Abstract
Fractional calculus is at this time an area where many models are still being developed, explored, and used in real-world applications in many branches of science and engineering where non-locality plays a key role. Although many wonderful discoveries have already been reported by researchers in important monographs and review articles, there is still a great deal of non-local phenomena that have not been studied and are only waiting to be explored. As a result, we can continually learn about new applications and aspects of fractional modelling. In this study, a precise and analytical method with non-singular kernel derivatives is used to solve the Caudrey–Dodd–Gibbon (CDG) model, a modification of the fifth-order KdV equation (fKdV). The fractional derivative is taken into account by the Caputo–Fabrizio (CF) derivative and the Atangana–Baleanu derivative in the Caputo sense (ABC). This model illustrates the propagation of magneto-acoustic, shallow-water, and gravity–capillary waves in a plasma medium. The dynamic behaviour of the acquired solutions has been represented in a number of two- and three-dimensional figures. A number of simulations are also performed to demonstrate how the resulting solutions physically behave with respect to fractional order. The significance of the current research is that new solutions are obtained by using a strong analytical approach. Utilizing a fractional derivative operator to solve equivalent models is another benefit of this approach. The results of the present work have similar aspects to the symmetry of partial differential equations.
1. Introduction
When dealing with the integer order of derivative, which depends on the behaviour of the function, the fractional derivative yields the entire history of this function, which is the supremacy of using fractional calculus to solve physical problems. Studying the behaviour of the function fractionally, hence, is frequently referred to as the memory effect. The non-locality of the fractional operators is used to demonstrate the classical derivatives in a progressive manner. Obviously, complex memory and a variety of other objects that can be investigated using conventional mathematical techniques, such as classical differential calculus, are defined using fractional operators. However, the implementation of the FC concept across different study fields is still in its early stages. Due to its wider applicability in the dynamics of complicated nonlinear events, FC is currently a very promising tool [1,2,3].
Leibnitz was the first to introduce the idea of a fractional derivative. It was also demonstrated that FC is far more effective than classical calculus at handling the majority of complicated real-world problems. The scope of the applied studies using fractional calculus has increased over time. Recent work has shown and predicted fractional operators with non-locality in the absence of a unique kernel. Additionally, there are some derivatives that can effectively explain the model among the many definitions of fractional derivatives in the local and non-local categories. The memory and heritability characteristics of many materials and processes are among the most notable benefits of fractional derivatives. Non-local fractional derivatives could be used to simply describe these characteristics of the various processes. Hence, from a physical and practical standpoint, non-local fractional derivatives have a specific preference over local ones. Actually, there are advantages and disadvantages to every fractional derivative. One weakness in the well-known Riemann–Liouville, and the Caputo derivative is the singularity of the kernel. A non-local derivative created by Caputo and Fabrizio eliminates this weakness [4]. This indicates that the Caputo–Fabrizio derivative has a non-singular exponential kernel. The fractional derviative kernel is chosen by Atangana and Baleanu [5] as the Mittag–Leffler non-singular function, which is important in the theory of fractional calculus. This fractional operator is described in terms of both Riemann and Caputo. In fact, this derivative can also be thought of as a filter regulator in addition to being a differential operator. An additional advantage of this intriguing derivative is the explanation of some materials’ macroscopic behaviour. In recent years, numerous scientists have paid close attention to these derivatives’ motivating behaviours [6,7,8,9,10,11,12].
A number of differential equation classes can be studied and illustrated using an analysis of symmetry, which is a transformation for the differential equation that retains the invariance of its family of solutions [13,14,15,16]. The study of fractional calculus in relation to symmetry has recently attracted many researchers from different domains to present their research and investigate real problems. Fractional differential equations (FDEs) have a crucial role in the recent development of the real world, which cannot be disputed. There are models that use fractional differential equations to manage systems more effectively. These equations may appear in biology, engineering, physics, electronic circuits, and other fields [17,18,19,20,21,22,23]. In order to handle clients in better-suited and inexpensive packages for dealing with financial crises, finance additionally deals with fractional-order differential equations [24,25]. Signal processing and image processing are two further differential equation (DE) applications [26,27]. Depending on the geometry of the issue, these equations may be linear or nonlinear. Ordinary differential equations (ODEs) can illustrate simple problems, while partial differential equations can illustrate complex situations (PDEs). Most linear problems have an exact solution, while complex nonlinear issues are challenging to solve precisely. Researchers have approximated such a nonlinear problem using numerical, analytical, and some homotopy-based methods [28,29,30,31,32,33,34]. Some well-known techniques for dealing with DEs of fractional and integer order are the Adomian decomposition method [35], residual power series method [36], reduced differential transform method [37], homotopy perturbation method [38], variational iteration method [39], and homotopy analysis method [40], among many others [41,42,43].
A confined domain is a rather uncommon property of a wave field in nature. In other words, seismic waves should only be considered in relation to the Earth’s centre and surface; they can be disregarded elsewhere. To study physical waves in restricted domains, mathematicians study waves in an unlimited background that permeates all of space. A disruption that travels in a straight line with no desired direction is referred to as a plane wave. Sinusoidal plane waves with modest harmonic motion and a distinct occurrence [44] are the simplest mathematical waves. Dependent on their occurrence and/or the path of their propagation, complex waves in a linear medium may be converted into extra apparent sinusoidal plane waves. A trajectory vertical to propagation describes a ground perturbation at one point, whereas a vector transverse to propagation describes a field perturbation at a different position [45]. Mechanical sound waves do not travel vertically to the medium, whereas electromagnetic plane waves do. The physical alignment of a fluctuating ground with regard to the direction of propagation is known as wave polarization [46].
The most popular equation for the propagation of shallow-water waves is the fifth-order KdV equation, which is given by [47]
where and c are arbitrary positive parameters. Moreover, demonstrates the way in which long waves move in shallow water under gravity and in a one-dimensional nonlinear lattice, as well as their numerous practical applications in a variety of domains, such as quantum mechanics and nonlinear optics. The characteristics of the equation are greatly influenced by these factors. For instance, Equation (1) becomes the equation for the given values of and [48], as follows:
Equation (2) is an integrable model with numerous solutions [49]. This equation is utilised to resolve complex problems in kink dynamics, fluid dynamics, chemical kinetics, plasma physics, quantum field theory, crystal dislocations, and nonlinear optics [50]. Many computational techniques have been effectively used to achieve a variety of distinctive soliton wave solutions that offer an additional detailed definition of the shallow-water wave [51,52]. The fractional equation of the following form is taken into consideration in the current framework.
where the order time-fractional derivative is represented by . In order to incorporate memory effects and genetic consequences into the phenomena, the fractional order is introduced, and these attributes help us to obtain essential physical characteristics of the nonlinear issues. Several mathematicians have proposed a wide variety of solutions to the equations. In [53], Jagdev Singh et al. applied a novel technique, namely the homotopy analysis Sumudu transform method, to solve a fractional equation. P. Veeresha et al. implemented the q-homotopy analysis transform method to find the solution for a fractional equation [54]. In [55], Wazwaz used the tanh approach to construct explicit solutions for travelling waves, and, in [56], Hirota’s direct method in association with the simplified Hereman method provided multiple-soliton solutions.
In this study, we present a novel approximation technique called the natural transform decomposition method (NTDM) for resolving fractional problems. It is important to note that the suggested approach is a powerful combination of the natural transform and decomposition method. It offers the results as convergent series with parts that are simple to compute. The rest of the text is structured as follows: Section 2 provides the fundamental definitions. Section 3 presents the fundamental idea of NTDM. Section 4 presents the convergence analysis of the proposed method. In Section 5, two fractional-order equations are subjected to the NTDM. The method applications are concluded, and the bibliography is provided at the end.
2. Preliminaries
Here, we give some basic definitions of the fractional calculus related to our study.
Definition 1.
The Riemann–Liouville fractional integral is stated as in [57]:
Definition 2.
The Caputo fractional derivative is as in [57]:
for .
Definition 3.
The fractional derivative in terms of Caputo–Fabrizio is as in [57].
with .
Definition 4.
The fractional derivative in terms of Atangana–Baleanu Caputo is as in [57]:
where , and represent the normalization function with , and is the Mittag–Leffler function.
Definition 5.
The natural transform (NT) of the function is as follows:
For , the natural transform of is stated as
with representing the Heaviside function.
Definition 6.
The function ’s natural inverse transform is stated as
Lemma 1.
(Linearity property). If NT of is , and is , then
where and are constants.
Lemma 2.
(Inverse linearity property). If the inverse NT of and are and , respectively, then
where and are constants.
Definition 7.
The NT of in the Caputo manner is as in [57]:
Definition 8.
The NT of in the Caputo–Fabrizio manner is as in [57]:
Definition 9.
The NT of in the Atangana–Baleanu Caputo manner is as in [57]:
3. Methodology
The general methodology of the proposed method is given in this part.
with the initial guess
where , , and are linear, nonlinear, and the source terms, respectively.
3.1. Case I
By employing the inverse NT in Equation (18), we obtain
The nonlinear term is stated as
The solution to in terms of its series form is
From the above equation, we obtain
3.2. Case II
By employing the inverse NT in Equation (27), we obtain
The nonlinear term is stated as
where represents the Adomian polynomials [58,59]. The solution to , in terms of the series form, is as follows:
From the above equation, we obtain
4. Convergence Analysis
The proposed method’s uniqueness and convergence analysis for and are presented here.
Theorem 1.
The result for (16) is unique when
Proof.
Let where the norm is the Banach space, and ∀ is a continuous function on Let be a nonlinear mapping, where
Suppose that and , where and are are two different function values and , are Lipschitz constants.
I is the contraction as . From Banach’s fixed-point theorem, the result of (16) is unique. □
Theorem 2.
The result for (16) is unique when
Proof.
This proof was omitted because it is equivalent to that of Theorem 1. □
Theorem 3.
The result of (16) is convergent.
Proof.
Let . To prove that is a Cauchy sequence in H, let
Let ; then,
where . Similarly, we have
As , we obtain . Therefore,
Since when . As a result, is a Cauchy sequence in H, implying that the series is convergent. □
Theorem 4.
The solution to (16) is convergent.
Proof.
This proof was omitted because it is equivalent to that of Theorem 3. □
5. Applications
Here, we implemented the given technique to solve the fractional equation.
Example 1.
Let us assume a Caudrey–Dodd–Gibbon equation of the form:
with an initial guess
By employing the NT in Equation (54), we have
By means of the transform property
Now, by employing the inverse NT, we obtain
- Solution in Terms of
The solution to in terms of the series form is as follows:
The nonlinear terms by means of the Adomian polynomials are stated as . Hence, Equation (44) is rewritten as
The series form solution is as follows:
- Solution in Terms of
The solution to in terms of the series form is as follows:
The nonlinear terms by means of the Adomian polynomials are stated as . Hence, Equation (44) is rewritten as
The series form solution is as follows:
For , the exact solution is
Example 2.
Let us assume a Caudrey–Dodd–Gibbon equation of the form:
with an initial guess
By employing the NT in Equation (54), we have
By means of the transform property
Now, by employing the inverse NT, we obtain
- Solution in Terms of
The solution to in terms of the series form is as follows:
The nonlinear terms by means of the Adomian polynomials are stated as . Hence, Equation (58) is rewritten as
The series form solution is as follows:
- Solution in Terms of
The solution to in terms of the series form is as follows:
The nonlinear terms by means of the Adomian polynomials are stated as . Hence, Equation (58) is rewritten as
The series form solution is as follows:
6. Numerical Simulation Studies
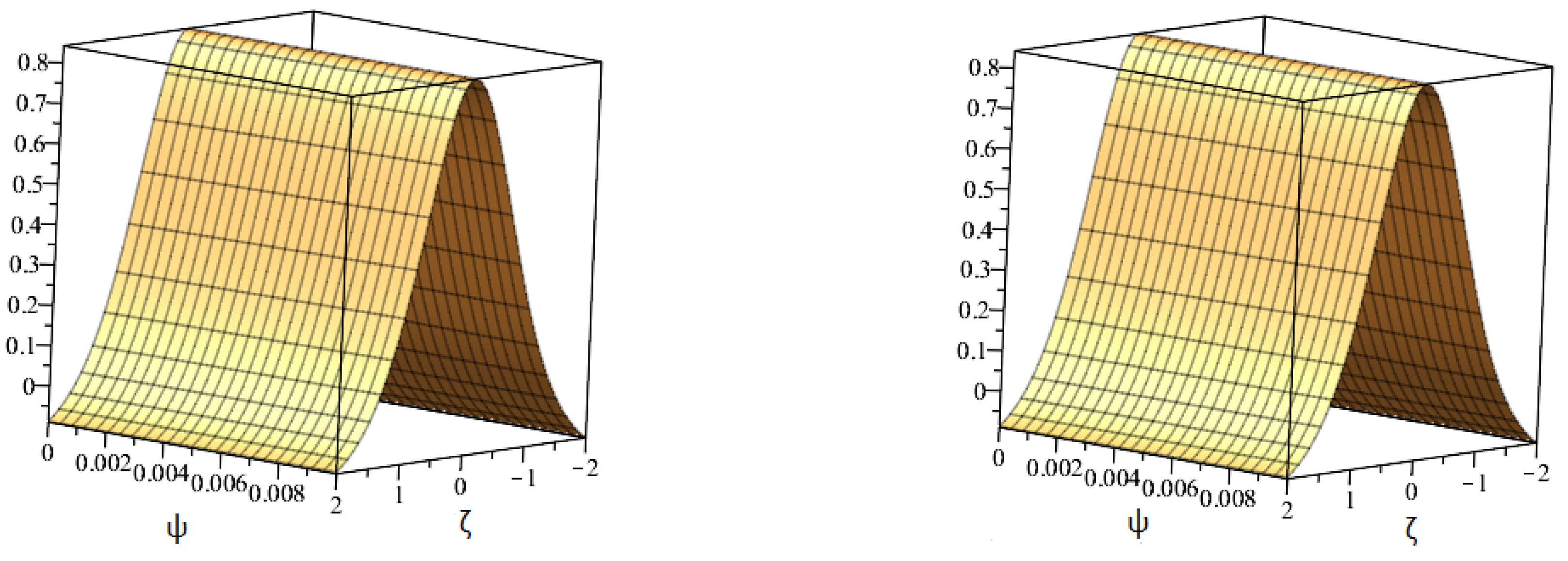
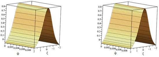
Here, using the suggested methodology, we provide the numerical simulations of the fractional-order problem. To display how the acquired solution behaves, we use graphs and tables. The behaviour of the exact and suggested approach solutions at is depicted by the graphs in Figure 1a,b. Figure 2a illustrates the mathematical representations of for and Figure 2b, respectively, at . Table 1 displays the exact as well as approximative solutions to the equation for various and values. The comparison of the suggested method’s absolute error with HASTM is presented in Table 2 for Example 1. The graphical representations of for and are shown in Figure 3. The mathematical representations of are shown in Figure 4a,b, respectively, for the values of and . Similarly, Table 3 displays an approximation of the solution to the equation for a range of variables of and in Example 2. Our approaches converge more fast than other methods, as shown by the comparison of absolute errors. The graphical representation also shows that the exact solution and the suggested approach solution are in good agreement.
Figure 1.
The graphical illustration of our technique’s solution and the accurate solution at .
Figure 2.
The graphical illustration of our technique’s solution to at different values of . (a) 3D View (b) 2D View.
Table 1.
Numerical simulation of the accurate and proposed technique’s solution at different orders of .
Table 2.
Comparison of proposed method and homotopy analysis Sumudu transform method (HASTM) in terms of absolute error.
Figure 3.
The graphical illustration of our technique’s solution solution at (a) and (b) .
Figure 4.
The graphical illustration of the our technique’s solution to at different values of . (a) 3D View (b) 2D View.
Table 3.
Numerical simulation of our technique’s solution at various orders of .
7. Conclusions
One of the toughest areas of applied mathematics is the analytical solution to partial equations. If the derivative is a fractional derivative, the equations will be considerably harder to solve. This work effectively used natural transformation to explore fractional CDG equations using CF and ABC derivatives. A two-step technique can be used to find the terms as series solutions. By using the natural transformation, the targeted issues are first made simpler, and then the decomposition method is used to find the solutions. The suggested method has been applied to obtain the solution to the two given problems. Plots and tables were used to demonstrate the accuracy of the findings obtained utilising the proposed technique. The graphs and tables show that the acquired approximation to the problem’s exact solution is the closest. The plots for various values of show that when tends towards one, the NTDM solution overlaps the exact solution. As a result of this discussion, it can be concluded that the NTDM is appropriate for approximating complicated nonlinear PDEs and ODEs of integer and fractional orders.
Author Contributions
Conceptualization, D.F., R.A.A., A.K. and A.H.G.; methodology, A.K., A.A. and A.H.G.; software, A.K.; validation, D.F., R.A.A. and A.K.; formal analysis, A.K., A.A. and A.H.G.; investigation, A.K. and A.H.G.; resources, D.F., A.K. and A.H.G.; data curation, D.F., A.K. and A.H.G.; writing—original draft preparation, A.K.; writing—review and editing, A.K.; visualization, A.K., A.A. and A.H.G.; supervision, D.F., R.A.A. and A.H.G. All authors have read and agreed to the published version of the manuscript.
Funding
This research received no external funding.
Data Availability Statement
The numerical data used to support the findings of this study are included within the article.
Acknowledgments
The authors are pleased to the reviewers for their meticulous reading and suggestions which improved the presentation of the paper.
Conflicts of Interest
The authors declare no conflict of interest.
References
- Ganie, A.H. New Bounds for Variables of Fractional Order. Pak. J. Statist 2022, 38, 211–218. [Google Scholar]
- AlBaidani, M.M.; Ganie, A.H.; Almuteb, A.F.M. Generalized notion of integral inequalities of variables. Open Phys. 2022, 20, 822–828. [Google Scholar] [CrossRef]
- Ganie, A.H. New approach for structural behaviour of variables. J. Nonlinear Sci. Appl. 2021, 14, 351–358. [Google Scholar] [CrossRef]
- Caputo, M.; Fabrizio, M. A new definition of fractional derivative without singular kernel. Progr. Fract. Differ. Appl. 2015, 1, 73–85. [Google Scholar]
- Atangana, A.; Baleanu, D. New fractional derivatives with nonlocal and non-singular kernel: Theory and application to heat transfer model. Therm. Sci. 2016, 20, 763. [Google Scholar] [CrossRef]
- Shah, N.A.; Hamed, Y.S.; Abualnaja, K.M.; Chung, J.D.; Shah, R.; Khan, A. A comparative analysis of fractional-order kaup-kupershmidt equation within different operators. Symmetry 2022, 14, 986. [Google Scholar] [CrossRef]
- Kbiri Alaoui, M.; Nonlaopon, K.; Zidan, A.M.; Khan, A.; Shah, R. Analytical investigation of fractional-order Cahn-Hilliard and gardner equations using two novel techniques. Mathematics 2022, 10, 1643. [Google Scholar] [CrossRef]
- Botmart, T.; Agarwal, R.P.; Naeem, M.; Khan, A.; Shah, R. On the solution of fractional modified Boussinesq and approximate long wave equations with non-singular kernel operators. AIMS Math. 2022, 7, 12483–12513. [Google Scholar] [CrossRef]
- Saad Alshehry, A.; Imran, M.; Khan, A.; Shah, R.; Weera, W. Fractional View Analysis of Kuramoto-Sivashinsky Equations with Non-Singular Kernel Operators. Symmetry 2022, 14, 1463. [Google Scholar] [CrossRef]
- Al-Sawalha, M.M.; Khan, A.; Ababneh, O.Y.; Botmart, T. Fractional view analysis of Kersten-Krasil’shchik coupled KdV-mKdV systems with non-singular kernel derivatives. AIMS Math. 2022, 7, 18334–18359. [Google Scholar] [CrossRef]
- Alyobi, S.; Shah, R.; Khan, A.; Shah, N.A.; Nonlaopon, K. Fractional Analysis of Nonlinear Boussinesq Equation under Atangana-Baleanu-Caputo Operator. Symmetry 2022, 14, 2417. [Google Scholar] [CrossRef]
- Mishra, N.K.; AlBaidani, M.M.; Khan, A.; Ganie, A.H. Numerical Investigation of Time-Fractional Phi-Four Equation via Novel Transform. Symmetry 2022, 15, 687. [Google Scholar] [CrossRef]
- Kiliç, S.Ş.-S.; Çelik, E. Complex solutions to the higher-order nonlinear boussinesq type wave equation transform. Ric. Mat. 2022, 2022, 1–8. [Google Scholar] [CrossRef]
- Yazgan, T.; Ilhan, E.; Çelik, E.; Bulut, H. On the new hyperbolic wave solutions to Wu-Zhang system models. Opt. Quantum Electron. 2022, 54, 298. [Google Scholar] [CrossRef]
- Tazgan, T.; Celik, E.; GÜLnur, Y.E.L.; Bulut, H. On Survey of the Some Wave Solutions of the Non-Linear Schrödinger Equation (NLSE) in Infinite Water Depth. Gazi Univ. J. Sci. 2023, 2023, 1. [Google Scholar] [CrossRef]
- Kiliç, S.Ş.Ş. Multi and breather wave soliton solutions and the linear superposition principle for generalized Hietarinta equation. Int. J. Mod. Phys. 2022, 36, 2250019. [Google Scholar] [CrossRef]
- Alaoui, M.K.; Fayyaz, R.; Khan, A.; Shah, R.; Abdo, M.S. Analytical investigation of Noyes-Field model for time-fractional Belousov-Zhabotinsky reaction. Complexity 2021, 2021, 1–21. [Google Scholar] [CrossRef]
- Areshi, M.; Khan, A.; Shah, R.; Nonlaopon, K. Analytical investigation of fractional-order Newell-Whitehead-Segel equations via a novel transform. Aims Math. 2022, 7, 6936–6958. [Google Scholar] [CrossRef]
- Nonlaopon, K.; Alsharif, A.M.; Zidan, A.M.; Khan, A.; Hamed, Y.S.; Shah, R. Numerical investigation of fractional-order Swift-Hohenberg equations via a Novel transform. Symmetry 2021, 13, 1263. [Google Scholar] [CrossRef]
- Chu, Y.-M.; Ali, A.; Khan, M.A.; Islam, S.; Ullah, S. Dynamics of fractional order COVID-19 model with a case study of Saudi Arabia. Results Phys. 2021, 21, 103787. [Google Scholar] [CrossRef]
- Sunthrayuth, P.; Alyousef, H.A.; El-Tantawy, S.A.; Khan, A.; Wyal, N. Solving fractional-order diffusion equations in a plasma and fluids via a novel transform. J. Funct. Spaces 2022, 2022, 1899130. [Google Scholar] [CrossRef]
- Zidan, A.M.; Khan, A.; Shah, R.; Alaoui, M.K.; Weera, W. Evaluation of time-fractional Fisher’s equations with the help of analytical methods. Aims Math. 2022, 7, 18746–18766. [Google Scholar] [CrossRef]
- Shah, N.A.; El-Zahar, E.R.; Akgül, A.; Khan, A.; Kafle, J. Analysis of fractional-order regularized long-wave models via a novel transform. J. Funct. Spaces 2022, 2022, 2754507. [Google Scholar] [CrossRef]
- Ali, A.; Islam, S.; Khan, M.R.; Rasheed, S.; Allehiany, F.M.; Baili, J.; Khan, M.A.; Ahmad, H. Dynamics of a fractionalorder Zika virus model with mutant. Alex. Eng. J. 2021, 61, 4821–4836. [Google Scholar] [CrossRef]
- Ma, W.; Jin, M.; Liu, Y.; Xu, X. Empirical analysis of fractional differential equations model for relationship between enterprise management and fnancial performance. Chaos Solitons Fractals 2019, 125, 17–23. [Google Scholar] [CrossRef]
- Tien, D.N. Fractional stochastic di?erential equations with applications to finance. J. Math. Anal. Appl. 2013, 397, 334–348. [Google Scholar] [CrossRef]
- Ostalczyk, P. Discrete Fractional Calculus: Applications in Control and Image Processing. World Sci. 2016, 2016, 4. [Google Scholar]
- Chen, H.; Liu, M.; Chen, Y.; Li, S.; Miao, Y. Nonlinear lamb wave for structural incipient defect detection with sequential probabilistic ratio test. Secur. Commun. Netw. 2022, 2022, 9851533. [Google Scholar] [CrossRef]
- Li, X.; Dong, Z.Q.; Wang, L.P.; Niu, X.D.; Yamaguchi, H.; Li, D.C.; Yu, P. A magnetic field coupling fractional step lattice Boltzmann model for the complex interfacial behavior in magnetic multiphase flows. Appl. Math. Model. 2023, 117, 219–250. [Google Scholar] [CrossRef]
- Liu, Q.; Peng, H.; Wang, Z.A. Convergence to nonlinear diffusion waves for a hyperbolic-parabolic chemotaxis system modelling vasculogenesis. J. Differ. Equations 2022, 314, 251–286. [Google Scholar] [CrossRef]
- Xie, X.; Wang, T.; Zhang, W. Existence of solutions for the (p, q)-Laplacian equation with nonlocal Choquard reaction. Appl. Math. Lett. 2023, 135, 108418. [Google Scholar] [CrossRef]
- Zhang, Z.; Li, W.; Yang, J. Analysis of stochastic process to model safety risk in construction industry. J. Civ. Eng. Manag. 2021, 27, 87–99. [Google Scholar] [CrossRef]
- Zhang, H.; Yue, D.; Dou, C.; Zhao, W.; Xie, X. Data-driven distributed optimal consensus control for unknown multiagent systems with input-delay. IEEE Trans. Cybern. 2018, 49, 2095–2105. [Google Scholar] [CrossRef] [PubMed]
- Dang, W.; Guo, J.; Liu, M.; Liu, S.; Yang, B.; Yin, L.; Zheng, W. A semi-supervised extreme learning machine algorithm based on the new weighted kernel for machine smell. Appl. Sci. 2022, 12, 9213. [Google Scholar] [CrossRef]
- Duan, J.S.; Rach, R.; Baleanu, D.; Wazwaz, A.M. A review of the Adomian decomposition method and its applications to fractional differential equations. Commun. Fract. Calc. 2012, 3, 73–99. [Google Scholar]
- Kumar, A.; Kumar, S.; Yan, S.-P. Residual power series method for fractional di?usion equations. Fundam. Informaticae 2017, 151, 213–230. [Google Scholar] [CrossRef]
- Wang, K.L.; Wang, K.J. A modification of the reduced differential transform method for fractional calculus. Therm. Sci. 2018, 22, 1871–1875. [Google Scholar] [CrossRef]
- Biazar, J.; Ghazvini, H. Convergence of the homotopy perturbation method for partial differential equations. Nonlinear Anal. Real World Appl. 2019, 10, 2633–2640. [Google Scholar] [CrossRef]
- He, J.H.; Latifizadeh, H. A general numerical algorithm for nonlinear differential equations by the variational iteration method. Int. J. Numer. Methods Heat Fluid Flow, 2020; in press. [Google Scholar] [CrossRef]
- Das, S.; Gupta, P.K. Homotopy analysis method for solving fractional hyperbolic partial differential equations. Int. J. Comput. Math. 2011, 88, 578–588. [Google Scholar] [CrossRef]
- Jin, H.Y.; Wang, Z.A.; Wu, L. Global dynamics of a three-species spatial food chain model. J. Differ. Equ. 2022, 333, 144–183. [Google Scholar] [CrossRef]
- Lu, S.; Ban, Y.; Zhang, X.; Yang, B.; Yin, L.; Liu, S.; Zheng, W. Adaptive control of time delay teleoperation system with uncertain dynamics. Front. Neurorobotics 2022, 152, 928863. [Google Scholar] [CrossRef] [PubMed]
- Lu, S.; Guo, J.; Liu, S.; Yang, B.; Liu, M.; Yin, L.; Zheng, W. An improved algorithm of drift compensation for olfactory sensors. Appl. Sci. 2022, 12, 9529. [Google Scholar] [CrossRef]
- Khater, M.M. Novel computational simulation of the propagation of pulses in optical fibers regarding the dispersion effect. Int. Mod. Phys. 2022, 2022, 2350083. [Google Scholar] [CrossRef]
- Khater, M. Analytical and numerical-simulation studies on a combined mKdV-KdV system in the plasma and solid physics. Eur. Phys. Plus 2022, 137, 1–9. [Google Scholar]
- Khater, M.M. Nonlinear biological population model; computational and numerical investigations. Chaos Solitons Fractals 2022, 162, 112388. [Google Scholar] [CrossRef]
- Zada, L.; Nawaz, R.; Alqudah, M.A.; Nisar, K.S. A new technique for approximate solution of fractional-order partial differential equations. Fractals 2022, 30, 2240015. [Google Scholar] [CrossRef]
- Jhangeer, A.; Almusawa, H.; Rahman, R.U. Fractional derivative-based performance analysis to Caudrey-Dodd-Gibbon-Sawada-Kotera equation. Results Phys. 2022, 36, 105356. [Google Scholar] [CrossRef]
- Majeed, A.; Rafiq, M.N.; Kamran, M.; Abbas, M.; Inc, M. Analytical solutions of the fifth-order time fractional nonlinear evolution equations by the unified method. Mod. Phys. Lett. 2022, 36, 2150546. [Google Scholar] [CrossRef]
- Ciancio, A.; Yel, G.; Kumar, A.; Baskonus, H.M.; Ilhan, E. On the complex mixed dark-bright wave distributions to some conformable nonlinear integrable models. Fractals 2022, 30, 2240018. [Google Scholar] [CrossRef]
- Liu, F.-Y.; Gao, Y.-T.; Yu, X.; Hu, L.; Wu, X.-H. Hybrid solutions for the (2+1)-dimensional variable-coefficient Caudrey-Dodd-Gibbon-Kotera-Sawada equation in fluid mechanics. Chaos Solitons Fractals 2021, 152, 111355. [Google Scholar] [CrossRef]
- Ghanbari, B. Employing Hirota’s bilinear form to find novel lump waves solutions to an important nonlinear model in fluid mechanics. Results Phys. 2022, 29, 104689. [Google Scholar] [CrossRef]
- Singh, J.; Gupta, A.; Baleanu, D. On the analysis of an analytical approach for fractional Caudrey-Dodd-Gibbon equations. Alex. Eng. J. 2022, 61, 5073–5082. [Google Scholar] [CrossRef]
- Veeresha, P.; Prakasha, D.G. A reliable analytical technique for fractional Caudrey-Dodd-Gibbon equation with Mittag-Leffler kernel. Nonlinear Eng. 2020, 9, 319–328. [Google Scholar] [CrossRef]
- Wazwaz, A.M. Analytic study of the fifth order integrable nonlinear evolution equations by using the tanh method. Appl. Math. Comput. 2006, 174, 289–299. [Google Scholar] [CrossRef]
- Wazwaz, A.M. Multiple-soliton solutions for the fifth order Caudrey-Dodd-Gibbon (CDG) equation. Appl. Math. Comput. 2008, 197, 719–724. [Google Scholar] [CrossRef]
- Zhou, M.X.; Kanth, A.S.V.; Aruna, K.; Raghavendar, K.; Rezazadeh, H.; Inc, M.; Aly, A.A. Numerical Solutions of Time Fractional Zakharov-Kuznetsov Equation via Natural Transform Decomposition Method with Nonsingular Kernel Derivatives. J. Funct. Spaces 2021, 2021, 9884027. [Google Scholar] [CrossRef]
- Adomian, G. A new approach to nonlinear partial differential equations. J. Math. Anal. Appl. 1984, 102, 420–434. [Google Scholar] [CrossRef]
- Adomian, G. Solving Frontier Problems of Physics: The Decomposition Method; Springer Dordrecht: Dordrecht, The Netherlands, 1994. [Google Scholar] [CrossRef]
Disclaimer/Publisher’s Note: The statements, opinions and data contained in all publications are solely those of the individual author(s) and contributor(s) and not of MDPI and/or the editor(s). MDPI and/or the editor(s) disclaim responsibility for any injury to people or property resulting from any ideas, methods, instructions or products referred to in the content. |
© 2023 by the authors. Licensee MDPI, Basel, Switzerland. This article is an open access article distributed under the terms and conditions of the Creative Commons Attribution (CC BY) license (https://creativecommons.org/licenses/by/4.0/).



