Carrier-Envelope Phase-Controlled Residual Current in Semiconductors
Abstract
1. Introduction
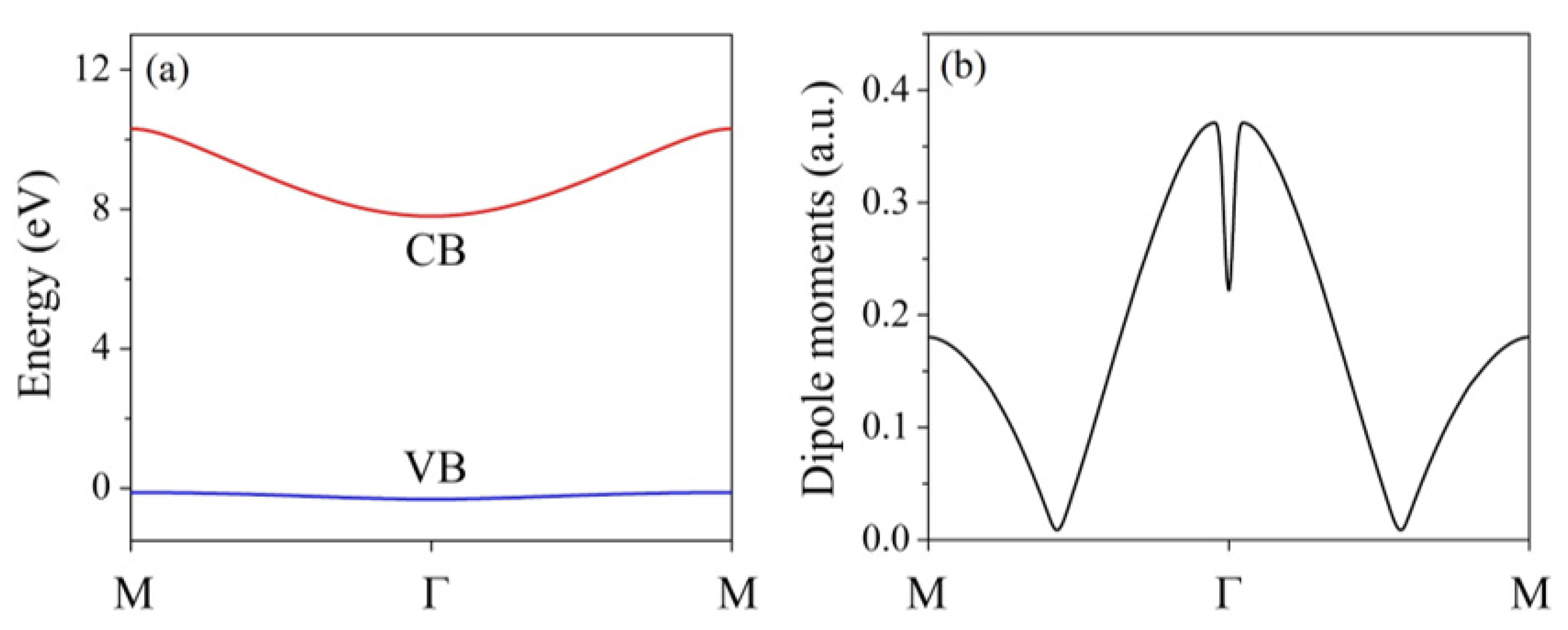
2. Theoretical Model
3. Results
4. Conclusions
Author Contributions
Funding
Data Availability Statement
Conflicts of Interest
References
- Zener, C. A Theory of the Electrical Breakdown of Solid Dielectrics. Proc. R. Soc. Lond. A 1934, 145, 523–529. [Google Scholar] [CrossRef]
- Keldysh, L.V. Behavior of Non-Metallic Crystals in Strong Electric Fields. Sov. Phys. JETP 1958, 6, 763–770. [Google Scholar]
- Brabec, T.; Krausz, F. Intense Few-Cycle Laser Fields: Frontiers of Nonlinear Optics. Rev. Mod. Phys. 2000, 72, 545–591. [Google Scholar] [CrossRef]
- Ghimire, S.; DiChiara, A.D.; Sistrunk, E.; Agostini, P.; DiMauro, L.F.; Reis, D.A. Observation of High-Order Harmonic Generation in a Bulk Crystal. Nat. Phys. 2011, 7, 138–141. [Google Scholar] [CrossRef]
- Schultze, M.; Ramasesha, K.; Pemmaraju, C.D.; Sato, S.A.; Whitmore, D.; Gandman, A.; Prell, J.S.; Borja, L.J.; Prendergast, D.; Yabana, K.; et al. Attosecond Band-Gap Dynamics in Silicon. Science 2014, 346, 1348–1352. [Google Scholar] [CrossRef]
- Agostini, P.; Fabre, F.; Mainfray, G.; Petite, G.; Rahman, N.K. Free-Free Transitions Following Six-Photon Ionization of Xenon Atoms. Phys. Rev. Lett. 1979, 42, 1127–1130. [Google Scholar] [CrossRef]
- Vampa, G.; Hammond, T.J.; Thiré, N.; Schmidt, B.E.; Légaré, F.; McDonald, C.R.; Brabec, T.; Corkum, P.B. Linking High Harmonics from Gases and Solids. Nature 2015, 522, 462–464. [Google Scholar] [CrossRef]
- Hohenleutner, M.; Langer, F.; Schubert, O.; Knorr, M.; Huttner, U.; Koch, S.W.; Kira, M.; Huber, R. Real-Time Observation of Interfering Crystal Electrons in High-Harmonic Generation. Nature 2015, 523, 572–575. [Google Scholar] [CrossRef]
- Luu, T.T.; Garg, M.; Kruchinin, S.Y.; Moulet, A.; Hassan, M.T.; Goulielmakis, E. Extreme Ultraviolet High-Harmonic Spectroscopy of Solids. Nature 2015, 521, 498–502. [Google Scholar] [CrossRef]
- Schubert, O.; Hohenleutner, M.; Langer, F.; Urbanek, B.; Lange, C.; Huttner, U.; Golde, D.; Meier, T.; Kira, M.; Koch, S.W.; et al. Sub-Cycle Control of Terahertz High-Harmonic Generation by Dynamical Bloch Oscillations. Nat. Photonics 2014, 8, 119–123. [Google Scholar] [CrossRef]
- Hentschel, M.; Kienberger, R.; Spielmann, C.; Reider, G.A.; Milosevic, N.; Brabec, T.; Corkum, P.; Heinzmann, U.; Drescher, M.; Krausz, F. Attosecond Metrology. Nature 2001, 414, 509–513. [Google Scholar] [CrossRef] [PubMed]
- Vampa, G.; Hammond, T.J.; Thiré, N.; Schmidt, B.E.; Légaré, F.; McDonald, C.R.; Brabec, T.; Klug, D.D.; Corkum, P.B. All-Optical Reconstruction of Crystal Band Structure. Phys. Rev. Lett. 2015, 115, 193603. [Google Scholar] [CrossRef] [PubMed]
- Luu, T.T.; Wörner, H.J. Measurement of the Berry Curvature of Solids Using High-Harmonic Spectroscopy. Nat. Commun. 2018, 9, 916. [Google Scholar] [CrossRef] [PubMed]
- Lakhotia, H.; Kim, H.Y.; Zhan, M.; Hu, S.; Meng, S.; Goulielmakis, E. Laser Picoscopy of Valence Electrons in Solids. Nature 2020, 583, 55–59. [Google Scholar] [CrossRef] [PubMed]
- Liu, H.; Li, Y.; You, Y.S.; Ghimire, S.; Heinz, T.F.; Reis, D.A. High-Harmonic Generation from an Atomically Thin Semiconductor. Nat. Phys. 2017, 13, 262–265. [Google Scholar] [CrossRef]
- Yoshikawa, N.; Tamaya, T.; Tanaka, K. High-Harmonic Generation in Graphene Enhanced by Elliptically Polarized Light Excitation. Science 2017, 356, 736–738. [Google Scholar] [CrossRef]
- Yu, C.; Jiang, S.; Wu, T.; Yuan, G.; Wang, Z.; Jin, C.; Lu, R. Two-Dimensional Imaging of Energy Bands from Crystal Orientation Dependent Higher-Order Harmonic Spectra in h—BN. Phys. Rev. B 2018, 98, 085439. [Google Scholar] [CrossRef]
- Tancogne-Dejean, N.; Rubio, A. Atomic-like High-Harmonic Generation from Two-Dimensional Materials. Sci. Adv. 2018, 4, eaao5207. [Google Scholar] [CrossRef]
- Yu, C.; Jiang, S.; Wu, T.; Yuan, G.; Peng, Y.; Jin, C.; Lu, R. Higher Harmonic Generation from Bilayer Nanostructures Assisted by Electron Backscattering. Phys. Rev. B 2020, 102, 241407. [Google Scholar] [CrossRef]
- Kobayashi, Y.; Heide, C.; Kelardeh, H.K.; Johnson, A.; Liu, F.; Heinz, T.F.; Reis, D.A.; Ghimire, S. Polarization Flipping of Even-Order Harmonics in Monolayer Transition-Metal Dichalcogenides. Ultrafast Sci. 2021, 2021, 1–9. [Google Scholar] [CrossRef]
- Yao, H.-D.; Cui, B.; Ma, S.-Q.; Yu, C.; Lu, R.-F. Enhancing high harmonic generation in bilayer MoS2 by interlayer atomic dislocation. Acta Phys. Sin. 2021, 70, 134207. [Google Scholar] [CrossRef]
- Wu, T.; Yuan, G.; Zhang, X.; Wang, Z.; Yi, Z.; Yu, C.; Lu, R. Effect of Stacking Configuration on High Harmonic Generation from Bilayer Hexagonal Boron Nitride. Opt. Express 2023, 31, 9817–9826. [Google Scholar] [CrossRef]
- Bai, Y.; Fei, F.; Wang, S.; Li, N.; Li, X.; Song, F.; Li, R.; Xu, Z.; Liu, P. High-Harmonic Generation from Topological Surface States. Nat. Phys. 2021, 17, 311–315. [Google Scholar] [CrossRef]
- Qian, C.; Yu, C.; Jiang, S.; Zhang, T.; Gao, J.; Shi, S.; Pi, H.; Weng, H.; Lu, R. Role of Shift Vector in High-Harmonic Generation from Noncentrosymmetric Topological Insulators under Strong Laser Fields. Phys. Rev. X 2022, 12, 021030. [Google Scholar] [CrossRef]
- Hansen, T.; Jensen, S.V.B.; Madsen, L.B. Correlation Effects in High-Order Harmonic Generation from Finite Systems. Phys. Rev. A 2022, 105, 053118. [Google Scholar] [CrossRef]
- Shao, C.; Lu, H.; Zhang, X.; Yu, C.; Tohyama, T.; Lu, R. High-Harmonic Generation Approaching the Quantum Critical Point of Strongly Correlated Systems. Phys. Rev. Lett. 2022, 128, 047401. [Google Scholar] [CrossRef]
- Luu, T.T.; Yin, Z.; Jain, A.; Gaumnitz, T.; Pertot, Y.; Ma, J.; Wörner, H.J. Extreme–Ultraviolet High–Harmonic Generation in Liquids. Nat. Commun. 2018, 9, 3723. [Google Scholar] [CrossRef]
- Zeng, A.; Bian, X. Impact of Statistical Fluctuations on High Harmonic Generation in Liquids. Phys. Rev. Lett. 2020, 124, 203901. [Google Scholar] [CrossRef]
- Peng, Y.; Wu, T.; Yuan, G.; Chi, L.; Jiang, S.; Dorfman, K.; Yu, C.; Lu, R. Solid State–like High Harmonic Generation from Cluster Molecules with Rotational Periodicities. Sci. Adv. 2023, 9, eadd6810. [Google Scholar] [CrossRef]
- Neufeld, O.; Nourbakhsh, Z.; Tancogne-Dejean, N.; Rubio, A. Ab Initio Cluster Approach for High Harmonic Generation in Liquids. J. Chem. Theory Comput. 2022, 18, 4117–4126. [Google Scholar] [CrossRef]
- Schultze, M.; Bothschafter, E.M.; Sommer, A.; Holzner, S.; Schweinberger, W.; Fiess, M.; Hofstetter, M.; Kienberger, R.; Apalkov, V.; Yakovlev, V.S.; et al. Controlling Dielectrics with the Electric Field of Light. Nature 2013, 493, 75–78. [Google Scholar] [CrossRef] [PubMed]
- Jones, D.J.; Diddams, S.A.; Ranka, J.K.; Stentz, A.; Windeler, R.S.; Hall, J.L.; Cundiff, S.T. Carrier-Envelope Phase Control of Femtosecond Mode-Locked Lasers and Direct Optical Frequency Synthesis. Science 2000, 288, 635–639. [Google Scholar] [CrossRef]
- Krausz, F.; Stockman, M.I. Attosecond Metrology: From Electron Capture to Future Signal Processing. Nat. Photonics 2014, 8, 205–213. [Google Scholar] [CrossRef]
- Hughes, S. Breakdown of the Area Theorem: Carrier-Wave Rabi Flopping of Femtosecond Optical Pulses. Phys. Rev. Lett. 1998, 81, 3363. [Google Scholar] [CrossRef]
- Wismer, M.S.; Kruchinin, S.Y.; Ciappina, M.; Stockman, M.I.; Yakovlev, V.S. Strong-Field Resonant Dynamics in Semiconductors. Phys. Rev. Lett. 2016, 116, 197401. [Google Scholar] [CrossRef] [PubMed]
- Mücke, O.D.; Tritschler, T.; Wegener, M.; Morgner, U.; Kärtner, F.X. Signatures of Carrier-Wave Rabi Flopping in GaAs. Phys. Rev. Lett. 2001, 87, 057401. [Google Scholar] [CrossRef]
- Cundiff, S.T.; Knorr, A.; Feldmann, J.; Koch, S.W.; Göbel, E.O.; Nickel, H. Rabi Flopping in Semiconductors. Phys. Rev. Lett. 1994, 73, 1178–1181. [Google Scholar] [CrossRef]
- Mücke, O.D.; Tritschler, T.; Wegener, M.; Morgner, U.; Kärtner, F.X.; Khitrova, G.; Gibbs, H.M. Carrier-Wave Rabi Flopping: Role of the Carrier-Envelope Phase. Opt. Lett. 2004, 29, 2160–2162. [Google Scholar] [CrossRef]
- McDonald, C.R.; Vampa, G.; Corkum, P.B.; Brabec, T. Interband Bloch Oscillation Mechanism for High-Harmonic Generation in Semiconductor Crystals. Phys. Rev. A 2015, 92, 033845. [Google Scholar] [CrossRef]
- Xiang, Y.; Niu, Y.; Gong, S. Control of the High-Order Harmonics Cutoff through the Combination of a Chirped Laser and Static Electric Field. Phys. Rev. A 2009, 79, 053419. [Google Scholar] [CrossRef]
- Yu, C.; Zhang, X.; Jiang, S.; Cao, X.; Yuan, G.; Wu, T.; Bai, L.; Lu, R. Dependence of High-Order-Harmonic Generation on Dipole Moment in SiO2 Crystals. Phys. Rev. A 2016, 94, 013846. [Google Scholar] [CrossRef]
- Kresse, G.; Furthmüller, J. Efficient Iterative Schemes for Ab Initio Total-Energy Calculations Using a Plane-Wave Basis Set. Phys. Rev. B 1996, 54, 11169–11186. [Google Scholar] [CrossRef] [PubMed]
- Schiffrin, A.; Paasch-Colberg, T.; Karpowicz, N.; Apalkov, V.; Gerster, D.; Mühlbrandt, S.; Korbman, M.; Reichert, J.; Schultze, M.; Holzner, S.; et al. Optical-Field-Induced Current in Dielectrics. Nature 2013, 493, 70–74. [Google Scholar] [CrossRef]
- Jiang, S.; Yu, C.; Yuan, G.; Wu, T.; Wang, Z.; Lu, R. Quantum-Trajectory Analysis for Charge Transfer in Solid Materials Induced by Strong Laser Fields. J. Phys. Condens. Matter 2017, 29, 275702. [Google Scholar] [CrossRef] [PubMed]
- Yu, C.; Jiang, S.; Lu, R. High Order Harmonic Generation in Solids: A Review on Recent Numerical Methods. Adv. Phys. X 2019, 4, 1562982. [Google Scholar] [CrossRef]
- Golde, D.; Meier, T.; Koch, S.W. Microscopic Analysis of Extreme Nonlinear Optics in Semiconductor Nanostructures. J. Opt. Soc. Am. B 2006, 23, 2559–2565. [Google Scholar] [CrossRef]
- Golde, D.; Meier, T.; Koch, S.W. High Harmonics Generated in Semiconductor Nanostructures by the Coupled Dynamics of Optical Inter- and Intraband Excitations. Phys. Rev. B 2008, 77, 075330. [Google Scholar] [CrossRef]
- Golde, D.; Kira, M.; Meier, T.; Koch, S.W. Microscopic Theory of the Extremely Nonlinear Terahertz Response of Semiconductors. Phys. Stat. Sol. 2011, 248, 863–866. [Google Scholar] [CrossRef]
- Földi, P.; Benedict, M.G.; Yakovlev, V.S. The Effect of Dynamical Bloch Oscillations on Optical-Field-Induced Current in a Wide-Gap Dielectric. New J. Phys. 2013, 15, 063019. [Google Scholar] [CrossRef]
- Jiang, S.; Wei, H.; Chen, J.; Yu, C.; Lu, R.; Lin, C.D. Effect of Transition Dipole Phase on High-Order-Harmonic Generation in Solid Materials. Phys. Rev. A 2017, 96, 053850. [Google Scholar] [CrossRef]
- Jiang, S.; Chen, J.; Wei, H.; Yu, C.; Lu, R.; Lin, C.D. Role of the Transition Dipole Amplitude and Phase on the Generation of Odd and Even High-Order Harmonics in Crystals. Phys. Rev. Lett. 2018, 120, 253201. [Google Scholar] [CrossRef] [PubMed]






Disclaimer/Publisher’s Note: The statements, opinions and data contained in all publications are solely those of the individual author(s) and contributor(s) and not of MDPI and/or the editor(s). MDPI and/or the editor(s) disclaim responsibility for any injury to people or property resulting from any ideas, methods, instructions or products referred to in the content. |
© 2023 by the authors. Licensee MDPI, Basel, Switzerland. This article is an open access article distributed under the terms and conditions of the Creative Commons Attribution (CC BY) license (https://creativecommons.org/licenses/by/4.0/).
Share and Cite
Wu, T.; Yuan, G.; Wang, Z.; Zhang, X.; Yu, C.; Lu, R. Carrier-Envelope Phase-Controlled Residual Current in Semiconductors. Symmetry 2023, 15, 784. https://doi.org/10.3390/sym15040784
Wu T, Yuan G, Wang Z, Zhang X, Yu C, Lu R. Carrier-Envelope Phase-Controlled Residual Current in Semiconductors. Symmetry. 2023; 15(4):784. https://doi.org/10.3390/sym15040784
Chicago/Turabian StyleWu, Tong, Guanglu Yuan, Zishao Wang, Xiangyu Zhang, Chao Yu, and Ruifeng Lu. 2023. "Carrier-Envelope Phase-Controlled Residual Current in Semiconductors" Symmetry 15, no. 4: 784. https://doi.org/10.3390/sym15040784
APA StyleWu, T., Yuan, G., Wang, Z., Zhang, X., Yu, C., & Lu, R. (2023). Carrier-Envelope Phase-Controlled Residual Current in Semiconductors. Symmetry, 15(4), 784. https://doi.org/10.3390/sym15040784

