Joint Security and Energy-Efficient Cooperative Architecture for 5G Underlaying Cellular Networks
Abstract
:1. Introduction
1.1. Related Literatures
1.2. Contributions and Paper Organization
- “Low Battery” is a major factor affecting the user’s experience and the energy consumption should be controlled. As a consequence, we design an adaptive cooperative communication architecture for 5G underlaying cellular networks where users in the network can adaptively select a mode among “cellular communication, direct D2D communication and relay-assisted D2D communication” according to its energy consumption requirement.
- Considering the asymmetry of the real social network, the proximity prestige and spreading ability are taken into consideration to improve the security of data transmission.
- A relay selection scheme combing energy consumption, wireless channel quality of the wireless channel between two devices, and security is proposed for relay-assisted D2D communication. Moreover, a quality-of-service (QoS) region can be obtained for the relay selection scheme according to energy consumption, devices’ battery statuses, and the devices’ states.
2. System Model and Assumptions
2.1. System Model
- Cellular Communication. Two UEs communicate with each other through the conventional cellular network, in which they transmit information through the BS. As shown in Figure 1b, communicates with using the cellular communication mode.
- Direct D2D Communication. The source UE transmits information to the destination UE through the direct D2D link without the help of the BS or other UEs. In Figure 1b, and are exchanging messages utilizing the direct D2D communication mode.
- Relay-assisted D2D Communication. Two UEs can send messages to each other directly with the assistance of a relay device selected from their neighboring UEs. Like the second mode, the transmission utilizing this mode can also be accomplished independently without the BS. For instance, is communicating with through this mode in Figure 1b.
2.2. Assumptions
- We assume that all UEs can communicate with others, either through cellular communication or through D2D communication. When a UE is idle, it should switch to D2D mode automatically and be discovered by UEs utilizing relay-assisted D2D communication.
- Orthogonal Frequency-Division Multiple Access (OFDMA) is considered for all UEs in this architecture. In the underlaying cellular network, the uplink (UL) spectrum resources are usually underutilized compared to the downlink (DL) [40]. Consequentially, D2D links in the proposed cooperative communication architecture can reuse the UL spectrum resources in the cellular network.
- The cellular UL frequency spectrum provides a number of orthogonal channels with the same bandwidth. The BS allocates channels for UEs. At most, one D2D link shares one channel with a cellular link and one channel can only be reused by one D2D link at one time.
- Each D2D UE works in full-duplex mode, which means that the UEs can transmit or receive information in the same time slot and frequency band.
- Every UE can be selected as a relay device and it is able to discover and be discovered by other UEs. Only the idle UEs can be selected as relay devices and one D2D transmission can only be assisted by at most one relay. Moreover, the relay devices are assumed to utilize the decode-and-forward (DF) strategy to improve the reliability of a transmission.
- We suppose that the BS is aware of all the required information, including channel coefficients, distances and devices’ battery statuses. When a UE requests one transmission, the states of all UEs in the cell will not change until the end of this communication.
3. Proposed Cooperative Architecture and Performance Analysis
3.1. Definitions
3.1.1. Channel Classification
3.1.2. Channel Allocation Method
- When ,
- When ,
- When , a D2D-priority channel will be selected for the second phase. can be calculated by
- When , a cellular-priority channel will be selected and is obtained by
- When , can be written as
- When ,
- When ,
3.2. Joint Security and Energy-Efficient Cooperative Architecture
3.2.1. Communication Request
3.2.2. Mode Selection
3.2.3. Data Transmission
| Algorithm 1 The adaptive D2D communication algorithm |
| Input:N, , , , , . |
| 1: Construct a random network, determine Source S and Destination D. |
| Set ={i, and }, calculate , , and |
| 2: if !=relay-D2D then return “” |
| 3: else |
| 4: for i ∈ do |
| 5: Define a QoS region, obtain candidate relay UEs |
| 6: end for |
| 7: Set = |
| 8: for i ∈ do |
| 9: Calculate using Equation (24) |
| 10: end for |
| 11: Obtain using Equation (25) return “ and ” |
| 12: end if |
| Output: The selected communication mode and relevant parameter values. |
3.3. Performance Analysis
3.3.1. Reuse Probability
3.3.2. Social Network Security Rate
3.3.3. Outage Probability
3.3.4. Throughput
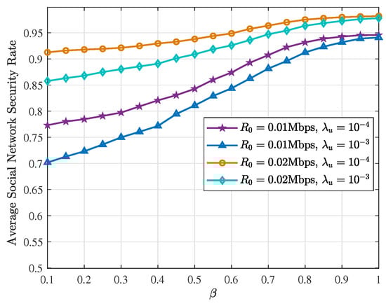
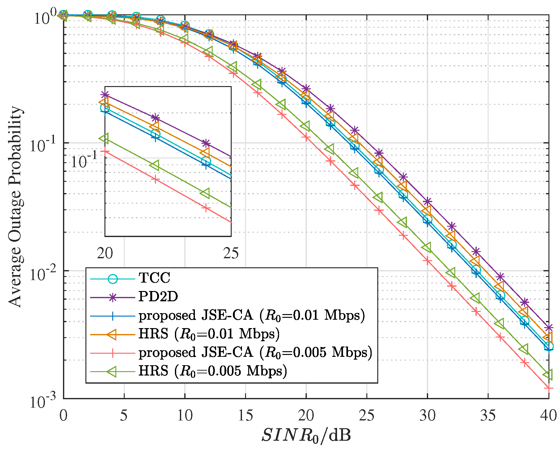
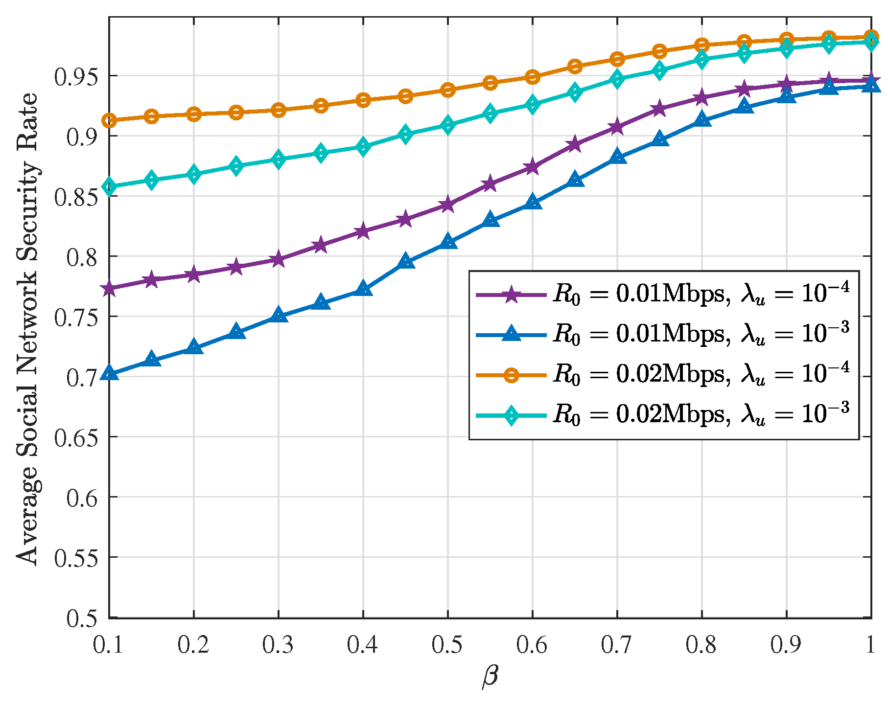
4. Numerical Results
5. Conclusions
Author Contributions
Funding
Institutional Review Board Statement
Informed Consent Statement
Data Availability Statement
Conflicts of Interest
Nomenclature
| N | Number of users in a single cell |
| User density | |
| Path-loss exponent | |
| Channel coefficient of the channel between i and j | |
| Constant | |
| Received power | |
| Transmit power | |
| Constant | |
| d | Distance between transmitting UE and receiving UE |
| Interference power | |
| Noise power | |
| The SINR at receiving UE | |
| Required minimum SINR | |
| Minimum transmit power | |
| E | Energy consumption |
| t | Transmission duration |
| Energy consumption at the receiving UE | |
| Proximity prestige of node i | |
| Input domain of node i | |
| Number of nodes in | |
| The shortest path length from node j to i | |
| Spreading ability of the edge between i and | |
| Number of common neighbors between i and | |
| M | Number of orthogonal channels |
| Number of D2D-priority channels | |
| Number of cellular-priority channels | |
| Number of D2D-priority channels used by D2D and cellular UEs | |
| Number of cellular-priority channels used by D2D and cellular UEs | |
| Channel utilization | |
| Equivalent interference power of cellular on D2D communication | |
| RP of allocating a channel to D2D UE | |
| Equivalent interference power of D2D on cellular communication | |
| RP of allocating a channel to cellular UE | |
| Equivalent interference power of cellular on D2D communication in the second phase | |
| RP of allocating a channel to D2D UE in the second phase | |
| Constant | |
| Energy consumption of cellular communication | |
| Energy consumption of direct D2D communication | |
| Energy consumption of relay-assisted D2D with i | |
| Transmit power of Source S in cellular communication | |
| Transmit power of Source S in direct D2D |
| Transmit power of Source S in relay-assisted D2D | |
| Transmit power of relay user i | |
| Channel coefficient between Source S and BS | |
| Channel coefficient between Source S and Destination D | |
| Channel coefficient between Source S and relay user i | |
| Channel coefficient between relay i and Destination D | |
| Transmitting duration in Source S to BS communication | |
| Transmitting duration in Source S to Destination D communication | |
| Transmitting duration in Source S to relay user i communication | |
| Transmitting duration in relay user i to Destination D communication | |
| Geographical distance between Source S and BS | |
| Geographical distance between Source S and Destination D | |
| Geographical distance between Source S and relay user i | |
| Geographical distance between relay i and Destination D | |
| Constant | |
| Constant | |
| Constant | |
| Location of Source S | |
| Location of Destination D | |
| Location of the relay device i | |
| Constant | |
| Number of relay nodes in QoS region | |
| The minimum threshold of “Low Battery” | |
| Constant | |
| CPSA of node i relative to | |
| CPSA of node i relative to Source S | |
| CECS of node i | |
| Weight of energy consumption | |
| Weight of CPSA | |
| The selected relay node | |
| Equivalent energy consumption of D2D-assisted communication with relay device i | |
| RP of randomly allocating a channel to D2D UE | |
| RP of randomly allocating a channel to cellular UE | |
| Malicious spreading probability of i relative to Source S | |
| Successful decoding probability of i relative to Source S | |
| Secure transmission probability of i relative to Source S | |
| Outage probability of i relative to Source S | |
| Outage probability of the first phase for relay-assisted D2D communication | |
| Outage probability of the second phase for relay-assisted D2D communication | |
| Minimum transmitting rate | |
| Outage probability of cellular communication | |
| Outage probability of direct D2D communication | |
| Outage probability of relay-assisted D2D communication | |
| The ith transmission pair | |
| Throughput of one cell at | |
| Throughput of relay-assisted D2D with at | |
| Throughput of cellular communication at | |
| Throughput of direct D2D communication at |
References
- Cisco Visual Networking Index: Global Mobile Data Traffic Forecast Update, 2016–2021 White Paper. Available online: https://www.reinvention.be/webhdfs/v1/docs/complete-white-paper-c11-481360.pdf (accessed on 6 June 2017).
- Freeman, H.; Dutta, A. 5G perspective. IEEE Commun. Mag. 2016, 54, 4–5. [Google Scholar]
- Gozalvez, J. 5G worldwide developments. IEEE Veh. Technol. Mag. 2017, 12, 4–11. [Google Scholar]
- Zhang, S.; Zhu, D.; Wang, Y. A sruvey on space-aerial-terrestrial integrated 5G network. Comput. Netw. 2020, 174, 1–18. [Google Scholar] [CrossRef]
- Zhang, C.J.; Ma, J.; Li, G.Y.; Kishiyama, Y.; Parkvall, S.; Liu, G.; Kim, Y.H. Key technology for 5G new radio. IEEE Commun. Mag. 2018, 56, 10–11. [Google Scholar] [CrossRef]
- Bao, W.; Liang, B. Structured spectrum allocation and user association in heterogeneous cellular networks. In Proceedings of the IEEE INFOCOM, Turin, Italy, 14–19 April 2013. [Google Scholar]
- Zhou, X.; Feng, S.; Ding, Y. Optimal spectrum allocation in the dynamic heterogeneous cellular network. IEICE Trans. Commun. 2016, 99, 240–248. [Google Scholar] [CrossRef]
- Cao, H.; Hu, Y.; Yang, L. Towards intelligent virtual resource allocation in UAVs-assisted 5G networks. Comput. Netw. 2021, 185, 1–11. [Google Scholar] [CrossRef]
- Asadi, A.; Wang, Q.; Mancuso, V. A Survey on device-to-device communication in cellular networks. IEEE Commun. Surv. Tutor. 2014, 16, 1801–1819. [Google Scholar] [CrossRef] [Green Version]
- Shen, X. Device-to-device communication in 5G cellular networks. IEEE Netw. 2015, 29, 2–3. [Google Scholar] [CrossRef]
- Zeb, J.; Hassan, A.; Nisar, M.D. Joint power and spectrum allocation for D2D communication overlaying cellular networks. Comput. Netw. 2021, 184, 1–13. [Google Scholar] [CrossRef]
- Adnan, M.H.; Zukarnain, Z.A. Device-To-Device communication in 5G environment: Issues, solutions, and challenges. Symmetry 2020, 12, 1762. [Google Scholar] [CrossRef]
- Kato, N. On Device-to-Device (D2D) communication. IEEE Netw. 2016, 30, 2. [Google Scholar]
- Gandotra, P.; Jha, R.K.; Jain, S. A survey on device-to-device (D2D) communication: Architecture and security issues. J. Netw. Comput. Appl. 2017, 78, 9–29. [Google Scholar] [CrossRef]
- Zhang, Z.; Ma, Z.; Xiao, M.; Ding, Z.; Fan, P. Full-duplex device-to-device-aided cooperative nonorthogonal multiple access. IEEE Trans. Veh. Technol. 2017, 66, 4467–4471. [Google Scholar]
- Lin, Y.D.; Hsu, Y.C. Multihop cellular: A new architecture for wireless communications. In Proceedings of the IEEE INFOCOM, Tel-Aviv, Israel, 26–30 March 2000. [Google Scholar]
- Zhang, Z.; Wang, L.; Zhang, J. Energy efficiency of D2D multi-user cooperation. Sensors 2017, 17, 697. [Google Scholar] [CrossRef]
- Salehi, M.; Mohammadi, A.; Haenggi, M. Analysis of D2D underlaid cellular networks: SIR meta distribution and mean local delay. IEEE Trans. Commun. 2017, 65, 2904–2916. [Google Scholar] [CrossRef]
- Wang, M.; Yan, Z. A survey on security in D2D communications. Mob. Netw. Appl. 2017, 22, 195–208. [Google Scholar] [CrossRef]
- Huang, J.; Yang, Y.; He, G.; Xiao, Y.; Liu, J. Deep reinforcement learning-based dynamic spectrum access for D2D communication underlay cellular networks. IEEE Commun. Lett. 2021, 25, 2614–2618. [Google Scholar] [CrossRef]
- Tang, H.; Ding, Z.; Levy, B.C. Enabling D2D communications through neighbor discovery in LTE cellular networks. IEEE Trans. Signal Process. 2014, 62, 5157–5170. [Google Scholar] [CrossRef] [Green Version]
- Prasad, A.; Kunz, A.; Velev, G.; Samdanis, K.; Song, J.S. Energy-efficient D2D discovery for proximity services in 3GPP LTE-advanced networks. IEEE Veh. Technol. Mag. 2014, 9, 40–50. [Google Scholar] [CrossRef]
- Zhang, J.; Deng, L.; Li, X.; Zhou, Y.; Liang, Y.; Liu, Y. Novel device-to-device discovery scheme based on random backoff in LTE-advanced networks. IEEE Trans. Veh. Technol. 2017, 66, 11404–11408. [Google Scholar] [CrossRef] [Green Version]
- Feng, D.; Lu, L.; Wu, Y.Y.; Li, G.Y.; Feng, G.; Li, S. Device-to-device communications underlaying cellular networks. IEEE Trans. Commun. 2013, 61, 3541–3551. [Google Scholar] [CrossRef]
- Lei, L.; Kuang, Y.; Cheng, N.; Shen, X.; Zhong, Z.; Lin, C. Delay-optimal dynamic mode selection and resource allocation in device-to-device communicationsPart II: Practical algorithm. IEEE Trans. Veh. Technol. 2016, 65, 3491–3505. [Google Scholar] [CrossRef]
- Zhou, Z.; Ota, K.; Dong, M.; Xu, C. Energy-efficient matching for resource allocation in D2D enabled cellular networks. IEEE Trans. Veh. Technol. 2017, 66, 5256–5268. [Google Scholar] [CrossRef] [Green Version]
- Dun, H.; Ye, F.; Li, Y. Transmission power adaption for full-duplex relay-aided Device-to-Device communication. Symmetry 2017, 9, 38. [Google Scholar] [CrossRef] [Green Version]
- Peng, T.; Lu, Q.; Wang, H.; Xu, S.; Wang, W. Interference avoidance mechanisms in the hybrid cellular and device-to-device systems. In Proceedings of the IEEE PIMRC, Tokyo, Japan, 13–16 September 2009. [Google Scholar]
- Ma, C.; Liu, J.; Tian, X.; Yu, H.; Cui, Y.; Wang, X. Interference exploitation in D2D-enabled cellular networks: A secrecy perspective. IEEE Trans. Commun. 2015, 63, 229–242. [Google Scholar] [CrossRef]
- Van, S.D.; Nguyen, V.D.; Shin, O.S. Interference-aware transmission for D2D communications in a cellular network. Wirel. Pers. Commun. 2017, 98, 1489–1503. [Google Scholar]
- Gorantla, B.V.R.; Mehta, N.B. Interplay between interference-aware resource allocation algorithm design, CSI, and feedback in underlay D2D networks. IEEE Trans. Wirel. Commun. 2022, 21, 3452–3463. [Google Scholar] [CrossRef]
- Zhou, B.; Hu, H.; Huang, S.Q.; Chen, H.H. Intracluster device-to-device relay algorithm with optimal resource utilization. IEEE Trans. Veh. Technol. 2013, 62, 2315–2326. [Google Scholar] [CrossRef]
- Hourani, A.A.; Kandeepan, S.; Hossain, E. Relay-assisted device-to-device communication: A stochastic analysis of energy saving. IEEE Trans. Mob. Comput. 2016, 15, 3129–3141. [Google Scholar] [CrossRef]
- Gui, J.; Deng, J. Multi-hop relay-aided underlay D2D communications for improving cellular coverage quality. IEEE Access 2018, 6, 14318–14338. [Google Scholar] [CrossRef]
- Zhang, A.; Lin, X. Security-aware and privacy-preserving D2D communications in 5G. IEEE Netw. 2017, 31, 70–77. [Google Scholar] [CrossRef]
- Li, Z.; Hu, H.; Hu, H.; Huang, B.; Ge, J.; Chang, V. Security and energy-aware collaborative task offloading in D2D communication. Future Gener. Comput. Syst. 2021, 1, 1–28. [Google Scholar] [CrossRef]
- Blaszczyszyn, B.; Karray, M.K.; Keeler, H.P. Using Poisson processes to model lattice cellular networks. In Proceedings of the IEEE INFOCOM, Turin, Italy, 14–19 April 2013. [Google Scholar]
- Zhao, Y.; Yu, H.; Zhang, W.; Zhang, W.; Zhu, Z. A social network model with proximity prestige property. J. Appl. Anal. Comput. 2015, 5, 177–188. [Google Scholar]
- Ou, C.; Jin, X.; Wang, Y.; Chen, W.; Cheng, X. The impact of heterogeneous spreading abilities of network ties on information spreading. In Proceedings of the IEEE ICCSIT, Chengdu, China, 16 November 2015. [Google Scholar]
- Wu, D.; Wang, J.; Hu, R.Q.; Cai, Y.; Zhou, L. Energy-efficient resource sharing for mobile device-to-device multimedia communications. IEEE Trans. Veh. Technol. 2014, 63, 2093–2103. [Google Scholar] [CrossRef]
- Ma, B.; Mansouri, H.S.; Wong, V.W.S. Full-duplex relaying for D2D communication in millimeter wave-based 5G networks. IEEE Trans. Wirel. Commun. 2018, 17, 4417–4431. [Google Scholar] [CrossRef]
- Ma, R.; Chang, Y.J.; Chen, H.H.; Chiu, C.Y. On relay selection schemes for relay-assisted D2D communication in LTE-A systems. IEEE Trans. Veh. Technol. 2017, 66, 8303–8614. [Google Scholar] [CrossRef]
- Ikhlef, A.; Michalopoulos, D.S.; Schober, R. Max-max relay selection for relays with buffers. IEEE Trans. Wirel. Commun. 2012, 11, 1124–1135. [Google Scholar] [CrossRef]
- Kumbhar, F.H.; Saxena, N.; Roy, A. Reliable relay: Autonomous social D2D paradigm for 5G LoS communications. IEEE Commun. Lett. 2017, 21, 1593–1596. [Google Scholar] [CrossRef]








Publisher’s Note: MDPI stays neutral with regard to jurisdictional claims in published maps and institutional affiliations. |
© 2022 by the authors. Licensee MDPI, Basel, Switzerland. This article is an open access article distributed under the terms and conditions of the Creative Commons Attribution (CC BY) license (https://creativecommons.org/licenses/by/4.0/).
Share and Cite
Guo, L.; Zhu, Z.; Lau, F.C.M.; Zhao, Y.; Yu, H. Joint Security and Energy-Efficient Cooperative Architecture for 5G Underlaying Cellular Networks. Symmetry 2022, 14, 1160. https://doi.org/10.3390/sym14061160
Guo L, Zhu Z, Lau FCM, Zhao Y, Yu H. Joint Security and Energy-Efficient Cooperative Architecture for 5G Underlaying Cellular Networks. Symmetry. 2022; 14(6):1160. https://doi.org/10.3390/sym14061160
Chicago/Turabian StyleGuo, Li, Zhiliang Zhu, Francis C. M. Lau, Yuli Zhao, and Hai Yu. 2022. "Joint Security and Energy-Efficient Cooperative Architecture for 5G Underlaying Cellular Networks" Symmetry 14, no. 6: 1160. https://doi.org/10.3390/sym14061160
APA StyleGuo, L., Zhu, Z., Lau, F. C. M., Zhao, Y., & Yu, H. (2022). Joint Security and Energy-Efficient Cooperative Architecture for 5G Underlaying Cellular Networks. Symmetry, 14(6), 1160. https://doi.org/10.3390/sym14061160
