.; Wang, E.; Xie, J.J. Looking for a hidden-charm pentaquark state with strangeness S = −1 from Ξb- decay into J/ψK−Λ. Phys. Rev. C 2016, 93, 065203. [Google Scholar] [CrossRef]
- Shen, C.W.; Jing, H.J.; Guo, F.K.; Wu, J.J. Exploring Possible Triangle Singularities in the Ξb-→K−J/ψΛ Decay. Symmetry 2020, 12, 1611. [Google Scholar] [CrossRef]
- Yang, G.; Ping, J.; Segovia, J. Hidden-bottom pentaquarks. Phys. Rev. D 2019, 99, 014035. [Google Scholar] [CrossRef]
- Shen, C.W.; Rönchen, D.; Meißner, U.G.; Zou, B.S. Exploratory study of possible resonances in heavy meson–heavy baryon coupled-channel interactions. Chin. Phys. C 2018, 42, 23106. [Google Scholar] [CrossRef]
- Wu, J.J.; Zhao, L.; Zou, B.S. Prediction of super-heavy N* and Λ* resonances with hidden beauty. Phys. Lett. B 2012, 709, 70–76. [Google Scholar] [CrossRef]
- Xiao, C.W.; Oset, E. Hidden beauty baryon states in the local hidden gauge approach with heavy quark spin symmetry. Eur. Phys. J. A 2013, 49, 139. [Google Scholar] [CrossRef]
- Aitala, E.M. Search for the pentaquark via the Pc¯s0 decay. Phys. Rev. Lett. 1998, 81, 44–48. [Google Scholar] [CrossRef]
- Aitala, E.M. Search for the pentaquark via the Pc¯s0 –> K*0K-p decay. Phys. Lett. B 1999, 448, 303–310. [Google Scholar] [CrossRef]
- Aktas, A. Evidence for a narrow anti-charmed baryon state. Phys. Lett. B 2004, 588, 17. [Google Scholar] [CrossRef]
- Chekanov, S. Search for a narrow charmed baryonic state decaying to D*±p∓ in ep collisions at HERA. Eur. Phys. J. C 2004, 38, 29–41. [Google Scholar] [CrossRef][Green Version]
- Link, J.M. Search for a strongly decaying neutral charmed pentaquark. Phys. Lett. B 2005, 622, 229–238. [Google Scholar] [CrossRef]
- Aubert, B. [BaBar Collaboration]. Search for the charmed pentaquark candidate Θ(c)(3100)0 in e+e− annihilations at s1/2 = 10.58 GeV. Phys. Rev. D 2006, 73, 091101. [Google Scholar] [CrossRef]
- Aubert, B. Measurements of the Decays B0→D¯0pp¯, B0→D¯* 0 pp¯, B0→D−pp¯π+, and B0→D*-pp¯π+. Phys. Rev. D 2006, 74, 051101. [Google Scholar] [CrossRef]
- Aaij, R. Search for weakly decaying b-flavored pentaquarks. Phys. Rev. D 2018, 97, 032010. [Google Scholar] [CrossRef]
- Aaij, R. Observation of the suppressed Λb0→DpK− decay with D→K+π− and measurement of its CP asymmetry. Phys. Rev. D 2021, 104, 112008. [Google Scholar] [CrossRef]
- Lipkin, H.J. New Possibilities for Exotic Hadrons: Anticharmed Strange Baryons. Phys. Lett. B 1987, 195, 484–488. [Google Scholar] [CrossRef]
- Yamaguchi, Y.; Ohkoda, S.; Yasui, S.; Hosaka, A. Exotic baryons from a heavy meson and a nucleon – Negative parity states –. Phys. Rev. D 2011, 84, 014032. [Google Scholar] [CrossRef]
- An, H.T.; Chen, K.; Liu, X. Manifestly exotic pentaquarks with a single heavy quark. Phys. Rev. D 2022, 105, 034018. [Google Scholar] [CrossRef]
- Richard, J.M.; Valcarce, A.; Vijande, J. Pentaquarks with anticharm or beauty revisited. Phys. Lett. B 2019, 790, 248–250. [Google Scholar] [CrossRef]
- Sarac, Y.; Kim, H.; Lee, S.H. QCD sum rules for the anti-charmed pentaquark. Phys. Rev. D 2006, 73, 014009. [Google Scholar] [CrossRef]
- Stewart, I.W.; Wessling, M.E.; Wise, M.B. Stable heavy pentaquark states. Phys. Lett. B 2004, 590, 185–189. [Google Scholar] [CrossRef]
- Xing, Y.; Liu, W.L.; Xiao, Y.H. The production of singly charmed pentaquark c¯qqqq from bottom baryon. Eur. Phys. J. C 2022, 82, 1105. [Google Scholar] [CrossRef]
- Chen, R.; Hosaka, A.; Liu, X. Heavy molecules and one-σ/ω-exchange model. Phys. Rev. D 2017, 96, 116012. [Google Scholar] [CrossRef]
- Chen, R.; Li, N.; Sun, Z.F.; Liu, X.; Zhu, S.L. Doubly charmed molecular pentaquarks. Phys. Lett. B 2021, 822, 136693. [Google Scholar] [CrossRef]
- Rathaud, D.P.; Tiwari, R.; Rai, A.K. Interaction and identification of meson–baryon molecule. Indian J. Phys. 2021, 95, 2807–2828. [Google Scholar] [CrossRef]
- Zhou, Q.S.; Chen, K.; Liu, X.; Liu, Y.R.; Zhu, S.L. Surveying exotic pentaquarks with the typical QQqqq¯ configuration. Phys. Rev. C 2018, 98, 045204. [Google Scholar] [CrossRef]
- Park, W.; Cho, S.; Lee, S.H. Where is the stable pentaquark? Phys. Rev. D 2019, 99, 094023. [Google Scholar] [CrossRef]
- Yang, G.; Ping, J.; Segovia, J. Doubly Charmed Pentaquarks. Phys. Rev. D 2020, 101, 074030. [Google Scholar] [CrossRef]
- Shimizu, Y.; Harada, M. Hidden Charm Pentaquark Pc(4380) and Doubly Charmed Baryon Ξcc*(4380) as Hadronic Molecule States. Phys. Rev. D 2017, 96, 094012. [Google Scholar] [CrossRef]
- Giannuzzi, F. Heavy pentaquark spectroscopy in the diquark model. Phys. Rev. D 2019, 99, 094006. [Google Scholar] [CrossRef]
- Yan, M.J.; Liu, X.H.; Gonzàlez-Solís, S.; Guo, F.K.; Hanhart, C.; Meißner, U.G.; Zou, B.S. New spectrum of negative-parity doubly charmed baryons: Possibility of two quasistable states. Phys. Rev. D 2018, 98, 091502. [Google Scholar] [CrossRef]
- Guo, Z.H. Prediction of exotic doubly charmed baryons within chiral effective field theory. Phys. Rev. D 2017, 96, 074004. [Google Scholar] [CrossRef]
- Chen, K.; Wang, B.; Zhu, S.L. Exploration of the doubly charmed molecular pentaquarks. Phys. Rev. D 2021, 103, 116017. [Google Scholar] [CrossRef]
- Wang, Z.G. Analysis of the doubly heavy baryon states and pentaquark states with QCD sum rules. Eur. Phys. J. C 2018, 78, 826. [Google Scholar] [CrossRef]
- Shen, C.W.; Meißner, U.G. Prediction of five-flavored pentaquarks. Phys. Lett. B 2022, 831, 137197. [Google Scholar] [CrossRef]
- Dias, J.M.; Debastiani, V.R.; Xie, J.J.; Oset, E. Doubly charmed Ξcc molecular states from meson-baryon interaction. Phys. Rev. D 2018, 98, 094017. [Google Scholar] [CrossRef]
- Hofmann, J.; Lutz, M.F.M. D-wave baryon resonances with charm from coupled-channel dynamics. Nucl. Phys. A 2006, 776, 17–51. [Google Scholar] [CrossRef]
- Romanets, O.; Tolos, L.; Garcia-Recio, C.; Nieves, J.; Salcedo, L.L.; Timmermans, R.G.E. Charmed and strange baryon resonances with heavy-quark spin symmetry. Phys. Rev. D 2012, 85, 114032. [Google Scholar] [CrossRef]
- Azizi, K.; Sarac, Y.; Sundu, H. Possible Molecular Pentaquark States with Different Spin and Quark Configurations. Phys. Rev. D 2018, 98, 054002. [Google Scholar] [CrossRef]
- Chen, R.; Hosaka, A.; Liu, X. Prediction of triple-charm molecular pentaquarks. Phys. Rev. D 2017, 96, 114030. [Google Scholar] [CrossRef]
- Wang, F.L.; Chen, R.; Liu, Z.W.; Liu, X. Possible triple-charm molecular pentaquarks from ΞccD1/ΞccD2* interactions. Phys. Rev. D 2019, 99, 054021. [Google Scholar] [CrossRef]
- Li, S.Y.; Liu, Y.R.; Liu, Y.N.; Si, Z.G.; Wu, J. Pentaquark states with the QQQqq¯ configuration in a simple model. Eur. Phys. J. C 2019, 79, 87. [Google Scholar] [CrossRef]
- Wang, Z.G. Analysis of the triply-charmed pentaquark states with QCD sum rules. Eur. Phys. J. C 2018, 78, 300. [Google Scholar] [CrossRef]
- An, H.T.; Chen, K.; Liu, Z.W.; Liu, X. Fully heavy pentaquarks. Phys. Rev. D 2021, 103, 074006. [Google Scholar] [CrossRef]
- Zhang, J.R. Fully-heavy pentaquark states. Phys. Rev. D 2021, 103, 074016. [Google Scholar] [CrossRef]
- Wang, Z.G. Analysis of the fully-heavy pentaquark states via the QCD sum rules. Nucl. Phys. B 2021, 973, 115579. [Google Scholar] [CrossRef]
- Yan, Y.; Wu, Y.; Hu, X.; Huang, H.; Ping, J. Fully heavy pentaquarks in quark models. Phys. Rev. D 2022, 105, 014027. [Google Scholar] [CrossRef]
- Yelton, J. Observation of an Excited Ω− Baryon. Phys. Rev. Lett. 2018, 121, 052003. [Google Scholar] [CrossRef]
- Barnes, V.E. Observation of a Hyperon with Strangeness Minus Three. Phys. Rev. Lett. 1964, 12, 204–206. [Google Scholar] [CrossRef]
- Patrignani, C. Review of Particle Physics. Chin. Phys. C 2016, 40, 100001. [Google Scholar] [CrossRef]
- Hyodo, T.; Niiyama, M. QCD and the strange baryon spectrum. Prog. Part. Nucl. Phys. 2021, 120, 103868. [Google Scholar] [CrossRef]
- Kolomeitsev, E.E.; Lutz, M.F.M. On baryon resonances and chiral symmetry. Phys. Lett. B 2004, 585, 243–252. [Google Scholar] [CrossRef]
- Sarkar, S.; Oset, E.; Vicente Vacas, M.J. Baryonic resonances from baryon decuplet-meson octet interaction. Nucl. Phys. A 2005, 750, 294–323, Erratum in Nucl. Phys. A 2006, 780, 90. [Google Scholar] [CrossRef]
- Yuan, S.G.; An, C.S.; Wei, K.W.; Zou, B.S.; Xu, H.S. Spectrum of low-lying s3QQ¯ configurations with negative parity. Phys. Rev. C 2013, 87, 025205. [Google Scholar] [CrossRef]
- Xu, S.Q.; Xie, J.J.; Chen, X.R.; Jia, D.J. The Ξ*K¯ and Ωη interaction within a chiral unitary approach. Commun. Theor. Phys. 2016, 65, 53–56. [Google Scholar] [CrossRef]
- Capstick, S.; Isgur, N. Baryons in a relativized quark model with chromodynamics. Phys. Rev. D 1986, 34, 2809–2835. [Google Scholar] [CrossRef]
- Loring, U.; Metsch, B.C.; Petry, H.R. The Light baryon spectrum in a relativistic quark model with instanton induced quark forces: The Strange baryon spectrum. Eur. Phys. J. A 2001, 10, 447–486. [Google Scholar] [CrossRef]
- Pervin, M.; Roberts, W. Strangeness -2 and -3 baryons in a constituent quark model. Phys. Rev. C 2008, 77, 025202. [Google Scholar] [CrossRef]
- Faustov, R.N.; Galkin, V.O. Strange baryon spectroscopy in the relativistic quark model. Phys. Rev. D 2015, 92, 054005. [Google Scholar] [CrossRef]
- Xiao, L.Y.; Zhong, X.H. Possible interpretation of the newly observed Ω(2012) state. Phys. Rev. D 2018, 98, 034004. [Google Scholar] [CrossRef]
- Wang, Z.Y.; Gui, L.C.; Lü, Q.F.; Xiao, L.Y.; Zhong, X.H. Newly observed Ω(2012) state and strong decays of the low-lying Ω excitations. Phys. Rev. D 2018, 98, 114023. [Google Scholar] [CrossRef]
- Aliev, T.M.; Azizi, K.; Sarac, Y.; Sundu, H. Nature of the Ω(2012) through its strong decays. Eur. Phys. J. C 2018, 78, 894. [Google Scholar] [CrossRef]
- Aliev, T.M.; Azizi, K.; Sarac, Y.; Sundu, H. Interpretation of the newly discovered Ω(2012). Phys. Rev. D 2018, 98, 014031. [Google Scholar] [CrossRef]
- Liu, M.S.; Wang, K.L.; Lü, Q.F.; Zhong, X.H. Ω baryon spectrum and their decays in a constituent quark model. Phys. Rev. D 2020, 101, 016002. [Google Scholar] [CrossRef]
- Arifi, A.J.; Suenaga, D.; Hosaka, A.; Oh, Y. Strong decays of multistrangeness baryon resonances in the quark model. Phys. Rev. D 2022, 105, 094006. [Google Scholar] [CrossRef]
- Wang, K.L.; Lü, Q.F.; Xie, J.J.; Zhong, X.H. Toward discovering the excited Ω baryons through nonleptonic weak decays of Ωc. Phys. Rev. D 2023, 107, 034015. [Google Scholar] [CrossRef]
- Polyakov, M.V.; Son, H.D.; Sun, B.D.; Tandogan, A. Ω(2012) through the looking glass of flavour SU (3). Phys. Lett. B 2019, 792, 315–319. [Google Scholar] [CrossRef]
- Huang, Y.; Liu, M.Z.; Lu, J.X.; Xie, J.J.; Geng, L.S. Strong decay modes K¯Ξ and K¯Ξπ of the Ω(2012) in the K¯Ξ(1530) and ηΩ molecular scenario. Phys. Rev. D 2018, 98, 076012. [Google Scholar] [CrossRef]
- Valderrama, M.P. Ω(2012) as a hadronic molecule. Phys. Rev. D 2018, 98, 054009. [Google Scholar] [CrossRef]
- Lin, Y.H.; Zou, B.S. Hadronic molecular assignment for the newly observed Ω* state. Phys. Rev. D 2018, 98, 056013. [Google Scholar] [CrossRef]
- Zeng, C.H.; Lu, J.X.; Wang, E.; Xie, J.J.; Geng, L.S. Theoretical study of the Ω(2012) state in the Ωc0→π+Ω(2012)−→π+(K¯Ξ)− and π+(K¯Ξπ)− decays. Phys. Rev. D 2020, 102, 076009. [Google Scholar] [CrossRef]
- Lin, Y.H.; Wang, F.; Zou, B.S. Reanalysis of the newly observed Ω* state in a hadronic molecule model. Phys. Rev. D 2020, 102, 074025. [Google Scholar] [CrossRef]
- Gutsche, T.; Lyubovitskij, V.E. Strong decays of the hadronic molecule Ω*(2012). J. Phys. G 2020, 48, 25001. [Google Scholar] [CrossRef]
- Ikeno, N.; Toledo, G.; Oset, E. Molecular picture for the Ω(2012) revisited. Phys. Rev. D 2020, 101, 094016. [Google Scholar] [CrossRef]
- Lu, J.X.; Zeng, C.H.; Wang, E.; Xie, J.J.; Geng, L.S. Revisiting the Ω(2012) as a hadronic molecule and its strong decays. Eur. Phys. J. C 2020, 80, 361. [Google Scholar] [CrossRef]
- Pavao, R.; Oset, E. Coupled channels dynamics in the generation of the Ω(2012) resonance. Eur. Phys. J. C 2018, 78, 857. [Google Scholar] [CrossRef]
- Liu, X.; Huang, H.; Ping, J.; Chen, D. Investigating Ω(2012) as a molecular state. Phys. Rev. C 2021, 103, 025202. [Google Scholar] [CrossRef]
- Jia, S. Search for Ω(2012)→KΞ(1530)→KπΞ at Belle. Phys. Rev. D 2019, 100, 032006. [Google Scholar] [CrossRef]
- Oset, E. Weak decays of heavy hadrons into dynamically generated resonances. Int. J. Mod. Phys. E 2016, 25, 1630001. [Google Scholar] [CrossRef]
- Sumihama, M. Observation of Ξ(1620)0 and evidence for Ξ(1690)0 in Ξc+→Ξ−π+π+ decays. Phys. Rev. Lett. 2019, 122, 072501. [Google Scholar] [CrossRef]
- Li, Y. Evidence for the decay Ωc0→π+Ω(2012)−→π+(K¯Ξ)−. Phys. Rev. D 2021, 104, 052005. [Google Scholar] [CrossRef]
- The Belle Collaboration. Observation of Ω(2012)−→Ξ(1530)K¯ and measurement of the effective couplings of Ω(2012)− to Ξ(1530)K¯ and ΞK¯. arXiv 2022, arXiv:2207.03090. [Google Scholar]
- Ikeno, N.; Liang, W.H.; Toledo, G.; Oset, E. Interpretation of the Ωc→π+Ω(2012)→π+(K−Ξ) relative to Ωc→π+K−Ξ from the Ω(2012) molecular perspective. Phys. Rev. D 2022, 106, 034022. [Google Scholar] [CrossRef]
- Hu, X.; Ping, J. Analysis of Ω(2012) as a molecule in the chiral quark model. Phys. Rev. D 2022, 106, 054028. [Google Scholar] [CrossRef]
- Abazov, V.M. Inclusive production of the Pc resonances in pp¯ collisions. arXiv 2019, arXiv:1910.11767. [Google Scholar]
- Hiller Blin, A.N.; Fernández-Ramírez, C.; Jackura, A.; Mathieu, V.; Mokeev, V.I.; Pilloni, A.; Szczepaniak, A.P. Studying the Pc(4450) resonance in J/ψ photoproduction off protons. Phys. Rev. D 2016, 94, 034002. [Google Scholar] [CrossRef]
- Kubarovsky, V.; Voloshin, M.B. Search for Hidden-Charm Pentaquark with CLAS12. arXiv 2016, arXiv:1609.00050. [Google Scholar]
- Meziani, Z.E. A Search for the LHCb Charmed ’Pentaquark’ using Photo-Production of J/ψ at Threshold in Hall C at Jefferson Lab. arXiv 2016, arXiv:1609.00676. [Google Scholar]
- Joosten, S.; Meziani, Z.E. Heavy Quarkonium Production at Threshold: From JLab to EIC. PoS 2018, 308, 17. [Google Scholar] [CrossRef][Green Version]
- Lutz, M.F.M. [PANDA Collaboration]. Physics Performance Report for PANDA: Strong Interaction Studies with Antiprotons. arXiv 2009, arXiv:0903.3905. [Google Scholar]
- Martinou, A.; Bonatsos, D.; Mertzimekis, T.J.; Karakatsanis, K.E.; Assimakis, I.E.; Peroulis, S.K.; Sarantopoulou, S.; Minkov, N. The islands of shape coexistence within the Elliott and the proxy-SU(3) Models. Eur. Phys. J. A 2021, 57, 84. [Google Scholar] [CrossRef]
- Barucca, G. [PANDA Collaboration]. Feasibility studies for the measurement of time-like proton electromagnetic form factors from p¯p→μ+μ− at P¯ANDA at FAIR. Eur. Phys. J. A 2021, 57, 30. [Google Scholar] [CrossRef]
- Xu, Q. Isospin asymmetry of the pseudospin symmetry in nuclear resonant states. Eur. Phys. J. A 2019, 55, 54. [Google Scholar] [CrossRef]
- Barucca, G. [PANDA Collaboration], The potential of Λ and Ξ− studies with PANDA at FAIR. Eur. Phys. J. A 2021, 57, 154. [Google Scholar] [CrossRef]
- Barucca, G. PANDA Phase One. Eur. Phys. J. A 2021, 57, 184. [Google Scholar] [CrossRef]
- Barucca, G. [PANDA Collaboration]. Study of excited Ξ baryons with the PANDA detector. Eur. Phys. J. A 2021, 57, 149. [Google Scholar] [CrossRef]
- Weinberg, S. The Quantum Theory of Fields. Vol. 1: Foundations; Cambridge University Press: Cambridge, UK, 2005. [Google Scholar] [CrossRef]
- Richard, J.M. About the J/ψJ/ψ peak of LHCb: Fully-charmed tetraquark? Sci. Bull. 2020, 65, 1954–1955. [Google Scholar] [CrossRef]
- Becchi, C.; Ferretti, J.; Giachino, A.; Maiani, L.; Santopinto, E. A study of ccc¯c¯ tetraquark decays in 4 muons and in D(*)D¯(*) at LHC. Phys. Lett. B 2020, 811, 135952. [Google Scholar] [CrossRef]
- Chen, H.X.; Chen, W.; Liu, X.; Zhu, S.L. Strong decays of fully-charm tetraquarks into di-charmonia. Sci. Bull. 2020, 65, 1994–2000. [Google Scholar] [CrossRef]
- Sonnenschein, J.; Weissman, D. Deciphering the recently discovered tetraquark candidates around 6.9 GeV. Eur. Phys. J. C 2021, 81, 25. [Google Scholar] [CrossRef]
- Giron, J.F.; Lebed, R.F. Simple spectrum of cc¯cc¯ states in the dynamical diquark model. Phys. Rev. D 2020, 102, 074003. [Google Scholar] [CrossRef]
- Maiani, L. J/ψ-pair resonance by LHCb: A new revolution? Sci. Bull. 2020, 65, 1949–1951. [Google Scholar] [CrossRef]
- Wang, J.Z.; Chen, D.Y.; Liu, X.; Matsuki, T. Producing fully charm structures in the J/ψ -pair invariant mass spectrum. Phys. Rev. D 2021, 103, 71503. [Google Scholar] [CrossRef]
- Chao, K.T.; Zhu, S.L. The possible tetraquark states ccc¯c¯ observed by the LHCb experiment. Sci. Bull. 2020, 65, 1952–1953. [Google Scholar] [CrossRef] [PubMed]
- Maciuła, R.; Schäfer, W.; Szczurek, A. On the mechanism of T4c(6900) tetraquark production. Phys. Lett. B 2021, 812, 136010. [Google Scholar] [CrossRef]
- Gordillo, M.C.; De Soto, F.; Segovia, J. Diffusion Monte Carlo calculations of fully-heavy multiquark bound states. Phys. Rev. D 2020, 102, 114007. [Google Scholar] [CrossRef]
- Wu, J.; Liu, Y.R.; Chen, K.; Liu, X.; Zhu, S.L. Heavy-flavored tetraquark states with the QQQ¯Q¯ configuration. Phys. Rev. D 2018, 97, 094015. [Google Scholar] [CrossRef]
- Kuang, Z.; Serafin, K.; Zhao, X.; Vary, J.P. All-charm tetraquark in front form dynamics. Phys. Rev. D 2022, 105, 094028. [Google Scholar] [CrossRef]
- Wang, G.J.; Meng, L.; Oka, M.; Zhu, S.L. Higher fully charmed tetraquarks: Radial excitations and P-wave states. Phys. Rev. D 2021, 104, 036016. [Google Scholar] [CrossRef]
- Liu, M.S.; Liu, F.X.; Zhong, X.H.; Zhao, Q. Full-heavy tetraquark states and their evidences in the LHCb di-J/ψ spectrum. arXiv 2020, arXiv:2006.11952. [Google Scholar]
- Liu, F.X.; Liu, M.S.; Zhong, X.H.; Zhao, Q. Higher mass spectra of the fully-charmed and fully-bottom tetraquarks. Phys. Rev. D 2021, 104, 116029. [Google Scholar] [CrossRef]
- Faustov, R.N.; Galkin, V.O.; Savchenko, E.M. Masses of the QQQ¯Q¯ tetraquarks in the relativistic diquark–antidiquark picture. Phys. Rev. D 2020, 102, 114030. [Google Scholar] [CrossRef]
- Lü, Q.F.; Chen, D.Y.; Dong, Y.B. Masses of fully heavy tetraquarks QQQ¯Q¯ in an extended relativized quark model. Eur. Phys. J. C 2020, 80, 871. [Google Scholar] [CrossRef]
- Zhao, Z.; Xu, K.; Kaewsnod, A.; Liu, X.; Limphirat, A.; Yan, Y. Study of charmoniumlike and fully-charm tetraquark spectroscopy. Phys. Rev. D 2021, 103, 116027. [Google Scholar] [CrossRef]
- Asadi, Z.; Boroun, G.R. Masses of fully heavy tetraquark states from a four-quark static potential model. Phys. Rev. D 2022, 105, 014006. [Google Scholar] [CrossRef]
- Karliner, M.; Rosner, J.L. Interpretation of structure in the di- J/ψ spectrum. Phys. Rev. D 2020, 102, 114039. [Google Scholar] [CrossRef]
- Li, Q.; Chang, C.H.; Wang, G.L.; Wang, T. Mass spectra and wave functions of TQQQ¯Q¯ tetraquarks. Phys. Rev. D 2021, 104, 014018. [Google Scholar] [CrossRef]
- Ke, H.W.; Han, X.; Liu, X.H.; Shi, Y.L. Tetraquark state X(6900) and the interaction between diquark and antidiquark. Eur. Phys. J. C 2021, 81, 427. [Google Scholar] [CrossRef]
- Zhu, R. Fully-heavy tetraquark spectra and production at hadron colliders. Nucl. Phys. B 2021, 966, 115393. [Google Scholar] [CrossRef]
- Zhang, J.R. 0+ fully-charmed tetraquark states. Phys. Rev. D 2021, 103, 014018. [Google Scholar] [CrossRef]
- Wu, R.H.; Zuo, Y.S.; Wang, C.Y.; Meng, C.; Ma, Y.Q.; Chao, K.T. NLO results with operator mixing for fully heavy tetraquarks in QCD sum rules. J. High Energy Phys. 2022, 11, 23. [Google Scholar] [CrossRef]
- Dong, X.K.; Baru, V.; Guo, F.K.; Hanhart, C.; Nefediev, A.; Zou, B.S. Is the existence of a J/ψJ/ψ bound state plausible? Sci. Bull. 2021, 66, 2462–2470. [Google Scholar] [CrossRef] [PubMed]
- Nefediev, A.V. X(6200) as a compact tetraquark in the QCD string model. Eur. Phys. J. C 2021, 81, 692. [Google Scholar] [CrossRef]
- Gong, C.; Du, M.C.; Zhao, Q.; Zhong, X.H.; Zhou, B. Nature of X(6900) and its production mechanism at LHCb. Phys. Lett. B 2022, 824, 136794. [Google Scholar] [CrossRef]
- Wang, J.Z.; Liu, X.; Matsuki, T. Fully-heavy structures in the invariant mass spectrum of J/ψψ(3686), J/ψψ(3770), ψ(3686)ψ(3686), and J/ψΥ(1S) at hadron colliders. Phys. Lett. B 2021, 816, 136209. [Google Scholar] [CrossRef]
- Zhuang, Z.; Zhang, Y.; Ma, Y.; Wang, Q. Lineshape of the compact fully heavy tetraquark. Phys. Rev. D 2022, 105, 054026. [Google Scholar] [CrossRef]
- Guo, Z.H.; Oller, J.A. Insights into the inner structures of the fully charmed tetraquark state X(6900). Phys. Rev. D 2021, 103, 034024. [Google Scholar] [CrossRef]
- Albuquerque, R.M.; Narison, S.; Rabetiarivony, D.; Randriamanatrika, G. Doubly hidden 0++ molecules and tetraquarks states from QCD at NLO. Nucl. Part. Phys. Proc. 2021, 312–317, 120–124. [Google Scholar] [CrossRef]
- Wang, Q.N.; Yang, Z.Y.; Chen, W. Exotic fully-heavy QQ¯QQ¯ tetraquark states in 8[QQ¯]⊗8[QQ¯] color configuration. Phys. Rev. D 2021, 104, 114037. [Google Scholar] [CrossRef]
- Yang, B.C.; Tang, L.; Qiao, C.F. Scalar fully-heavy tetraquark states QQ′Q¯Q′¯ in QCD sum rules. Eur. Phys. J. C 2021, 81, 324. [Google Scholar] [CrossRef]
- Zhu, J.W.; Guo, X.D.; Zhang, R.Y.; Ma, W.G.; Li, X.Q. A possible interpretation for X(6900) observed in four-muon final state by LHCb—A light Higgs-like boson? arXiv 2020, arXiv:2011.07799. [Google Scholar]
- Wan, B.D.; Qiao, C.F. Gluonic tetracharm configuration of X(6900). Phys. Lett. B 2021, 817, 136339. [Google Scholar] [CrossRef]
- Berezhnoy, A.V.; Likhoded, A.K.; Luchinsky, A.V.; Novoselov, A.A. Double J/psi-meson Production at LHC and 4c-tetraquark state. Phys. Rev. D 2011, 84, 094023. [Google Scholar] [CrossRef]
- Karliner, M.; Nussinov, S.; Rosner, J.L. QQQ¯Q¯ states: Masses, production, and decays. Phys. Rev. D 2017, 95, 034011. [Google Scholar] [CrossRef]
- Wang, Z.G. Analysis of the X(6600), X(6900), X(7300) and related tetraquark states with the QCD sum rules. Nucl. Phys. B 2022, 985, 115983. [Google Scholar] [CrossRef]
- Wang, Z.G. Revisit the tetraquark candidates in the J/ψJ/ψ mass spectrum. Int. J. Mod. Phys. A 2021, 36, 2150014. [Google Scholar] [CrossRef]
- Khachatryan, V. Observation of Υ(1S) pair production in proton-proton collisions at s=8 TeV. J. High Energy Phys. 2017, 5, 13. [Google Scholar] [CrossRef]
- Aaij, R. Search for beautiful tetraquarks in the Υ(1S)μ+μ− invariant-mass spectrum. J. High Energy Phys. 2018, 10, 86. [Google Scholar] [CrossRef]
- Mutuk, H. Nonrelativistic treatment of fully-heavy tetraquarks as diquark-antidiquark states. Eur. Phys. J. C 2021, 81, 367. [Google Scholar] [CrossRef]
- Tiwari, R.; Rathaud, D.P.; Rai, A.K. Mass-spectroscopy of [bb][b¯b¯] and [bq][b¯q¯] tetraquark states in a diquark–antidiquark formalism. Eur. Phys. J. A 2021, 57, 289. [Google Scholar] [CrossRef]
- Chen, W.; Chen, H.X.; Liu, X.; Steele, T.G.; Zhu, S.L. Hunting for exotic doubly hidden-charm/bottom tetraquark states. Phys. Lett. B 2017, 773, 247–251. [Google Scholar] [CrossRef]
- Aaij, R. Observation of New Resonances Decaying to J/ψK++ and J/ψϕ. Phys. Rev. Lett. 2021, 127, 082001. [Google Scholar] [CrossRef] [PubMed]
- Aaltonen, T. Evidence for a Narrow Near-Threshold Structure in the J/ψϕ Mass Spectrum in B+→J/ψϕK+ Decays. Phys. Rev. Lett. 2009, 102, 242002. [Google Scholar] [CrossRef] [PubMed]
- Aaij, R. Search for the X(4140) state in B+→J/ψϕK+ decays. Phys. Rev. D 2012, 85, 091103. [Google Scholar] [CrossRef]
- Chatrchyan, S. Observation of a Peaking Structure in the J/ψϕ Mass Spectrum from B±→J/ψϕK± Decays. Phys. Lett. B 2014, 734, 261–281. [Google Scholar] [CrossRef]
- Abazov, V.M. Search for the X(4140) state in B+→Jψ,ϕK+ decays with the D0 Detector. Phys. Rev. D 2014, 89, 012004. [Google Scholar] [CrossRef]
- Lees, J.P. Study of B±,0→J/ψK+K−K±,0 and search for B0→J/ψϕ at BABAR. Phys. Rev. D 2015, 91, 012003. [Google Scholar] [CrossRef]
- Aaltonen, T. Observation of the Y(4140) Structure in the J/ψϕ Mass Spectrum in B±→J/ψϕK± Decays. Mod. Phys. Lett. A 2017, 32, 1750139. [Google Scholar] [CrossRef]
- Aaij, R. Observation of J/ψϕ structures consistent with exotic states from amplitude analysis of B+→J/ψϕK+ decays. Phys. Rev. Lett. 2017, 118, 022003. [Google Scholar] [CrossRef]
- Aaij, R. Amplitude analysis of B+→J/ψϕK+ decays. Phys. Rev. D 2017, 95, 012002. [Google Scholar] [CrossRef]
- Liu, X.; Luo, Z.G.; Liu, Y.R.; Zhu, S.L. X(3872) and Other Possible Heavy Molecular States. Eur. Phys. J. C 2009, 61, 411–428. [Google Scholar] [CrossRef]
- Wang, Z.G. Analysis of the Y(4140) with QCD sum rules. Eur. Phys. J. C 2009, 63, 115–122. [Google Scholar] [CrossRef]
- Albuquerque, R.M.; Bracco, M.E.; Nielsen, M. A QCD sum rule calculation for the Y(4140) narrow structure. Phys. Lett. B 2009, 678, 186–190. [Google Scholar] [CrossRef]
- Wang, Z.G.; Liu, Z.C.; Zhang, X.H. Analysis of the Y(4140) and related molecular states with QCD sum rules. Eur. Phys. J. C 2009, 64, 373–386. [Google Scholar] [CrossRef]
- Wang, Z.G. Analysis of the Y(4274) with QCD sum rules. Int. J. Mod. Phys. A 2011, 26, 4929–4943. [Google Scholar] [CrossRef]
- Liu, X.; Luo, Z.G.; Zhu, S.L. Novel charmonium-like structures in the J/ψϕ and J/ψω invariant mass spectra. Phys. Lett. B 2011, 699, 341–344, Erratum in Phys. Lett. B 2012, 707, 577. [Google Scholar] [CrossRef]
- He, J.; Liu, X. The open-charm radiative and pionic decays of molecular charmonium Y(4274). Eur. Phys. J. C 2012, 72, 1986. [Google Scholar] [CrossRef]
- Finazzo, S.I.; Nielsen, M.; Liu, X. QCD sum rule calculation for the charmonium-like structures in the J/ψϕ and J/ψω invariant mass spectra. Phys. Lett. B 2011, 701, 101–106. [Google Scholar] [CrossRef]
- Hidalgo-Duque, C.; Nieves, J.; Valderrama, M.P. Light flavor and heavy quark spin symmetry in heavy meson molecules. Phys. Rev. D 2013, 87, 076006. [Google Scholar] [CrossRef]
- Stancu, F. Can Y(4140) be a cc¯ss¯ tetraquark? J. Phys. G 2010, 37, 75017, Erratum in J. Phys. G 2019, 49, 19501. [Google Scholar] [CrossRef]
- Patel, S.; Shah, M.; Vinodkumar, P.C. Mass spectra of four-quark states in the hidden charm sector. Eur. Phys. J. A 2014, 50, 131. [Google Scholar] [CrossRef]
- Molina, R.; Oset, E. The Y(3940), Z(3930) and the X(4160) as dynamically generated resonances from the vector-vector interaction. Phys. Rev. D 2009, 80, 114013. [Google Scholar] [CrossRef]
- Branz, T.; Molina, R.; Oset, E. Radiative decays of the Y(3940), Z(3930) and the X(4160) as dynamically generated resonances. Phys. Rev. D 2011, 83, 114015. [Google Scholar] [CrossRef]
- Danilkin, I.V.; Simonov, Y.A. Channel coupling in heavy quarkonia: Energy levels, mixing, widths and new states. Phys. Rev. D 2010, 81, 074027. [Google Scholar] [CrossRef]
- Chen, W.; Zhu, S.L. The Vector and Axial-Vector Charmonium-like States. Phys. Rev. D 2011, 83, 034010. [Google Scholar] [CrossRef]
- Chen, H.X.; Cui, E.L.; Chen, W.; Liu, X.; Zhu, S.L. Understanding the internal structures of the X(4140), X(4274), X(4500) and X(4700). Eur. Phys. J. C 2017, 77, 160. [Google Scholar] [CrossRef]
- Wang, Z.G. Reanalysis of X(4140) as axial-vector tetraquark state with QCD sum rules. Eur. Phys. J. C 2016, 76, 657. [Google Scholar] [CrossRef]
- Wang, Z.G. Analysis of the mass and width of the Y(4274) as axialvector molecule-like state. Eur. Phys. J. C 2017, 77, 174. [Google Scholar] [CrossRef]
- Wang, Z.G. Scalar tetraquark state candidates: X(3915), X(4500) and X(4700). Eur. Phys. J. C 2017, 77, 78. [Google Scholar] [CrossRef][Green Version]
- Agaev, S.S.; Azizi, K.; Sundu, H. Exploring the resonances X(4140) and X(4274) through their decay channels. Phys. Rev. D 2017, 95, 114003. [Google Scholar] [CrossRef]
- Liu, X.; Huang, H.; Ping, J.; Chen, D.; Zhu, X. The explanation of some exotic states in the csc¯s¯ tetraquark system. Eur. Phys. J. C 2021, 81, 950. [Google Scholar] [CrossRef]
- Wang, Z.G.; Di, Z.Y. Analysis of the mass and width of the X(4140) as axialvector tetraquark state. Eur. Phys. J. C 2019, 79, 72. [Google Scholar] [CrossRef]
- Wang, Z.G. Revisit the X(4274) as the Axialvector Tetraquark State. Acta Phys. Polon. B 2020, 51, 435. [Google Scholar] [CrossRef]
- Zhu, R. Hidden charm octet tetraquarks from a diquark-antidiquark model. Phys. Rev. D 2016, 94, 054009. [Google Scholar] [CrossRef]
- Ghalenovi, Z.; Sorkhi, M.M. Spectroscopy of hidden-charm tetraquarks in diquark model. Eur. Phys. J. Plus 2020, 135, 399. [Google Scholar] [CrossRef]
- Maiani, L.; Polosa, A.D.; Riquer, V. Interpretation of Axial Resonances in J/psi/phi at LHCb. Phys. Rev. D 2016, 94, 054026. [Google Scholar] [CrossRef]
- Shi, P.P.; Huang, F.; Wang, W.L. Hidden charm tetraquark states in a diquark model. Phys. Rev. D 2021, 103, 094038. [Google Scholar] [CrossRef]
- Wu, J.; Liu, Y.R.; Chen, K.; Liu, X.; Zhu, S.L. X(4140), X(4270), X(4500) and X(4700) and their csc¯s¯ tetraquark partners. Phys. Rev. D 2016, 94, 094031. [Google Scholar] [CrossRef]
- Deng, C.; Chen, H.; Ping, J. Can the state Y(4626) be a P-wave tetraquark state [cs][c¯s¯]? Phys. Rev. D 2020, 101, 054039. [Google Scholar] [CrossRef]
- Lü, Q.F.; Dong, Y.B. X(4140), X(4274), X(4500), and X(4700) in the relativized quark model. Phys. Rev. D 2016, 94, 074007. [Google Scholar] [CrossRef]
- Anwar, M.N.; Ferretti, J.; Santopinto, E. Spectroscopy of the hidden-charm [qc][q¯c¯] and [sc][s¯c¯] tetraquarks in the relativized diquark model. Phys. Rev. D 2018, 98, 094015. [Google Scholar] [CrossRef]
- Olsen, S.L.; Skwarnicki, T.; Zieminska, D. Nonstandard heavy mesons and baryons: Experimental evidence. Rev. Mod. Phys. 2018, 90, 015003. [Google Scholar] [CrossRef]
- Li, H.B. Physics in the τ-charm Region at BESIII. arXiv 2022, arXiv:2204.08943. [Google Scholar]
- Aaij, R. Study of the lineshape of the χc1(3872) state. Phys. Rev. D 2020, 102, 092005. [Google Scholar] [CrossRef]
- Aaij, R. Study of the ψ2(3823) and χc1(3872) states in B+→Jψπ+π−K+ decays. J. High Energy Phys. 2020, 8, 123. [Google Scholar] [CrossRef]
- Choi, S.K. Bounds on the width, mass difference and other properties of X(3872)→π+π−J/ψ decays. Phys. Rev. D 2011, 84, 052004. [Google Scholar] [CrossRef]
- Dubynskiy, S.; Voloshin, M.B. Pionic transitions from X(3872) to chi(cJ). Phys. Rev. D 2008, 77, 014013. [Google Scholar] [CrossRef]
- Ablikim, M. Search forX(3872)→π0χc0 and X(3872)→ππχc0 at BESIII. Phys. Rev. D 2022, 105, 072009. [Google Scholar] [CrossRef]
- Barnes, T. Higher charmonium. J. Phys. Conf. Ser. 2005, 9, 127–131. [Google Scholar] [CrossRef]
- Eichten, E.J.; Lane, K.; Quigg, C. New states above charm threshold. Phys. Rev. D 2006, 73, 014014, Erratum in Phys. Rev. D 2006, 73, 079903. [Google Scholar] [CrossRef]
- Ablikim, M. Observation of the decay X(3872)→π0χc1(1P). Phys. Rev. Lett. 2019, 122, 202001. [Google Scholar] [CrossRef]
- Zhou, Z.Y.; Yu, M.T.; Xiao, Z. Decays of X(3872) to χcJπ0 and J/ψπ+π−. Phys. Rev. D 2019, 100, 094025. [Google Scholar] [CrossRef]
- Guo, F.K.; Hanhart, C.; Li, G.; Meissner, U.G.; Zhao, Q. Effect of charmed meson loops on charmonium transitions. Phys. Rev. D 2011, 83, 034013. [Google Scholar] [CrossRef]
- Fleming, S.; Mehen, T. Hadronic Decays of the X(3872) to χcJ in Effective Field Theory. Phys. Rev. D 2008, 78, 094019. [Google Scholar] [CrossRef]
- Badalian, A.M.; Orlovsky, V.D.; Simonov, Y.A.; Bakker, B.L.G. The ratio of decay widths of X(3872) to ψ′γ and J/ψγ as a test of the X(3872) dynamical structure. Phys. Rev. D 2012, 85, 114002. [Google Scholar] [CrossRef]
- Dong, Y.; Faessler, A.; Gutsche, T.; Lyubovitskij, V.E. Jψγ and ψ(2S)γ decay modes of the X(3872). J. Phys. G 2011, 38, 15001. [Google Scholar] [CrossRef]
- Cincioglu, E.; Nieves, J.; Ozpineci, A.; Yilmazer, A.U. Quarkonium Contribution to Meson Molecules. Eur. Phys. J. C 2016, 76, 576. [Google Scholar] [CrossRef]
- Besson, D. Observation of a narrow resonance of mass 2.46 GeV/c2 in the Ds*+π0 final state, and confirmation of the DsJ*(2317). AIP Conf. Proc. 2004, 698, 497–502. [Google Scholar] [CrossRef]
- Mikami, Y. Measurements of the DsJ resonance properties. Phys. Rev. Lett. 2004, 92, 012002. [Google Scholar] [CrossRef] [PubMed]
- Ablikim, M. Measurement of the absolute branching fraction of Ds0*±(2317)→π0Ds±. Phys. Rev. D 2018, 97, 051103. [Google Scholar] [CrossRef]
- Browder, T.E.; Pakvasa, S.; Petrov, A.A. Comment on the new Ds*+π0 resonances. Phys. Lett. B 2004, 578, 365–368. [Google Scholar] [CrossRef]
- Hwang, D.S.; Kim, D.W. Mass of DsJ*(2317) and coupled channel effect. Phys. Lett. B 2004, 601, 137–143. [Google Scholar] [CrossRef]
- Zhou, Z.Y.; Xiao, Z. Hadron loops effect on mass shifts of the charmed and charmed-strange spectra. Phys. Rev. D 2011, 84, 034023. [Google Scholar] [CrossRef]
- Ortega, P.G.; Segovia, J.; Entem, D.R.; Fernandez, F. Molecular components in P-wave charmed-strange mesons. Phys. Rev. D 2016, 94, 074037. [Google Scholar] [CrossRef]
- Martinez Torres, A.; Dai, L.R.; Koren, C.; Jido, D.; Oset, E. Unitary chiral dynamics of two hadrons in a finite volume: The KD, ηDs system and the Ds0*(2317) resonance. J. Phys. Conf. Ser. 2012, 374, 12008. [Google Scholar] [CrossRef]
- Tan, Y.; Ping, J. Ds0*(2317) and Ds1(2460) in an unquenched quark model. arXiv 2021, arXiv:2111.04677. [Google Scholar]
- Dougall, A.; Kenway, R.D.; Maynard, C.M.; McNeile, C. The Spectrum of Ds mesons from lattice QCD. Phys. Lett. B 2003, 569, 41–44. [Google Scholar] [CrossRef]
- Moir, G.; Peardon, M.; Ryan, S.M.; Thomas, C.E.; Liu, L. Excited spectroscopy of charmed mesons from lattice QCD. J. High Energy Phys. 2013, 5, 21. [Google Scholar] [CrossRef]
- Lang, C.B.; Leskovec, L.; Mohler, D.; Prelovsek, S.; Woloshyn, R.M. Ds mesons with DK and D*K scattering near threshold. Phys. Rev. D 2014, 90, 034510. [Google Scholar] [CrossRef]
- Simonov, Y.A.; Tjon, J.A. The Coupled-channel analysis of the D and Ds mesons. Phys. Rev. D 2004, 70, 114013. [Google Scholar] [CrossRef]
- Feshbach, H. Unified theory of nuclear reactions. Ann. Phys. 1958, 5, 357–390. [Google Scholar] [CrossRef]
- Badalian, A.M.; Simonov, Y.A.; Trusov, M.A. The Chiral transitions in heavy-light mesons. Phys. Rev. D 2008, 77, 074017. [Google Scholar] [CrossRef]
- Burkert, V.D.; Roberts, C.D. Colloquium: Roper resonance: Toward a solution to the fifty year puzzle. Rev. Mod. Phys. 2019, 91, 011003. [Google Scholar] [CrossRef]
- Richard, J.M. The Nonrelativistic three-body problem for baryons. Phys. Rept. 1992, 212, 1–76. [Google Scholar] [CrossRef]
- Hogaasen, H.; Richard, J.M. Nucleon Resonances and the Quark Model. Phys. Lett. B 1983, 124, 520–522. [Google Scholar] [CrossRef]
- Glozman, L.Y.; Plessas, W.; Varga, K.; Wagenbrunn, R.F. Unified description of light and strange baryon spectra. Phys. Rev. D 1998, 58, 094030. [Google Scholar] [CrossRef]
- Isgur, N. Critique of a pion exchange model for interquark forces. Phys. Rev. D 2000, 62, 054026. [Google Scholar] [CrossRef]
- Yang, G.; Ping, J.; Segovia, J. The S- and P-Wave Low-Lying Baryons in the Chiral Quark Model. Few Body Syst. 2018, 59, 113. [Google Scholar] [CrossRef]
- Qing, D.; Chen, X.S.; Wang, F. Spin content of the nucleon in a valence and sea quark mixing model. Phys. Rev. C 1998, 57, R31–R34. [Google Scholar] [CrossRef]
- Liu, B.C.; Zou, B.S. Mass and K Lambda coupling of N*(1535). Phys. Rev. Lett. 2006, 96, 042002. [Google Scholar] [CrossRef] [PubMed]
- Li, Q.B.; Riska, D.O. The Role of qq¯ components in the N(1440) resonance. Phys. Rev. C 2006, 74, 015202. [Google Scholar] [CrossRef]
- Yuan, S.G.; An, C.S.; He, J. Contributions of qqqqq¯ components to axial charges of proton and N(1440). Commun. Theor. Phys. 2010, 54, 697–700. [Google Scholar] [CrossRef][Green Version]
- Morel, D.; Capstick, S. Baryon meson loop effects on the spectrum of nonstrange baryons. arXiv 2002, arXiv:nucl-th/0204014. [Google Scholar]
- Adlarson, P. ABC Effect in Basic Double-Pionic Fusion—Observation of a new resonance? Phys. Rev. Lett. 2011, 106, 242302. [Google Scholar] [CrossRef] [PubMed]
- Adam, J. The Proton-Ω correlation function in Au+Au collisions at sNN=200 GeV. Phys. Lett. B 2019, 790, 490–497. [Google Scholar] [CrossRef]
- Godfrey, S. Testing the nature of the D(sJ)*(2317)+ and D(sJ)(2463)+ states using radiative transitions. Phys. Lett. B 2003, 568, 254–260. [Google Scholar] [CrossRef]
- Zou, B.S. On the nature of the lowest 1/2− baryon nonet and decuplet. Eur. Phys. J. A 2008, 35, 325–328. [Google Scholar] [CrossRef]














| Case | Color | Spin | |||
|---|---|---|---|---|---|
| (1) | 0 0 0 | 3820, 98.7% | 10,355, 99.8% | ||
| (2) | 0 0 0 | 4112, 1.3% | 10,679, 0.2% | ||
| (1) + (2) | 3817 | 10,355 | |||
| (3) | 1 1 0 | 4439, 1.5% | 10,973, 0.3% | ||
| (4) | 1 1 0 | 4285, 98.5% | 10,841, 99.7% | ||
| (3) + (4) | 4282 | 10,840 | |||
| (5) | 0 1 1 | 4440 | 10,987 | ||
| (6) | 1 0 1 | 4311 | 10,873 |
| State | Component | Ratio ( %) | ||
|---|---|---|---|---|
| ::: | 74.2:6.8:0.2:18.8 | |||
| : | 98.8:1.2 | |||
| ::: | 49.0:40.0:7.0:4.0 | |||
| : | 62.4:37.6 |
| 4311.3 | 4.5 | 4448.8 | 1.0 | 4525.8 | 4.0 | |
| 4307.9 | 1.2 | 4459.7 | 3.9 | nr | – | |
| 4306.7 | 0.02 | 4461.6 | 1.0 | nr | – | |
| 4307.7 | 1.4 | 4449.0 | 0.3 | nr | – | |
| 7.12 | 6.20 | 4.00 | ||||
| 4376.4 | 1.5 | 4445.7 | 1.5 | nr | – | |
| 4374.4 | 0.9 | 4444.0 | 0.3 | 4523.0 | 1.0 | |
| 2.4 | 1.8 | 1.0 | ||||
| Channel | |||||
|---|---|---|---|---|---|
Disclaimer/Publisher’s Note: The statements, opinions and data contained in all publications are solely those of the individual author(s) and contributor(s) and not of MDPI and/or the editor(s). MDPI and/or the editor(s) disclaim responsibility for any injury to people or property resulting from any ideas, methods, instructions or products referred to in the content. |
© 2023 by the authors. Licensee MDPI, Basel, Switzerland. This article is an open access article distributed under the terms and conditions of the Creative Commons Attribution (CC BY) license (https://creativecommons.org/licenses/by/4.0/).
Share and Cite
Huang, H.; Deng, C.; Liu, X.; Tan, Y.; Ping, J. Tetraquarks and Pentaquarks from Quark Model Perspective. Symmetry 2023, 15, 1298. https://doi.org/10.3390/sym15071298
Huang H, Deng C, Liu X, Tan Y, Ping J. Tetraquarks and Pentaquarks from Quark Model Perspective. Symmetry. 2023; 15(7):1298. https://doi.org/10.3390/sym15071298
Chicago/Turabian StyleHuang, Hongxia, Chengrong Deng, Xuejie Liu, Yue Tan, and Jialun Ping. 2023. "Tetraquarks and Pentaquarks from Quark Model Perspective" Symmetry 15, no. 7: 1298. https://doi.org/10.3390/sym15071298
APA StyleHuang, H., Deng, C., Liu, X., Tan, Y., & Ping, J. (2023). Tetraquarks and Pentaquarks from Quark Model Perspective. Symmetry, 15(7), 1298. https://doi.org/10.3390/sym15071298

