Application of Symmetric Explicit Symplectic Integrators in Non-Rotating Konoplya and Zhidenko Black Hole Spacetime
Abstract
1. Introduction
2. Constructions of Explicit Symplectic Schemes
2.1. The Konoplya and Zhidenko Black Hole
2.2. Explicit Symplectic Methods for Hamiltonian Equations
2.3. Symplectic Schemes of Hamiltonian Variational Equations
2.4. The Carter Constant
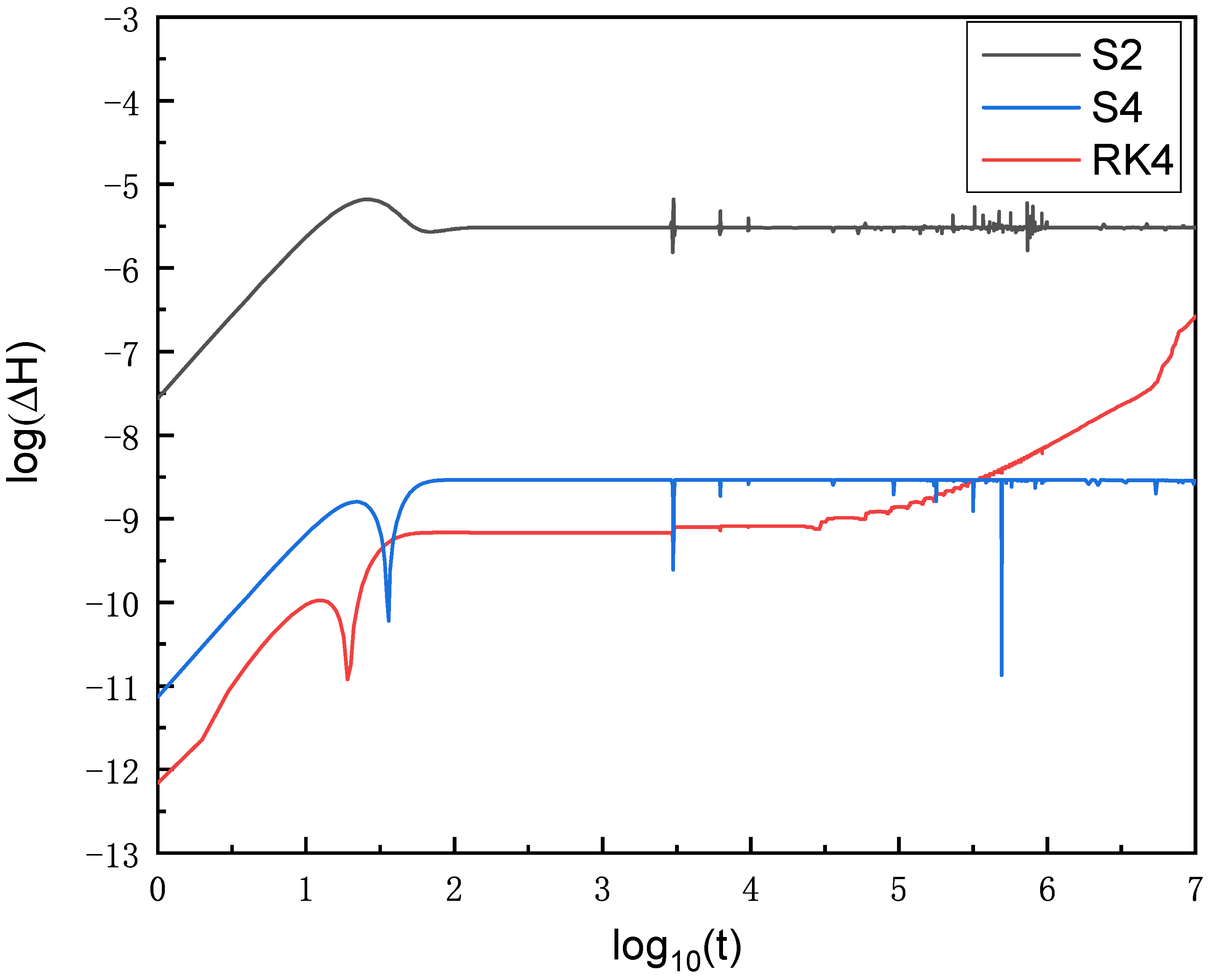
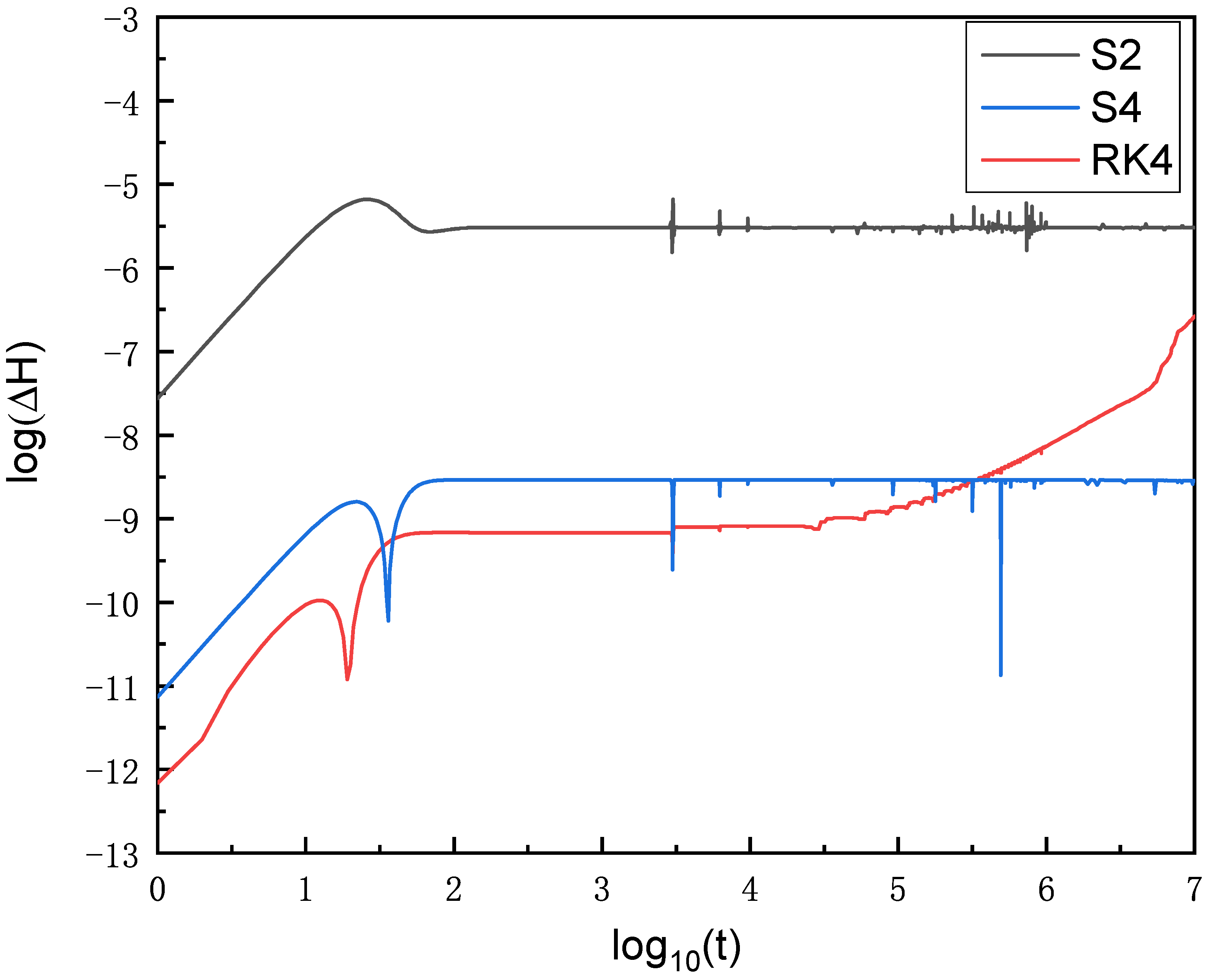
3. Numerical Evaluations
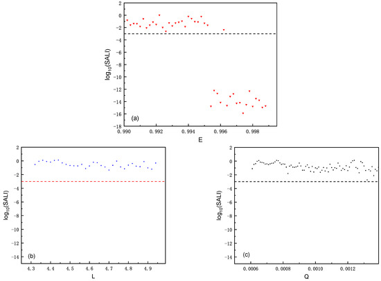
4. The Effect of
5. Conclusions and Discussion
Author Contributions
Funding
Data Availability Statement
Acknowledgments
Conflicts of Interest
References
- Swope, W.C.; Andersen, H.C.; Berens, P.H.; Wilson, K.R. A computer simulation method for the calculation of equilibrium constants for the formation of physical clusters of molecules: Application to small water clusters. J. Chem. Phys. 1982, 76, 637–649. [Google Scholar] [CrossRef]
- Ruth, R.D. The title of the cited article. Canonical Integr. Tech. 1983, 30, 2669–2671. [Google Scholar]
- Wisdom, J.; Holman, M. Symplectic maps for the N-body problem. Astron. J. 1991, 102, 1528–1538. [Google Scholar] [CrossRef]
- Chambers, J.E.; Murison, M.A. Pseudo-high-order symplectic integrators. Astron. J. 2000, 119, 425. [Google Scholar] [CrossRef]
- Ni, X.T.; Wu, X. New adaptive time step symplectic integrator: An application to the elliptic restricted three-body problem. Res. Astron. Astrophys. 2014, 14, 1329–1342. [Google Scholar] [CrossRef]
- Wang, Y.; Sun, W.; Liu, F.; Wu, X. Construction of Explicit Symplectic Integrators in General Relativity. I. Schwarzschild Black Holes. Astrophys. J. 2021, 907, 66. [Google Scholar] [CrossRef]
- Wang, Y.; Sun, W.; Liu, F.; Wu, X. Construction of Explicit Symplectic Integrators in General Relativity. II. Reissner-Nordström Black Holes. Astrophys. J. 2021, 909, 22. [Google Scholar] [CrossRef]
- Wang, Y.; Sun, W.; Liu, F.; Wu, X. Construction of Explicit Symplectic Integrators in General Relativity. III. Reissner-Nordstro¨m-(anti)-de sitter Black Holes. Astrophys. J. Suppl. Ser. 2021, 254, 8. [Google Scholar] [CrossRef]
- Wu, X.; Wang, Y.; Sun, W.; Liu, F. Construction of Explicit Symplectic Integrators in General Relativity. IV. Kerr Black holes. Astrophys. J. 2021, 914, 63. [Google Scholar] [CrossRef]
- Huang, Z.; Huang, G.; Hu, A. Application of explicit symplectic integrators in a magnetized deformed schwarzschild black spacetime. Astrophys. J. 2022, 925, 158. [Google Scholar] [CrossRef]
- Zhang, H.; Zhou, N.; Liu, W.; Wu, X. Charged particle motions near non-schwarzschild black holes with external magnetic fields in modified theories of gravity. Universe 2021, 7, 488. [Google Scholar] [CrossRef]
- Lorenz, E.N. Deterministic nonperiodic flow. J. Atmos. Sci. 1963, 20, 130–141. [Google Scholar] [CrossRef]
- Henon, M.; Heiles, C. The applicability of the third integral of motion: Some numerical experiments. Astron. J. 1964, 69, 73. [Google Scholar] [CrossRef]
- Sussman, G.J.; Wisdom, J. Numerical evidence that the motion of pluto is chaotic. Science 1988, 241, 433–437. [Google Scholar] [CrossRef] [PubMed]
- Vieira, W.M.; Letelier, P.S. On the integrability of halo dipoles in gravity. Phys. Lett. A 1997, 228, 22–24. [Google Scholar] [CrossRef]
- Contopoulos, G. Periodic orbits and chaos around two black holes. Proc. R. Soc. London. Ser. A Math. Phys. Sci. 1990, 431, 183–202. [Google Scholar]
- Contopoulos, G.; Papadaki, H. Newtonian and relativistic periodic orbits around two fixed black holes. Celest. Mech. Dyn. Astron. 1993, 55, 47–85. [Google Scholar] [CrossRef]
- Contopoulos, G.; Voglis, N.; Efthymiopoulos, C. Chaos in Relativity and Cosmology. Int. Astron. Union Colloq. 1999, 172, 1–16. [Google Scholar] [CrossRef]
- Guéron, E.; Letelier, P.S. Geodesic chaos around quadrupolar deformed centers of attraction. Phys. Rev. E 2002, 66, 046611. [Google Scholar] [CrossRef]
- Dubeibe, F.L.; Pachón, L.A.; Sanabria-Gómez, J.D. Chaotic dynamics around astrophysical objects with nonisotropic stresses. Phys. Rev. D 2007, 75, 023008. [Google Scholar] [CrossRef]
- Hu, A.R.; Huang, G.Q. Dynamics of charged particles in the magnetized γ spacetime. Eur. Phys. J. Plus 2021, 136, 1210. [Google Scholar] [CrossRef]
- Li, D.; Wu, X. Chaotic motion of neutral and charged particles in a magnetized ernst-schwarzschild spacetime. Eur. Phys. J. Plus 2018, 134, 1–12. [Google Scholar] [CrossRef]
- Li, D.; Wang, Y.; Deng, C.; Wu, X. Coherent post-newtonian lagrangian equations of motion. Eur. Phys. J. Plus 2020, 135, 390. [Google Scholar] [CrossRef]
- Wang, Y.; Wu, X. Next-order spin–orbit contributions to chaos in compact binaries. Class. Quantum Gravity 2011, 28, 025010. [Google Scholar]
- Huang, G.Q.; Wu, X. Dynamics of the post-newtonian circular restricted three-body problem with compact objects. Phys. Rev. D 2014, 89, 124034. [Google Scholar] [CrossRef]
- Huang, G.; Ni, X.; Wu, X. Chaos in two black holes with next-to-leading order spin–spin interactions. Eur. Phys. J. C 2014, 74, 3012. [Google Scholar] [CrossRef][Green Version]
- Wu, X.; Huang, G.Q. Ruling out chaos in comparable mass compact binary systems with one body spinning. Mon. Not. R. Astron. Soc. 2015, 452, 3167–3178. [Google Scholar] [CrossRef][Green Version]
- Huang, L.; Wu, X.; Ma, D. Second post-Newtonian Lagrangian dynamics of spinning compact binaries. Eur. Phys. J. C 2016, 76, 488. [Google Scholar]
- Dias, G.A.S.; Lemos, J.P.S.; Shoom, A.A. Thin-shell wormholes in d-dimensional general relativity: Solutions, properties, and stability. Phys. Rev. D 2010, 82, 084023. [Google Scholar] [CrossRef]
- Al Zahrani, A.M.; Frolov, V.P.; Shoom, A.A. Critical escape velocity for a charged particle moving around a weakly magnetized Schwarzschild black hole. Phys. Rev. D 2013, 87, 084043. [Google Scholar] [CrossRef]
- Cao, W.; Liu, W.; Wu, X. Integrability of Kerr–Newman spacetime with cloud strings, quintessence and electromagnetic field. Phys. Rev. D 2022, 105, 124039. [Google Scholar] [CrossRef]
- Stuchlík, Z.; Kološ, M.; Kovář, J.; Slaný, P.; Tursunov, A. Influence of Cosmic Repulsion and Magnetic Fields on Accretion Disks Rotating around Kerr Black Holes. Universe 2020, 6, 26. [Google Scholar] [CrossRef]
- Lyapunov, A.M. The general problem of the stability of motion. Int. J. Control 1992, 55, 531–534. [Google Scholar] [CrossRef]
- Szezech, J.; Lopes, S.; Viana, R. Finite-time lyapunov spectrum for chaotic orbits of non-integrable hamiltonian systems. Phys. Lett. A 2005, 335, 394–401. [Google Scholar] [CrossRef]
- Froeschlé, C.; Lega, E.; Gonczi, R. Fast Lyapunov Indicators. Application to Asteroidal Motion. Celest. Mech. Dyn. Astron. 1997, 67, 41–62. [Google Scholar] [CrossRef]
- Froeschlé, C.; Lega, E. On the structure of symplectic mappings. The fast lyapunov indicator: A very sensitive tool. Celest. Mech. Dyn. Astron. 2000, 78, 167–195. [Google Scholar]
- Skokos, C. Alignment indices: A new, simple method for determining the ordered or chaotic nature of orbits. J. Phys. A 2001, 34, 10029–10043. [Google Scholar] [CrossRef]
- Skokos, C.; Antonopoulos, T.C.B. Geometrical properties of local dynamics in hamiltonian systems: The generalized alignment index (GALI) method. Phys. D Nonlinear Phenom. 2007, 231, 30–54. [Google Scholar] [CrossRef]
- Konoplya, R.A.; Zhidenko, A. Detection of gravitational waves from black holes: Is there a window for alternative theories? Phys. Lett. B 2016, 756, 350–353. [Google Scholar] [CrossRef]
- Abbott, B.P.; Abbott, R.; Abbott, T.D.; Abernathy, M.R.; Acernese, F.; Ackley, K.; Adams, C.; Adams, T.; Addesso, P.; Adhikari, R.X.; et al. Observation of Gravitational Waves from a Binary Black Hole Merger. Phys. Rev. Lett. 2016, 116, 061102. [Google Scholar] [CrossRef]
- Razzaq, A.; Rahim, R. Particle dynamics in non-rotating konoplya and zhidenko black hole immersed in an external uniform magnetic field. Eur. Phys. J. Plus 2023, 138, 208. [Google Scholar] [CrossRef]
- Yoshida, H. Construction of higher order symplectic integrators. Phys. Lett. A 1990, 150, 262–268. [Google Scholar] [CrossRef]
- Wu, X.; Zhang, H. Chaotic dynamics in a superposed weyl spacetime. Astrophys. J. 2006, 652, 1466. [Google Scholar] [CrossRef]








| η | 0 | 2 | 4 | 6 | 8 |
| SCO | 17.62227 | 17.38088 | 17.12888 | 16.86473 | 16.58649 |
| ISCO | 5.99938 | 6.87223 | 7.53582 | 8.08965 | 8.57331 |
Disclaimer/Publisher’s Note: The statements, opinions and data contained in all publications are solely those of the individual author(s) and contributor(s) and not of MDPI and/or the editor(s). MDPI and/or the editor(s) disclaim responsibility for any injury to people or property resulting from any ideas, methods, instructions or products referred to in the content. |
© 2023 by the authors. Licensee MDPI, Basel, Switzerland. This article is an open access article distributed under the terms and conditions of the Creative Commons Attribution (CC BY) license (https://creativecommons.org/licenses/by/4.0/).
Share and Cite
He, G.; Huang, G.; Hu, A. Application of Symmetric Explicit Symplectic Integrators in Non-Rotating Konoplya and Zhidenko Black Hole Spacetime. Symmetry 2023, 15, 1848. https://doi.org/10.3390/sym15101848
He G, Huang G, Hu A. Application of Symmetric Explicit Symplectic Integrators in Non-Rotating Konoplya and Zhidenko Black Hole Spacetime. Symmetry. 2023; 15(10):1848. https://doi.org/10.3390/sym15101848
Chicago/Turabian StyleHe, Guandong, Guoqing Huang, and Airong Hu. 2023. "Application of Symmetric Explicit Symplectic Integrators in Non-Rotating Konoplya and Zhidenko Black Hole Spacetime" Symmetry 15, no. 10: 1848. https://doi.org/10.3390/sym15101848
APA StyleHe, G., Huang, G., & Hu, A. (2023). Application of Symmetric Explicit Symplectic Integrators in Non-Rotating Konoplya and Zhidenko Black Hole Spacetime. Symmetry, 15(10), 1848. https://doi.org/10.3390/sym15101848
