Role of Differential Susceptibility and Infectiousness on the Dynamics of an SIRS Model for Malaria Transmission
Abstract
:1. Introduction
2. Model Formulation
2.1. Null Model
2.2. Extended Model
2.3. Existence and Stability of the Infection-Free Equilibrium and the Basic Reproduction Number
2.3.1. The Basic Reproduction Number
- is the time duration spent in the state;
- is the duration of time spent in the state;
- is the duration of time spent in the state;
- is the duration of time spent in the state;
- .
2.3.2. Stability of the Malaria-Free Equilibrium:
2.4. Endemic Equilibria
3. Bifurcation Analysis
3.1. Center Manifold Analysis near the Malaria-Free Equilibrium
3.2. Possible Bifurcation Diagrams
4. Role of Differential Susceptibility and Infectiousness
4.1. Non-Infectious Recovered Individuals
4.1.1. Impact of the Relative Infectivity Ratio
4.1.2. Impact of the Relative Susceptibility Ratio
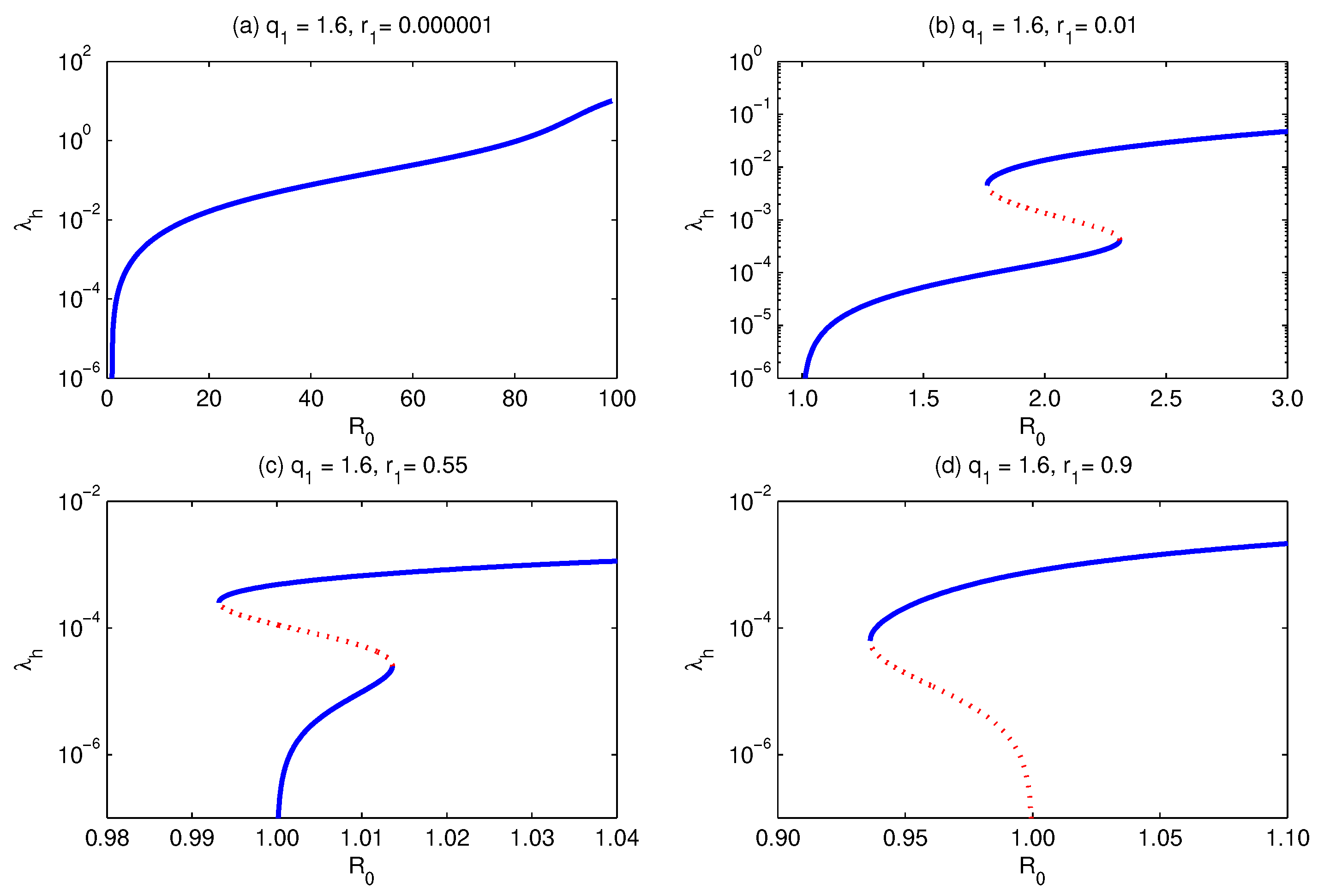
4.1.3. Impact of the Relative Susceptibility
- The first one is to consider to be small enough (e.g., ). Here, if we let increase, then the bifurcation curve would progress as follows. For small values of (e.g., ), the bifurcation diagram shows the existence of exactly one supercritical endemic equilibrium (similar to that shown in Figure 6a). If we increase (e.g., ), then we get a bifurcation curve for which a forward bifurcation as well as multiple supercritical endemic equilibria are exhibited (similar to that shown in Figure 6b). However, on letting increase further, the bifurcation curve becomes forward with a unique endemic equilibrium, similar to that shown in Figure 6c. Thus, in this case, multiple subcritical and supercritical endemic equilibria are impossible to exist.
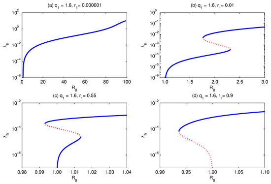
- The second situation is to consider slightly larger values of (e.g., ), but still less than . In this case, for small values of the relative susceptibility (of secondary with respect to naive susceptible human individuals) (e.g., ), the model shows the existence of a unique endemic equilibrium, Figure 8a. However, for larger values of (), the model exhibits forward as well as multiple supercritical endemic equilibria, but no subcritical endemic equilibria, Figure 8b. If is increased further (), the model shows the existence of forward bifurcation as well as sub- and supercritical endemic equilibria, Figure 8c. If is assumed to further increase, then the critical value of (at the turning point) separating between nonexistence and existence of endemic equilibria decreases (Figure 8d), which implies an increase in the effort required to eliminate the malaria infection [39].
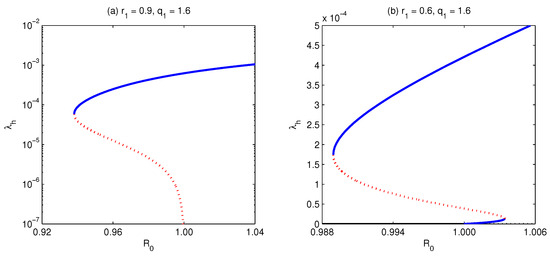
- The last situation is to consider values of the relative susceptibility (of primary with respect to naive susceptible human hosts) (e.g., ). In this case, the model exhibits backward bifurcation, but what is important is that increasing the value of the relative susceptibility (of secondary with repect to naive susceptible human hosts) implies a decrease in the value of the critical separating between the nonexistence and existence of endemic equilibria, which in turn increases the minimum effort required to eliminate malaria, Figure 8e–h.

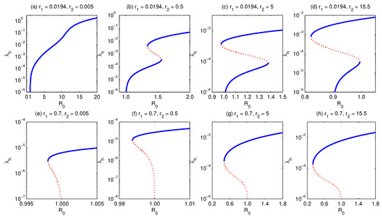
- For small enough values of the relative infectiousness (i.e., for values of on the left of the dotted vertical line in Figure 9), the model undergoes backward bifurcation as the relative susceptibility increases.
- If the relative infectiousness of secondary infected individuals is allowed to be fairly increased (e.g., for values of between the two vertical lines in Figure 9), then (as increases) the progression of the bifurcation diagram is as follows: a forward bifurcation (with the existence of a unique endemic equilibrium for ) is exhibited. Then, a forward bifurcation with multiple supercritical endemic equilibria (hysteresis) is shown. Then, it exhibits again a forward bifurcation with unique endemic equilibrium for . Finally, it undergoes backward bifurcation.
- If is further increased (e.g., for values corresponding to higher than that at the vertical dashed line in Figure 9), then the model shows transcritical bifurcation for small values of , which is followed by forward bifurcation with multiple supercritical endemic equilibria as increases. If is further increased, then the model shows the existence of forward with multiple super and subcritical endemic states (hysteresis) and finally, it undergoes backward bifurcation.

4.2. Infectious Recovered Individuals
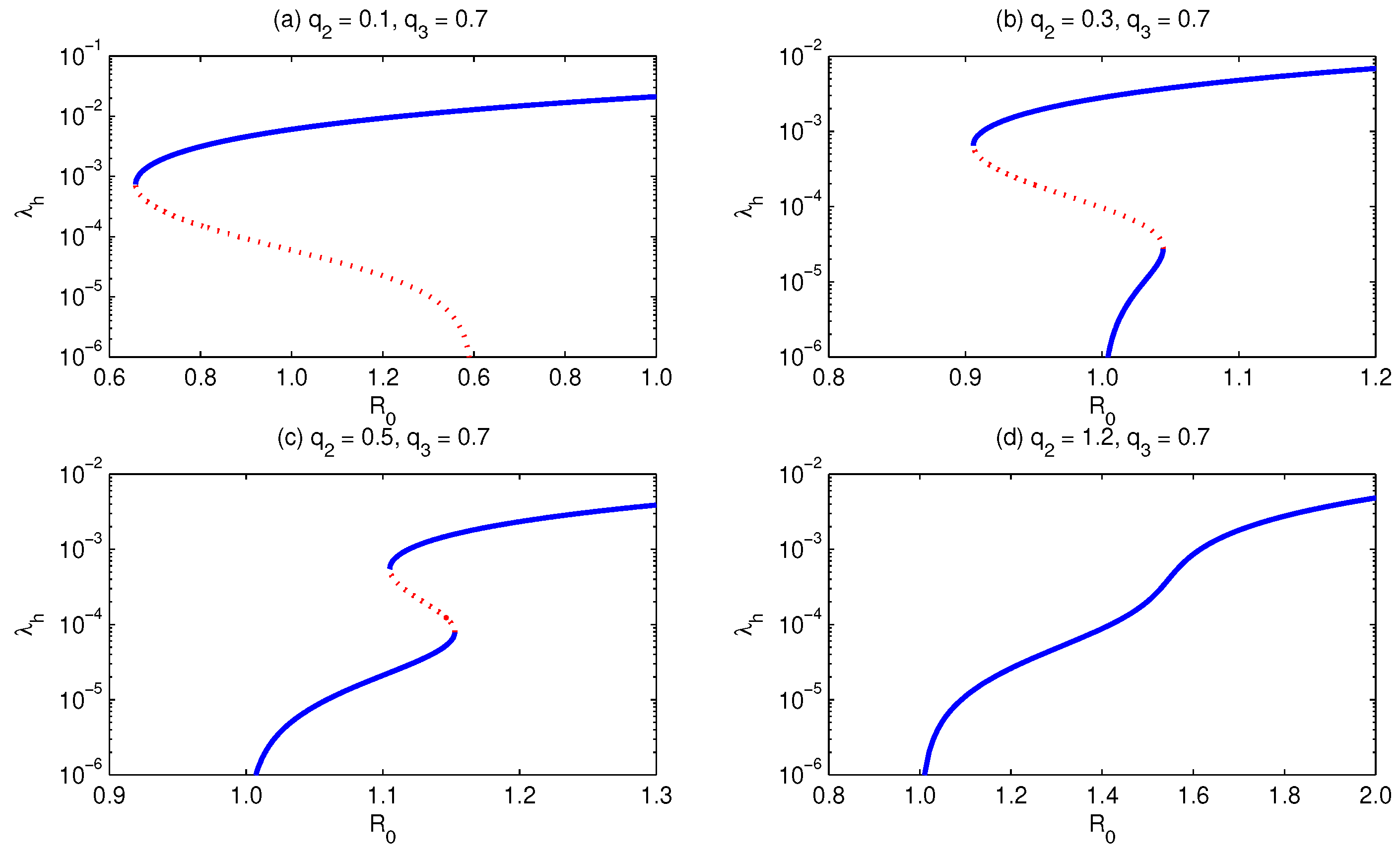
4.2.1. Impact of the Relative Infectiousness
4.2.2. Impact of the Relative Infectiousness
5. Role of Differential Mortality
6. Summary and Conclusions
- The higher the value of either or both of the relative susceptibilities (of primary susceptible) and infectiousness (of secondary infected) is, the higher the effort needed to eliminate malaria is.
- The higher the value of the relative infectiousness of secondary recovered individuals is, the higher the effort required to eliminate malaria is.
- The higher the value of the relative infectiousness of primary recovered individuals is, the lower the effort required to eliminate malaria is.
Limitation of the Work and Probable Future Work
Author Contributions
Funding
Data Availability Statement
Conflicts of Interest
Appendix A. Equilibrium Analysis of Model (1)
- The first scenario is . This implies that , and therefore, and . This is the malaria-free equilibrium for Equation (1).
- The second scenario is . In this case, the rearrangement of the terms results in the following quadratic equation in the equilibrium force of infectionwhereOnce we obtain a feasible solution of (A12), we substitute in (A4)–(A8) to obtain the corresponding equilibrium. At , we may derive the basic reproduction number for Equation (1) asIt is noteworthy that Equation (A12) is quadratic in and the number of feasible solutions could be determined by employing the implicit function theorem by following the approach shown in [40]. Moreover, the left hand side of Equation (A12) could be seen as a bifurcation equation in the equilibrium force of infection and the bifurcation parameter . Moreover, based on the use of the implicit function theorem, we may haveAt the bifurcation point in the plane we getwhereAlso,HenceThus, Equation (1) exhibits backward bifurcation if and only ifThe backward bifurcation condition (A15) implies that two malria-endemic equilibria do exist for values of . However, in the simple case , the condition (A15) does not hold and, consequently, the model has a unique malaria-endemic equilibrium if and only if .The stability analysis of the malaria-free equilibrium for Equation (1) could be established by following the same approach shown in Section 2.3. However, the stability analysis of the malaria endemic equilibrium of Equation (1) for values of could be established by following the same approach shown in [33].
Appendix B. Backward Bifurcation Conditions for Model (5)
- a simple eigenvalue 0, while all other eigenvalues have negative real parts. Therefore, the center manifold theory can be used to analyze the dynamics of Equation (5),
- a left eigenvector and a right eigenvector , whereand
References
- Cox, F.E. History of the discovery of the malaria parasites and their vectors. Parasites Vectors 2010, 3, 5. [Google Scholar] [CrossRef]
- Wirth, D. Malaria: A 21st century solution for an ancient disease. Nat. Med. 1998, 4, 1360–1362. [Google Scholar] [CrossRef] [PubMed]
- Koella, J.C. On the use of mathematical models of malaria transmission. Acta Trop. 1991, 49, 1–25. [Google Scholar] [CrossRef] [PubMed]
- Mandal, S.; Sarkar, R.R.; Sinha, S. Mathematical models of malaria —A review. Malar. J. 2011, 10, 202. [Google Scholar] [CrossRef] [PubMed]
- Tumwiine, J.; Mugisha, J.Y.T.; Luboobi, L.S. A mathematical model for the dynamics of malaria in a human host and mosquito vector with temporary immunity. Appl. Math. Comput. 2007, 189, 1953–1965. [Google Scholar] [CrossRef]
- Yang, H.M. Malaria transmission model for different levels of acquired immunity and temperature-dependent parameters (vector). Rev. Saude Publica 2000, 34, 223–231. [Google Scholar] [CrossRef]
- Ross, R. The Prevention of Malaria; John Murray: London, UK, 1911. [Google Scholar]
- Macdonald, G. The epidemiology and control of malaria. In The Epidemiology and Control of Malaria; CABI: Wallingford, UK, 1957. [Google Scholar]
- Dietz, K.; Molineaux, L.; Thomas, A. A malaria model tested in the African savannah. Bull. World Health Organ. 1974, 50, 347. [Google Scholar]
- Aron, J.L.; May, R.M. The population dynamics of malaria. In The Population Dynamics of Infectious Disease: Theory and Applications; Anderson, R.M., Ed.; Chapman and Hall: London, UK, 1982; pp. 139–179. [Google Scholar]
- Torres-Sorando, L.; Rodriguez, D.J. Models of spatio-temporal dynamics in malaria. Ecol. Model. 1997, 104, 231–240. [Google Scholar] [CrossRef]
- Koella, J.C.; Antia, R. Epidemiological models for the spread of anti-malarial resistance. Malar. J. 2003, 2, 3. [Google Scholar] [CrossRef]
- Filipe, J.A.N.; Riley, E.M.; Drakeley, C.J.; Sutherl, C.J.; Ghani, A.C. Determination of the processes driving the acquisition of immunity to malaria using a mathematical transmission model. PLoS Comput. Biol. 2007, 3, e255. [Google Scholar] [CrossRef]
- Ross, R. Inaugural lecture on the possibility of extirpating malaria from certain localities by a new method. Br. Med. J. 1899, 2, 1. [Google Scholar] [CrossRef] [PubMed]
- MacDonald, G.; Cuellar, C.B.; Foll, C.V. The dynamics of malaria. Bull. World Health Organ. 1968, 38, 743. [Google Scholar]
- Macdonald, G.; Göckel, G.W. The malaria parasite rate and interruption of transmission. Bull. World Health Organ. 1964, 31, 365. [Google Scholar] [PubMed]
- Macdonald, G. Theory of the eradication of malaria. Bull. World Health Organ. 1956, 15, 369. [Google Scholar] [PubMed]
- Macdonald, G. Epidemiological basis of malaria control. Bull. World Health Organ. 1956, 15, 613. [Google Scholar]
- Aron, J.L. Mathematical modeling of immunity to malaria. Math. Comput. Model. 1989, 12, 1180. [Google Scholar] [CrossRef]
- Gething, P.W.; Smith, D.L.; Patil, A.P.; Tatem, A.J.; Snow, R.W.; Hay, S.I. Climate change and the global malaria recession. Nature 2010, 465, 342–345. [Google Scholar] [CrossRef]
- Ngwa, G.A. On the population dynamics of the malaria vector. Bull. Math. Biol. 2006, 68, 2161–2189. [Google Scholar] [CrossRef]
- Ngwa, G.A.; Shu, W.S. A mathematical model for endemic malaria with variable human and mosquito populations. Math. Comput. Model. 2000, 32, 747–763. [Google Scholar] [CrossRef]
- Anderson, R.M.; May, R.M. Infectious Diseases of Humans: Dynamics and Control; Oxford University Press: Oxford, UK, 1991. [Google Scholar]
- Dietz, K. Mathematical models for transmission and control of malaria. In Malaria: Principles and Practice of Malariology; CABI: Wallingford, UK, 1988; Volume 2, pp. 1091–1133. [Google Scholar]
- Nedelman, J. Introductory review some new thoughts about some old malaria models. Math. Biosci. 1985, 73, 159–182. [Google Scholar] [CrossRef]
- Feng, Z.; Smith, D.L.; McKenzie, F.E.; Levin, S.A. Coupling ecology and evolution: Malaria and the S-gene across time scales. Math. Biosci. 2004, 189, 1–19. [Google Scholar] [CrossRef] [PubMed]
- Shim, E.; Feng, Z.; Castillo-Chavez, C. Differential impact of sickle cell trait on symptomatic and asymptomatic malaria. Math. Biosci. Eng. MBE 2012, 9, 877. [Google Scholar]
- Paaijmans, K.P.; Read, A.F.; Thomas, M.B. Understanding the link between malaria risk and climate. Proc. Natl. Acad. Sci. USA 2009, 106, 13844–13849. [Google Scholar] [CrossRef] [PubMed]
- Parham, P.E.; Michael, E. Modeling the effects of weather and climate change on malaria transmission. Environ. Health Perspect. 2010, 118, 620–626. [Google Scholar] [CrossRef] [PubMed]
- Chitnis, N.; Hyman, J.M.; Cushing, J.M. Determining important parameters in the spread of malaria through the sensitivity analysis of a mathematical model. Bull. Math. Biol. 2008, 70, 1272–1296. [Google Scholar] [CrossRef]
- Niger, A.M.; Gumel, A.B. Mathematical analysis of the role of repeated exposure on malaria transmission dynamics. Differ. Equations Dyn. Syst. 2008, 16, 251–287. [Google Scholar] [CrossRef]
- Chitnis, N.; Cushing, J.M.; Hyman, J.M. Bifurcation analysis of a mathematical model for malaria transmission. SIAM J. Appl. Math. 2006, 67, 24–45. [Google Scholar] [CrossRef]
- Safan, M.; Altheyabi, A. Mathematical Analysis of an Anthroponotic Cutaneous Leishmaniasis Model with Asymptomatic Infection. Mathematics 2023, 11, 2388. [Google Scholar] [CrossRef]
- Van den Driessche, P.; Watmough, J. Reproduction numbers and sub-threshold endemic equilibria for compartmental models of disease transmission. Math. Biosci. 2002, 180, 29–48. [Google Scholar] [CrossRef]
- Thieme, H.R. Mathematics in Population Biology; Princeton University Press: Princeton, NJ, USA, 2018; Volume 12. [Google Scholar]
- Castillo-Chavez, C.; Song, B. Dynamical models of tuberculosis and their applications. Math. Biosci. Eng. 2004, 1, 361–404. [Google Scholar] [CrossRef]
- Agusto, F.B.; Del Valle, S.Y.; Blayneh, K.W.; Ngonghala, C.N.; Goncalves, M.J.; Li, N.; Zhao, R.; Gong, H. The impact of bed-net use on malaria prevalence. J. Theor. Biol. 2013, 320, 58–65. [Google Scholar] [CrossRef] [PubMed]
- Chiyaka, C.; Garira, W.; Dube, S. Effects of treatment and drug resistance on the transmission dynamics of malaria in endemic areas. Theor. Popul. Biol. 2009, 75, 14–29. [Google Scholar] [CrossRef] [PubMed]
- Safan, M.; Heesterbeek, H.; Dietz, K. The minimum effort required to eradicate infections in models with backward bifurcation. J. Math. Biol. 2006, 53, 703–718. [Google Scholar] [CrossRef] [PubMed]
- Safan, M.; Dietz, K. On the eradicability of infections with partially protective vaccination in models with backward bifurcation. Math. Biosci. Eng. 2009, 6, 395–407. [Google Scholar] [PubMed]










| State Variable | Description |
|---|---|
| Number of susceptible humans who never experienced the infection at time t. | |
| Number of primary infected humans (i.e., individuals who experience malaria for the first time) at time t. | |
| Number of primary recovered (assumed carrier) humans from primary infection at time t, but are still slightly infectious. | |
| Number of humans who recovered totally from the first infection and become susceptible again (after experiencing the infection only once) at time t. | |
| Number of secondary infected humans (i.e., human individuals who acquired malaria infection at least for the second time) at time t. | |
| Number of secondary recovered humans (i.e., recovered from secondary infection) at time t. | |
| Number of secondary susceptible humans (i.e., susceptible individuals who have experienced the infection at least twice before) at time t. | |
| Number of susceptible mosquitoes at time t. | |
| Number of infectious mosquitoes at time t. | |
| Total human population size at time t. | |
| Total mosquito population size at time t. |
| Parameter | Description | Dimension |
|---|---|---|
| Recruitment rate of humans | Time−1 | |
| Recruitment rate of mosquitoes | Time−1 | |
| Natural death rate of humans (i.e., deaths due to causes other than malaria) | Time−1 | |
| Natural death rate of mosquitoes | Time−1 | |
| The number of human bites one mosquito has per unit time | Time−1 | |
| The number of mosquito bites one human has per unit time | Time−1 | |
| Transmission probability from an infectious human to a susceptible mosquito | Dimensionless | |
| Transmission probability from an infectious mosquito to a susceptible human | Dimensionless | |
| Rate of acquisition of immunity due to the primary infection | Time−1 | |
| Rate of acquisition of immunity due to the secondary infections | Time−1 | |
| Malaria-induced mortality rate for humans due to primary infections | Time−1 | |
| Malaria-induced mortality rate for humans due to secondary infections | Time−1 | |
| Rate of loss of immunity acquired by primary infection | Time−1 | |
| Rate of loss of immunity acquired by secondary infections | Time−1 | |
| The relative susceptibility of primary susceptible with respect to naive susceptible individuals | Dimensionless | |
| The relative susceptibility of secondary susceptible with respect to naive susceptible individuals | Dimensionless | |
| The relative infectivity of secondary infected with respect to primary infected individuals | Dimensionless | |
| The relative infectivity of primary recovered with respect to primary infected individuals | Dimensionless | |
| The relative infectivity of secondary recovered with respect to primary infected individuals | Dimensionless |
Disclaimer/Publisher’s Note: The statements, opinions and data contained in all publications are solely those of the individual author(s) and contributor(s) and not of MDPI and/or the editor(s). MDPI and/or the editor(s) disclaim responsibility for any injury to people or property resulting from any ideas, methods, instructions or products referred to in the content. |
© 2023 by the authors. Licensee MDPI, Basel, Switzerland. This article is an open access article distributed under the terms and conditions of the Creative Commons Attribution (CC BY) license (https://creativecommons.org/licenses/by/4.0/).
Share and Cite
Safan, M.; Bichara, D.; Yong, K.E.; Alharthi, A.; Castillo-Chavez, C. Role of Differential Susceptibility and Infectiousness on the Dynamics of an SIRS Model for Malaria Transmission. Symmetry 2023, 15, 1950. https://doi.org/10.3390/sym15101950
Safan M, Bichara D, Yong KE, Alharthi A, Castillo-Chavez C. Role of Differential Susceptibility and Infectiousness on the Dynamics of an SIRS Model for Malaria Transmission. Symmetry. 2023; 15(10):1950. https://doi.org/10.3390/sym15101950
Chicago/Turabian StyleSafan, Muntaser, Derdei Bichara, Kamuela E. Yong, Amira Alharthi, and Carlos Castillo-Chavez. 2023. "Role of Differential Susceptibility and Infectiousness on the Dynamics of an SIRS Model for Malaria Transmission" Symmetry 15, no. 10: 1950. https://doi.org/10.3390/sym15101950
APA StyleSafan, M., Bichara, D., Yong, K. E., Alharthi, A., & Castillo-Chavez, C. (2023). Role of Differential Susceptibility and Infectiousness on the Dynamics of an SIRS Model for Malaria Transmission. Symmetry, 15(10), 1950. https://doi.org/10.3390/sym15101950

