A Novel Technique of Extracting UCN Decay Lifetime from Storage Chamber Measurements Dominated by Scattering Losses
Abstract
1. Introduction
1.1. Previous Measurements of the Neutron Lifetime
1.2. Tension between Beam-Line and UCN Lifetime Measurements
1.3. Inputs into the Neutron Lifetime from Measurements of -Decay Correlations
2. Data and Apparatus
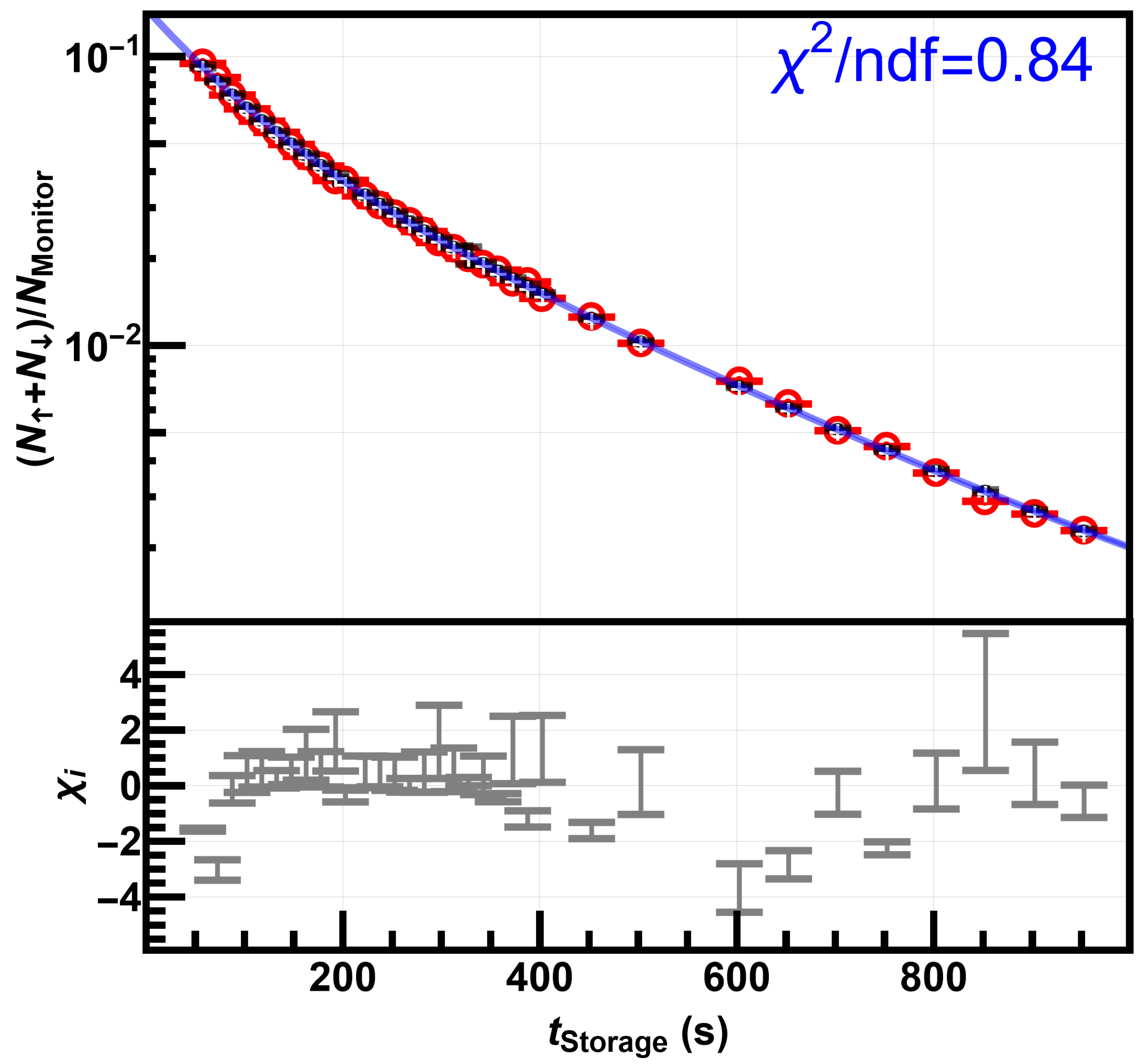
3. Analysis: Fitting the Loss Model to the UCN Storage Curve
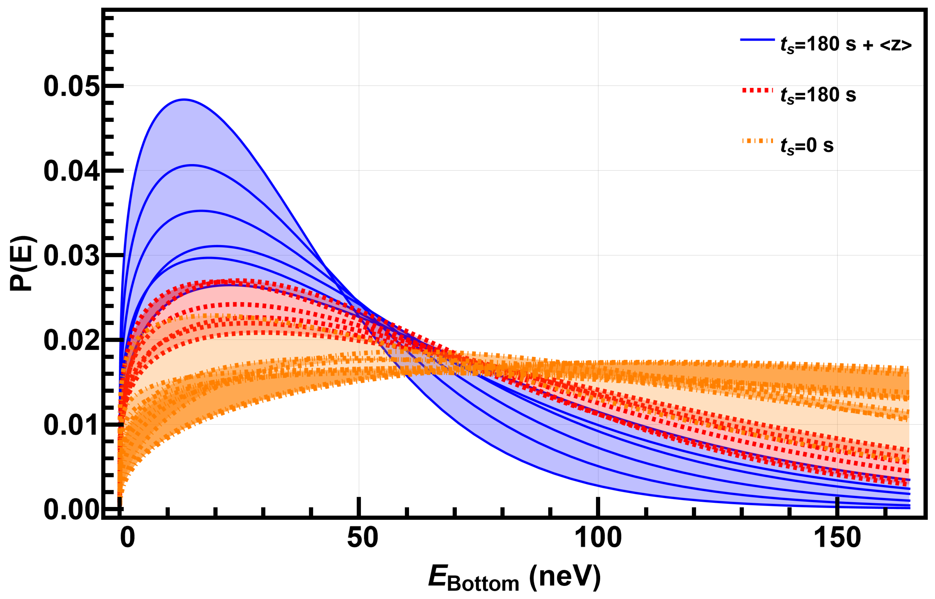
3.1. Characterization of the Energy Spectra
3.2. Constraints upon the UCN Center of Mass Offset
3.3. Neutron Lifetime Extraction
4. Discussion of the Sources of Errors
5. Conclusions
Author Contributions
Funding
Institutional Review Board Statement
Informed Consent Statement
Data Availability Statement
Acknowledgments
Conflicts of Interest
References
- Von Weizsäcker, C.F. Zur Theorie der Kernmassen. Zeit. Für Phys. 1935, 96, 431. [Google Scholar] [CrossRef]
- Fermi, E. Versuch einer Theorie der β-Strahlen. Zeit. Für Phys. 1934, 88, 161. [Google Scholar] [CrossRef]
- Gamow, G.; Teller, E. Selection Rules for the β-Disintegration. Phys. Rev. 1936, 49, 895. [Google Scholar] [CrossRef]
- Lee, T.D.; Yang, C.-N. Question of Parity Conservation in Weak Interactions. Phys. Rev. 1956, 104, 254. [Google Scholar] [CrossRef]
- Salam, A.; Ward, J.C. Electromagnetic and weak interactions. Phys. Lett. 1964, 13, 168. [Google Scholar] [CrossRef]
- Weinberg, S. A Model of Leptons. Phys. Rev. Lett. 1967, 19, 1264. [Google Scholar] [CrossRef]
- Glashow, S.L.; Iliopoulos, J. Divergences of Massive Yang-Mills Theories. Phys. Rev. D 1971, 3, 1043. [Google Scholar] [CrossRef]
- Feynman, R.P.; Gell-Mann, M. Theory of the Fermi Interaction. Phys. Rev. 1958, 109, 193. [Google Scholar] [CrossRef]
- Sudarshan, E.C.G.; Marshak, R.E. Chirality Invariance and the Universal Fermi Interaction. Phys. Rev. 1958, 109, 1860. [Google Scholar] [CrossRef]
- (CODATA) Mohr, P.J.; Newell, D.B.; Taylor, B.N. CODATA Recommended Values of the Fundamental Physical Constants. J. Phys. Chem. Ref. Data 2016, 45, 043102. [Google Scholar] [CrossRef]
- Cabibbo, N. Unitary Symmetry and Leptonic Decays. Phys. Rev. Lett. 1963, 10, 531. [Google Scholar] [CrossRef]
- Kobayashi, M.; Maskawa, T. CP-Violation in the Renormalizable Theory of Weak Interaction. Progr. Theor. Phys. 1973, 49, 652. [Google Scholar] [CrossRef]
- Severijns, N.; Beck, M.; Naviliat-Cuncic, O. Tests of the standard electroweak model in nuclear beta decay. Rev. Mod. Phys. 2006, 78, 991. [Google Scholar] [CrossRef]
- Cirigliano, V.; Gardner, S.; Holstein, B.R. Beta decays and non-standard interactions in the LHC era. Prog. Part. Nucl. Phys. 2013, 71, 93. [Google Scholar] [CrossRef]
- Snell, A.H.; Pleasonton, F.; McCord, R.V. Radioactive Decay of the Neutron. Phys. Rev. 1950, 78, 310. [Google Scholar] [CrossRef]
- Robson, J.M. Radioactive Decay of the Neutron. Phys. Rev. 1950, 78, 311. [Google Scholar] [CrossRef]
- Robson, J.M. The Radioactive Decay of the Neutron. Phys. Rev. 1951, 83, 349. [Google Scholar] [CrossRef]
- Yue, A.T.; Dewey, M.S.; Gilliam, D.M.; Greene, G.L.; Laptev, A.B.; Nico, J.S.; Snow, W.M.; Wietfeldt, F.E. Improved Determination of the Neutron Lifetime. Phys. Rev. Lett. 2013, 111, 222501. [Google Scholar] [CrossRef]
- Steyerl, A.; Pendlebury, J.M.; Kaufman, C.; Malik, S.S.; Desai, A.M. Quasielastic Scattering in the Interaction of Ultracold Neutrons with a Liquid Wall and Application in a Reanalysis of the Mambo I Neutron-Lifetime Experiment. Phys. Rev. C 2012, 85, 065503. [Google Scholar] [CrossRef]
- Serebrov, A.P.; Kolomensky, E.A.; Fomin, A.K.; Krasnoshchekova, I.A.; Vassiljev, A.V.; Prudnikov, D.M.; Shoka, I.V.; Chechkin, A.V.; Chaikovskiy, M.E.; Varlamov, V.E.; et al. Neutron Lifetime Measurements with a Large Gravitational Trap for Ultracold Neutrons. Phys. Rev. C 2018, 97, 055503. [Google Scholar] [CrossRef]
- Arzumanov, S.; Bondarenko, L.; Chernyavskya, S.; Geltenbort, P.; Morozova, V.; Nesvizhevsky, V.V.; Panin, Y.; Strepetova, A. A measurement of the neutron lifetime using the method of storage of ultracold neutrons and detection of inelastically up-scattered neutrons. Phys. Lett. B 2015, 745, 79. [Google Scholar] [CrossRef]
- Serebrov, A.P.; Varlamov, V.E.; Kharitonov, A.G.; Fomin, A.K.; Pokotilovski, Y.N.; Geltenbort, P.; Krasnoschekova, I.A.; Lasakov, M.S.; Taldaev, R.R.; Vassiljev, A.V.; et al. Neutron lifetime measurements using gravitationally trapped ultracold neutrons. Phys. Rev. C 2008, 78, 035505. [Google Scholar] [CrossRef]
- Ezhov, V.F.; Andreeva, A.Z.; Ban, G.; Bazarova, B.A.; Geltenbort, P.; Glushkova, A.G.; Knyazkov, V.A.; Kovrizhnykhe, N.A.; Krygina, G.B.; Naviliat-Cuncic, O.; et al. Measurement of the Neutron Lifetime with Ultracold Neutrons Stored in a Magneto-Gravitational Trap. JETP Lett. 2018, 107, 671. [Google Scholar] [CrossRef]
- Gonzalez, F.M.; Fries, E.M.; Cude-Woods, C.; Bailey, T.; Blatnik, M.; Broussard, L.J.; Callahan, N.B.; Choi, J.H.; Clayton, S.M.; Currie, S.A.; et al. Improved neutron lifetime measurement with UCNτ. Phys. Rev. Lett. 2021, 127, 162501. [Google Scholar] [CrossRef]
- D’Angelo, N. Cloud-Chamber Measurement of the Half-Life of the Neutron. Phys. Rev. 1959, 114, 285. [Google Scholar] [CrossRef]
- Kossakowski, R.; Grivot, P.; Liaud, P.; Schreckenbach, K.; Azuelos, G. Neutron Lifetime Measurement with a Helium-Filled Time Projection Chamber. Nucl. Phys. A 1989, 503, 473. [Google Scholar] [CrossRef]
- Wilson, J.T.; Lawrence, D.J.; Peplowski, P.N.; Eke, V.R.; Kegerreis, J.A. Space-Based Measurement of the Neutron Lifetime Using Data from the Neutron Spectrometer on NASA’s MESSENGER Mission. Phys. Rev. Res. 2020, 2, 023316. [Google Scholar] [CrossRef]
- Wietfeldt, F.E.; Greene, G.L. Colloquium: The neutron lifetime. Rev. Mod. Phys. 2011, 83, 1173. [Google Scholar] [CrossRef]
- Wietfeldt, F. Measurements of the Neutron Lifetime. Atoms 2018, 6, 70. [Google Scholar] [CrossRef]
- Spivak, P.E.; Sosnovsky, A.N.; Prokofiev, Y.A.; Sokolov, V.S. Neutron Lifetime, in Report of the United Nations Delegation to the International Conference on the Peaceful Uses of Atomic Energy. In Neutron Lifetime; Page, N., Ed.; Report of the United Nations Delegation to the International Conference on the Peaceful Uses of Atomic Energy; United Nations: San Francisco, CA, USA, 1956; p. 33. [Google Scholar] [CrossRef]
- Sosnovsky, A.N.; Spivak, P.E.; Prokofiev, Y.A.; Kutikov, I.E.; Dobrinin, Y.P. Measurement of the Neutron Life-Time. Phys. Rev. C 1959, 10, 395. [Google Scholar] [CrossRef]
- Bondarenko, L.N.; Kurguzov, V.V.; Prokof’ev, Y.A.; Rogov, E.V.; Spivak, P.E. Measurement of the Neutron Half-Life. JETP Lett. 1978, 28, 303–307. Available online: https://www.osti.gov/biblio/6466740 (accessed on 3 February 2021).
- Christensen, C.J.; Nielsen, A.; Bahnsen, A.; Brown, W.K.; Rustad, B.M. Free-Neutron Beta-Decay Half-Life. Phys. Rev. D 1972, 5, 1628. [Google Scholar] [CrossRef]
- Byrne, J.; Morse, J.; Smith, K.F.; Shaikh, F.; Green, K.; Greene, G.L. A New Measurement of the Neutron Lifetime. Phys. Lett. B 1980, 92, 274. [Google Scholar] [CrossRef]
- Byrne, J.; Dawber, P.G.; Spain, A.; Williams, A.P.; Dewey, M.S.; Gilliam, D.M.; Greene, G.L.; Lamaze, G.P.; Scott, R.D.; Pauwels, J.; et al. Measurement of the neutron lifetime by counting trapped protons. Phys. Rev. Lett. 1990, 65, 289. [Google Scholar] [CrossRef]
- Spivak, P.E. Neutron Lifetime Obtained from Atomic-Energy-Institute Experiment [JETP Lett. 28, 303 (1978)]. JETP Lett. 1988, 67, 1735–1740. Available online: https://inis.iaea.org/search/search.aspx?orig_q=RN:22027615 (accessed on 4 February 2021).
- Byrne, J.; Dawber, P.G.; Habeck, C.G.; Smidt, S.J.; Spain, J.A.; Williams, A.P. A Revised Value for the Neutron Lifetime Measured Using a Penning Trap. Euro. Phys. Lett. 1996, 33, 187. [Google Scholar] [CrossRef]
- Last, J.; Arnold, M.; Döhner, J.; Dubbers, D.; Freedman, S.J. Pulsed-Beam Neutron-Lifetime Measurement. Phys. Rev. Lett. 1988, 60, 995. [Google Scholar] [CrossRef] [PubMed]
- Dewey, M.S.; Gilliam, D.M.; Nico, J.S.; Wietfeldt, F.E.; Fei, X.; Snow, W.M.; Greene, G.L.; Pauwels, J.; Eykens, R.; Lamberty, A.; et al. Measurement of the Neutron Lifetime Using a Proton Trap. Phys. Rev. Lett. 2003, 91, 152302. [Google Scholar] [CrossRef] [PubMed]
- Nico, J.S.; Dewey, M.S.; Gilliam, D.M.; Wietfeldt, F.E.; Fei, X.; Snow, W.M.; Greene, G.L.; Pauwels, J.; Eykens, R.; Lamberty, A.; et al. Measurement of the neutron lifetime by counting trapped protons in a cold neutron beam. Phys. Rev. C 2005, 71, 055502. [Google Scholar] [CrossRef]
- Kosvintsev, Y.Y.; Kushnir, Y.A.; Morozov, V.I.; Terekhov, G.I. Use of Ultracold Neutrons for Measurement of the Neutron Lifetime. JETP Lett. 1980, 31, 236–240. Available online: https://www.osti.gov/biblio/5239030 (accessed on 4 February 2021).
- Kosvintsev, Y.Y.; Morozov, V.I.; Terekhov, G.I. Measurement of neutron lifetime through storage of ultracold neutrons. JETP Lett. 1986, 44, 571. Available online: https://ui.adsabs.harvard.edu/abs/1986ZhPmR..44..444K (accessed on 4 February 2021).
- Morozov, V.I. Neutron lifetime determination by ultracold neutron storage. Nucl. Instrum. Methods Phys. Res. A 1989, 284, 108. [Google Scholar] [CrossRef]
- Mampe, W.; Ageron, P.; Bates, C.; Pendlebury, J.M.; Steyerl, A. Neutron Lifetime Measured with Stored Ultracold Neutrons. Phys. Rev. Lett. 1989, 63, 593. [Google Scholar] [CrossRef]
- Pichlmaier, A.; Butterworth, J.; Geltenbort, P.; Nagel, H.; Nesvizhevsky, V.; Neumaier, S.; Schreckenbach, K.; Steichele, E.; Varlamov, V. MAMBO II: Neutron Lifetime Measurement with Storage of Ultra Cold Neutrons. Nucl. Instrum. Methods Phys. Res. A 2000, 440, 517. [Google Scholar] [CrossRef]
- Pichlmaier, A.; Varlamov, V.; Schreckenbach, K.; Geltenbort, P. Neutron Lifetime Measurement with the UCN Trap-in-Trap MAMBO II. Phys. Lett. B 2010, 693, 221. [Google Scholar] [CrossRef]
- Kharitonov, A.G.; Nesvizhevsky, V.V.; Serebrov, A.P.; Taldaev, R.R.; Varlamov, V.E.; Vasilyev, A.V.; Alfimenkov, V.P.; Lushchikov, V.I.; Shvetsov, V.N.; Strelkov, A.V. Preliminary Results of Neutron Lifetime Measurements with Gravitational UCN Trap. Nucl. Instrum. Methods Phys. Res. A 1989, 284, 98. [Google Scholar] [CrossRef]
- Alfimenkov, V.P.; Varlamov, V.E.; Vasilev, A.V.; Gudkov, V.P.; Valery, S. Measurement of Neutron Lifetime with a Gravitational Trap for Ultracold Neutrons. JETP Lett. 1990, 52, 373. Available online: http://www.jetpletters.ac.ru/ps/1158/article_17515.shtml (accessed on 6 February 2021).
- Nesvizhevskii, V.V.; Serebrov, A.P.; Tal’daev, R.R.; Kharitonov, A.G.; Alfimenkov, V.P.; Strelkov, A.V.; Shvetsov, V.N. Measurement of the Neutron Lifetime in a Gravitational Trap and Analysis of Experimental Errors. Sov. Phys. JETP 1992, 75, 405. Available online: https://inspirehep.net/literature/346975 (accessed on 4 February 2021).
- Mampe, W.; Mampe, W.; Bondarenko, L.N.; Morozov, V.I.; Panin, Y.N.; Fomin, A.I. Measuring Neutron Lifetime by Storing Ultracold Neutrons and Detecting Inelastically Scattered Neutrons. JETP Lett. 1993, 57, 82. [Google Scholar]
- Arzumanov, S.; Bondarenko, L.; Chernyavsky, S.; Drexel, W.; Fomin, A.; Geltenbort, P.; Morozov, V.; Panin, Y.; Pendlebury, J.; Schreckenbach, K. Neutron Life Time Value Measured by Storing Ultracold Neutrons with Detection of Inelastically Scattered Neutrons. Phys. Lett. B 2000, 483, 15. [Google Scholar] [CrossRef]
- Arzumanov, S.S.; Bondarenko, L.N.; Morozov, V.I.; Panin, Y.N.; Chernyavsky, S.M. Analysis and Correction of the Measurement of the Neutron Lifetime. JETP Lett. 2012, 95, 224. [Google Scholar] [CrossRef]
- Serebrov, A.; Varlamov, V.; Kharitonov, A.; Fomin, A.; Pokotilovski, Y.; Geltenbort, P.; Butterworth, J.; Krasnoschekova, I.; Lasakov, M.; Tal’daev, R.; et al. Measurement of the Neutron Lifetime Using a Gravitational Trap and a Low-Temperature Fomblin Coating. Phys. Lett. B 2005, 605, 72. [Google Scholar] [CrossRef]
- Kügler, K.-J.; Paul, W.; Trinks, U. A magnetic storage ring for neutrons. Phys. Lett. B 1978, 72, 422. [Google Scholar] [CrossRef]
- Kügler, K.-J.; Moritz, K.; Paul, W.; Trinks, U. Nestor—A magnetic storage ring for slow neutrons. Nucl. Instrum. Methods Phys. Res. A 1985, 228, 240. [Google Scholar] [CrossRef]
- Paul, W.; Anton, F.; Paul, L.; Paul, S.; Mampe, W. Measurement of the Neutron Lifetime in a Magnetic Storage Ring. Zeit. Für Phys. C 1989, 45, 25. [Google Scholar] [CrossRef]
- Anton, F.; Paul, W.; Mampe, W.; Paul, L.; Paul, S. Measurement of the Neutron Lifetime by Magnetic Storage of Free Neutrons. Nucl. Instrum. Methods Phys. Res. A 1989, 284, 101. [Google Scholar] [CrossRef]
- Ezhov, V.F.; Andreev, A.Z.; Ban, G.; Bazarov, B.A.; Geltenbort, P.; Hartman, F.J.; Glushkov, A.G.; Groshev, M.G.; Knyazkov, V.A.; Kovrizhnykh, N.A.; et al. Magnetic storage of UCN for a measurement of the neutron lifetime. Nucl. Instrum. Methods Phys. Res. A 2009, 611, 167. [Google Scholar] [CrossRef]
- Huffman, P.R.; Brome, C.R.; Butterworth, J.S.; Coakley, K.J.; Dewey, M.S.; Dzhosyuk, S.N.; Golub, R.; Greene, G.L.; Habicht, K.; Lamoreaux, S.K.; et al. Magnetic trapping of neutrons. Nature 2000, 403, 62. [Google Scholar] [CrossRef]
- Brome, C.R.; Butterworth, J.S.; Dzhosyuk, S.N.; Mattoni, C.E.; McKinsey, D.N.; Doyle, J.M.; Huffman, P.R.; Dewey, M.S.; Wietfeldt, F.E.; Golub, R.; et al. Magnetic trapping of ultracold neutrons. Phys. Rev. C 2001, 63, 055502. [Google Scholar] [CrossRef]
- Yang, L. Towards Precision Measurement of the Neutron Lifetime Using Magnetically Trapped Neutrons. Ph.D. Thesis, Harvard University, Cambridge, MA, USA, 2006. Available online: https://ui.adsabs.harvard.edu/abs/2006PhDT........30Y (accessed on 6 February 2021).
- Leung, K.K.H.; Geltenbort, P.; Ivanov, S.; Rosenau, F.; Zimmer, O. Neutron Lifetime Measurements and Effective Spectral Cleaning with an Ultracold Neutron Trap Using a Vertical Halbach Octupole Permanent Magnet Array. Phys. Rev. C 2016, 94, 045502. [Google Scholar] [CrossRef]
- Pattie, R.W., Jr.; Callahan, N.B.; Cude-Woods, C.; Adamek, E.R.; Broussard, L.J.; Clayton, S.M.; Currie, S.A.; Dees, E.B.; Ding, X.; Engel, E.M.; et al. (UCN-τ Collaboration) Measurement of the neutron lifetime using a magneto-gravitational trap and in situ detection. Science 2018, 360, 627. [Google Scholar] [CrossRef] [PubMed]
- (Particle Data Group) Zyla, P.A.; Barnett, R.M.; Beringer, J.; Dahl, O.; Dwyer, D.A.; Groom, D.E.; Lin, C.-J.; Lugovsky, K.S.; Pianori, E.; Robinson, D.J.; et al. Review of Particle Physics. Prog. Theor. Exp. Phys. 2020, 8, 083C01. [Google Scholar] [CrossRef]
- Rajan, A.; Desai, S. A meta-analysis of neutron lifetime measurements. Prog. Theor. Exp. Phys. 2020, 2020, 013C01. [Google Scholar] [CrossRef]
- Fornal, B.; Grinstein, B. Dark Matter Interpretation of the Neutron Decay Anomaly. Phys. Rev. Lett. 2018, 120, 191801. [Google Scholar] [CrossRef]
- Berezhiani, Z. Neutron lifetime puzzle and neutron-mirror neutron oscillation. Euro. Phys. J. C 2019, 79, 484. [Google Scholar] [CrossRef]
- Berezhiani, Z. Neutron lifetime and dark decay of the neutron and hydrogen. Lett. High Energy Phys. 2019, 2, 10. [Google Scholar] [CrossRef]
- Czarnecki, A.; Marciano, W.J.; Sirlin, A. Neutron Lifetime and Axial Coupling Connection. Phys. Rev. Lett. 2018, 120, 202002. [Google Scholar] [CrossRef]
- Dubbers, D.; Saul, H.; Märkisch, B.; Soldner, T.; Abele, H. Exotic Decay Channels Are Not the Cause of the Neutron Lifetime Anomaly. Phys. Lett. B 2019, 791, 6. [Google Scholar] [CrossRef]
- Broussard, L.J.; Barrow, J.L.; DeBeer-Schmitt, L.; Dennis, T.; Fitzsimmons, M.R.; Frost, M.J.; Gilbert, C.E.; Gonzalez, F.M.; Heilbronn, L.; Iverson, E.B.; et al. Experimental Search for Neutron to Mirror Neutron Oscillations as an Explanation of the Neutron Lifetime Anomaly. Phys. Rev. Lett. 2022, 128, 212503. [Google Scholar] [CrossRef]
- Jackson, J.D.; Treiman, S.B.; Wyld, H.W. Possible Tests of Time Reversal Invariance in Beta Decay. Phys. Rev. 1957, 106, 517. [Google Scholar] [CrossRef]
- Nico, J.S. Neutron beta decay. J. Phys. G 2009, 36, 104001. [Google Scholar] [CrossRef]
- Hickerson, K.P.; Sun, X.; Bagdasarova, Y.; Bravo-Berguño, D.; Broussard, L.J.; Brown, M.A.-P.; Carr, R.; Currie, S.; Ding, X.; Filippone, B.W.; et al. First direct constraints on Fierz interference in free-neutron β decay. Phys. Rev. C 2017, 96, 042501. [Google Scholar] [CrossRef]
- Saul, H.; Roick, C.; Abele, H.; Mest, H.; Klopf, M.; Petukhov, A.K.; Soldner, T.; Wang, X.; Werder, D.; Märkisch, B. Limit on the Fierz Interference Term B from a Measurement of the Beta Asymmetry in Neutron Decay. Phys. Rev. Lett. 2020, 125, 112501. [Google Scholar] [CrossRef] [PubMed]
- González-Alonso, M.; Naviliat-Cuncic, O.; Severijns, N. New physics searches in nuclear and neutron β decay. Prog. Part. Nucl. Phys. 2019, 104, 165. [Google Scholar] [CrossRef]
- Marciano, W.J.; Sirlin, A. Improved calculation of electroweak radiative corrections and the value of Vud. Phys. Rev. Lett. 2006, 96, 032002. [Google Scholar] [CrossRef]
- Brown, M.A.-P.; Dees, E.B.; Adamek, E.; Allgeier, B.; Blatnik, M.; Bowles, T.J.; Broussard, L.J.; Carr, R.; Clayton, S.; Cude-Woods, C.; et al. New result for the neutron β-asymmetry parameter A0 from UCNA. Phys. Rev. C 2018, 97, 035505. [Google Scholar] [CrossRef]
- Schumann, M.; Schumann, M.; Kreuz, M.; Deissenroth, M.; Glück, F.; Krempel, J.; Märkisch, B.; Mund, D.; Petoukhov, A.; Soldner, T. Measurement of the Proton Asymmetry Parameter in Neutron Beta Decay. Phys. Rev. Lett. 2008, 100, 151801. [Google Scholar] [CrossRef]
- Märkisch, B.; Mest, H.; Saul, H.; Wang, X.; Abele, H.; Dubbers, D.; Klopf, M.; Petoukhov, A.; Roick, C.; Soldner, T.; et al. Measurement of the Weak Axial-Vector Coupling Constant in the Decay of Free Neutrons Using a Pulsed Cold Neutron Beam. Phys. Rev. Lett. 2019, 122, 242501. [Google Scholar] [CrossRef]
- Mund, D.; Märkisch, B.; Deissenroth, M.; Krempel, J.; Schumann, M.; Abele, H.; Petoukhov, A.; Soldner, T. Determination of the Weak Axial Vector Coupling λ=gA/gV from a Measurement of the β-Asymmetry Parameter A in Neutron Beta Decay. Phys. Rev. Lett. 2013, 110, 172502. [Google Scholar] [CrossRef]
- Darius, G.; Byron, W.A.; DeAngelis, C.R.; Hassan, M.T.; Wietfeldt, F.E.; Collett, B.; Joneset, G.L.; Dewey, M.S.; Mendenhall, M.P.; Nico, J.S.; et al. Measurement of the Electron-Antineutrino Angular Correlation in Neutron β Decay. Phys. Rev. Lett. 2017, 119, 042502. [Google Scholar] [CrossRef]
- Beck, M.; Ayala Guardia, F.; Borg, M.; Kahlenberg, J.; Muñoz Horta, R.; Schmidt, C.; Wunderle, A.; Heil, W.; Maisonobe, R.; Simson, M.; et al. Improved determination of the β-νe¯ angular correlation coefficient a in free neutron decay with the SPECT spectrometer. Phys. Rev. C 2020, 101, 055506. [Google Scholar] [CrossRef]
- Hardy, J.C.; Towner, I.S. Superallowed 0+→0+ nuclear β decays: 2014 critical survey, with precise results for Vud and CKM unitarity. Phys. Rev. C 2015, 91, 025501. [Google Scholar] [CrossRef]
- Towner, I.S.; Hardy, J.C. The evaluation of Vud and its impact on the unitarity of the Cabibbo–Kobayashi–Maskawa quark-mixing matrix. Rep. Prog. Phys. 2010, 73, 046301. [Google Scholar] [CrossRef]
- Hardy, J.C.; Towner, I.S. CKM unitarity normalization tests, present and future. Ann. Phys. 2013, 525, 443. [Google Scholar] [CrossRef]
- Belfatto, B.; Beradze, R.; Berezhiani, Z. The CKM unitarity problem: A trace of new physics at the TeV scale? Euro. Phys. J. C 2020, 80, 149. [Google Scholar] [CrossRef]
- Abel, C.; Ayres, N.; Bison, G.; Bodek, K.; Bondar, V.; Chiu, P.-J.; Daum, M.; Emmenegger, S.; Flaux, P.; Ferraris-Bouchez, L.; et al. Statistical sensitivity of the nEDM apparatus at PSI to neutron mirror-neutron oscillations. EPJ Web Conf. 2019, 219, 07001. [Google Scholar] [CrossRef]
- Anghel, A.; Atchison, F.; Blau, B.; van den Brandt, B.; Daum, M.; Doelling, R.; Dubs, M.; Duperrex, P.-A.; Fuchs, A.; George, D.; et al. The PSI ultra-cold neutron source. Nucl. Instrum. Methods Phys. Res. A 2009, 611, 272. [Google Scholar] [CrossRef]
- Lauss, B.; Blau, B. UCN, the ultracold neutron source – neutrons for particle physics. Sci. Post Phys. Proc. 2021, 5, 4. [Google Scholar] [CrossRef]
- Baker, C.A.; Chibane, Y.; Chouder, M.; Geltenbort, P.; Green, K.; Harris, P.G.; Heckel, B.R.; Iaydjiev, P.; Ivanov, S.N.; Kilvington, I.; et al. Apparatus for measurement of the electric dipole moment of the neutron using a cohabiting atomic-mercury magnetometer. Nucl. Instrum. Methods Phys. Res. A 2014, 736, 184. [Google Scholar] [CrossRef]
- Abel, C.; Ayres, N.; Ban, G.; Bison, G.; Bodek, K.; Bondar, V.; Chanel, E.; Chiu, P.-J.; Daum, M.; Emmenegger, S.; et al. nEDM experiment at PSI: Data-taking strategy and sensitivity of the dataset. EPJ Web Conf. 2019, 219, 02001. [Google Scholar] [CrossRef][Green Version]
- Ban, G.; Bison, G.; Bodek, K.; Daum, M.; Fertl, M.; Franke, B.; Grujić, Z.D.; Heil, W.; Horras, M.; Kasprzak, M.; et al. Demonstration of sensitivity increase in mercury free-spin-precession magnetometers due to laser-based readout for neutron electric dipole moment searches. Nucl. Instrum. Methods Phys. Res. A 2018, 896, 129. [Google Scholar] [CrossRef]
- Abel, C.; Afach, S.; Ayres, N.J.; Ban, G.; Bison, G.; Bodek, K.; Bondar, V.; Chanel, E.; Chiu, P.-J.; Crawford, C.B.; et al. Optically pumped Cs magnetometers enabling a high-sensitivity search for the neutron electric dipole moment. Phys. Rev. A 2020, 101, 053419. [Google Scholar] [CrossRef]
- Afach, S.; Ban, G.; Bison, G.; Bodek, K.; Chowdhuri, Z.; Daum, M.; Fertl, M.; Franke, B.; Geltenbort, P.; Grujić, Z.D.; et al. A device for simultaneous spin analysis of ultracold neutrons. Euro. Phys. J. A 2015, 51, 143. [Google Scholar] [CrossRef]
- Ban, G.; Bison, G.; Bodek, K.; Chowdhuri, Z.; Geltenbort, P.; Griffith, W.C.; Hélaine, V.; Henneck, R.; Kasprzak, M.; Kermaidic, Y.; et al. Ultracold neutron detection with 6Li-doped glass scintillators. Euro. Phys. J. A 2016, 52, 326. [Google Scholar] [CrossRef]
- Abel, C.; Ayres, N.J.; Baker, T.; Ban, G.; Bison, G.; Bodek, K.; Bondar, V.; Crawford, C.B.; Chiu, P.-J.; Chanel, E.; et al. Magnetic field uniformity in neutron electric dipole moment experiments. Phys. Rev. A 2019, 99, 042112. [Google Scholar] [CrossRef]
- Abel, C.; Ayres, N.J.; Ban, G.; Bison, G.; Bodek, K.; Bondar, V.; Chanel, E.; Chiu, P.-J.; Clément, B.; Crawford, C.B.; et al. Mapping of the magnetic field to correct systematic effects in a neutron electric dipole moment experiment. Phys. Rev. A 2022, 106, 032808. [Google Scholar] [CrossRef]
- Afach, S.; Bison, G.; Bodek, K.; Burri, F.; Chowdhuri, Z.; Daum, M.; Fertl, M.; Franke, B.; Grujić, Z.; Hélaine, V.; et al. Dynamic stabilization of the magnetic field surrounding the neutron electric dipole moment spectrometer at the Paul Scherrer Institute. J. Appl. Phys. 2014, 116, 084510. [Google Scholar] [CrossRef]
- Kassiopeia Toolkit. Available online: https://github.com/KATRIN-Experiment/Kassiopeia (accessed on 1 February 2023).
- Bogorad, Z.; Mohanmurthy, P.; Formaggio, J.A. Ultracold neutron storage simulation using the Kassiopeia software package. New J. Phys. 2022, 24, 023007. [Google Scholar] [CrossRef]
- Golub, R.; Richardson, D.; Lamoreaux, S.K. Ultra-Cold Neutrons; CRC Press: Boca Raton, FL, USA, 1991. [Google Scholar] [CrossRef]
- Mohanmurthy, P. A Search for Neutron to Mirror-Neutron Oscillations. Ph.D Thesis, ETH Zurich, Zürich, Switzerland, 2019. [Google Scholar] [CrossRef]
- Abel, C.; Ayres, N.J.; Ban, G.; Bison, G.; Bodek, K.; Bondar, V.; Chanel, E.; Chiu, P.-J.; Crawford, C.; Daum, M.; et al. A search for neutron to mirror-neutron oscillations using the nEDM apparatus at PSI. Phys. Lett. B 2021, 812, 135993. [Google Scholar] [CrossRef]
- Atchison, F.; Blau, B.; Daum, M.; Fierlinger, P.; Geltenbort, P.; Gupta, M.; Henneck, R.; Heule, S.; Kasprzak, M.; Knecht, A.; et al. Measurement of the Fermi potential of diamond-like carbon and other materials. Nucl. Instrum. Methods Phys. Res. B 2007, 260, 647. [Google Scholar] [CrossRef]
- Atchison, F.; Blau, B.; Daum, M.; Fierlinger, P.; Geltenbort, P.; Henneck, R.; Heule, S.; Kasprzak, M.; Kirch, K.; Kohlik, K.; et al. Storage of ultracold neutrons in a volume coated with diamondlike carbon. Phys. Rev. C 2006, 74, 055501. [Google Scholar] [CrossRef]
- Bondar, V.; Chesnevskaya, S.; Daum, M.; Franke, B.; Geltenbort, P.; Göltl, L.; Gutsmiedl, E.; Karch, J.; Kasprzak, M.; Kessler, G.; et al. Losses and depolarization of ultracold neutrons on neutron guide and storage materials. Phys. Rev. C 2017, 96, 035205. [Google Scholar] [CrossRef]
- Bodek, K.; Daum, M.; Hennecka, R.; Heule, S.; Kasprzak, M.; Kircha, K.; Knecht, A.; Kuzńiak, M.; Lauss, B.; Meier, M.; et al. Storage of ultracold neutrons in high resistivity, non-magnetic materials with high Fermi potential. Nucl. Instrum. Methods Phys. Res. A 2008, 597, 222. [Google Scholar] [CrossRef]
- Afach, S.; Ayres, N.J.; Ban, G.; Bison, G.; Bodek, K.; Chowdhuri, Z.; Daum, M.; Fertl, M.; Franke, B.; Griffith, W.C.; et al. Observation of Gravitationally Induced Vertical Striation of Polarized Ultracold Neutrons by Spin-Echo Spectroscopy. Phys. Rev. Lett. 2015, 115, 162502. [Google Scholar] [CrossRef] [PubMed]
- James, F. Statistical Methods in Experimental Physics, 2nd ed.; World Scientific: Singapore, 2006. [Google Scholar] [CrossRef]
- Zsigmond, G. The MCUCN simulation code for ultracold neutron physics. Nucl. Instrum. Methods Phys. Res. A 2018, 881, 16. [Google Scholar] [CrossRef]
- Afach, S.; Ayres, N.J.; Baker, C.A.; Ban, G.; Bison, G.; Bodek, K.; Fertl, M.; Franke, B.; Geltenbort, P.; Green, K.; et al. Gravitational depolarization of ultracold neutrons: Comparison with data. Phys. Rev. D 2015, 92, 052008. [Google Scholar] [CrossRef]
- Harris, P.G.; Pendlebury, J.M.; Devenish, N.E. Gravitationally enhanced depolarization of ultracold neutrons in magnetic-field gradients. Phys. Rev. D 2014, 89, 016011. [Google Scholar] [CrossRef]
- Pendlebury, J.M.; Richardson, D.J. Effects of gravity on the storage of ultracold neutrons. Nucl. Instrum. Methods Phys. Res. A 1994, 337, 504. [Google Scholar] [CrossRef][Green Version]
- Abel, C.; Afach, S.; Ayres, N.J.; Baker, C.A.; Ban, G.; Bison, G.; Bodek, K.; Bondar, V.; Burghoff, M.; Chanel, E.; et al. Measurement of the Permanent Electric Dipole Moment of the Neutron. Phys. Rev. Lett. 2020, 124, 081803. [Google Scholar] [CrossRef]
- Serebrov, A.P.; Fomin, A.K. Monte Carlo simulation of quasi-elastic scattering and above-barrier neutrons in the neutron lifetime experiment MAMBO I. JETP Lett. 2009, 90, 555. [Google Scholar] [CrossRef]
- Serebrov, A.P.; Fomin, A.K. Neutron lifetime from a new evaluation of ultracold neutron storage experiments. Phys. Rev. C 2010, 82. [Google Scholar] [CrossRef]
- Research Computing Center at the University of Chicago. Available online: https://rcc.uchicago.edu/ (accessed on 3 February 2021).





| Param. | (neV) | ||||
|---|---|---|---|---|---|
| Surface | |||||
| DLC | [105] | [106] | |||
| dPS | [107] | [108] | |||
| Errors from | (s) | (s) | |
|---|---|---|---|
| Statistical: | n | 158 | 78 |
| Systematic: | 226 | 112 | |
| 42 | 21 | ||
| Total: | 279 | 138 |
Disclaimer/Publisher’s Note: The statements, opinions and data contained in all publications are solely those of the individual author(s) and contributor(s) and not of MDPI and/or the editor(s). MDPI and/or the editor(s) disclaim responsibility for any injury to people or property resulting from any ideas, methods, instructions or products referred to in the content. |
© 2023 by the authors. Licensee MDPI, Basel, Switzerland. This article is an open access article distributed under the terms and conditions of the Creative Commons Attribution (CC BY) license (https://creativecommons.org/licenses/by/4.0/).
Share and Cite
Mohanmurthy, P.; Formaggio, J.; Salvat, D.J.; Winger, J.A. A Novel Technique of Extracting UCN Decay Lifetime from Storage Chamber Measurements Dominated by Scattering Losses. Symmetry 2023, 15, 1899. https://doi.org/10.3390/sym15101899
Mohanmurthy P, Formaggio J, Salvat DJ, Winger JA. A Novel Technique of Extracting UCN Decay Lifetime from Storage Chamber Measurements Dominated by Scattering Losses. Symmetry. 2023; 15(10):1899. https://doi.org/10.3390/sym15101899
Chicago/Turabian StyleMohanmurthy, Prajwal, Joseph Formaggio, Daniel J. Salvat, and Jeff A. Winger. 2023. "A Novel Technique of Extracting UCN Decay Lifetime from Storage Chamber Measurements Dominated by Scattering Losses" Symmetry 15, no. 10: 1899. https://doi.org/10.3390/sym15101899
APA StyleMohanmurthy, P., Formaggio, J., Salvat, D. J., & Winger, J. A. (2023). A Novel Technique of Extracting UCN Decay Lifetime from Storage Chamber Measurements Dominated by Scattering Losses. Symmetry, 15(10), 1899. https://doi.org/10.3390/sym15101899

