Machine Learning Approach for Prediction of Lateral Confinement Coefficient of CFRP-Wrapped RC Columns
Abstract
1. Introduction
2. Dataset Interpretation
- Corner radii are most significantly due to reduction/curtailments of the stress attack and improved strain distribution during extreme load application. At this moment, RC columns jeopardized maximum load, causing damage to weak zones due to uneven stirrup distribution, proper reinforcement arrangement or mixing proportion.
- By reducing corner radii and wrapping with CFRP material, we can technically ensure that our RC columns have enhanced performance, with improved ductility and comprehensive strength.
- Specimens examined by Ref. [54] showed that the compressive strength ratio (f’cc/f’co) of relatively large-scale square columns confined by CFRP increases almost linearly along with the increase of corner radius.
- Demonstrating that with CFRP, confinement is inconsequential to enlarge the compressive strength of RC columns with sharp corners (r = 0 mm) at the highest loading extents, although the ductility can be increased.
- Ref. [57] pointed out that the strength and strain augmentation effect of sporadically wrapped specimens can be perfected with evenly-distributed overlap regions. Thereupon, respective overlapping zones were staged on a different side and ducked the corner zones.
- Ref. [58] demonstrated the confinement potency model by considering lateral confinement level, corner radius ratio and size effect, proposed for FRP-confined square columns. Juxtaposed with other extant models, the contemplated one provides an enhanced examination of FRP-confined square columns.
3. Methodology
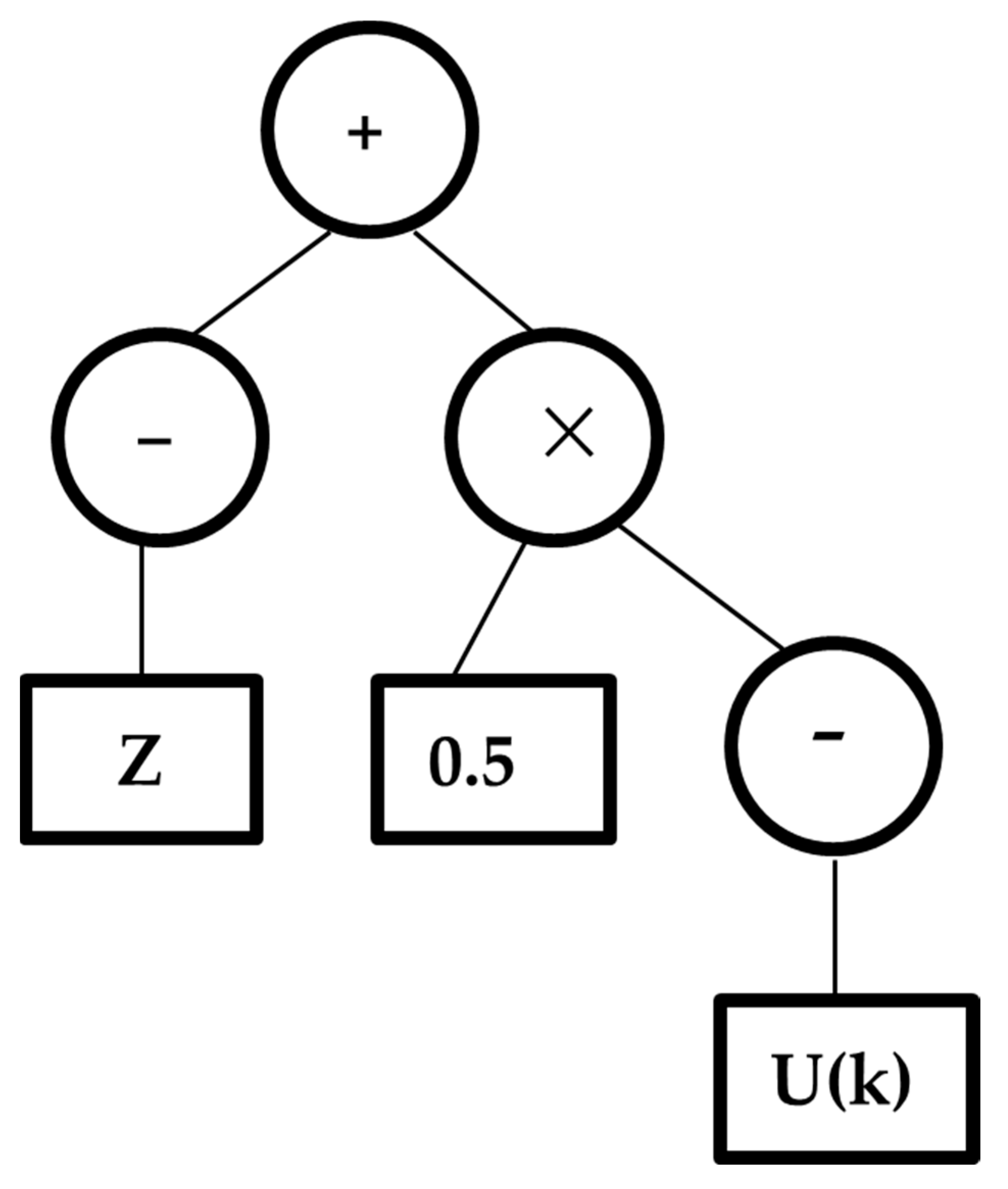
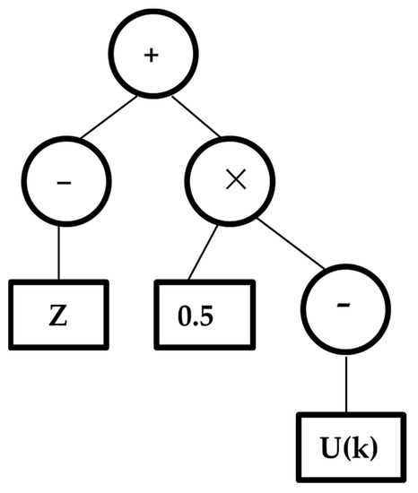
3.1. Genetic Programming (GP)
3.2. Minimax Probability Machine Regression (MPMR)
3.3. Deep Neural Network (DNN)
4. Results and Discussion
5. Conclusions
Author Contributions
Funding
Data Availability Statement
Conflicts of Interest
References
- Mirmiran, A.; Samaan, M.; Cabrera, S.; Shahawy, M. Design, manufacture and testing of a new hybrid column. Constr. Build. Mater. 1998, 12, 39–49. [Google Scholar] [CrossRef]
- Saljoughian, A.; Mostofinejad, D. Axial-flexural interaction in square RC columns confined by intermittent CFRP wraps. Compos. Part B Eng. 2016, 89, 85–95. [Google Scholar] [CrossRef]
- Zeng, J.J.; Guo, Y.C.; Gao, W.Y.; Li, J.Z.; Xie, J.H. Behavior of partially and fully FRP-confined circularized square columns under axial compression. Constr. Build. Mater. 2017, 152, 319–332. [Google Scholar] [CrossRef]
- NadimiShahraki, K.; Reisi, M. Stress-strain based method for analysis and design of FRP wrapped reinforced concrete columns. Structures 2020, 28, 1818–1830. [Google Scholar] [CrossRef]
- Schnerch, D.; Dawood, M.; Rizkalla, S.; Sumner, E.; Stanford, K. Bond behavior of CFRP strengthened steel structures. Adv. Struct. Eng. 2006, 9, 805–817. [Google Scholar] [CrossRef]
- ACI Committee 440. Specification for Carbon and Glass Fiber-Reinforced Polymer bar Materials for Concrete Reinforcement; American Concrete Institute: Farmington Hills, MI, USA, 2008. [Google Scholar]
- Alsaad, A.; Hassan, G. Utilization of CFRP for strengthening RC columns in marine environment. Case Stud. Constr. Mater. 2017, 7, 30–35. [Google Scholar] [CrossRef]
- Yazdani, N.; Beneberu, E.; Mohiuddin, A.H. CFRP retrofit of concrete circular columns: Evaluation of design guidelines. Compos. Struct. 2018, 202, 458–464. [Google Scholar] [CrossRef]
- Xu, Y.; Liu, C.; Chai, L.; Luo, C. The effect of defect size on the integrity of CFRP-confined concrete column. Constr. Build. Mater. 2019, 200, 521–529. [Google Scholar] [CrossRef]
- Amran, Y.M.; Alyousef, R.; Alabduljabbar, H.; Alaskar, A.; Alrshoudi, F. Properties and water penetration of structural concrete wrapped with CFRP. Results Eng. 2020, 5, 100094. [Google Scholar] [CrossRef]
- Doran, B.; Yetilmezsoy, K.; Murtazaoglu, S. Application of fuzzy logic approach in predicting the lateral confinement coefficient for RC columns wrapped with CFRP. Eng. Struct. 2015, 88, 74–91. [Google Scholar] [CrossRef]
- Yetilmezsoy, K.; Sihag, P.; Kıyan, E.; Doran, B. A benchmark comparison and optimization of Gaussian process regression, support vector machines, and M5P tree model in approximation of the lateral confinement coefficient for CFRP-wrapped rectangular/square RC columns. Eng. Struct. 2021, 246, 113106. [Google Scholar] [CrossRef]
- Richart, F.E.; Brandtzæg, A.; Brown, R.L. A Study of the Failure of Concrete under Combined Compressive Stresses; University of Illinois at Urbana Champaign, College of Engineering, Engineering Experiment Station: Bozeman, MT, USA, 1928. [Google Scholar]
- Kent, D.C.; Park, R. Flexural members with confined concrete. J. Struct. Div. 1971, 97, 1969–1990. [Google Scholar] [CrossRef]
- Sheikh, S.A.; Uzumeri, S.M. Analytical model for concrete confinement in tied columns. J. Struct. Div. 1982, 108, 2703–2722. [Google Scholar] [CrossRef]
- Restrepol, J.I.; DeVino, B. Enhancement of the axial load carrying capacity of reinforced concrete columns by means of fiberglass-epoxy jackets. In Proceedings of the 2nd International Conference on Advanced Composite Materials in Bridges and Structures, Acmbs-II, Montreal, QC, Canada, 11–14 August 1996. [Google Scholar]
- Miyauchi, K.; Nishibayashi, S.; Inoue, S. Estimation of Strengthening Effects wi th Carbon Fiber Sheet for Concrete Column. In Proceedings of the Third International Symp Non-Metallic FRP Concr Struct Japan, Sapporo, Japan, 14–16 October 1997; Volume 224. [Google Scholar]
- Murugadoss, J.R.; Lee, B.J.; Bang, J.W.; Ganesh Prabhu, G.; Kim, Y.Y. Performance analysis of CFRP composite strips confined RC columns under axial compression. Adv. Mater. Sci. Eng. 2015, 2015, 170295. [Google Scholar] [CrossRef]
- Jin, L.; Chen, H.; Wang, Z.; Du, X. Size effect on axial compressive failure of CFRP-wrapped square concrete columns: Tests and simulations. Compos. Struct. 2020, 254, 112843. [Google Scholar] [CrossRef]
- Koza, J.R. Genetic Programming: On the Programming of Computers by Means of Natural Selection; MIT Press: Cambridge, MA, USA, 1992; Volume 1. [Google Scholar]
- Pinheiro, V.H.C.; Schirru, R. Genetic programming applied to the identification of accidents of a PWR nuclear power plant. Ann. Nucl. Energy 2019, 124, 335–341. [Google Scholar] [CrossRef]
- Qi, C.; Tang, X.; Dong, X.; Chen, Q.; Fourie, A.; Liu, E. Towards Intelligent Mining for Backfill: A genetic programming-based method for strength forecasting of cemented paste backfill. Miner. Eng. 2019, 133, 69–79. [Google Scholar] [CrossRef]
- El-Bosraty, A.H.; Ebid, A.M.; Fayed, A.L. Estimation of the undrained shear strength of east Port-Said clay using the genetic programming. Ain Shams Eng. J. 2020, 11, 961–969. [Google Scholar] [CrossRef]
- Cheng, Z.L.; Zhou, W.H.; Garg, A. Genetic programming model for estimating soil suction in shallow soil layers in the vicinity of a tree. Eng. Geol. 2020, 268, 105506. [Google Scholar] [CrossRef]
- Gondia, A.; Ezzeldin, M.; El-Dakhakhni, W. Mechanics-guided genetic programming expression for shear-strength prediction of squat reinforced concrete walls with boundary elements. J. Struct. Eng. 2020, 146, 04020223. [Google Scholar] [CrossRef]
- Sharif, M.R.; Zavareh, S.M.R.S.T. Numerical analysis of the shear strength of circular reinforced concrete columns subjected to cyclic lateral loads using linear genetic programming. Eng. Comput. 2020, 37, 2517–2537. [Google Scholar] [CrossRef]
- Onyelowe, K.C.; Ebid, A.M.; Onyia, M.E.; Nwobia, L.I. Predicting nanocomposite binder improved unsaturated soil UCS using genetic programming. Nanotechnol. Environ. Eng. 2021, 6, 1–12. [Google Scholar] [CrossRef]
- Ebid, A.M.; Nwobia, L.I.; Onyelowe, K.C.; Aneke, F.I. Predicting Nanobinder-Improved Unsaturated Soil Consistency Limits Using Genetic Programming and Artificial Neural Networks. Appl. Comput. Intell. Soft Comput. 2021, 2021, 5992628. [Google Scholar] [CrossRef]
- Strohmann, T.; Grudic, G.Z. A formulation for minimax probability machine regression. Adv. Neural Inf. Process. Syst. 2002, 15, 769–776. [Google Scholar]
- Deo, R.C.; Samui, P. Forecasting evaporative loss by least-square support-vector regression and evaluation with genetic programming, Gaussian process, and minimax probability machine regression: Case study of Brisbane City. J. Hydrol. Eng. 2017, 22, 05017003. [Google Scholar] [CrossRef]
- Gopinath, K.G.S.; Pal, S.; Tambe, P. Prediction of hardness and fracture toughness in Liquid-Phase-Sintered alumina system using Gaussian process regression and minimax probability machine regression. Mater. Today Proc. 2018, 5, 12223–12232. [Google Scholar] [CrossRef]
- Samui, P.; Kim, D.; Jagan, J.; Roy, S.S. Determination of uplift capacity of suction caisson using Gaussian process regression, minimax probability machine regression and extreme learning machine. Iran. J. Sci. Technol. Trans. Civ. Eng. 2019, 43, 651–657. [Google Scholar] [CrossRef]
- Kumar, S.; Rai, B.; Biswas, R.; Samui, P.; Kim, D. Prediction of rapid chloride permeability of self-compacting concrete using Multivariate Adaptive Regression Spline and Minimax Probability Machine Regression. J. Build. Eng. 2020, 32, 101490. [Google Scholar] [CrossRef]
- Canziani, A.; Paszke, A.; Culurciello, E. An analysis of deep neural network models for practical applications. arXiv 2016, arXiv:1605.07678. [Google Scholar]
- Liu, W.; Wang, Z.; Liu, X.; Zeng, N.; Liu, Y.; Alsaadi, F.E. A survey of deep neural network architectures and their applications. Neurocomputing 2017, 234, 11–26. [Google Scholar] [CrossRef]
- Bau, D.; Zhu, J.Y.; Strobelt, H.; Lapedriza, A.; Zhou, B.; Torralba, A. Understanding the role of individual units in a deep neural network. Proc. Natl. Acad. Sci. USA 2020, 117, 30071–30078. [Google Scholar] [CrossRef]
- Khan, A.I.; Shah, J.L.L.; Bhat, M.M. CoroNet: A deep neural network for detection and diagnosis of COVID-19 from chest x-ray images. Comput. Methods Programs Biomed. 2020, 196, 105581. [Google Scholar] [CrossRef]
- Tedjopurnomo, D.A.; Bao, Z.; Zheng, B.; Choudhury, F.; Qin, A.K. A survey on modern deep neural network for traffic prediction: Trends, methods and challenges. IEEE Trans. Knowl. Data Eng. 2020, 34, 1544–1561. [Google Scholar] [CrossRef]
- Nafees, A.; Amin, M.N.; Khan, K.; Nazir, K.; Ali, M.; Javed, M.F.; Fahid, A.; Musrat, M.A.; Vatin, N.I. Modeling of mechanical properties of silica fume-based green concrete using machine learning techniques. Polymers 2022, 14, 30. [Google Scholar] [CrossRef] [PubMed]
- Amin, M.N.; Iqbal, M.; Khan, K.; Qadir, M.G.; Shalabi, F.I.; Jamal, A. Ensemble tree-based approach towards flexural strength prediction of frp reinforced concrete beams. Polymers 2022, 14, 1303. [Google Scholar] [CrossRef] [PubMed]
- Khan, K.; Ahmad, W.; Amin, M.N.; Aslam, F.; Ahmad, A.; Al-Faiad, M.A. Comparison of prediction models based on machine learning for the compressive strength estimation of recycled aggregate concrete. Materials 2022, 15, 3430. [Google Scholar] [CrossRef] [PubMed]
- Khan, K.; Iqbal, M.; Salami, B.A.; Amin, M.N.; Ahamd, I.; Alabdullah, A.A.; Arab, A.M.A.; Jalal, F.E. Estimating Flexural Strength of FRP Reinforced Beam Using Artificial Neural Network and Random Forest Prediction Models. Polymers 2022, 14, 2270. [Google Scholar] [CrossRef]
- Kumar, P.; Samui, P. Design of an Energy Pile Based on CPT Data Using Soft Computing Techniques. Infrastructures 2022, 7, 169. [Google Scholar] [CrossRef]
- Samui, P.; Yesilyurt, S.N.; Dalkilic, H.Y.; Yaseen, Z.M.; Roy, S.S.; Kumar, S. Comparison of different optimized machine learning algorithms for daily river flow forecasting. Earth Sci. Inform. 2022, 1–16. [Google Scholar] [CrossRef]
- Onyelowe, K.C.; Jayabalan, J.; Ebid, A.M.; Samui, P.; Singh, R.P.; Soleymani, A.; Jahangir, H. Evaluation of the Compressive Strength of CFRP-Wrapped Circular Concrete Columns Using Artificial Intelligence Techniques. Designs 2022, 6, 112. [Google Scholar] [CrossRef]
- Singhal, S.; Jatana, N.; Subahi, A.F.; Gupta, C.; Khalaf, O.I.; Alotaibi, Y. Fault Coverage-Based Test Case Prioritization and Selection Using African Buffalo Optimization. Comput. Mater. Contin. 2023, 74, 6755–6774. [Google Scholar] [CrossRef]
- Rahman, H.; Tariq, J.; Masood, M.A.; Subahi, A.F.; Khalaf, O.I.; Alotaibi, Y. Multi-Tier Sentiment Analysis of Social Media Text Using Supervised Machine Learning. Comput. Mater. Contin. 2023, 74, 5527–5543. [Google Scholar] [CrossRef]
- Banumathy, D.; Khalaf, O.I.; Romero, C.A.T.; Indra, J.; Sharma, D.K. CAD of BCD from Thermal Mammogram Images Using Machine Learning. Intell. Autom. Soft Comput. 2022, 34, 667–685. [Google Scholar] [CrossRef]
- Srividhya, S.R.; Kavitha, C.; Lai, W.C.; Mani, V.; Khalaf, O.I. A Machine Learning Algorithm to Automate Vehicle Classification and License Plate Detection. Wirel. Commun. Mob. Comput. 2022, 2022, 9273233. [Google Scholar] [CrossRef]
- Banumathy, D.; Khalaf, O.I.; Tavera, R.C.A.; Raja, P.V.; Sharma, D.K. Breast calcifications and histopathological analysis on tumour detection by CNN. Comput. Syst. Sci. Eng. 2023, 44, 595–612. [Google Scholar] [CrossRef]
- Kandhro, I.A.; Uddin, M.; Hussain, S.; Chaudhery, T.J.; Shorfuzzaman, M.; Meshref, H.; Albalhaq, M.; Alsaqour, R.; Khalaf, O.I. Impact of Activation, Optimization, and Regularization Methods on the Facial Expression Model Using CNN. Comput. Intell. Neurosci. 2022, 2022, 3098604. [Google Scholar] [CrossRef]
- Subahi, A.F.; Khalaf, O.I.; Alotaibi, Y.; Natarajan, R.; Mahadev, N.; Ramesh, T. Modified Self-Adaptive Bayesian Algorithm for Smart Heart Disease Prediction in IoT System. Sustainability 2022, 14, 14208. [Google Scholar] [CrossRef]
- Palanisamy, S.; Hajjej, F.; Khalaf, O.I.; Abdulsahib, G.M. Discrete Fourier Transform with Denoise Model Based Least Square Wiener Channel Estimator for Channel Estimation in MIMO-OFDM. Entropy 2022, 24, 1601. [Google Scholar]
- Wu, Y.F.; Wang, L.M. Unified strength model for square and circular concrete columns confined by external jacket. J. Struct. Eng. 2009, 135, 253–261. [Google Scholar] [CrossRef]
- Smith, S.T.; Kim, S.J.; Zhang, H. Behavior and effectiveness of FRP wrap in the confinement of large concrete cylinders. J. Compos. Constr. 2010, 14, 573–582. [Google Scholar] [CrossRef]
- Wang, Z.; Wang, D.; Smith, S.T.; Lu, D. CFRP-confined square RC columns. I: Experimental investigation. J. Compos. Constr. 2012, 16, 150–160. [Google Scholar] [CrossRef]
- Vincent, T.; Ozbakkaloglu, T. Influence of overlap configuration on compressive behavior of CFRP-confined normal-and high-strength concrete. Mater. Struct. 2016, 49, 1245–1268. [Google Scholar] [CrossRef]
- Shan, B.; Gui, F.C.; Monti, G.; Xiao, Y. Effectiveness of CFRP confinement and compressive strength of square concrete columns. J. Compos. Constr. 2019, 23, 04019043. [Google Scholar] [CrossRef]
- Demers, M.; Neale, K.W. Strengthening of concrete columns with unidirectional composite sheets. Dev. Short Medium Span Bridge Eng. 1994, 895–905. [Google Scholar]
- Engineering, S.C. Axial Load Charact. Rectangular Columns Wrapped TYFO-S Jackets; Report; (No. 96/04); Hexcell Fyfe Inc.: Solana Beach, CA, USA, 1996. [Google Scholar]
- Rochette, P.; Labossiere, P. Axial testing of rectangular column models confined with composites. J. Compos. Constr. 2000, 4, 129–136. [Google Scholar] [CrossRef]
- Azarnejad, A.; Tadros, G.; Shrive, N.G.; McWhinnie, K. Column strengthening with CFRP wraps. In Proceedings of the Canadian Society of Civil Engineers Structural Conference, London, ON, Canada, 7–10 June 2000; pp. 7–10. [Google Scholar]
- Xiao, Y.; Wu, H. Compressive behavior of concrete confined by carbon fiber composite jackets. J. Mater. Civ. Eng. 2000, 12, 139–146. [Google Scholar] [CrossRef]
- Parvin, A.; Wang, W. Behavior of FRP jacketed concrete columns under eccentric loading. J. Compos. Constr. 2001, 5, 146–152. [Google Scholar] [CrossRef]
- Pessiki, S.; Harries, K.A.; Kestner, J.T.; Sause, R.; Ricles, J.M. Axial behavior of reinforced concrete columns confined with FRP jackets. J. Compos. Constr. 2001, 5, 237–245. [Google Scholar] [CrossRef]
- Suter, R.; Pinzelli, R. Confinement of concrete columns with FRP sheets. In Proceedings of the 5th International Conference on Fibre Reinforced Plastics for Reinforced Concrete Structures, Cambridge, UK, 16–18 July 2001; pp. 793–802. [Google Scholar]
- Shehata, I.A.; Carneiro, L.A.; Shehata, L.C. Strength of short concrete columns confined with CFRP sheets. Mater. Struct. 2002, 35, 50–58. [Google Scholar] [CrossRef]
- Lam, L.; Teng, J.G. Design-oriented stress-strain model for FRP-confined concrete in rectangular columns. J. Reinf. Plast. Compos. 2003, 22, 1149–1186. [Google Scholar] [CrossRef]
- Chaallal, O.; Hassan, M.; Shahawy, M. Confinement model for axially loaded short rectangular columns strengthened with fiber-reinforced polymer wrapping. Struct. J. 2003, 100, 215–221. [Google Scholar]
- Ilki, A.; Kumbasar, N. Compressive behaviour of carbon fibre composite jacketed concrete with circular and non-circular cross-sections. J. Earthq. Eng. 2003, 7, 381–406. [Google Scholar] [CrossRef]
- Masia, M.J.; Gale, T.N.; Shrive, N.G. Size effects in axially loaded square-section concrete prisms strengthened using carbon fibre reinforced polymer wrapping. Can. J. Civ. Eng. 2004, 31, 1–13. [Google Scholar] [CrossRef]
- Harajli, M.H. Axial stress–strain relationship for FRP confined circular and rectangular concrete columns. Cem. Concr. Compos. 2006, 28, 938–948. [Google Scholar] [CrossRef]
- Al-Salloum, Y.A. Influence of edge sharpness on the strength of square concrete columns confined with FRP composite laminates. Compos. Part B Eng. 2007, 38, 640–650. [Google Scholar] [CrossRef]
- Rousakis, T.C.; Karabinis, A.I.; Kiousis, P.D. FRP-confined concrete members: Axial compression experiments and plasticity modelling. Eng. Struct. 2007, 29, 1343–1353. [Google Scholar] [CrossRef]
- Ilki, A.; Peker, O.; Karamuk, E.; Demir, C.; Kumbasar, N. FRP retrofit of low and medium strength circular and rectangular reinforced concrete columns. J. Mater. Civ. Eng. 2008, 20, 169–188. [Google Scholar] [CrossRef]
- Wang, L.M.; Wu, Y.F. Effect of corner radius on the performance of CFRP-confined square concrete columns: Test. Eng. Struct. 2008, 30, 493–505. [Google Scholar] [CrossRef]
- Tao, Z.; Yu, Q.; Zhong, Y.Z. Compressive behavior of CFRP-confined rectangular concrete columns. Mag. Concr. Res. 2008, 60, 735–745. [Google Scholar] [CrossRef]
- Wu, Y.F.; Wei, Y.Y. Effect of cross-sectional aspect ratio on the strength of CFRP-confined rectangular concrete columns. Eng. Struct. 2010, 32, 32–45. [Google Scholar] [CrossRef]
- Abbasnia, R.; Ziaadiny, H. Behavior of concrete prisms confined with FRP composites under axial cyclic compression. Eng. Struct. 2010, 32, 648–655. [Google Scholar] [CrossRef]
- Abbasnia, R.; Hosseinpour, F.; Rostamian, M.; Ziaadiny, H. Cyclic and monotonic behavior of FRP confined concrete rectangular prisms with different aspect ratios. Constr. Build. Mater. 2013, 40, 118–125. [Google Scholar] [CrossRef]
- Ye, L.P.; Zhang, K.; Zhao, S.H.; Feng, P. Experimental study on seismic strengthening of RC columns with wrapped CFRP sheets. Constr. Build. Mater. 2003, 17, 499–506. [Google Scholar] [CrossRef]
- Dirikgil, T. Experimental investigation of the effects of concrete strength and axial load ratio on the performances of CFRP-wrapped and externally collared RC short columns. Eng. Struct. 2021, 230, 111647. [Google Scholar] [CrossRef]
- Dou, T.; Lopes, Y.K.; Rockett, P.; Hathway, E.A.; Saber, E. Model predictive control of non-domestic heating using genetic programming dynamic models. Appl. Soft Comput. 2020, 97, 106695. [Google Scholar] [CrossRef]
- Bertsimas, D.; Sethuraman, J. Moment problems and semidefinite optimization. In Handbook of Semidefinite Programming; Springer: Boston, MA, USA, 2000; pp. 469–509. [Google Scholar]
- Ceryan, N.; Samui, P. Application of soft computing methods in predicting uniaxial compressive strength of the volcanic rocks with different weathering degree. Arab. J. Geosci. 2020, 13, 1–18. [Google Scholar] [CrossRef]
- Hinton, G.E.; Salakhutdinov, R.R. Reducing the dimensionality of data with neural networks. Science 2006, 313, 504–507. [Google Scholar] [CrossRef]
- Zhong, S.; Hu, J.; Fan, X.; Yu, X.; Zhang, H. A deep neural network combined with molecular fingerprints (DNN-MF) to develop predictive models for hydroxyl radical rate constants of water contaminants. J. Hazard. Mater. 2020, 383, 121141. [Google Scholar] [CrossRef]
- Manjula, C.; Florence, L. Deep neural network-based hybrid approach for software defect prediction using software metrics. Clust. Comput. 2019, 22, 9847–9863. [Google Scholar] [CrossRef]
- Shen, L.; Muduli, K.; Barve, A. Developing a sustainable development framework in the context of mining industries: AHP approach. Res. Policy 2015, 46, 15–26. [Google Scholar] [CrossRef]















| References | Equations of Ks |
|---|---|
| Ref. [13] | |
| Ref. [14] | |
| Ref. [15] |
|
| Ref. [16] | |
| Ref. [17] | |
| Ref. [11] | |
| Ref. [18] | |
| Ref. [19] | |
| Current Study | Doran et al. (2015) [11] | ||
|---|---|---|---|
| 1 | No of Dataset | 293 | 100 |
| 2 | Models |
| Fuzzy Logic |
| 3 | No of Inputs | 6 | 5 |
| 4 | Type of CFRP RC Columns | Rectangular and Square | Rectangular |
| 5 | Corner Radii | Considered | Not Considered |
| b (mm) | H (mm) | r (mm) | tw (mm) | Efrp (mm) | fco (mm) | Ks (mm) | |
|---|---|---|---|---|---|---|---|
| Min | 20 | 108 | 5 | 0.056 | 10,500 | 10.83 | 0.94 |
| Mean | 167.15 | 277.07 | 25.16 | 0.55 | 187,852.90 | 30.54 | 1.69 |
| Std | 57.66 | 149.73 | 12.74 | 0.50 | 87,680.16 | 11.61 | 0.69 |
| Max | 457 | 1200 | 60 | 3 | 640,000 | 55.36 | 4.79 |
| skewness | 1.46 | 2.26 | 0.41 | 2.36 | 0.24 | 0.28 | 1.74 |
| Kurtosis | 7.05 | 11.71 | 2.72 | 10.16 | 6.56 | 2.56 | 6.38 |
| GP | MPMR | DNN |
|---|---|---|
|
|
|
| Statistical Parameters | Description | Ideal Condition |
|---|---|---|
| Coefficient of Determination, | Coefficient of determination calculates the constancy of collaboration between the actual and the predicted values. | The ideal value must be near to unity. |
| Mean Absolute Error | MAE enumerates the accuracy error of the predicted and actual data. | MAE value should be 0. When the value of R overtures to 0. |
| Root Mean Square Error | Analyze the measured value to the estimated value and calculate the square root of the mean residual error. | RMSE has to be 0. When the value of R overtures to 1, the RMSE value will be near to 0, and vice versa. |
| Index of Agreement, | Index was employed to analyze the precision of the measurable models in this investigation. | The IA value should be 1 to enumerate the performance model. |
| Fractional Variance | FV emphases computed variance of actual and predicted data. | FV ideal value must be 0. |
| Factor of Two (FA2) | Indicates the range of the output results data between 0.5–2 as benchmark model accuracy. | Based on the model performance, the range output result data should lie between 0.5–2. |
| Coefficient of Variation (%) | It symbolizes the ratio of the RMSE variance to the actual data variance. It is exhibited in percentage. | The ideal value of CV should be 0. RMSE is also 0. |
| Durbin–Watson (DW) statistics, where, | It measures the predictive accuracy. To validate the predictive capability of the prediction models, | The ideal value of DW must be close to 2. |
| Normalized Mean Bias Error (NMBE), | NMBE estimates the aptitude of the model to anticipate a value, which is staged away from the mean value. It is expressed in percentage. | A positive NMBE reveals over-prediction, and a negative value depicts under-prediction |
| Doran et al. (2015) [11] (Fuzzy Logic) Overall | Training GP | Testing GP | Training MPMR | Testing MPMR | Training DNN | Testing DNN | |
|---|---|---|---|---|---|---|---|
| Number of Dataset | 100 | 220 | 73 | 220 | 73 | 220 | 73 |
| R2 | 0.919 | 0.89 | 0.89 | 0.885 | 0.712 | 0.806 | 0.712 |
| MAE | 0.133 | 0.041 | 0.054 | 0.041 | 0.064 | 0.036 | 0.070 |
| RMSE | 0.174 | 0.056 | 0.073 | 0.057 | 0.097 | 0.076 | 0.117 |
| IA | 0.976 | 0.970 | 0.960 | 0.969 | 0.937 | 0.947 | 0.883 |
| FV | 0.111 | 0.116 | 0.389 | 0.123 | 0.067 | 0.071 | 0.499 |
| FA2 | 0.993 | 0.836 | 1.135 | 1.237 | 1.283 | 1.184 | 1.454 |
| CV(%) | 10.74 | 30.777 | 31.933 | 31.185 | 42.794 | 41.421 | 51.411 |
| DW statistic | 1.513 | 1.453 | 1.004 | 1.491 | 0.978 | 0.842 | 0.877 |
| NMBE (%) | - | 0.001 | −9.596 | 0.130 | −3.974 | −2.666 | −20.767 |
| Training (GP) | Testing (GP) | Training (MPMR) | Testing (MPMR) | Training (DNN) | Testing (DNN) | |
|---|---|---|---|---|---|---|
| R2 | 3 | 3 | 2 | 1 | 1 | 1 |
| MAE | 1 | 3 | 2 | 2 | 3 | 1 |
| RMSE | 3 | 3 | 2 | 2 | 1 | 1 |
| IA | 1 | 3 | 3 | 2 | 2 | 1 |
| FV | 2 | 2 | 1 | 3 | 3 | 1 |
| FA2 | 1 | 1 | 3 | 3 | 2 | 1 |
| CV (%) | 3 | 3 | 2 | 2 | 1 | 1 |
| DW statistic | 2 | 2 | 3 | 1 | 1 | 1 |
| NMBE (%) | 3 | 1 | 2 | 2 | 1 | 1 |
| Total Points | 19 | 21 | 20 | 18 | 15 | 9 |
| Overall Points | 40 | 38 | 24 | |||
Disclaimer/Publisher’s Note: The statements, opinions and data contained in all publications are solely those of the individual author(s) and contributor(s) and not of MDPI and/or the editor(s). MDPI and/or the editor(s) disclaim responsibility for any injury to people or property resulting from any ideas, methods, instructions or products referred to in the content. |
© 2023 by the authors. Licensee MDPI, Basel, Switzerland. This article is an open access article distributed under the terms and conditions of the Creative Commons Attribution (CC BY) license (https://creativecommons.org/licenses/by/4.0/).
Share and Cite
Xue, X.; Makota, C.; Khalaf, O.I.; Jayabalan, J.; Samui, P.; Abdulsahib, G.M. Machine Learning Approach for Prediction of Lateral Confinement Coefficient of CFRP-Wrapped RC Columns. Symmetry 2023, 15, 545. https://doi.org/10.3390/sym15020545
Xue X, Makota C, Khalaf OI, Jayabalan J, Samui P, Abdulsahib GM. Machine Learning Approach for Prediction of Lateral Confinement Coefficient of CFRP-Wrapped RC Columns. Symmetry. 2023; 15(2):545. https://doi.org/10.3390/sym15020545
Chicago/Turabian StyleXue, Xingsi, Celestine Makota, Osamah Ibrahim Khalaf, Jagan Jayabalan, Pijush Samui, and Ghaida Muttashar Abdulsahib. 2023. "Machine Learning Approach for Prediction of Lateral Confinement Coefficient of CFRP-Wrapped RC Columns" Symmetry 15, no. 2: 545. https://doi.org/10.3390/sym15020545
APA StyleXue, X., Makota, C., Khalaf, O. I., Jayabalan, J., Samui, P., & Abdulsahib, G. M. (2023). Machine Learning Approach for Prediction of Lateral Confinement Coefficient of CFRP-Wrapped RC Columns. Symmetry, 15(2), 545. https://doi.org/10.3390/sym15020545

