Iterative Solutions for the Nonlinear Heat Transfer Equation of a Convective-Radiative Annular Fin with Power Law Temperature-Dependent Thermal Properties
Abstract
1. Introduction
- Thermal distribution through an AF with radiation impact using nonlinear thermal conductivity and coefficient of heat transfer.
- Analysis of thermal stress in the AF with radiative and convective heat transfer mechanisms.
- Presenting the analytical solution for the nonlinear equation of the considered AF problem.
- A simulation approach for thermal distribution and stress analysis using ANSYS software.
2. Formulation of the Problem
- The fin is positioned on a cylinder-shaped prime surface with temperature , and denotes the surrounding fluid temperature during the heat dissipation.
- The fin’s tip is presumed to be insulated, so the heat dissipation is inconsequential at its tip.
- The thermal properties of the fin are taken to be temperature-dependent nonlinearities.
- Heat is transferred from AF to its surroundings by convection and radiation.
- Since the fin’s thickness is assumed to be much less than other dimensions, the heat conduction arises only in the radial direction.
- Since the fin is considered to be thin, the temperature dispersal within the fin does not depend on the axial direction.
- It is presumed that the coefficient of convective heat transfer varies with temperature.
3. Preliminary Results of DTM
4. Applications of DTM-Pade Method
5. Thermal Stress Formulation
6. Numerical Procedure
7. Simulation of Thermal Distribution and Stress Analysis
- In the x-direction, one-dimensional heat conduction is considered, and stress is caused by the temperature gradient.
- Over the entire fin surface, the coefficient of convective heat transfer is constant and homogeneous, which is taken as 35 .
- Radiation from the fin surface is considered with an emissivity of 0.83.
- The ambient temperature is taken as 298.15 K.
- Heat generation of 1853 is taken in the fin.
8. Results and Discussions
9. Conclusions
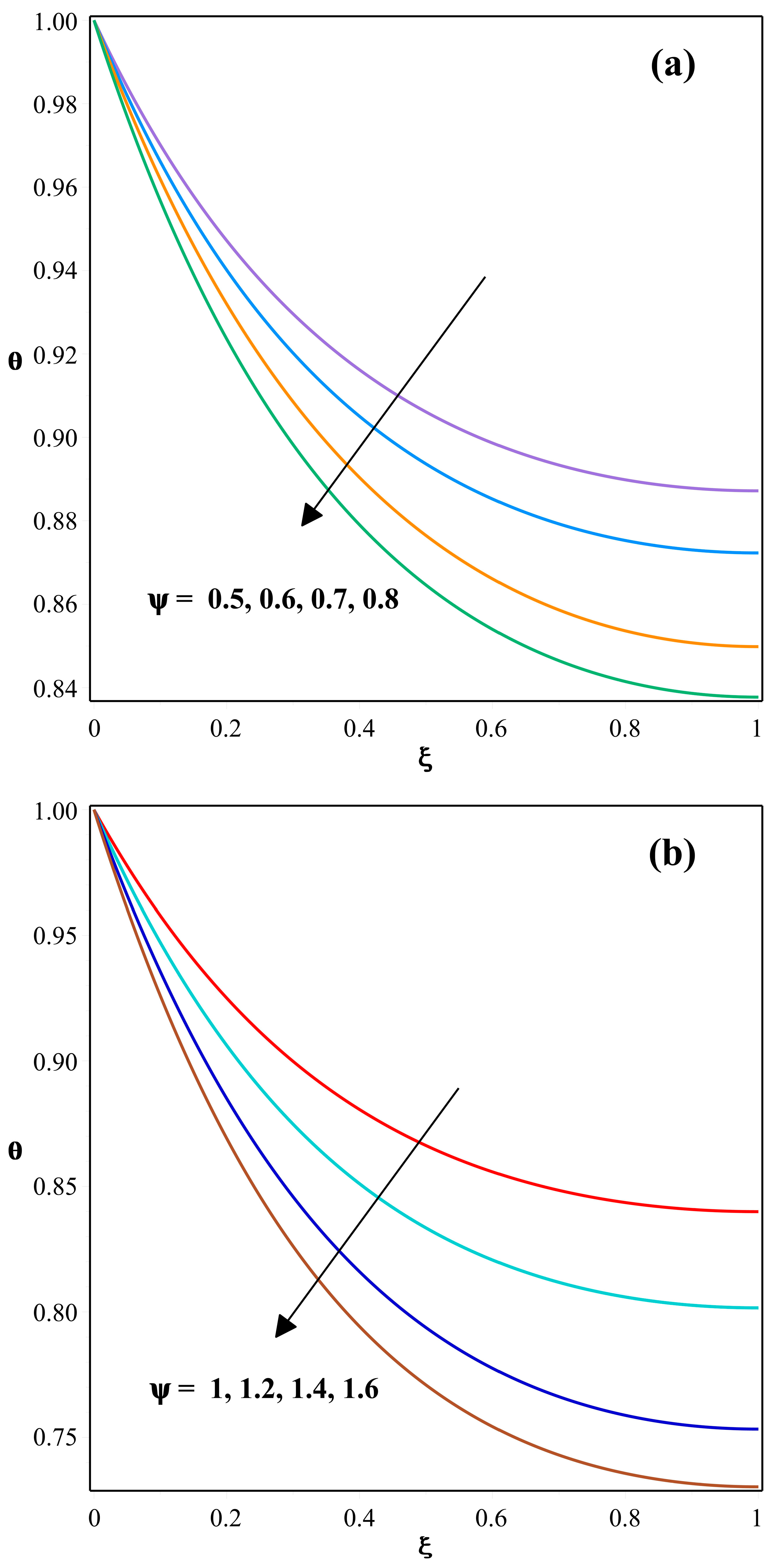
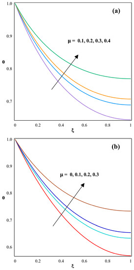
- Increased thermogeometric parameter values result in a decreased thermal distribution.
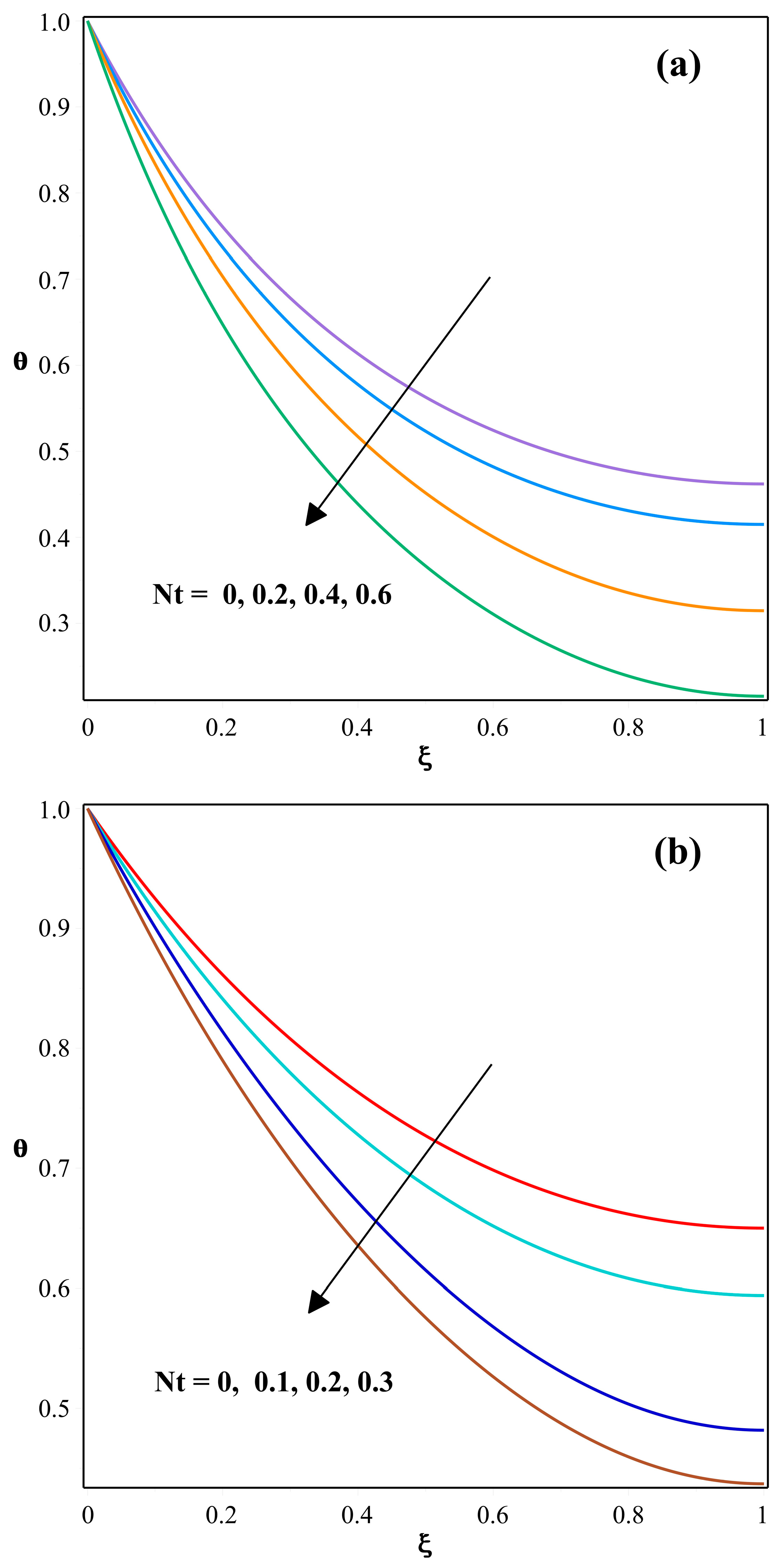
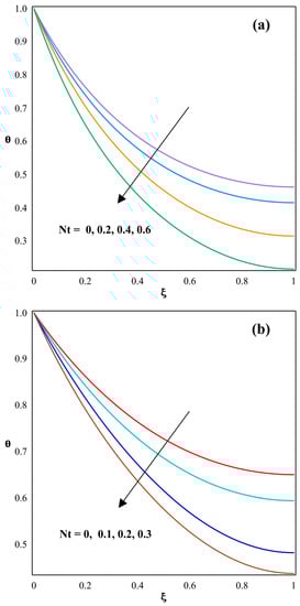
- As the magnitude of a non-dimensional radiation-conduction parameter is increased, the temperature distribution within the fin decreases. Also, the temperature dispersion within the fin declines as the non-dimensional temperature ratio parameter is raised.
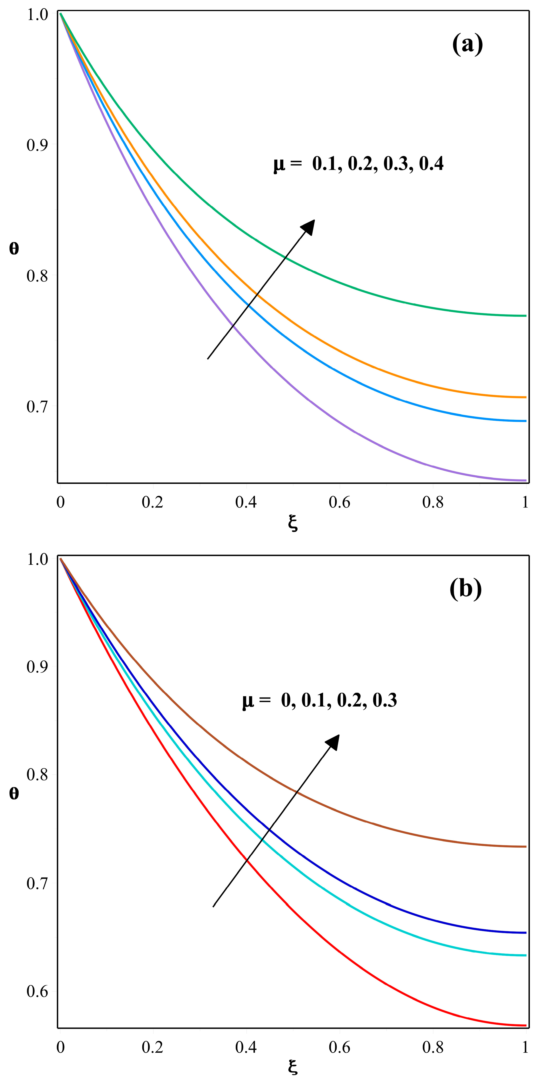
- The thermal dispersal within the fin enhances for augmented values of .
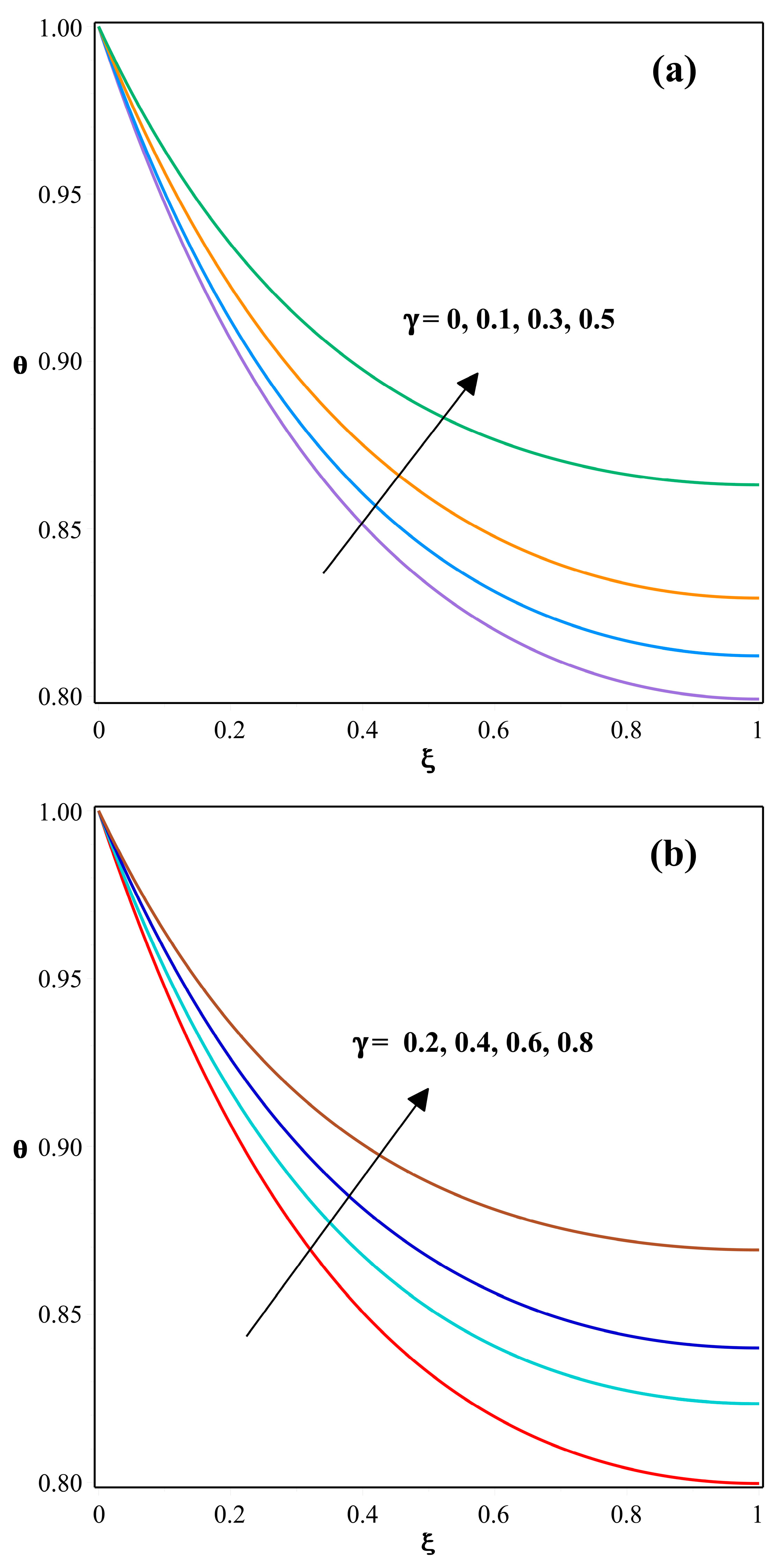
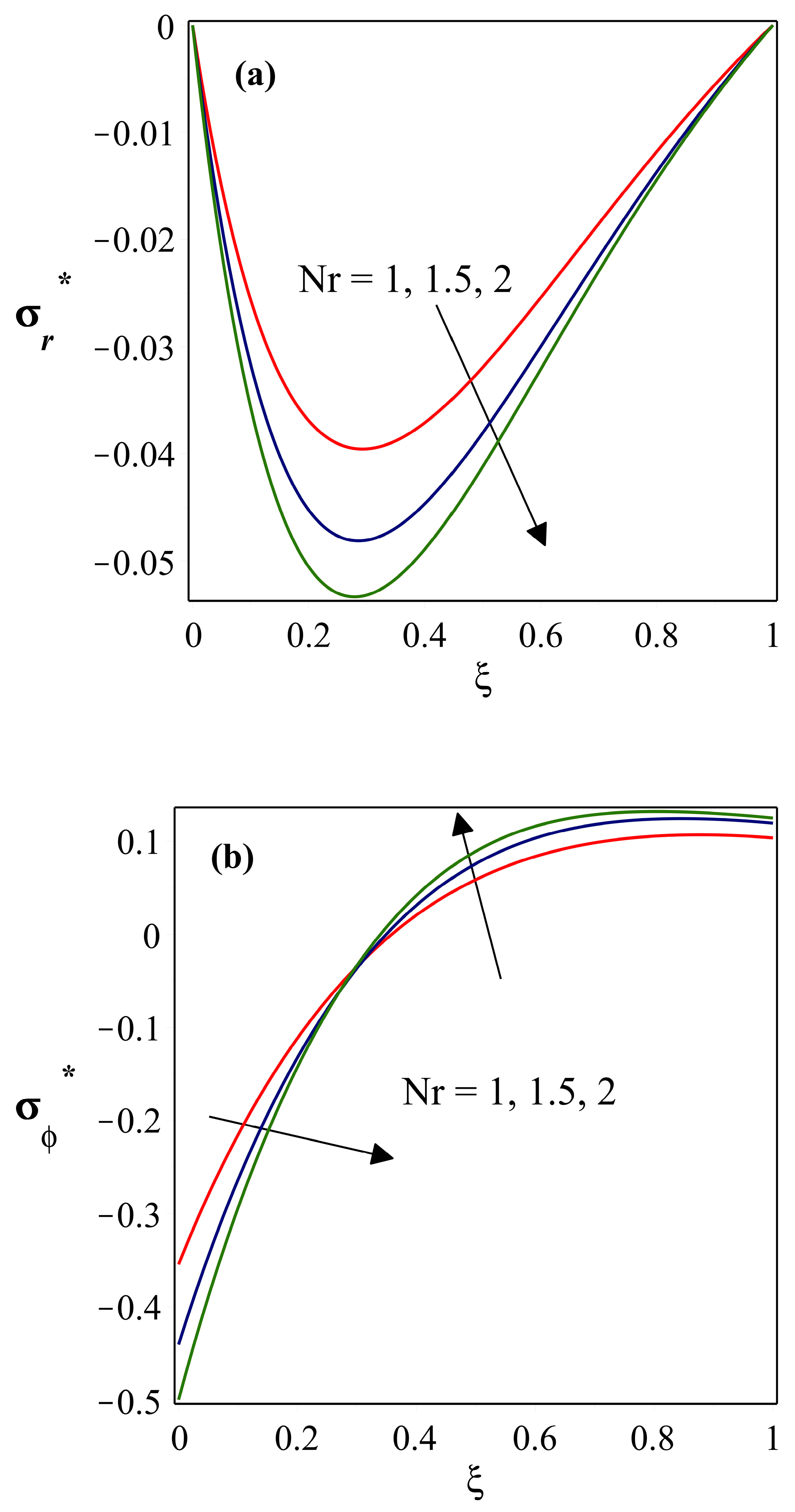
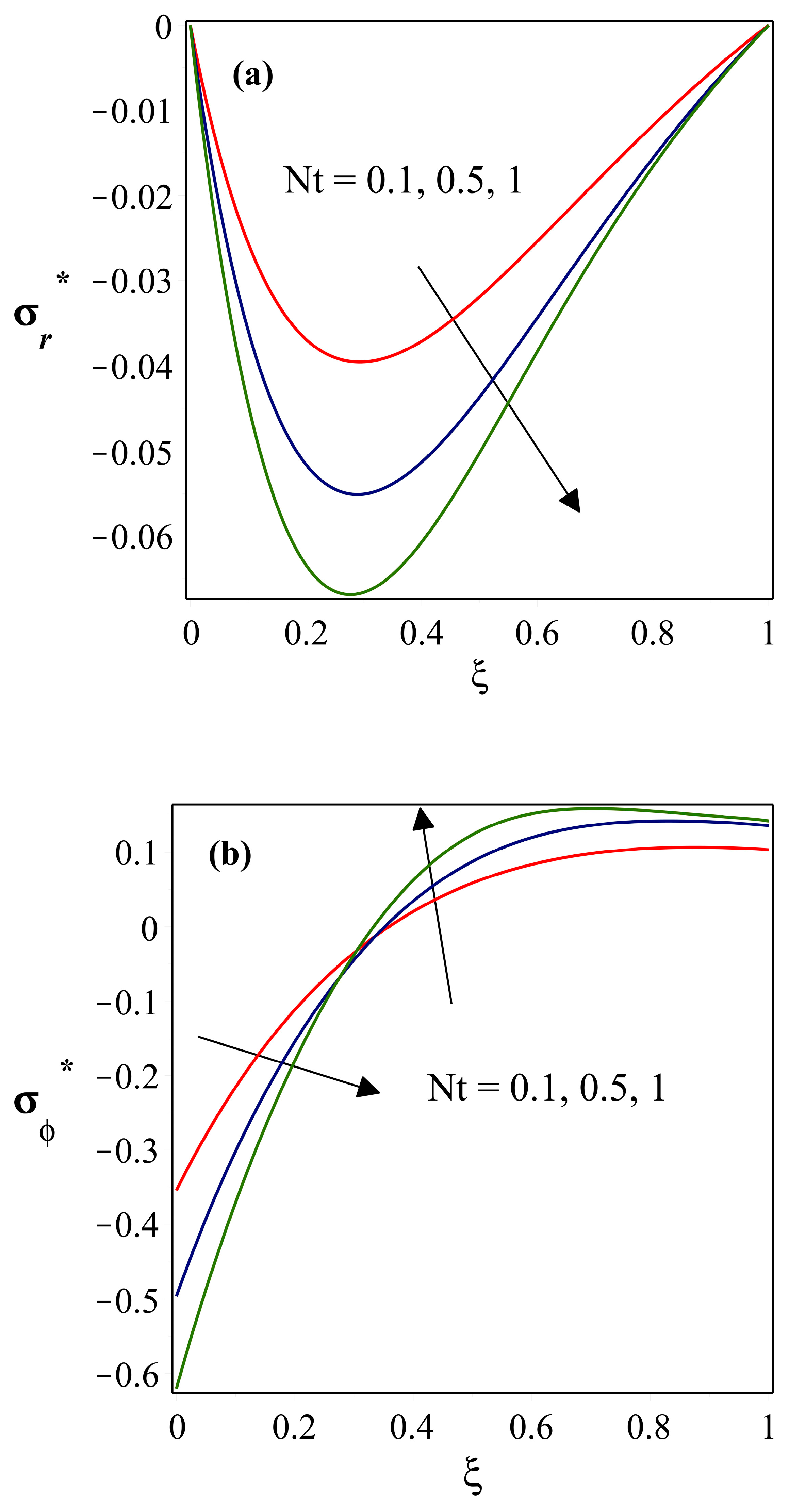
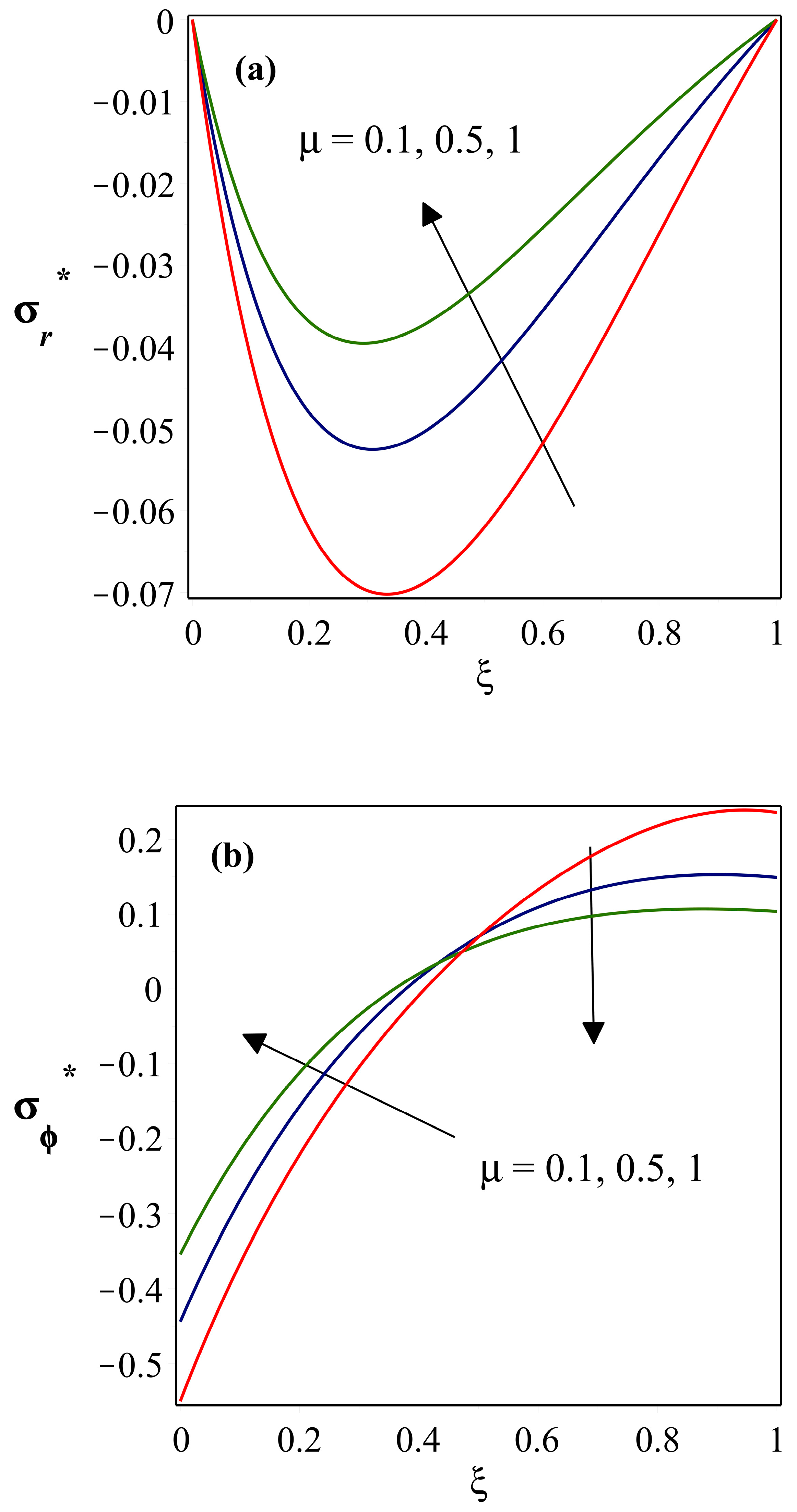
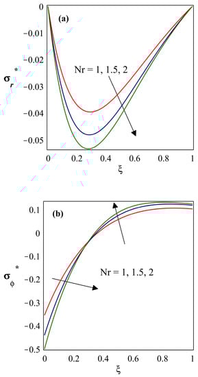
- drops as the power index of thermal conductivity heightens, whereas is considerably less near the base and more at the fin’s tip. The magnitude of , , and parameters all exhibit a similar trend in the stress distribution fields.
- varies significantly with the impact of , and stronger is related to a lower value. With an increase in this parameter, the is initially high, then diminishes after it reaches zero.
- The stress variation caused by thermal loading for an annular fin is addressed in this article by providing the analytical and simulation approach, in addition to the thermal distribution in the fin. The analytical solution is achieved using DTM, and the simulation is carried out using ANSYS software. According to the simulation approach, the maximum temperature is seen at the base of the fin, while the minimum temperature is spotted at the tip of the fin. The same temperature behavior can be observed in the discussed Figures obtained through numerical and analytical techniques. Thermal stress behaves similarly; thus, the current research establishes scientific importance.
- Annular fins have a wide range of uses, including compact heat exchangers, air-cooled motorcycle engines, double-pipe heat exchangers, refrigeration equipment, and electrical cooling apparatus. Since the proposed study focuses on the convective-conductive-radiative heat transfer mechanism through an annular fin, it is more advantageous in the realm of the aforementioned application sector.
Author Contributions
Funding
Data Availability Statement
Acknowledgments
Conflicts of Interest
Nomenclature
| Temperature ratio parameter | Thicknesses | ||
| Heat generation parameter | Non-dimensional radial and tangential stress | ||
| Heat transfer coefficient | linear coefficient of thermal expansion | ||
| Non-dimensional heat generation | Temperature ratio variable | ||
| Non-dimensional radiative-conductive parameter | Non-dimensional outer radius | ||
| Dimensionless temperature | Thermal conductivity variation | ||
| Internal heat generation at ambient temperature | Young’s modulus | ||
| Ambient temperature | Thermo-geometric parameter | ||
| Non-dimensional radius | Base temperature | ||
| Non-dimensional coefficient of thermal expansion | Inner radius | ||
| Outer radius | Poisson’s ratio | ||
| Thermal conductivity at ambient temperature | Internal heat generation variation | ||
| Temperature | Radial and tangential strain | ||
| Area of cross-section | Thermal conductivity | ||
| Radial and tangential stress |
References
- Rashid, U.; Liang, H.; Ahmad, H.; Abbas, M.; Iqbal, A.; Hamed, Y. Study of (Ag and TiO2)/water nanoparticles shape effect on heat transfer and hybrid nanofluid flow toward stretching shrinking horizontal cylinder. Results Phys. 2021, 21, 103812. [Google Scholar] [CrossRef]
- Abbas, N.; Nadeem, S.; Saleem, A.; Malik, M.; Issakhov, A.; Alharbi, F.M. Models base study of inclined MHD of hybrid nanofluid flow over nonlinear stretching cylinder. Chin. J. Phys. 2021, 69, 109–117. [Google Scholar] [CrossRef]
- Kumar, V.; Madhukesh, J.K.; Jyothi, A.M.; Prasannakumara, B.C.; Khan, M.I.; Chu, Y.-M. Analysis of single and multi-wall carbon nanotubes (SWCNT/MWCNT) in the flow of Maxwell nanofluid with the impact of magnetic dipole. Comput. Theor. Chem. 2021, 1200, 113223. [Google Scholar] [CrossRef]
- Bilal, M.; Ahmed, A.E.-S.; El-Nabulsi, R.A.; Ahammad, N.A.; Alharbi, K.A.M.; Elkotb, M.A.; Anukool, W.; Zedan, A.S.A. Numerical Analysis of an Unsteady, Electroviscous, Ternary Hybrid Nanofluid Flow with Chemical Reaction and Activation Energy across Parallel Plates. Micromachines 2022, 13, 874. [Google Scholar] [CrossRef]
- Alharbi, K.A.M.; Ahmed, A.E.-S.; Sidi, M.O.; Ahammad, N.A.; Mohamed, A.; El-Shorbagy, M.A.; Bilal, M.; Marzouki, R. Computational Valuation of Darcy Ternary-Hybrid Nanofluid Flow across an Extending Cylinder with Induction Effects. Micromachines 2022, 13, 588. [Google Scholar] [CrossRef]
- Rasool, G.; Saeed, A.M.; Lare, A.I.; Abderrahmane, A.; Guedri, K.; Vaidya, H.; Marzouki, R. Darcy-Forchheimer Flow of Water Conveying Multi-Walled Carbon Nanoparticles through a Vertical Cleveland Z-Staggered Cavity Subject to Entropy Generation. Micromachines 2022, 13, 744. [Google Scholar] [CrossRef]
- Rasool, G.; Shafiq, A.; Hussain, S.; Zaydan, M.; Wakif, A.; Chamkha, A.J.; Bhutta, M.S. Significance of Rosseland’s Radiative Process on Reactive Maxwell Nanofluid Flows over an Isothermally Heated Stretching Sheet in the Presence of Darcy–Forchheimer and Lorentz Forces: Towards a New Perspective on Buongiorno’s Model. Micromachines 2022, 13, 368. [Google Scholar] [CrossRef]
- Gouran, S.; Ghasemi, S.; Mohsenian, S. Effect of internal heat source and non-independent thermal properties on a convective–radiative longitudinal fin. Alex. Eng. J. 2022, 61, 8545–8554. [Google Scholar] [CrossRef]
- Weera, W.; Kumar, R.V.; Sowmya, G.; Khan, U.; Prasannakumara, B.; Mahmoud, E.E.; Yahia, I.S. Convective-radiative thermal investigation of a porous dovetail fin using spectral collocation method. Ain Shams Eng. J. 2023, 14, 101811. [Google Scholar] [CrossRef]
- Din, Z.U.; Ali, A.; Zaman, G. Entropy generation in moving exponential porous fins with natural convection, radiation and internal heat generation. Arch. Appl. Mech. 2022, 92, 933–944. [Google Scholar] [CrossRef]
- Kumar, R.S.V.; Kumar, R.N.; Sowmya, G.; Prasannakumara, B.C.; Sarris, I.E. Exploration of Temperature Distribution through a Longitudinal Rectangular Fin with Linear and Exponential Temperature-Dependent Thermal Conductivity Using DTM-Pade Approximant. Symmetry 2022, 14, 690. [Google Scholar] [CrossRef]
- Abdulrahman, A.; Gamaoun, F.; Kumar, R.V.; Khan, U.; Gill, H.S.; Nagaraja, K.; Eldin, S.M.; Galal, A.M. Study of thermal variation in a longitudinal exponential porous fin wetted with TiO2–SiO2/hexanol hybrid nanofluid using hybrid residual power series method. Case Stud. Therm. Eng. 2023, 43, 102777. [Google Scholar] [CrossRef]
- Mallick, A.; Das, R. Application of Simplex Search Method for Predicting Unknown Parameters in an Annular Fin Subjected to Thermal Stresses. J. Therm. Stress. 2013, 37, 236–251. [Google Scholar] [CrossRef]
- Darvishi, M.; Khani, F.; Aziz, A. Numerical investigation for a hyperbolic annular fin with temperature dependent thermal conductivity. Propuls. Power Res. 2016, 5, 55–62. [Google Scholar] [CrossRef]
- Kundu, B.; Lee, K.-S. A proper analytical analysis of annular step porous fins for determining maximum heat transfer. Energy Convers. Manag. 2016, 110, 469–480. [Google Scholar] [CrossRef]
- Mallick, A.; Ranjan, R.; Das, R. Application of homotopy perturbation method and inverse prediction of thermal parameters for an annular fin subjected to thermal load. J. Therm. Stress. 2016, 39, 298–313. [Google Scholar] [CrossRef]
- Kumar, R.V.; Sowmya, G.; Essa, A.F.; Prasannakumara, B.; Alsehli, M.; Saleh, B. Thermal analysis of an annular fin under multi-boiling heat transfer coefficient using differential transform method with Pade approximant (DTM-Pade). Proc. Inst. Mech. Eng. Part E J. Process. Mech. Eng. 2022; Online First. [Google Scholar] [CrossRef]
- Mosayebidorcheh, S.; Ganji, D.; Farzinpoor, M. Approximate solution of the nonlinear heat transfer equation of a fin with the power-law temperature-dependent thermal conductivity and heat transfer coefficient. Propuls. Power Res. 2014, 3, 41–47. [Google Scholar] [CrossRef]
- Kader, A.H.A.; Latif, M.S.A.; Nour, H.M. General exact solution of the fin problem with the power law temperature-dependent thermal conductivity. Math. Methods Appl. Sci. 2015, 39, 1513–1521. [Google Scholar] [CrossRef]
- Ndlovu, L.P.; Moitsheki, R.J. Predicting the Temperature Distribution in Longitudinal Fins of Various Profiles with Power Law Thermal Properties Using the Variational Iteration Method. Defect Diffus. Forum 2018, 387, 403–416. [Google Scholar] [CrossRef]
- Sun, S.-W.; Li, X.-F. Exact solution of a nonlinear fin problem of temperature-dependent thermal conductivity and heat transfer coefficient. Can. J. Phys. 2020, 98, 700–712. [Google Scholar] [CrossRef]
- Kundu, B.; Das, R.; Lee, K.-S. Differential Transform Method for Thermal Analysis of Exponential Fins under Sensible and Latent Heat Transfer. Procedia Eng. 2015, 127, 287–294. [Google Scholar] [CrossRef]
- Lin, Y.; Chen, C.-K. Annular hyperbolic profile fins with variable thermal conductivity using differential transform and double-decomposition methods. Numer. Heat Transf. Part A Appl. 2015, 69, 327–333. [Google Scholar] [CrossRef]
- Kundu, B. Exact Method for Annular Disc Fins with Heat Generation and Nonlinear Heating. J. Thermophys. Heat Transf. 2017, 31, 337–345. [Google Scholar] [CrossRef]
- Christopher, A.J.; Magesh, N.; Gowda, R.J.P.; Kumar, R.N.; Kumar, R.S.V. Hybrid nanofluid flow over a stretched cylinder with the impact of homogeneous–heterogeneous reactions and Cattaneo–Christov heat flux: Series solution and numerical simulation. Heat Transf. 2021, 50, 3800–3821. [Google Scholar] [CrossRef]
- Alhejaili, W.; Kumar, R.V.; El-Zahar, E.R.; Sowmya, G.; Prasannakumara, B.; Khan, M.I.; Yogeesha, K.; Qayyum, S. Analytical solution for temperature equation of a fin problem with variable temperature-dependent thermal properties: Application of LSM and DTM-Pade approximant. Chem. Phys. Lett. 2022, 793, 139409. [Google Scholar] [CrossRef]
- Ranjan, R.; Mallick, A.; Prasad, D.K. Closed form solution for a conductive–convective–radiative annular fin with multiple nonlinearities and its inverse analysis. Heat Mass Transf. 2016, 53, 1037–1049. [Google Scholar] [CrossRef]
- Vitanov, S.; Palankovski, V.; Maroldt, S.; Quay, R. High-temperature modeling of AlGaN/GaN HEMTs. Solid State Electron. 2010, 54, 1105–1112. [Google Scholar] [CrossRef]
- Mhlongo, M.; Moitsheki, R.; Makinde, O. Transient response of longitudinal rectangular fins to step change in base temperature and in base heat flow conditions. Int. J. Heat Mass Transf. 2013, 57, 117–125. [Google Scholar] [CrossRef]
- Abbasbandy, S.; Shivanian, E. Exact closed form solutions to nonlinear model of heat transfer in a straight fin. Int. J. Therm. Sci. 2017, 116, 45–51. [Google Scholar] [CrossRef]
- Wang, F.; Kumar, R.V.; Sowmya, G.; El-Zahar, E.R.; Prasannakumara, B.; Khan, M.I.; Khan, S.U.; Malik, M.; Xia, W.-F. LSM and DTM-Pade approximation for the combined impacts of convective and radiative heat transfer on an inclined porous longitudinal fin. Case Stud. Therm. Eng. 2022, 35, 101846. [Google Scholar] [CrossRef]
- Dogonchi, A.; Hatami, M.; Hosseinzadeh, K.; Domairry, G. Non-spherical particles sedimentation in an incompressible Newtonian medium by Padé approximation. Powder Technol. 2015, 278, 248–256. [Google Scholar] [CrossRef]
- Sowmya, G.; Sarris, I.E.; Vishalakshi, C.S.; Kumar, R.S.V.; Prasannakumara, B.C. Analysis of Transient Thermal Distribution in a Convective–Radiative Moving Rod Using Two-Dimensional Differential Transform Method with Multivariate Pade Approximant. Symmetry 2021, 13, 1793. [Google Scholar] [CrossRef]
- Sowmya, G.; Kumar, R.S.V.; Alsulami, M.D.; Prasannakumara, B.C. Thermal stress and temperature distribution of an annular fin with variable temperature-dependent thermal properties and magnetic field using DTM-Pade approximant. Waves Random Complex Media 2022, 1–29. [Google Scholar] [CrossRef]
- Nabati, M.; Salehi, G.H.; Taherifar, S. Numerical solution for a porous fin thermal performance problem by application of Sinc collocation method. Math. Methods Appl. Sci. 2021. [Google Scholar] [CrossRef]
- Buonomo, B.; Cascetta, F.; Manca, O.; Sheremet, M. Heat transfer analysis of rectangular porous fins in local thermal non-equilibrium model. Appl. Therm. Eng. 2021, 195, 117237. [Google Scholar] [CrossRef]
- Hosseinzadeh, S.; Hasibi, A.; Ganji, D. Thermal analysis of moving porous fin wetted by hybrid nanofluid with trapezoidal, concave parabolic and convex cross sections. Case Stud. Therm. Eng. 2022, 30, 101757. [Google Scholar] [CrossRef]
- Kaur, P.; Singh, S. Convective radiative moving fin with temperature-dependent thermal conductivity, internal heat generation and heat transfer coefficient. Pramana 2022, 96, 216. [Google Scholar] [CrossRef]
- Mallick, A.; Ghosal, S.; Sarkar, P.K.; Ranjan, R. Homotopy Perturbation Method for Thermal Stresses in an Annular Fin with Variable Thermal Conductivity. J. Therm. Stress. 2014, 38, 110–132. [Google Scholar] [CrossRef]
















| Original Function | Transformed Function |
|---|---|
| , where is the constant. | |
| Non-Dimensional Radius | Mallick et al. HPM [39] | Present DTM-Pade | |
|---|---|---|---|
| 0 | 1.0000 | 1.0000 | 0 |
| 0.1 | 0.9355 | 0.9449 | 0.0094 |
| 0.2 | 0.8820 | 0.8962 | 0.0142 |
| 0.3 | 0.8379 | 0.8536 | 0.0157 |
| 0.4 | 0.8018 | 0.8168 | 0.0151 |
| Density | |
|---|---|
| Thermal Conductivity | |
| Young’s Modulus Pa | |
| Poisson’s Ratio | 0.3 |
| Grid Points | Temperature | % abs Change |
|---|---|---|
| 1072 | 372.64 | 0.584888 |
| 2334 | 378.91 | 0.058697 |
| 3342 | 380.28 | - |
Disclaimer/Publisher’s Note: The statements, opinions and data contained in all publications are solely those of the individual author(s) and contributor(s) and not of MDPI and/or the editor(s). MDPI and/or the editor(s) disclaim responsibility for any injury to people or property resulting from any ideas, methods, instructions or products referred to in the content. |
© 2023 by the authors. Licensee MDPI, Basel, Switzerland. This article is an open access article distributed under the terms and conditions of the Creative Commons Attribution (CC BY) license (https://creativecommons.org/licenses/by/4.0/).
Share and Cite
Kumar, R.S.V.; Sarris, I.E.; Sowmya, G.; Abdulrahman, A. Iterative Solutions for the Nonlinear Heat Transfer Equation of a Convective-Radiative Annular Fin with Power Law Temperature-Dependent Thermal Properties. Symmetry 2023, 15, 1204. https://doi.org/10.3390/sym15061204
Kumar RSV, Sarris IE, Sowmya G, Abdulrahman A. Iterative Solutions for the Nonlinear Heat Transfer Equation of a Convective-Radiative Annular Fin with Power Law Temperature-Dependent Thermal Properties. Symmetry. 2023; 15(6):1204. https://doi.org/10.3390/sym15061204
Chicago/Turabian StyleKumar, R. S. Varun, Ioannis E. Sarris, G. Sowmya, and Amal Abdulrahman. 2023. "Iterative Solutions for the Nonlinear Heat Transfer Equation of a Convective-Radiative Annular Fin with Power Law Temperature-Dependent Thermal Properties" Symmetry 15, no. 6: 1204. https://doi.org/10.3390/sym15061204
APA StyleKumar, R. S. V., Sarris, I. E., Sowmya, G., & Abdulrahman, A. (2023). Iterative Solutions for the Nonlinear Heat Transfer Equation of a Convective-Radiative Annular Fin with Power Law Temperature-Dependent Thermal Properties. Symmetry, 15(6), 1204. https://doi.org/10.3390/sym15061204

