A General Single-Node Second-Order Dirichlet Boundary Condition for the Convection–Diffusion Equation Based on the Lattice Boltzmann Method
Abstract
1. Introduction
2. Numerical Methods
2.1. The Convection–Diffusion Equation
2.2. The Lattice Boltzmann Model
3. Dirichlet Boundary Condition
- (1)
- Calculate the equilibrium temperature distribution function .
- (2)
- Perform the collision step to calculate .
- (3)
- Apply domain boundary conditions for the temperature distribution functions and Dirichlet boundary condition for immersed objects and external walls.
- (4)
- Perform the streaming step .
- (5)
- Calculate the fluid temperature .
- (6)
- Go to step (1) until the calculation is converged.
4. Asymptotic Analysis
5. Numerical Simulations
5.1. 2D Steady-State Symmetric Channel Flow
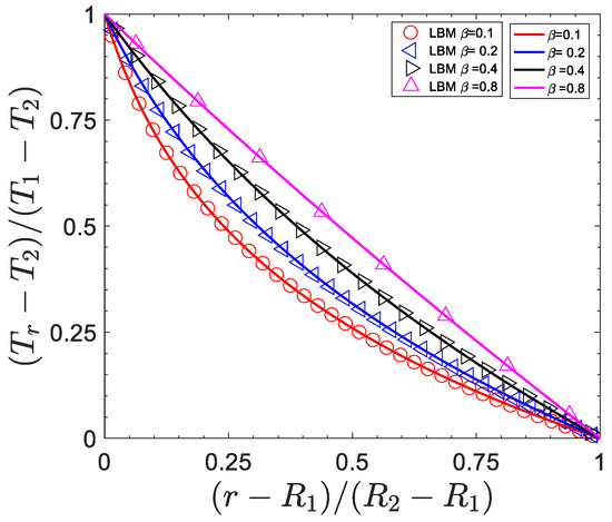
5.2. Couette Flow between Two Circular Cylinders
5.3. 3D Steady-State Symmetric Circular Pipe Flow
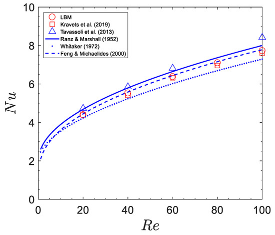
5.4. Forced Convection of a Hot Sphere in Uniform Flow
6. Conclusions
Author Contributions
Funding
Data Availability Statement
Conflicts of Interest
References
- Mani, L.; Tzachor, A.; Cole, P. Global catastrophic risk from lower magnitude volcanic eruptions. Nat. Commun. 2021, 12, 4756. [Google Scholar] [CrossRef]
- German, J.; Redi, A.; Ong, A.; Prasetyo, Y.; Sumera, V. Predicting factors affecting preparedness of volcanic eruption for sustainable community: A case study in the Philippines. Sustainability 2022, 14, 11329. [Google Scholar] [CrossRef]
- Yang, S.; Liu, X.; Wang, S.; Zhang, K.; Wang, H. Eulerian-Lagrangian simulation study of the gas-solid reacting flow in a bubbling fluidized coal gasifier. Chem. Eng. J. 2021, 426, 130825. [Google Scholar] [CrossRef]
- Yang, S.; Wang, S.; Wang, H. Particle-scale evaluation of the pyrolysis process of biomass material in a reactive gas-solid spouted reactor. Chem. Eng. J. 2021, 421, 127787. [Google Scholar] [CrossRef]
- Ghadikolaei, S.; Yassari, M.; Sadeghi, H.; Hosseinzadeh, K.; Ganji, D. Investigation on thermophysical properties of Tio2-Cu/H2O hybrid nanofluid transport dependent on shape factor in MHD stagnation point flow. Powder Technol. 2017, 322, 428–438. [Google Scholar] [CrossRef]
- Hosseinzadeh, K.; Asadi, A.; Mogharrebi, A.; Azari, M.; Ganji, D. Investigation of mixture fluid suspended by hybrid nanoparticles over vertical cylinder by considering shape factor effect. J. Therm. Anal. Calorim. 2021, 143, 1081–1095. [Google Scholar] [CrossRef]
- Ginzburg, I. Generic boundary conditions for lattice Boltzmann models and their application to advection and anisotropic dispersion equations. Adv. Water Resour. 2005, 28, 1196–1216. [Google Scholar] [CrossRef]
- Li, L.; Mei, R.; Klausner, J.F. Boundary conditions for thermal lattice Boltzmann equation method. J. Comput. Phys. 2013, 237, 366–395. [Google Scholar] [CrossRef]
- Huang, H.; Lee, T.S.; Shu, C. Thermal curved boundary treatment for the thermal lattice Boltzmann equation. Int. J. Mod. Phys. C 2006, 17, 631–643. [Google Scholar] [CrossRef]
- Jalali, A.; Amiri Delouei, A.; Khorashadizadeh, M.; Golmohamadi, A.; Karimnejad, S. Mesoscopic Simulation of Forced Convective Heat Transfer of Carreau-Yasuda Fluid Flow over an Inclined Square: Temperature-dependent Viscosity. J. Appl. Comput. Mech. 2020, 6, 307–319. [Google Scholar]
- Karimnejad, S.; Delouei, A.; AmiriBaşağaoğlu, H.; Nazari, M.; Shahmardan, M.; Falcucci, G.; Lauricella, M.; Succi, S. A Review on Contact and Collision Methods for Multi-Body Hydrodynamic Problems in Complex Flows. Commun. Comput. Phys. 2022, 32, 899–950. [Google Scholar] [CrossRef]
- Guo, Z.; Shi, B.; Zheng, C. A coupled lattice BGK model for the Boussinesq equations. Int. J. Numer. Methods Fluids 2002, 39, 325–342. [Google Scholar] [CrossRef]
- Tang, G.H.; Tao, W.Q.; He, Y.L. Thermal boundary condition for the thermal lattice Boltzmann equation. Phys. Rev. E 2005, 72, 016703. [Google Scholar] [CrossRef]
- Huang, J.; Yong, W. Boundary conditions of the lattice Boltzmann method for convection-diffusion equations. J. Comput. Phys. 2015, 300, 70–79. [Google Scholar] [CrossRef]
- Zhang, L.; Yang, S.; Zeng, Z.; Chew, J. Consistent second-order boundary implementations for convection-diffusion lattice Boltzmann method. Phys. Rev. E 2018, 97, 023302. [Google Scholar] [CrossRef]
- Ginzburg, I.; Silva, G. Mass-balance and locality versus accuracy with the new boundary and interface-conjugate approaches in advection-diffusion lattice Boltzmann method. Phys. Fluids 2022, 33, 057104. [Google Scholar] [CrossRef]
- Zhang, M.; Zhao, W.; Lin, P. Lattice Boltzmann method for general convection-diffusion equations: MRT model and boundary schemes. J. Comput. Phys. 2019, 389, 147–163. [Google Scholar] [CrossRef]
- Yoshida, H.; Nagaoka, M. Multiple-relaxation-time lattice Boltzmann model for the convection and anisotropic diffusion equation. J. Comput. Phys. 2010, 229, 7774–7795. [Google Scholar] [CrossRef]
- Bhatnagar, P.L.; Gross, E.P.; Krook, M. A Model for Collision Processes in Gases. I. Small Amplitude Processes in Charged and Neutral One-Component Systems. Phys. Rev. 1954, 94, 511–525. [Google Scholar] [CrossRef]
- Junk, M.; Klar, A.; Luo, L.S. Asymptotic analysis of the lattice Boltzmann equation. J. Comput. Phys. 2005, 210, 676–704. [Google Scholar] [CrossRef]
- Chen, Y.; Wang, X.; Zhu, H. A general single-node second-order boundary condition for the lattice Boltzmann method. Phys. Fluids 2021, 33, 041137. [Google Scholar] [CrossRef]
- Ranz, W.E.; Marshall, E.R. Evaporation from drops. Chem. Eng. Prog. 1952, 48, 146. [Google Scholar]
- Whitaker, S. Forced convection heat transfer correlations for flow in pipes, past flat plates, single cylinders, single spheres, and for flow in packed beds and tube bundles. AIChE J. 1972, 18, 361–371. [Google Scholar] [CrossRef]
- Feng, Z.G.; Michaelides, E.E. A numerical study on the transient heat transfer from a sphere at high Reynolds numbers and Peclet numbers. Int. J. Heat Mass Transf. 2000, 43, 219–229. [Google Scholar] [CrossRef]
- Tavassoli, H.; Kriebitzsch, S.H.L.; van der Hoef, M.A.; Peters, E.A.J.F.; Kuipers, J.A.M. Direct numerical simulation of particulate flow with heat transfer. Int. J. Multiph. Flow 2013, 57, 29–37. [Google Scholar] [CrossRef]
- Kravets, B.; Rosemann, T.; Reinecke, S.R.; Kruggel-Emden, H. A new drag force and heat transfer correlation derived from direct numerical LBM-simulations of flown through particle packings. Powder Technol. 2019, 345, 438–456. [Google Scholar] [CrossRef]















Disclaimer/Publisher’s Note: The statements, opinions and data contained in all publications are solely those of the individual author(s) and contributor(s) and not of MDPI and/or the editor(s). MDPI and/or the editor(s) disclaim responsibility for any injury to people or property resulting from any ideas, methods, instructions or products referred to in the content. |
© 2023 by the authors. Licensee MDPI, Basel, Switzerland. This article is an open access article distributed under the terms and conditions of the Creative Commons Attribution (CC BY) license (https://creativecommons.org/licenses/by/4.0/).
Share and Cite
Chen, Y.; Wang, X.; Zhu, H. A General Single-Node Second-Order Dirichlet Boundary Condition for the Convection–Diffusion Equation Based on the Lattice Boltzmann Method. Symmetry 2023, 15, 265. https://doi.org/10.3390/sym15020265
Chen Y, Wang X, Zhu H. A General Single-Node Second-Order Dirichlet Boundary Condition for the Convection–Diffusion Equation Based on the Lattice Boltzmann Method. Symmetry. 2023; 15(2):265. https://doi.org/10.3390/sym15020265
Chicago/Turabian StyleChen, Yong, Xiangyang Wang, and Hanhua Zhu. 2023. "A General Single-Node Second-Order Dirichlet Boundary Condition for the Convection–Diffusion Equation Based on the Lattice Boltzmann Method" Symmetry 15, no. 2: 265. https://doi.org/10.3390/sym15020265
APA StyleChen, Y., Wang, X., & Zhu, H. (2023). A General Single-Node Second-Order Dirichlet Boundary Condition for the Convection–Diffusion Equation Based on the Lattice Boltzmann Method. Symmetry, 15(2), 265. https://doi.org/10.3390/sym15020265

