Numerical Simulation on Heat Transfer Augmentation by Using Innovative Hybrid Ribs in a Forward-Facing Contracting Channel
Abstract
1. Introduction
2. The Physical Model
3. The Problem Statement
3.1. Governing Equations
3.2. Grid Independent and Code Validation
4. Results and Discussion
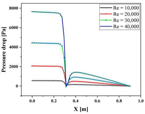
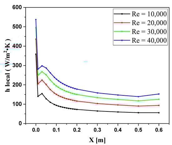
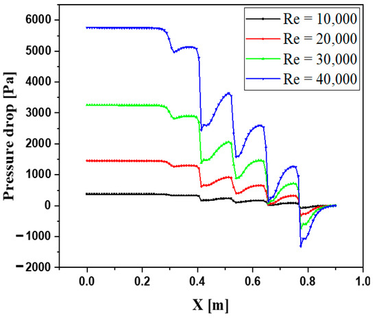
4.1. The Pressure Drop and Heat Transfer Coefficient without Ribs Shape
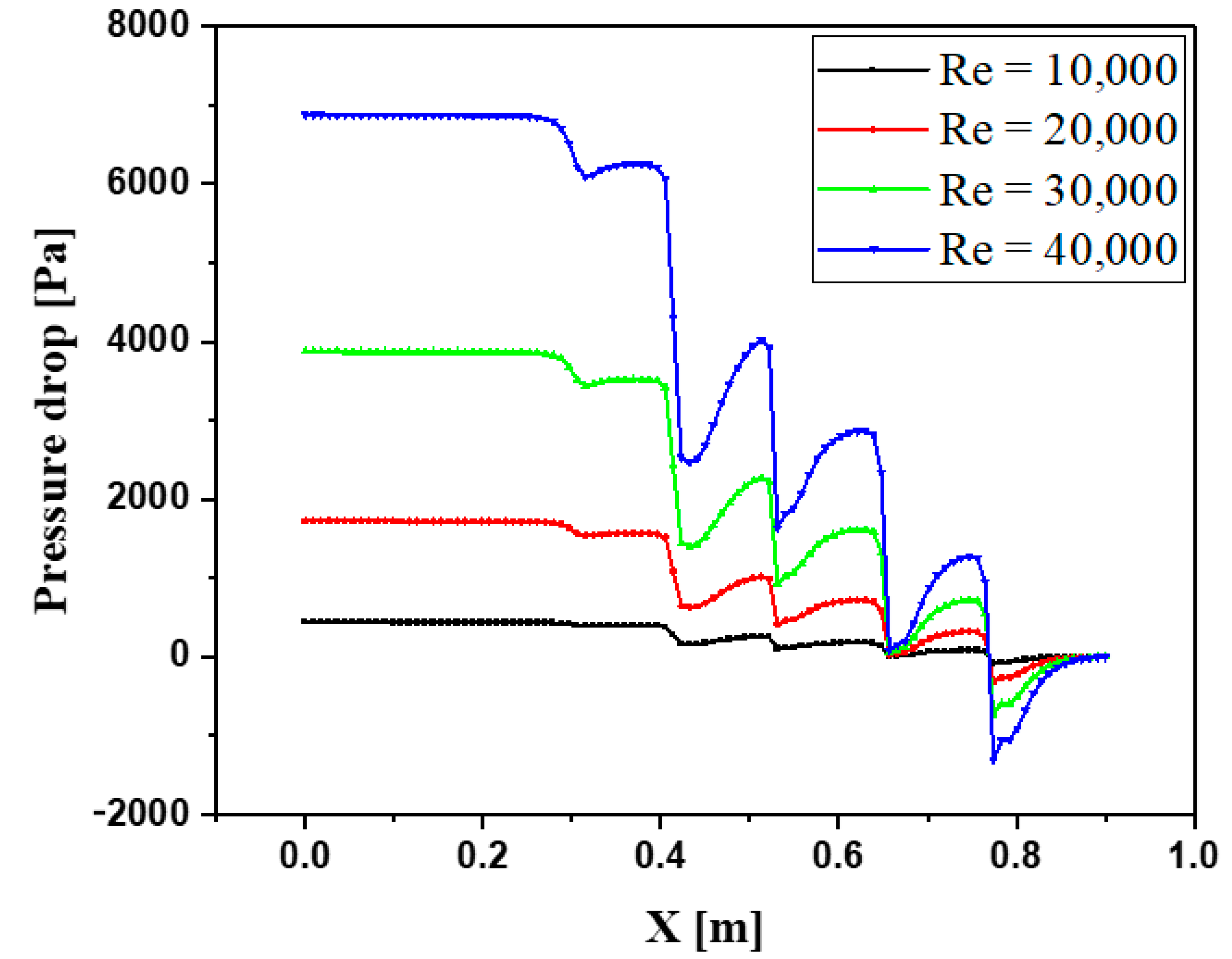
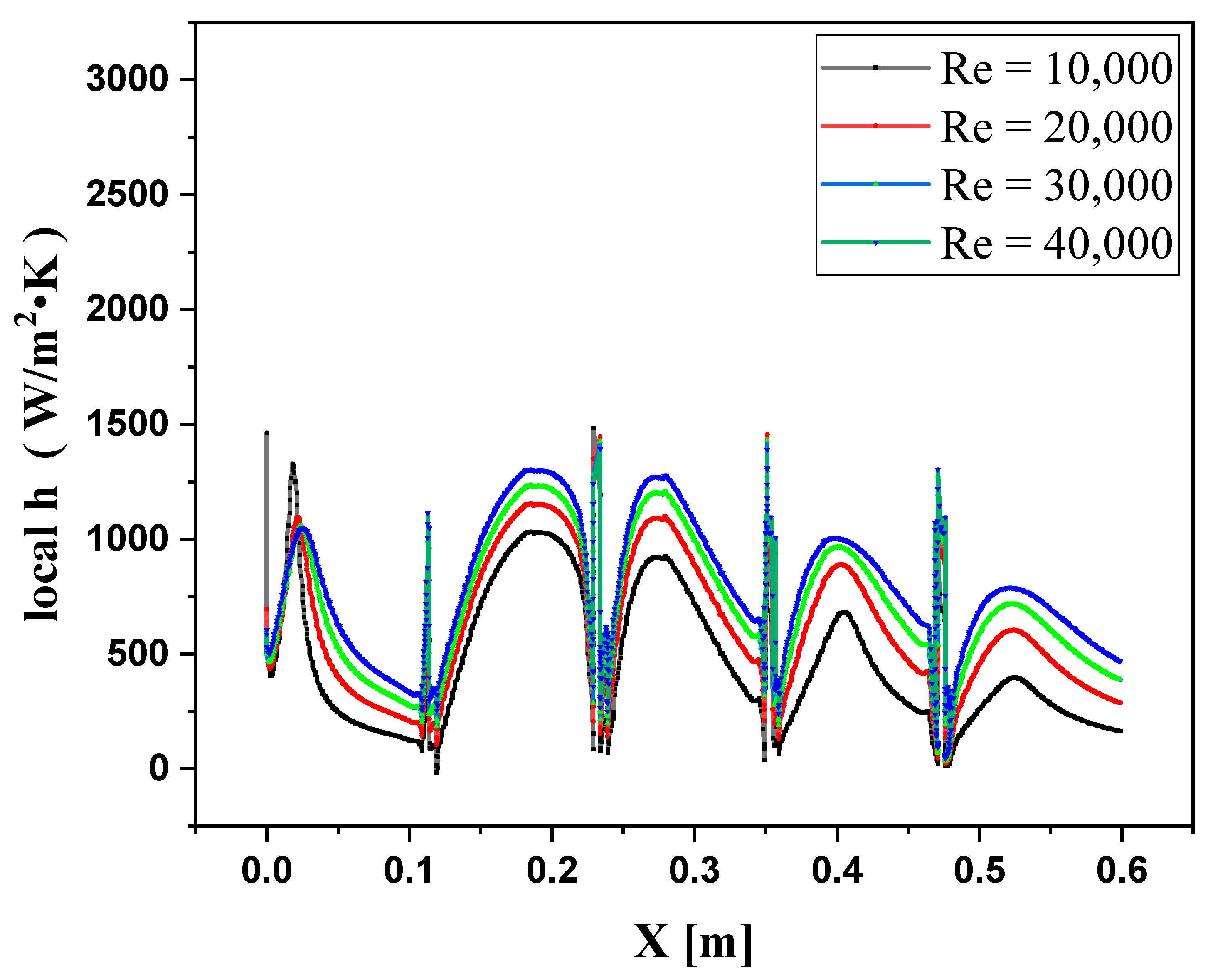
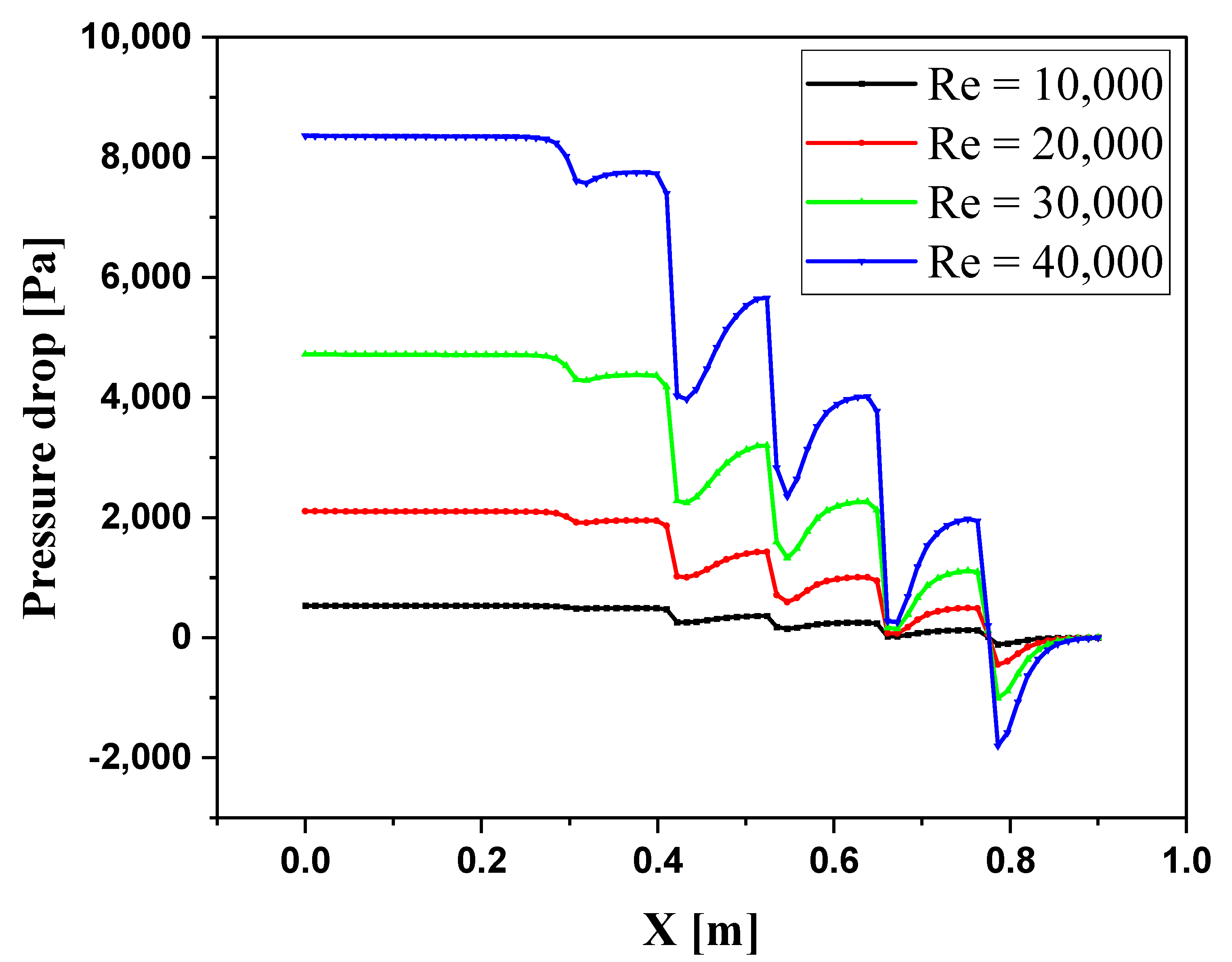
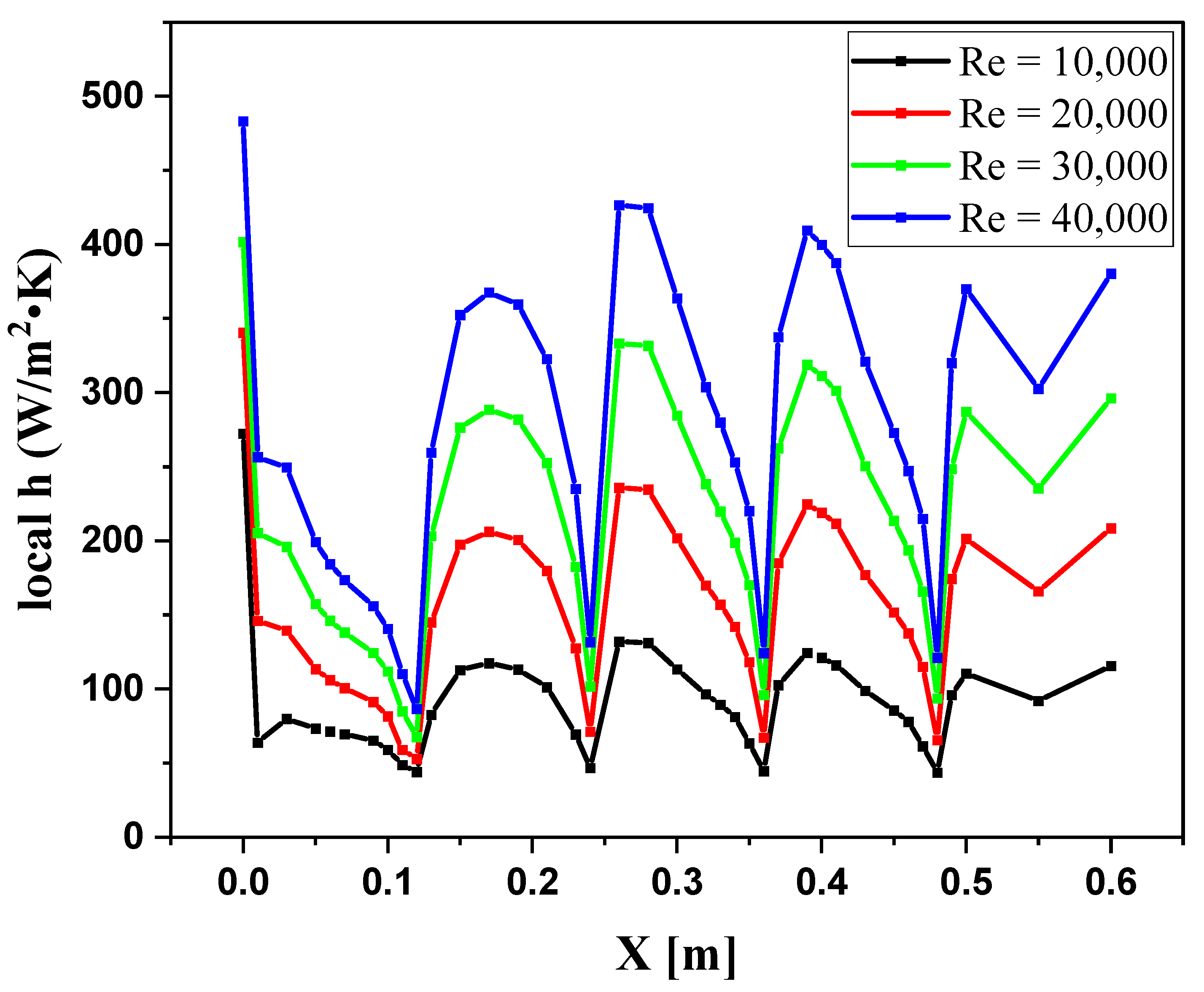
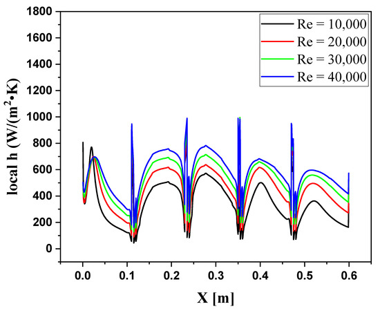
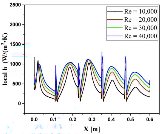
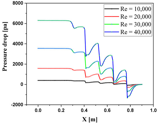
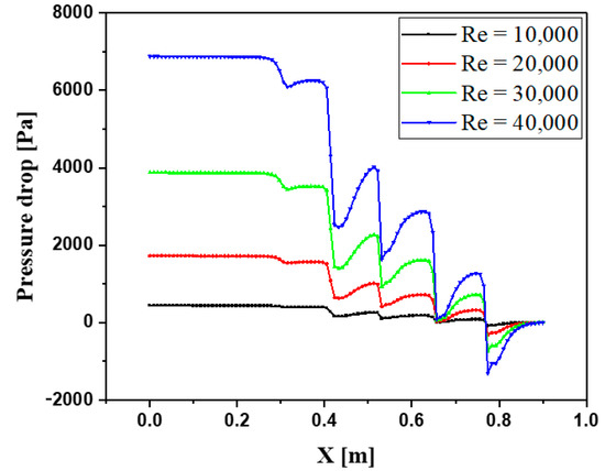
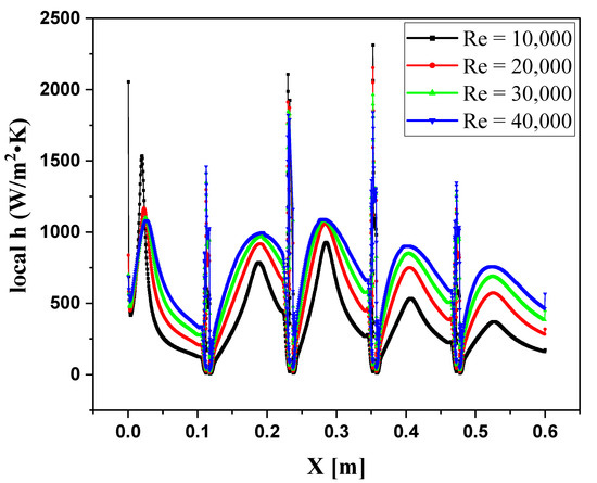
4.2. The Pressure Drop and Heat Transfer Coefficient of the Type of Ribs Shape
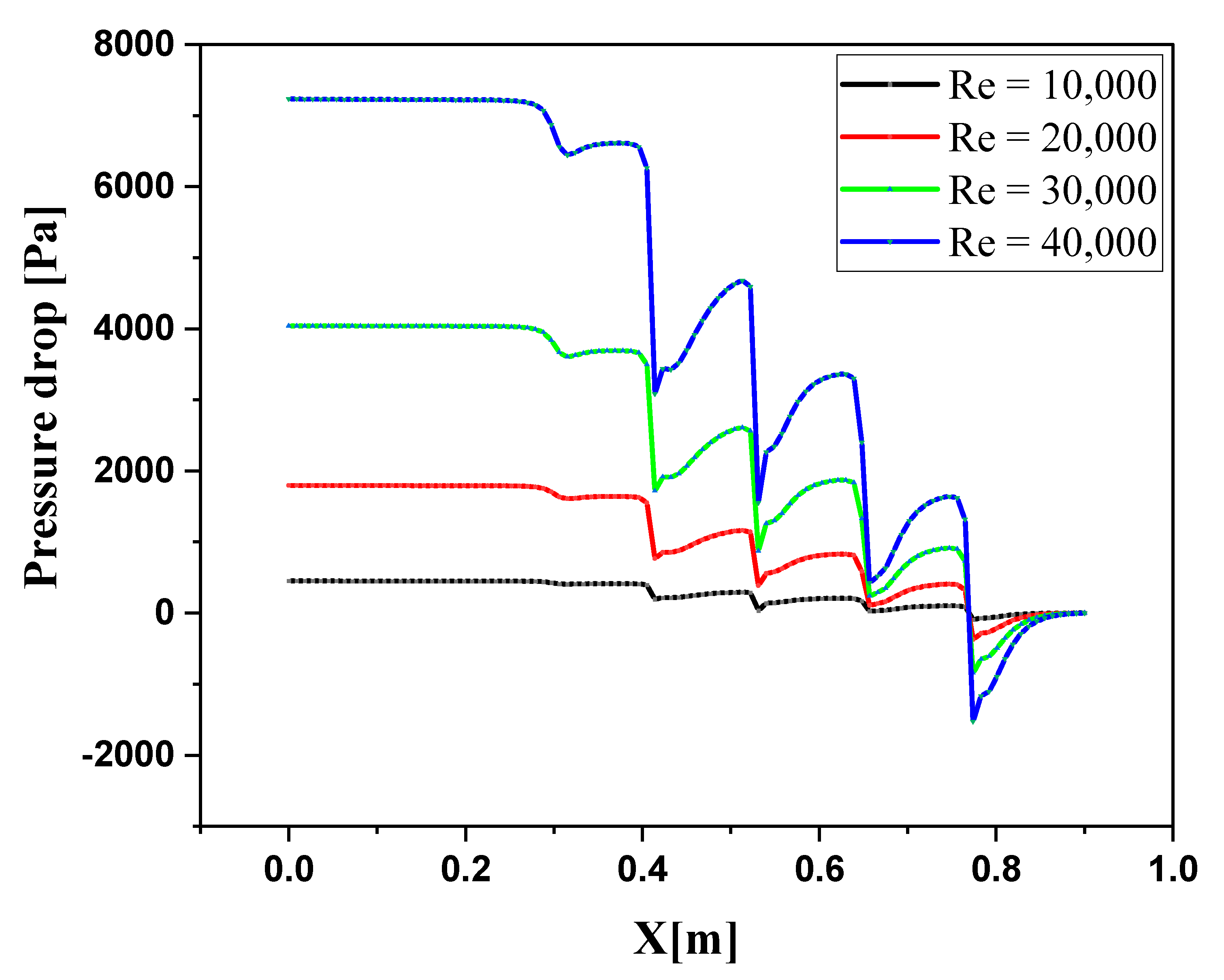
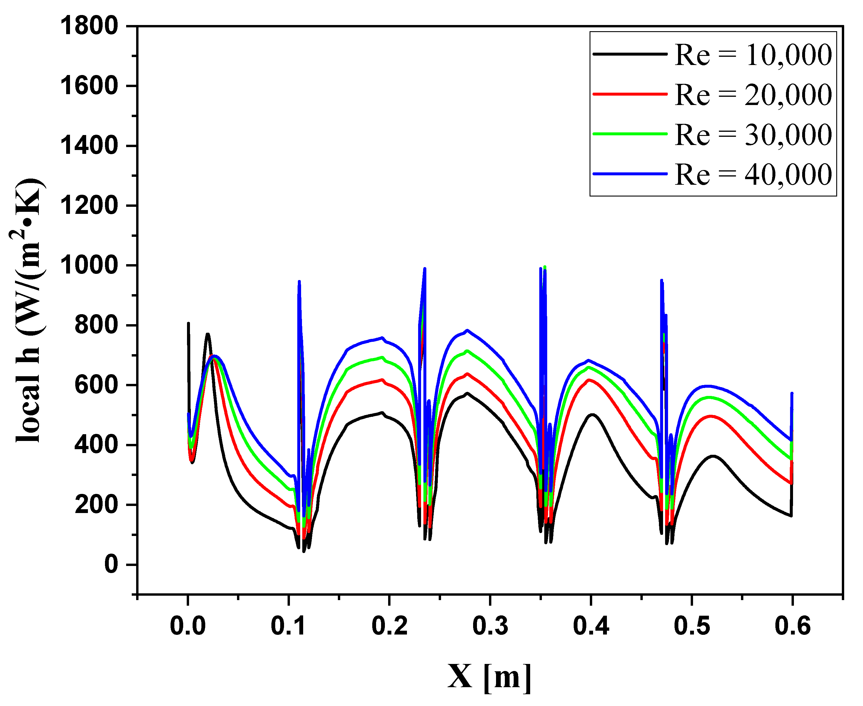
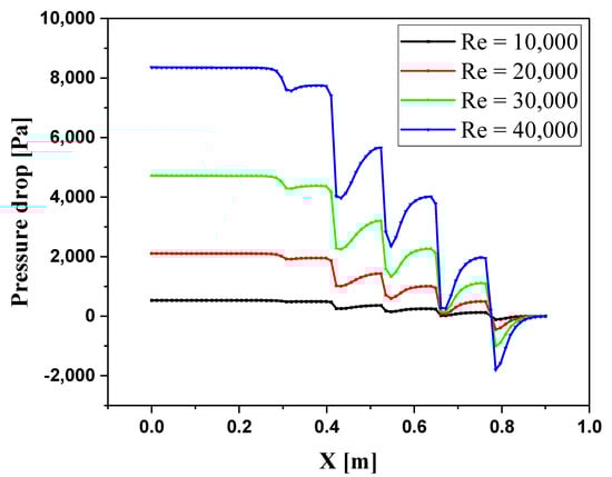
4.3. The Pressure Drop and Heat Transfer Coefficient of Triangular-Ribs Shape
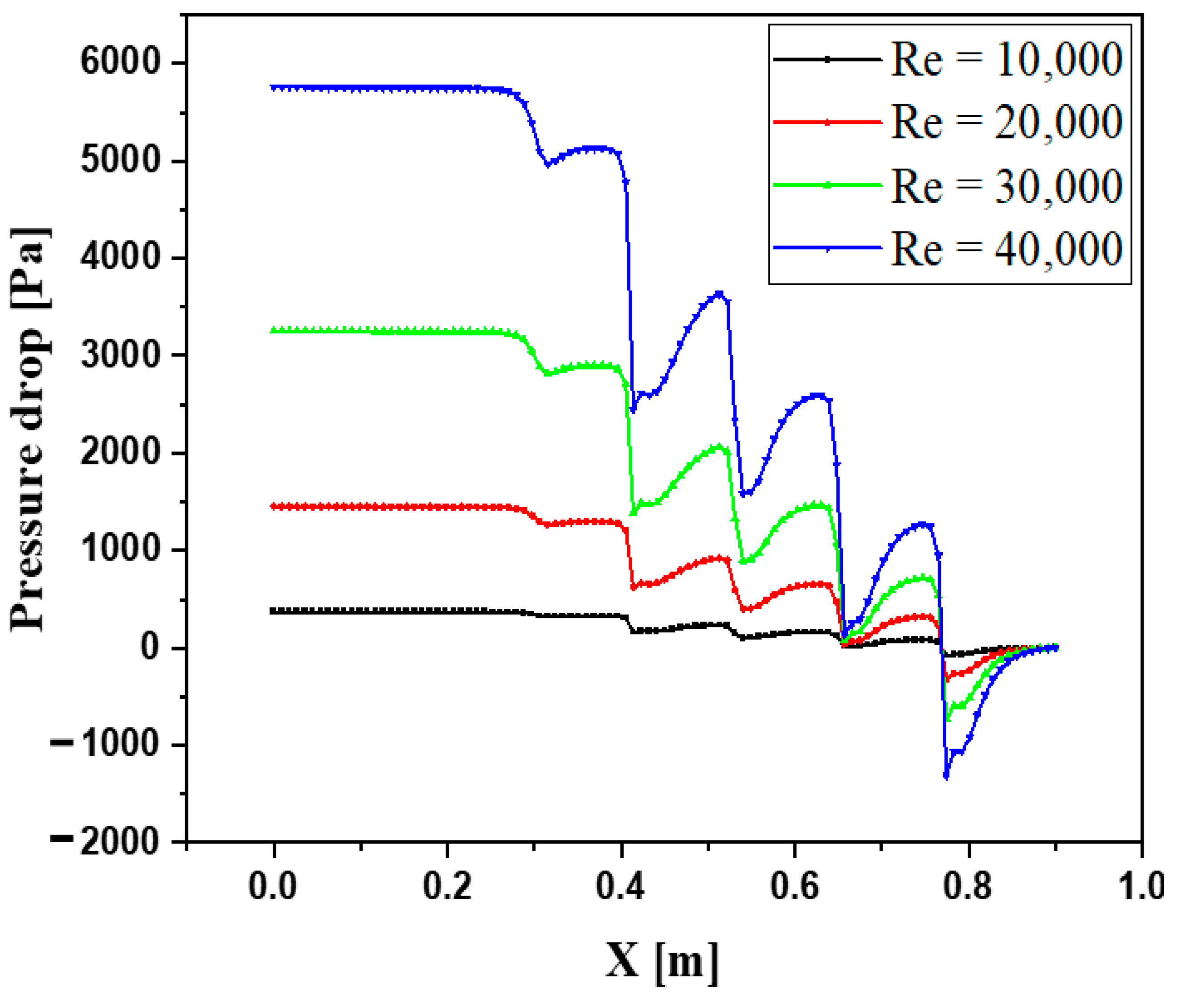
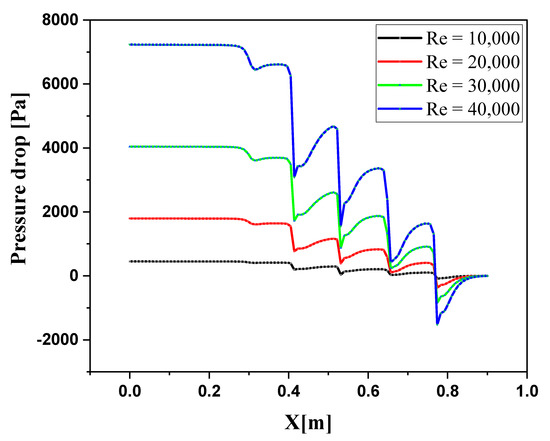
4.4. The Pressure Drop and Heat Transfer Coefficient of L-Ribs Shape
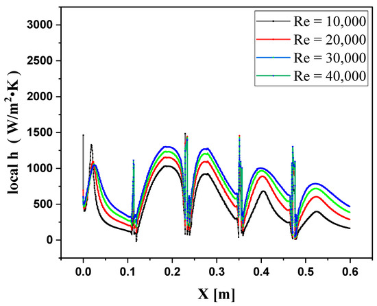
4.5. The Pressure Drop and Heat Transfer Coefficient of Trapezoidal-Ribs Shape
4.6. The Pressure Drop and Heat Transfer Coefficient of Cross-Ribs Shape
5. Conclusions
Author Contributions
Funding
Conflicts of Interest
References
- SriHarsha, V.; Prabhu, S.; Vedula, R. Influence of rib height on the local heat transfer distribution and pressure drop in a square channel with 90° continuous and 60° V-broken ribs. Appl. Therm. Eng. 2009, 29, 2444–2459. [Google Scholar] [CrossRef]
- Togun, H.; Homod, R.; Abdulrazzaq, T. Hybrid Al2O3-Cu/water nanofluid flow and heat transfer over vertical double forward-facing step. Therm. Sci. 2021, 25, 3517–3529. [Google Scholar] [CrossRef]
- Promyoog, P. Heat transfer and pressure drop in a channel with multiple 60° V-baffles. Int. Commun. Heat Mass Transf. 2010, 37, 835–840. [Google Scholar]
- Togun, H.; Hakim; Sultan, S.; Anjum, I.; Kazi, S. An experimental study of turbulent heat transfer separation external in an annular passage. In Proceedings of the International Conference on Applications and Design in Mechanical Engineering (ICADME 2009), Shenzhen, China, 19–20 September 2015. [Google Scholar]
- Sherry, M.; Jacono, D.L.; Sheridan, J. An experimental investigation of the recirculation zone formed downstream of a forward facing step. J. Wind. Engng. Ind. Aerodyn 2010, 98, 888–894. [Google Scholar] [CrossRef]
- Kazi, H.T.S.; Badarudin, A. A Review of Experimental Study of Turbulent Heat Transfer in Separated Flow. Aust. J. Basic Appl. Sci. 2011, 5, 489–505. [Google Scholar]
- Togun, H.; Salman, Y.; Aljibori, H.S.S.; Kazi, S. An experimental study of heat transfer to turbulent separation fluid flow in an annular passage. Int. J. Heat Mass Transf. 2011, 54, 766–773. [Google Scholar] [CrossRef]
- Gupta, A.; SriHarsha, V.; Prabhu, S.; Vedula, R. Local heat transfer distribution in a square channel with 90° continuous, 90° saw tooth profiled and 60° broken ribs. Exp. Therm. Fluid Sci. 2008, 32, 997–1010. [Google Scholar] [CrossRef]
- Oon, C.; Togun, H.; Kazi, S.; Badarudin, A.; Sadeghinezhad, E. Computational simulation of heat transfer to separation fluid flow in an annular passage. Int. Commun. Heat Mass Transf. 2013, 46, 92–96. [Google Scholar] [CrossRef]
- Lanzerstorfer, D.; Kuhlmann, H. Three-dimensional instability of the flow over a forward-facing step. J. Fluid Mech. 2012, 695, 390–404. [Google Scholar] [CrossRef]
- Hussein, T.; Kazi, S.; Kadhum, A.A.H.; Badarudin, A.; Sadeghinezhad, M.A.E. Numerical Study of Turbulent Heat Transfer in Separated Flow: Review. Int. Rev. Mech. Eng. 2013, 7, 337–349. [Google Scholar]
- Togun, H.; Homod, R.Z.; Yaseen, Z.M.; Abed, A.M.; Dhabab, J.M.; Ibrahem, R.K.; Dhahbi, S.; Rashidi, M.M.; Ahmadi, G.; Yaïci, W.; et al. Efficient Heat Transfer Augmentation in Channels with Semicircle Ribs and Hybrid Al2O3-Cu/Water Nanofluids. Nanomaterials 2022, 12, 2720. [Google Scholar] [CrossRef] [PubMed]
- Hattori, H.; Nagano, Y. Investigation of turbulent boundary layer over forward-facing step via direct numerical simulation. Int. J. Heat Fluid Flow 2010, 31, 284–294. [Google Scholar] [CrossRef]
- Togun, H.; Abdulrazzaq, T.; Kazi, S.; Badarudin, A.; Ariffin, M. Heat Transfer to Laminar Flow over a Double Backward v-Facing Step. Int. J. Mech. Ind. Sci. Eng. 2013, 7, 673–678. [Google Scholar]
- Scheit, C.; Esmaeili, A.; Becker, S. Direct numerical simulation of flow over a forward-facing step—Flow structure and aeroacoustic source regions. Int. J. Heat Fluid Flow 2013, 43, 184–193. [Google Scholar] [CrossRef]
- Biswas, G.; Breuer, M.; Durst, F. Backward-Facing Step Flows for Various Expansion Ratios at Low and Moderate Reynolds Numbers. J. Fluids Eng. 2004, 126, 362–374. [Google Scholar] [CrossRef]
- Armaly, B.F.; Durst, F.; Pereira, J.C.F.; Schönung, B. Experimental and theoretical investigation of backward-facing step flow. J. Fluid Mech. 1983, 127, 473–496. [Google Scholar] [CrossRef]
- Oztop, H.F.; Mushatet, K.S.; Y11maz, I. Analysis of turbulent flow and heat transfer over a double forward facing step with obstacles. Int. Commun. Heat Mass Transf. 2012, 39, 1395–1403. [Google Scholar] [CrossRef]
- Sano Masatoshi, S.I.; Kenichiro, S. Control of turbulent channel flow over a backward-facing step by suction. J. Fluid Sci. Technol. 2009, 4, 188–199. [Google Scholar] [CrossRef]
- Abe, K.; Kondoh, T.; Nagano, Y. A new turbulence model for predicting fluid flow and heat transfer in separating and reattaching flows—I. Flow field calculations. Int. J. Heat Mass Transfer. 1994, 37, 139–151. [Google Scholar] [CrossRef]
- Abe, K.; Kondoh, T.; Nagano, Y. A new turbulence model for predicting fluid flow and heat transfer in separating and reattaching flows—II. Thermal field calculations. Int. J. Heat Mass Transfer. 1995, 38, 1467–1481. [Google Scholar] [CrossRef]
- Vogel, J.C. Heat Transfer and Fluid Mechanics Measurements in the Turbulent Reattaching Flow Behind a Backward-Facing Step; Stanford University: Stanford, CA, USA, 1984. [Google Scholar]
- Terekhov, V.I.; Smul, Y.I.; Sharov, K.A. Experimental investigation of the separation flow structure behind a step in the presence of passive perturbation. Prikl. Mekh. Tekh. Fiz. 2016, 57, 207–215. [Google Scholar]
- Zhdanov, V.L.; Ivanov, D.A.; Smul’Skii, Y.I.; Terekhov, V.I. Influence of the Preseparation Flow Structure on the Characteristics of the Separation Region Behind a Backward-Facing Step. J. Eng. Phys. Thermophys. 2018, 91, 628–640. [Google Scholar] [CrossRef]
- Terekhov, V.I.; Dyachenko, A.Y.; Smulsky, Y.I. Heat and mass transfer behind a backward-facing step in the presence of detached vortex generators. AIP Conf. Proc. 2020, 2211, 080001. [Google Scholar] [CrossRef]
- Elwekeel, F.N.M.; Zheng, Q.; Abdala, A.M.M. Numerical Study of Turbulent Flow Through Rib-Roughened Channels with Mist Injection. Heat Transfer. 2014, 5A, 1–10. [Google Scholar]
- Tanda, G. Heat transfer in rectangular channels with transverse and V-shaped broken ribs. Int. J. Heat Mass Transf. 2004, 47, 229–243. [Google Scholar] [CrossRef]
- Hussein, T.; Safaei, M.R.; Rad, S.; Kazi, S.N.; Badarudin, A.; Hooman, K.; Sadeghinezhad, E. Numerical simulation of laminar to turbulent nanofluid flow and heat transfer over a backward-facing step. Appl. Math. Comput. 2014, 239, 153–170. [Google Scholar]
- Safaei, M.R.; Togun, H.; Vafai, K.; Kazi, S.N.; Badarudin, A. Investigation of Heat Transfer Enhancement in a Forward-Facing Contracting Channel Using FMWCNT Nanofluids. Numer. Heat Transfer Part A Appl. 2014, 66, 1321–1340. [Google Scholar] [CrossRef]
- Togun, H.; Ahmadi, G.; Abdulrazzaq, T.; Shkarah, A.J.; Kazi, S.N.; Badarudin, A.; Safaei, M.R. Thermal performance of nanofluid in ducts with double forward-facing steps. J. Taiwan Inst. Chem. Eng. 2015, 47, 28–42. [Google Scholar] [CrossRef]
- Mehrez, Z.; El Cafsi, A. Forced convection magnetohydrodynamic Al2O3–Cu/water hybrid nanofluid flow over a backward-facing step. J. Therm. Anal. Calorim. 2018, 135, 1417–1427. [Google Scholar] [CrossRef]
- Alrashed, A.A.; Akbari, O.A.; Heydari, A.; Toghraie, D.; Zarringhalam, M.; Shabani, G.A.S.; Seifi, A.R.; Goodarzi, M. The numerical modeling of water/FMWCNT nanofluid flow and heat transfer in a backward-facing contracting channel. Phys. B Condens. Matter 2018, 537, 176–183. [Google Scholar] [CrossRef]
- Togun, H.; Abdulrazzaq, T.; Kazi, S.; Badarudin, A.; Kadhum, A.; Sadeghinezhad, E. A review of studies on forced, natural and mixed heat transfer to fluid and nanofluid flow in an annular passage. Renew. Sustain. Energy Rev. 2014, 39, 835–856. [Google Scholar] [CrossRef]
- Hussein, H. Laminar CuO–water nanofluid flow and heat transfer in a backward-facing step with and without obstacle. Appl. Nanosci. 2016, 6, 371–378. [Google Scholar]
- Salman, S.; Abu Talib, A.; Saadon, S.; Sultan, M.H. Hybrid nanofluid flow and heat transfer over backward and forward steps: A review. Powder Technol. 2019, 363, 448–472. [Google Scholar] [CrossRef]
- Abdulrazzaq, T.; Togun, H.; Ariffin, M.K.; Kazi, S.N.; Badarudin, A.; Adam, N.M.; Masuri, S. Heat Transfer and Turbulent Fluid Flow over Vertical Double Forward-Facing Step. World Acad. Sci. Eng. Technol. 2014, 86, 722–726. [Google Scholar]
- Hussein, T.; Kazi, S.N.; Badarudin, A. Turbulent heat transfer to separation nanofluid flow in annular concentric pipe. Int. J. Therm. Sci. 2017, 117, 14–25. [Google Scholar]
- Salman, S.; Hilo, A.; Nfawa, S.R.; Sultan, M.T.H.; Saadon, S. Numerical study on the turbulent mixed convection heat transfer over 2D Microsclae backward facing step. CFD Lett. 2019, 11, 31–45. [Google Scholar]
- Manca, O.; Nardini, S.; Ricci, D. A numerical study of nanofluid forced convection in ribbed channels. Appl. Therm. Eng. 2012, 37, 280–292. [Google Scholar] [CrossRef]
- Togun, H. Turbulent Heat Transfer and Nanofluid Flow in a Pipe with Half Circle Ribs. WSEAS Trans. Heat Mass Transfer. 2017, 12, 136–143. [Google Scholar]
- Madani, K.; Maad, R.B.; Abidi-Saad, A. Numerical investigation of cooling a ribbed microchannel using nanofluid. J. Therm. Eng. 2018, 4, 2408–2422. [Google Scholar] [CrossRef]
- Andreozzi, A.; Manca, O.; Nardini, S.; Ricci, D. Forced convection enhancement in channels with transversal ribs and nanofluids. Appl. Therm. Eng. 2016, 98, 1044–1053. [Google Scholar] [CrossRef]
- Ziaei-Rad, M.; Beigi, M. Numerical study of turbulent nanofluid flow at the entrance region of a ribbed pipe. Phys. Scr. 2016, 91, 034004. [Google Scholar] [CrossRef]
- Ahmed, F.K.; Nawaf, T.S. Enhancement of Forced Convection Heat Transfer for SiO2 flow through Channel with Ribs at Constant Heat Flux. Int. J. Sci. Res. Manag. 2018, 6. [Google Scholar] [CrossRef]
- Shadlaghani, A.; Barhemmati-Rajab, N.; Zhao, W. Exergy analysis of the alumina nanofluid through a ribbed annular channel. In Proceedings of the 4th Thermal and Fluids Engineering Conference, Las Vegas, NV, USA, 14–17 April 2019. [Google Scholar]
- Pourfattah, F.; Akbari, O.A.; Jafrian, V.; Toghraie, D.; Pourfattah, E. Numerical simulation of turbulent flow and forced heat transfer of water/CuO nanofluid inside a horizontal dimpled fin. J. Therm. Anal. Calorim. 2019, 139, 3711–3724. [Google Scholar] [CrossRef]
- Abdulrazzaq, T.; Togun, H.; Alsulami, H.; Goodarzi, M.; Safaei, M.R. Heat Transfer Improvement in a Double Backward-Facing Expanding Channel Using Different Working Fluids. Symmetry 2020, 12, 1088. [Google Scholar] [CrossRef]
- Ali, S.; Ahmad, F.; Akhtar, K.; Habib, N.; Aamir, M.; Giasin, K.; Vafadar, A.; Pimenov, D.Y. Numerical Investigation of Microchannel Heat Sink with Trefoil Shape Ribs. Energies 2021, 14, 6764. [Google Scholar] [CrossRef]
- Ekiciler, R.; Çetinkaya, M.S.A. A comparative heat transfer study between monotype and hybrid nanofluid in a duct with various shapes of ribs. Therm. Sci. Eng. Prog. 2021, 23, 100913. [Google Scholar] [CrossRef]
- Wang, W.; Zhang, B.; Cui, L.; Zheng, H.; Klemeš, J.J.; Wang, J. Numerical study on heat transfer and flow characteristics of nanofluids in a circular tube with trapezoid ribs. Open Phys. 2021, 19, 224–233. [Google Scholar] [CrossRef]
- Alkumait, A.A.R.; Ibrahim, T.K.; Zaidan, M.H.; Al-Sammarraie, A.T. Thermal and hydraulic characteristics of TiO2/water nanofluid flow in tubes possessing internal trapezoidal and triangular rib shapes. J. Therm. Anal. Calorim. 2020, 147, 379–392. [Google Scholar] [CrossRef]
- Yang, J.; Liu, B.; Sundén, B. Effects of rib size and spacing on heat transfer and pressure drop in a rectangular channel with rib turbulators. Appl. Therm. Eng. 2017, 120, 392–402. [Google Scholar]
- Patil, M.S.; Seo, J.-H.; Panchal, S.; Jee, S.-W.; Lee, M.-Y. Investigation on thermal performance of water-cooled Li-ion pouch cell and pack at high discharge rate with U-turn type microchannel cold plate. Int. J. Heat Mass Transf. 2020, 155, 119728. [Google Scholar] [CrossRef]





































Disclaimer/Publisher’s Note: The statements, opinions and data contained in all publications are solely those of the individual author(s) and contributor(s) and not of MDPI and/or the editor(s). MDPI and/or the editor(s) disclaim responsibility for any injury to people or property resulting from any ideas, methods, instructions or products referred to in the content. |
© 2023 by the authors. Licensee MDPI, Basel, Switzerland. This article is an open access article distributed under the terms and conditions of the Creative Commons Attribution (CC BY) license (https://creativecommons.org/licenses/by/4.0/).
Share and Cite
Togun, H.; Hamidatou, S.; Mohammed, H.I.; Abed, A.M.; Hasan, H.A.; Homod, R.Z.; Al-Fatlawi, A.W.; Al-Thamir, M.; Abdulrazzaq, T. Numerical Simulation on Heat Transfer Augmentation by Using Innovative Hybrid Ribs in a Forward-Facing Contracting Channel. Symmetry 2023, 15, 690. https://doi.org/10.3390/sym15030690
Togun H, Hamidatou S, Mohammed HI, Abed AM, Hasan HA, Homod RZ, Al-Fatlawi AW, Al-Thamir M, Abdulrazzaq T. Numerical Simulation on Heat Transfer Augmentation by Using Innovative Hybrid Ribs in a Forward-Facing Contracting Channel. Symmetry. 2023; 15(3):690. https://doi.org/10.3390/sym15030690
Chicago/Turabian StyleTogun, Hussein, S. Hamidatou, Hayder I. Mohammed, Azher. M. Abed, Husam Abdulrasool Hasan, Raad Z. Homod, Ali Wadi Al-Fatlawi, Mohaimen Al-Thamir, and Tuqa Abdulrazzaq. 2023. "Numerical Simulation on Heat Transfer Augmentation by Using Innovative Hybrid Ribs in a Forward-Facing Contracting Channel" Symmetry 15, no. 3: 690. https://doi.org/10.3390/sym15030690
APA StyleTogun, H., Hamidatou, S., Mohammed, H. I., Abed, A. M., Hasan, H. A., Homod, R. Z., Al-Fatlawi, A. W., Al-Thamir, M., & Abdulrazzaq, T. (2023). Numerical Simulation on Heat Transfer Augmentation by Using Innovative Hybrid Ribs in a Forward-Facing Contracting Channel. Symmetry, 15(3), 690. https://doi.org/10.3390/sym15030690

