Symmetrically Construction Monitoring Analysis and Completed State Evaluation of a Tied Steel Box Arch Bridge Based on Finite Element Method
Abstract
1. Introduction
2. Project Overview
2.1. Bridge Overview
2.2. Finite Element Model of the Newly Built Dafeng River Bridge
3. Results and Discussion
3.1. Finite Element Calculation and Analysis in Bridge Construction Stage
3.1.1. Stress Calculation Results and Analysis
- 1.
- Stress of Main Arch and Transverse Brace during Construction
- 2.
- Stress of Lattice Beam during Construction
3.1.2. Displacement Calculation Results and Analysis
3.2. Finite Element Structural Checking Calculation in Bridge Completion Stage
3.2.1. Force Calculation Results and Analysis
3.2.2. Structural Checking Calculation Results
- 1.
- Structural Checking of Main Arch, Transverse Brace, and Lattice Beam
- 2.
- Structural Checking of Suspender and Tie Rod
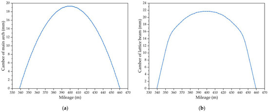
3.3. Analysis of Camber of Arch and Lattice Beam, Blanking Length of Suspender
- 1.
- Camber Calculation of Arch and Lattice Beam
- 2.
- Calculation of Blanking Length of Suspender
3.4. Comparative Analysis and Evaluation of Alignment and Cable Force after Bridge Construction Completion
4. Conclusions
Author Contributions
Funding
Data Availability Statement
Conflicts of Interest
References
- Granata, M.F. Stressing Sequence for Hanger Replacement of Tied-Arch Bridges with Rigid Bars. J. Bridg. Eng. 2022, 27, 04021099. [Google Scholar] [CrossRef]
- Yang, K.; Gao, L.; Zheng, K.; Shi, J. Mechanical behavior of a novel steel-concrete joint for long-span arch bridges—Application to Yachi River Bridge. Eng. Struct. 2022, 265, 114492. [Google Scholar] [CrossRef]
- Deng, N.; Yu, M.; Yao, X. Intelligent Active Correction Technology and Application of Tower Displacement in Arch Bridge Cable Lifting Construction. Appl. Sci. 2021, 11, 9808. [Google Scholar] [CrossRef]
- Huang, Q.; Wu, X.; Zhang, Y.; Ma, M. Proposed New Analytical Method of Tower Load in Large-Span Arch Bridge Cable Lifting Construction. Appl. Sci. 2022, 12, 9373. [Google Scholar] [CrossRef]
- Tan, G.; Li, H.; Wang, W.; Kong, Q.; Jiang, L.; Zhang, S.; Wei, X. A rapid evaluation method based on natural frequency for post-earthquake traffic capacity of small and medium span bridges. Eng. Struct. 2023, 280, 115681. [Google Scholar] [CrossRef]
- Tian, Z.; Zhang, Z.; Peng, W.; Dai, Y.; Cai, Y.; Xu, B. Research on the Method of Temporary Prestressing to Regulate the Stress in the Section during the Construction of the Main Arch Ring of the Cantilever Cast Arch Bridge. Appl. Sci. 2022, 12, 10070. [Google Scholar] [CrossRef]
- Gao, H.; Zhang, K.; Wu, X.; Liu, H.; Zhang, L. Application of BRB to Seismic Mitigation of Steel Truss Arch Bridge Subjected to Near-Fault Ground Motions. Buildings 2022, 12, 2147. [Google Scholar] [CrossRef]
- Mao, W.; Gou, H.; He, Y.; Pu, Q. Local Stress Behavior of Post-Tensioned Prestressed Anchorage Zones in Continuous Rigid Frame Arch Railway Bridge. Appl. Sci. 2018, 8, 1833. [Google Scholar] [CrossRef]
- Huang, Q.; Wu, X.; Wei, H.; Chen, Q. Innovative Design of Novel Main and Secondary Arch Collaborative Y-Shaped Arch Bridge and Research on Shear Lag Effect of Its Unconventional Thin-Walled Steel Box Arch Ribs. Appl. Sci. 2022, 12, 8370. [Google Scholar] [CrossRef]
- Zhang, Q.; Sun, T.; Wang, J.; Liu, Q. Deflection distribution estimation of the main arch of arch bridges based on long-gauge fiber optic sensing technology. Adv. Struct. Eng. 2019, 22, 3341–3351. [Google Scholar] [CrossRef]
- Álvarez, J.; Aparicio, A.; Jara, J.; Jara, M. Seismic assessment of a long-span arch bridge considering the variation in axial forces induced by earthquakes. Eng. Struct. 2012, 34, 69–80. [Google Scholar] [CrossRef]
- Morcous, G.; Hanna, K.; Deng, Y.; Tadros, M.K. Concrete-Filled Steel Tubular Tied Arch Bridge System: Application to Columbus Viaduct. J. Bridg. Eng. 2012, 17, 107–116. [Google Scholar] [CrossRef]
- Xie, K.; Wang, H.; Guo, X.; Zhou, J. Study on the safety of the concrete pouring process for the main truss arch structure in a long-span concrete-filled steel tube arch bridge. Mech. Adv. Mater. Struct. 2021, 28, 731–740. [Google Scholar] [CrossRef]
- Lederman, G.; You, Z.; Glišić, B. A novel deployable tied arch bridge. Eng. Struct. 2014, 70, 1–10. [Google Scholar] [CrossRef]
- De Backer, H.; Outtier, A.; Van Bogaert, P. Buckling design of steel tied-arch bridges. J. Constr. Steel Res. 2014, 103, 159–167. [Google Scholar] [CrossRef]
- Peng, Y.; Zhang, Z. Development of a Novel Type of Open-Web Continuous Reinforced-Concrete Rigid-Frame Bridge. J. Bridg. Eng. 2020, 25, 05020005. [Google Scholar] [CrossRef]
- Huang, C.; Wang, Y.; Xu, S.; Shou, W.; Peng, C.; Lv, D. Vision-Based Methods for Relative Sag Measurement of Suspension Bridge Cables. Buildings 2022, 12, 667. [Google Scholar] [CrossRef]
- Xu, Y.; Luo, Y.; Zhang, J. Laser-scan based pose monitoring for guiding erection of precast concrete bridge piers. Autom. Constr. 2022, 140, 104347. [Google Scholar] [CrossRef]
- Puri, N.; Turkan, Y. Bridge construction progress monitoring using lidar and 4D design models. Autom. Constr. 2019, 109, 102961. [Google Scholar] [CrossRef]
- Cheng, Y.; Lin, F.; Wang, W.; Zhang, J. Vision-based trajectory monitoring for assembly alignment of precast concrete bridge components. Autom. Constr. 2022, 140, 104350. [Google Scholar] [CrossRef]
- Kim, D.; Kwak, Y.; Sohn, H. Accelerated cable-stayed bridge construction using terrestrial laser scanning. Autom. Constr. 2020, 117, 103269. [Google Scholar] [CrossRef]
- Chen, Z.; Sun, H.; Zhou, S.; Chen, Z.; Xue, X.; Peng, Y. A hybrid algorithm for cable force calculation of cfst arch bridges during construction. Int. J. Robot. Autom. 2022, 37, 192–199. [Google Scholar] [CrossRef]
- Gou, H.; Liu, C.; Bao, Y.; Han, B.; Pu, Q. Construction Monitoring of Self-Anchored Suspension Bridge with Inclined Tower. J. Bridg. Eng. 2021, 26, 05021011. [Google Scholar] [CrossRef]
- Li, X.-X.; Ren, W.-X.; Bi, K.-M. FBG force-testing ring for bridge cable force monitoring and temperature compensation. Sens. Actuators A Phys. 2015, 223, 105–113. [Google Scholar] [CrossRef]
- Ren, W.-X.; Lin, Y.-Q.; Peng, X.-L. Field Load Tests and Numerical Analysis of Qingzhou Cable-Stayed Bridge. J. Bridg. Eng. 2007, 12, 261–270. [Google Scholar] [CrossRef]
- Gaute-Alonso, A.; Garcia-Sanchez, D.; Alonso-Cobo, C.; Calderon-Uriszar-Aldaca, I. Temporary cable force monitoring techniques during bridge construction-phase: The Tajo River Viaduct experience. Sci. Rep. 2022, 12, 7689. [Google Scholar] [CrossRef]
- Bayraktar, A.; Akköse, M.; Taş, Y.; Erdiş, A.; Kurşun, A. Long-term strain behavior of in-service cable-stayed bridges under temperature variations. J. Civ. Struct. Health Monit. 2022, 12, 833–844. [Google Scholar] [CrossRef]
- Jin, H.-W.; Wang, G.-A.; Chen, Z.-M. Temperature Control Technology for Construction of Jinsha River Bridge. Adv. Civ. Eng. 2021, 2021, 3452167. [Google Scholar] [CrossRef]
- Mei, X.D.; Lu, Y.Y.; Shi, J. Temperature monitoring and analysis of a long-span cable-stayed bridge during construction period. Struct. Monit. Maint. 2021, 8, 203–220. [Google Scholar] [CrossRef]
- Zhu, L.; Wang, Y.; Zhou, G.; Han, B. Structural health monitoring on a steel-concrete composite continuous bridge during construction and vehicle load tests. Mech. Adv. Mater. Struct. 2020, 29, 1370–1385. [Google Scholar] [CrossRef]
- Grace, N.F.; Mohamed, M.E.; Kasabasic, M.; Chynoweth, M.; Ushijima, K.; Bebawy, M. Design, Construction, and Monitoring of US Longest Highway Bridge Span Prestressed with CFRP Strands. J. Bridg. Eng. 2022, 27, 04022047. [Google Scholar] [CrossRef]




















| No. | Material | Elastic Modulus | Linear Expansion Coefficient | Unit Weight |
|---|---|---|---|---|
| 1 | Q355C | 2.06 × 105 | 1.20 × 105 | 76.98 |
| 2 | Q235C | 2.06 × 105 | 1.20 × 105 | 76.98 |
| 3 | C40 | 3.25 × 104 | 1.00 × 105 | 26.00 |
| 4 | C35 | 3.15 × 104 | 1.00 × 105 | 26.00 |
| 5 | C50 | 3.45 × 104 | 1.00 × 105 | 26.00 |
| 6 | φs15.24 | 1.90 × 105 | 1.20 × 105 | 78.50 |
Disclaimer/Publisher’s Note: The statements, opinions and data contained in all publications are solely those of the individual author(s) and contributor(s) and not of MDPI and/or the editor(s). MDPI and/or the editor(s) disclaim responsibility for any injury to people or property resulting from any ideas, methods, instructions or products referred to in the content. |
© 2023 by the authors. Licensee MDPI, Basel, Switzerland. This article is an open access article distributed under the terms and conditions of the Creative Commons Attribution (CC BY) license (https://creativecommons.org/licenses/by/4.0/).
Share and Cite
Pan, J.; Wang, X.; Huang, K.; Wang, W. Symmetrically Construction Monitoring Analysis and Completed State Evaluation of a Tied Steel Box Arch Bridge Based on Finite Element Method. Symmetry 2023, 15, 932. https://doi.org/10.3390/sym15040932
Pan J, Wang X, Huang K, Wang W. Symmetrically Construction Monitoring Analysis and Completed State Evaluation of a Tied Steel Box Arch Bridge Based on Finite Element Method. Symmetry. 2023; 15(4):932. https://doi.org/10.3390/sym15040932
Chicago/Turabian StylePan, Jian, Xirui Wang, Kainan Huang, and Wensheng Wang. 2023. "Symmetrically Construction Monitoring Analysis and Completed State Evaluation of a Tied Steel Box Arch Bridge Based on Finite Element Method" Symmetry 15, no. 4: 932. https://doi.org/10.3390/sym15040932
APA StylePan, J., Wang, X., Huang, K., & Wang, W. (2023). Symmetrically Construction Monitoring Analysis and Completed State Evaluation of a Tied Steel Box Arch Bridge Based on Finite Element Method. Symmetry, 15(4), 932. https://doi.org/10.3390/sym15040932

