Abstract
The main purpose of this paper is to consider q-sine-based and q-cosine-Based q-Fubini polynomials and is to investigate diverse properties of these polynomials. Furthermore, multifarious correlations including q-analogues of the Genocchi, Euler and Bernoulli polynomials, and the q-Stirling numbers of the second kind are derived. Moreover, some approximate zeros of the q-sinebased and q-cosine-Based q-Fubini polynomials in a complex plane are examined, and lastly, these zeros are shown using figures.
Keywords:
q-special polynomials; q-trigonometric polynomials; q-Fubini polynomials; q-Stirling numbers of the second kind MSC:
05A15; 05A19; 11B68; 11B73
1. Introduction
Special polynomials possess an important role in mathematics such as solving numerical problems, determining the composition of certain molecules and compounds, determining combinatorics relations, describing the trajectory of projectiles, solving difference equations, approximation theory, cost analysis in economics, determining pressure in applications of fluid dynamics, and so on, see [1,2,3,4,5,6,7,8,9,10,11,12,13,14,15,16]. Recently, many properties and applications have been studied and investigated by many authors, especially determining approximate zeros in conjunction with showing them in figures. In this paper, we consider q-sine-based and q-cosine-Based q-Fubini polynomials and then investigate diverse properties of these polynomials. Furthermore, we provide several correlations with many earlier q-polynomials. Moreover, we compute the first few q-sine-based and q-cosine-Based q-Fubini polynomials. Finally, we determine some approximate zeros of the q-sine-based and q-cosine-Based q-Fubini polynomials in a complex plane, which are shown in figures and tables.
A brief review of q-calculus taken from (see [4,5,10,11]) is given as follows.
For q, being a complex number with , the q-number and q-factorial are introduced by
and
respectively.
The q-extensions of Gauss binomial coefficients are provided by
The q-extensions of the functions and are provided by
The q-analogues of the usual exponential function are provided by
and
which satisfies the following relations (see [4,5,10,11])
and
The q-derivative operator is provided by
and , provided that f is differentiable at .
This satisfy the following rules
and
The q-extensions of the sine and cosine trigonometric functions are provided as follows (see [7,16])
and
which fulfill
and
where .
The q-Apostol Bernoulli polynomials, q-Apostol Euler polynomials and q-Apostol Genocchi polynomials of order are introduced by (see [13,14,15]):
, respectively.
Furthermore, note that
In [7], the bivariate q-Bernoulli and q-Euler polynomials are introduced by
and
respectively.
The q-cosine polynomials and q-sine polynomials are introduced (see [7,16]) by
and
which give the following expansions
and
The q-Stirling numbers of the second kind are defined by (cf. [9])
Taking , Equation (18) reduces to the familiar Stirling numbers of the second kind as follows
The q-Stirling polynomials of the second kind are introduced by (see [3])
The bivariate q-Fubini polynomials are introduced by (see [8])
When , are called the q-Fubini polynomials and are called the q-Fubini numbers.
2. The -Sine-Based and -Cosine-Based -Fubini Polynomials
Here, we examine some identities of the q-sine and q-cosine Fubini polynomials arising from the following exponential generating function:
We observe that
Thus, by (21) and (22), it is derived that
and
From (23) and (24), we obtain
and
The bivariate q-cosine and q-sine Fubini polynomials are considered by the following generating functions, respectively:
and
Note that .
From (25)–(28), we have
Remark 1.
Inserting in (27) and (28) gives the q-cosine Fubini polynomials and q-sine Fubini polynomials as follows, respectively:
and
We note that
Remark 2.
Letting gives the usual cosine-Fubini polynomials and sine-Fubini polynomials as follows, respectively:
and
Here, we analyze some relations and formulas for the bivariate q-cosine and q-sine Fubini polynomials.
Theorem 1.
For , we have
and
Proof.
In terms of (31) and (32), it is readily seen that
and
Therefore, (35) and (36) mean the asserted results (33) and (34). □
Theorem 2.
For , we have
and
Proof.
In terms of (23) and (24), the claimed result (37) and (38) can be readily derived by utilizing the Cauchy product, so we omit the proof. □
Theorem 3.
For , the following relations hold:
and
Proof.
In terms of (27) and (28), we observe that
which means the claimed result (39). The other proof can be performed similarly. □
Theorem 4.
For , we have the following relations:
and
Proof.
Replacing by in (27), then, we obtain
which gives the claimed result (41). The other can be performed similarly to that of (41). □
Theorem 5.
For , the following relations hold:
and
Proof.
In view of (27), it is observed that
which means the asserted result (43). The others can be performed similarly to that of (43). □
Theorem 6.
For , the following formulas hold
Proof.
In terms of (2.1), it is seen that
which yield the following equality
which mean the asserted result (44). The proof of (45) can be derived similarly to that of (44). □
Theorem 7.
For , the following formulas hold
Proof.
By means of Theorem 1, it is observed that
which means the asserted result (46). The other proof can be performed similarly. □
Theorem 8.
Let and ; we have
and
Proof.
By means of Theorem 1, it is readily seen that
which means the claimed result (47). The proof of (48) can be performed similarly. □
Theorem 9.
For , we have
and
Proof.
By using the following equality,
it is observed that
which gives the asserted result (50). The proof of (51) can be completed similarly. □
3. Connected Formulas
Here, we investigate many relationships for the bivariate q-sine and q-cosine Fubini polynomials associated with q-Euler polynomials, q-Euler polynomials and q-Bernoulli polynomials and q-Stirling numbers of the second kind.
Theorem 10.
The following relationships hold for :
and
Proof.
By using (6) and (27), we have
which means the asserted result (52). The proof of (53) can be carried out similarly. □
Theorem 11.
The following relationships hold for :
and
Proof.
By using definitions (7) and (27), we obtain
which provides the asserted result (54). The proof of (55) can be performed similarly. □
Theorem 12.
The following relationships hold for :
and
Proof.
By utilizing (8) and (27), we obtain
which proves the claimed result (56). The proof of (57) can be completed similarly. □
Theorem 13.
The following relationships hold for :
and
Proof.
It is seen from (27) that
Changing n by , the above equation becomes the following relation
which implies the asserted result (58). The proof of (59) can be completed similarly. □
Theorem 14.
The following relationships hold for :
and
Proof.
It is observed from (27) that
which implies that
which means the claimed result (60). The proof of (61) can be completed similarly. □
4. Some Applications for Bivariate -Cosine Fubini Polynomials
Here, we analyze some properties of the q-cosine Fubini polynomials. We now provide the lists of the first few q-cosine Fubini polynomials as follows:
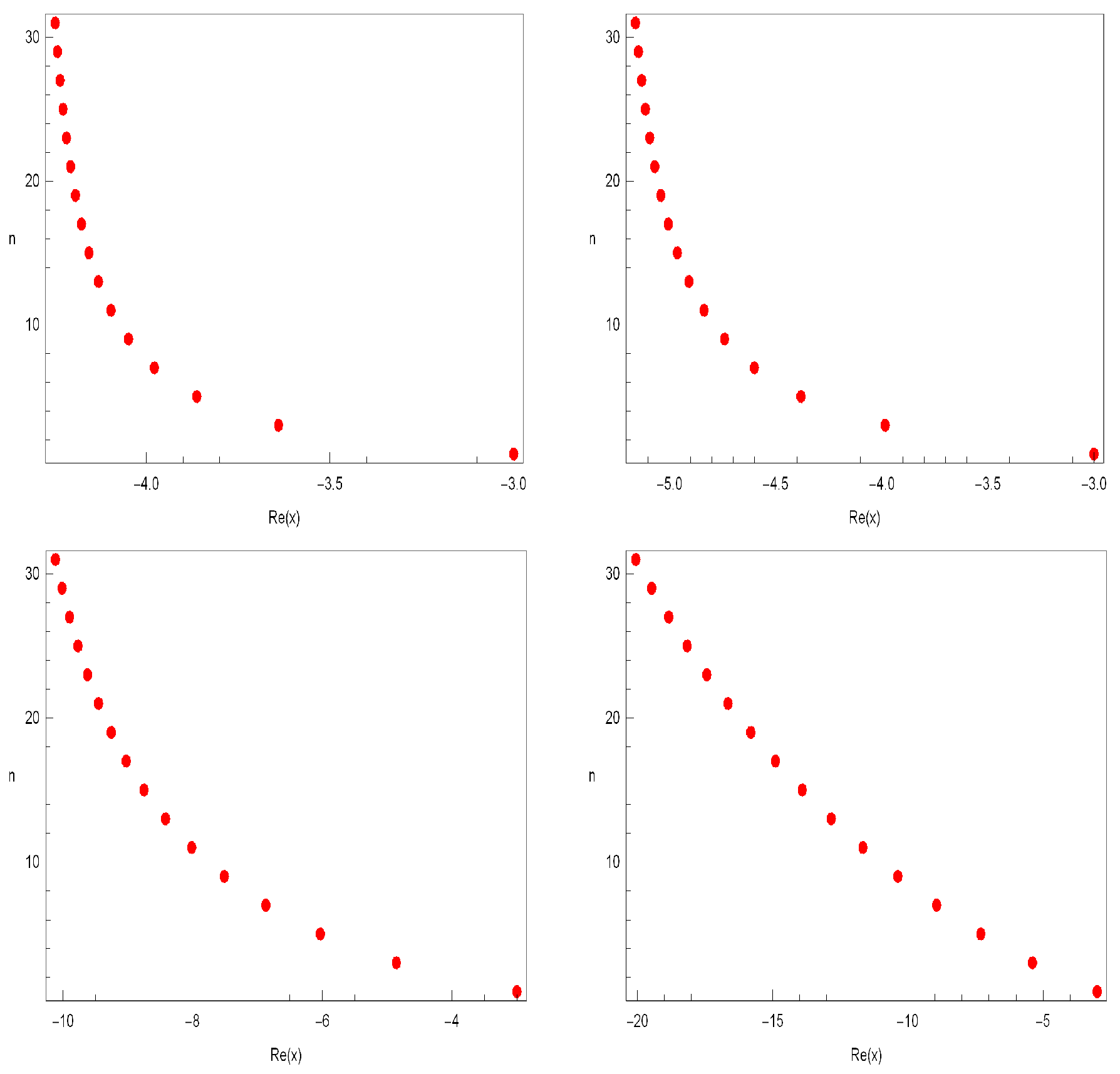
By choosing , the zeros of the aforementioned polynomials are represented by the following Figures.
In Figure 1 (top-left), we choose
Figure 1.
.
In Figure 1 (top-right), we choose
In Figure 1 (bottom-left), we choose
In Figure 1 (bottom-right), we choose
By choosing , the stacks of zeros of the aforementioned polynomials are represented by the following Figures, which form a 3D structure (Figure 2):
Figure 2.
.
In Figure 2 (top-left), we plot stacks of zeros of .
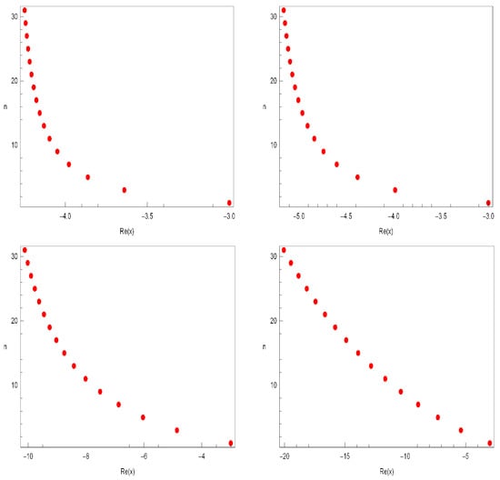
By choosing , the zeros of the aforementioned polynomials are represented by the following Figures.
In Figure 3 (top-left), we choose
Figure 3.
.
In Figure 3 (top-right), we choose
In Figure 3, (bottom-left), we choose
In Figure 3, (bottom-right), we choose
Approximate solutions that hold the q-cosine Fubini polynomials are provided by Table 1.
Table 1.
Numerical solutions of .
5. Some Applications for Bivariate -Sine Fubini Polynomials
Here, we analyze some properties of the q-sine Fubini polynomials. We now provide the lists of the first few q-sine Fubini polynomials as follows:
By choosing , the zeros of the aforementioned polynomials are represented by the following Figures.
In Figure 4 (top-left), we choose
Figure 4.
.
In Figure 4 (top-right), we choose
In Figure 4, (bottom-left), we choose
In Figure 4, (bottom-right), we choose
Approximate solutions that hold the q-sine Fubini polynomials are provided by Table 2.
Table 2.
Numerical solutions of .
6. Conclusions
In the present paper, the q-sine-based and q-cosine-Based q-Fubini polynomials have been considered, and several properties for these polynomials have been derived. Furthermore, some correlations covering q-analogues of the Genocchi, Euler and Bernoulli polynomials and the q-Stirling numbers of the second kind have been provided. Moreover, some approximate zeros of the q-sine-based and q-cosine-Based q-Fubini polynomials in a complex plane and a real plane have been analyzed. Finally, these zeros have been shown by figures, and numerical solutions for special cases are given by tables.
It can be added that not only can the idea of the present paper be utilized for similar polynomials, but also the mentioned polynomials possess possible utilizations and applications in scientific fields other than the applications provided at the end of the paper. Moreover, advancing the purpose of this article, we will proceed with this idea in our next research studies in several directions.
Author Contributions
Conceptualization, W.A.K., M.S.A., C.S.R. and U.D.; Formal analysis, W.A.K. and U.D.; Funding acquisition, W.A.K. and M.S.A.; Investigation, W.A.K.; Methodology, W.A.K., C.S.R. and U.D.; Project administration, W.A.K. and C.S.R.; Software, M.S.A. and C.S.R.; Writing—original draft, W.A.K. and U.D.; Writing—review & editing, W.A.K., M.S.A., C.S.R. and U.D. All authors have read and agreed to the published version of the manuscript.
Funding
This research received no external funding.
Data Availability Statement
Not applicable.
Conflicts of Interest
The authors declare no conflict of interest.
References
- Alam, N.; Khan, W.A.; Ryoo, C.S. A note on Bell-based Apostol-type Frobenius–Euler polynomials of complex variable with its certain applications. Mathematics 2022, 10, 2109. [Google Scholar] [CrossRef]
- Alatawi, M.S.; Khan, W.A.; Ryoo, C.S. Explicit properties of q-Cosine and q-Sine Array-type polynomials containing symmetric structures. Symmetry 2022, 14, 1675. [Google Scholar] [CrossRef]
- Cakić, N.P.; Milovanović, G.V. On generalized Stirling number and polynomials. Math. Balk. 2004, 18, 241–248. [Google Scholar]
- Jackson, H.F. q-Difference equations. Am. J. Math. 1910, 32, 305–314. [Google Scholar] [CrossRef]
- Jackson, H.F. On q-functions and a certain difference operator. Trans. R. Soc. Edinb. 2013, 46, 253–281. [Google Scholar] [CrossRef]
- Kang, J.Y.; Khan, W.A. A new class of q-Hermite based Apostol type Frobenius Genocchi polynomials. Commun. Korean Math. Soc. 2020, 35, 759–771. [Google Scholar]
- Kang, J.Y.; Ryoo, C.S. Various structures of the roots and explicit properties of q-cosine Bernoulli polynomials and q-sine Bernoulli polynomials. Mathematics 2020, 8, 463. [Google Scholar] [CrossRef]
- Khan, W.A. Some results on q-analogue type of Fubini numbers and polynomials. J. Math. Control Sci. Appl. 2021, 7, 141–154. [Google Scholar]
- Luo, Q.M.; Srivastava, H.M. Some generalization of the Apostol-Genocchi polynomials and Stirling numbers of the second kind. Appl. Math. Comput. 2011, 217, 5702–5728. [Google Scholar] [CrossRef]
- Khan, W.A.; Muhiuddin, G.; Duran, U.; Al-Kadi, D. On (p,q)-Sine and (p,q)-Cosine Fubini Polynomials. Symmetry 2022, 14, 527. [Google Scholar] [CrossRef]
- Sharma, S.K.; Khan, W.A.; Ryoo, C.-S.; Duran, U. Diverse Properties and Approximate Roots for a Novel Kinds of the (p,q)-Cosine and (p,q)-Sine Geometric Polynomials. Mathematics 2022, 10, 2709. [Google Scholar] [CrossRef]
- Khan, W.A.; Khan, I.A.; Duran, U.; Acikgoz, M. Apostol type (p,q)-Frobenius–Eulerian polynomials and numbers. Africa Math. 2021, 32, 115–130. [Google Scholar] [CrossRef]
- Mahmudov, N.I. q-analogues of the Bernoulli and Genocchi polynomials and the Srivastava-Pinter addition theorems. Discret. Dyn. Nat. Soc. 2012, 169348. [Google Scholar] [CrossRef]
- Mahmudov, N.I. On a class of q-Bernoulli and q-Euler polynomials. Adv. Diff. Equ. 2013, 2013, 1. [Google Scholar] [CrossRef]
- Nisar, K.S.; Khan, W.A. Notes on q-Hermite based unified Apostol type polynomials. J. Interdiscip. Math. 2019, 22, 1185–1203. [Google Scholar] [CrossRef]
- Ryoo, C.S.; Kang, J.Y. Explicit properties of q-Cosine and q-Sine Euler polynomials containing symmetric structures. Symmetry 2020, 12, 1247. [Google Scholar] [CrossRef]
Disclaimer/Publisher’s Note: The statements, opinions and data contained in all publications are solely those of the individual author(s) and contributor(s) and not of MDPI and/or the editor(s). MDPI and/or the editor(s) disclaim responsibility for any injury to people or property resulting from any ideas, methods, instructions or products referred to in the content. |
© 2023 by the authors. Licensee MDPI, Basel, Switzerland. This article is an open access article distributed under the terms and conditions of the Creative Commons Attribution (CC BY) license (https://creativecommons.org/licenses/by/4.0/).



