Abstract
Melt blending is an effective way to prepare new composite materials, but most polymers are incompatible. In order to reduce the interfacial tension and obtain fine and stable morphology with internal symmetric micro-textures, suitable compatibilizers should be added to the blend. The two immiscible polymers, low-density polyethylene (LDPE) and polystyrene (PS), were compatibilized by styrene/ethylene/butylene/styrene block copolymers grafted with maleic anhydride (SEBS-g-MAH) and organomontmorillonite (OMMT). The scanning electron microscope results indicated that the size of the PS phase decreased with increasing the content of SEBS-g-MAH. By introducing OMMT into LDPE/PS/SEBS-g-MAH composites, the compatibility of composites was further improved. The rheological analysis and Cole–Cole plot analysis indicated that the addition of SEBS-g-MAH and OMMT increased the interaction between the two phases. The tensile strength, elongation at break, and impact strength of the LDPE/PS/SEBS-g-MAH (70/30/7, wt%) composite increased by 64%, 255%, and 380%, respectively, compared with the LDPE/PS (70/30, wt%) composite. A small amount of OMMT could synergistically compatibilize the LDPE/PS composite with SEBS-g-MAH. After adding 0.3% OMMT into the LDPE/PS/SEBS-g-MAH system, the tensile strength, elongation at break, and impact strength of the composite were further increased to 18.57 MPa, 71.87%, and 33.28 kJ/m2, respectively.
1. Introduction
Blending two or more types of polymers is an effective way to fabricate new multiphase materials with certain excellent properties [1,2,3,4,5,6], e.g., reinforced polypropylene composites. However, most polymers are incompatible in thermodynamics [7,8,9]. The heterogeneous morphological structure is caused by the poor interfacial interaction between two components [7,10,11], resulting in disordered and asymmetric crosslinking with low mechanical properties. Thus, appropriate compatibilizers were commonly added to the composites. Usually, polymer composites have a variety of morphologies, such as co-continuous and sea-island structures. Phase behavior is dependent on two factors: composition and processing temperature [7,12]. Polystyrene (PS) and polyethylene (PE) are two of the most widely used commodity polymers [13]. Many studies were conducted on the preparation and properties of the PS/PE blend [13,14,15,16,17]. Specifically, microcellular foams of PE/PS blends could be used in the fields of packaging and building due to the excellent sound and heat insulation, chemical resistance, and mechanical properties, as well as low electrical and thermal conductivity [18,19,20,21]. However, as the typical immiscible polymers, PE was crystalline while PS was amorphous [1], resulting in the weak interaction between PE and PS phase in the PE/PS blend [16]. In general, interactions between different phases could be enhanced by using functionalized modifiers or adding a block (or graft) copolymer, which has the same or similar chemical composition to the blends [22,23,24,25].
Nowadays, reducing the interfacial tension between two phases has become the key point in achieving stable morphology and excellent properties in polymer composites [17,26]. Fine morphology could be achieved by using an appropriate compatibilizer that contained functional groups to improve interactions between polymer phases [27,28]. The compatibilizer, which is located at the interfaces of the components, could improve the uniform and symmetric connection between different phases through the establishment of new physical or chemical bonds [29]. The compatibilizer could also reduce the interfacial tension between phases and prevent coalescence, thus decreasing the particle size [30,31].
The polystyrene/high-density polyethylene (PS/HDPE) blend was compatibilized by several butadiene/styrene block copolymers, and some compatibilizers were found to be located at the interface between the two phases [15]. When the contents of PP and PS were equal, co-continuous morphology was observed in the PP/PS blend with styrene/butadiene/styrene (SBS) triblock copolymer as the compatibilizer. The diameter of the dispersed PS particles was reduced, and the interfacial adhesion between the PS and PP phases was improved after introducing compatibilizer SBS. The SBS compatibilizer was found to be located at the interface between PS and PP phases and dispersed in the PS phase [24,31,32]. The styrene/ethylene/butylene/styrene block copolymers grafted with maleic anhydride (SEBS-g-MAH) could prevent the phase separation of the PS/PE blend due to the fine morphology and molecular chain entanglements between the PS phase and PE phase under the lower centrifugal force [14].
In this work, SEBS-g-MAH and organomontmorillonite (OMMT) were used as compatibilizers to prepare LDPE/PS blends. The effect of compatibilizer contents on the morphologies and the rheological and mechanical properties was investigated. The results indicated that the SEBS-g-MAH and OMMT could reduce the size of the PS phase in the LDPE matrix, and a small amount of OMMT could synergistically compatibilize the LDPE/PS blend with SEBS-g-MAH.
2. Materials and Methods
2.1. Materials
LDPE (70 wt%) and PS (30 wt%) were used to prepare LDPE/PS composites. LDPE (SP3010: density of 0.92 g/cm3, melt flow index of 2 g/10 min) was provided by Sinopec company, while PS (PS383: density of 1.05 g/cm3, melt flow index of 3 g/10 min) was purchased from Zhenjiang Chimei Chemical Co., Ltd. (Zhejiang, China). SL03, a type of SEBS-g-MAH (density of 0.908 g/cm3, melt flow rate of 22 g/10 min, 1.4–2.0% maleic anhydride and 30% polystyrene content) was purchased from Shanghai Yuanyuan Polymer Material Science and Technology Co., Ltd. (Shanghai, China). OMMT (DK1N) modified with organic amine derivative was supplied by Zhejiang Fenghong New Material Co., Ltd. (Zhejiang, China). The content of SEBS-g-MAH was added in the LDPE/PS blends with different weight ratios (0%, 1%, 3%, 5%, 7%, 9%). The content of OMMT was added into LDPE/PS/SEBS-g-MAH composites with different weight ratios (0.1%, 0.3%, 0.5%, 0.7%, 0.9%).
2.2. Sample Preparation
The LDPE/PS/SEBS-g-MAH blends were prepared with a HAAKE Polylab-OS mixer by melt blending (Scheme 1). The blending temperature, rotation speed, and blending time were set as 180 °C, 60 rpm, and 12 min, respectively. All the blends contained 70 wt% LDPE and 30 wt% PS. The OMMT as the inorganic compatibilizer was introduced to further enhance the compatibility of LDPE and PS after confirming the optimal content of SEBS-g-MAH.
Scheme 1.
The preparation process of the LDPE/PS/SEBS-g-MAH/OMMT composites.
2.3. Characterization
2.3.1. Morphology
The morphological structures of prepared composites were investigated by scanning electron microscope (SEM) (S-4800, Hitachi, Japan). Composite specimens were fractured with liquid nitrogen. The PS phase was etched with xylene to reach equilibrium at 40 °C.
2.3.2. X-ray Diffraction (XRD) Analysis
XRD analysis was performed using the Bruker AXS D8 diffractometer (CuKα, λ = 0.154 nm, flash mode). The composites used for XRD analysis were pressed at 180 °C to 1 mm thickness sheets. The diffraction angle 2 θ range of the experiments was 0.7° to 10° with a scanning rate of 0.5°/min. The correspondence between wavelength and diffraction angle θ is determined by the Braggs equation: nλ = 2dsin θ, n is a numeric factor (n = 1), λ is the wavelength (0.154 nm), d is the reticular distance between crystal planes (nm), and 2 θ is the diffraction angle (°) [33].
2.3.3. Rheological Property Analysis
The rheological property was characterized using a rational rheometer (AR2000EX rheometer, TA Instruments, New Castle, DE, USA) with two parallel plates. The LDPE/PS composites were pressed at 180 °C to be circular samples with a diameter of 25 mm and a thickness of 1 mm. The test temperature was 180 °C, and the frequency was from 0.01 to 100 s−1. The thermal history of the circular samples was eliminated before the start of the measurement.
2.3.4. Mechanical Tests
A tensile test was performed using a universal test machine (Instron 5967, INSTRON Corporation, MA, USA) with a test speed of 50 mm/min at room temperature. The cross-section of specimens was 4 × 1 mm2, according to GB/T1040.2-2006. Five specimens were tested for each sample to obtain an average value. A Charpy impact test was carried out with an impact test machine (HIT-2492, JJ-TEST Co., Ltd., Guangdong, China). The size of the specimens was 80 × 10 × 4 mm according to GB/T1843-2008. Five specimens were tested for each sample to obtain an average value.
3. Results and Discussion
3.1. Morphology
The morphologies of LDPE/PS composites with different contents of SEBS-g-MAH (0% to 9%) are shown in Figure 1. Without SEBS-g-MAH (Figure 1a), the PS particles were not uniformly dispersed in the LDPE phase and exhibited the typical phase separation because of the poor compatibility and weak interaction between the LDPE and PS phase, and the dispersed PS particles tended to coalesce during melt processing. Blends without SEBS-g-MAH showed a sea-island structure, while the dispersed phase diameter was about 5 μm. However, the homogeneous structure was formed when 7% SEBS-g-MAH was added. The average grain size of the dispersed phase decreased to about 1 μm. The introduction of polar maleic anhydride groups reduced the interfacial tension between the two phases and avoided coalescence, resulting in a more ordered and symmetric morphology with the PS phase uniformly distributed in the continuous PE phase.
Figure 1.
SEM of LDPE/PS composites with different contents of SEBS-g-MAH, (a) 0; (b) 1%; (c) 3%; (d) 5%; (e) 7%; (f) 9%.
Furthermore, the effect of OMMT on the phase morphology of LDPE/PS/SEBS-g-MAH composites was investigated. The fractured surfaces of composites are shown in Figure 2. When 0.3% OMMT was added to LDPE/PS/SEBS-g-MAH blends (70/30/7, wt%), the dispersed size was dramatically decreased. The grafted maleic anhydride of SEBS-g-MAH reacted with the amine group on the OMMT during the melting process and increased the OMMT layer spacing. Thus, the intercalation of molecule chains of PE and PS within the same OMMT gallery enhanced the compatibility of blends. While further increasing the content of OMMT, the PS phase tended to be coalescent (Figure 2d,e). OMMT was easy to agglomerate in the matrix and migrate to the surface of the matrix, thus reducing the compatibility while its content was above 0.3%. The red circles marked in Figure 2e,f indicate the coalescence of OMMT.
Figure 2.
SEM of LDPE/PS/ SEBS-g-MAH composites with different contents of OMMT, (a) 0; (b) 0.1%; (c) 0.3%; (d) 0.5%; (e) 0.7%; (f) 0.9%.
3.2. X-ray Diffraction Analysis of Composite
XRD diffraction spectra of composites with different OMMT contents are shown in Figure 3. The layer distance of OMMT was 2.38 nm. For the LDPE/PS/SEBS-g-MAH (70/30/7, wt%) composite, there were no peaks in the range of 0.7–10°, which was similar to those of previous studies [13,34]. The layer distance of OMMT with 0.3% OMMT composites was 11.62 nm, indicating that molecule chains of the composite could intercalate into OMMT, thus confining the mobility of PS and LDPE and reducing the size of the PS phase [30]. The layer distance of OMMT decreased with further increasing the content of OMMT. This result was due to the coalescence of OMMT with its content excessed, as also shown in the SEM results.
Figure 3.
XRD diffraction spectra of LDPE/PS/SEBS-g-MAH composites.
3.3. Rheological Behavior of Composite
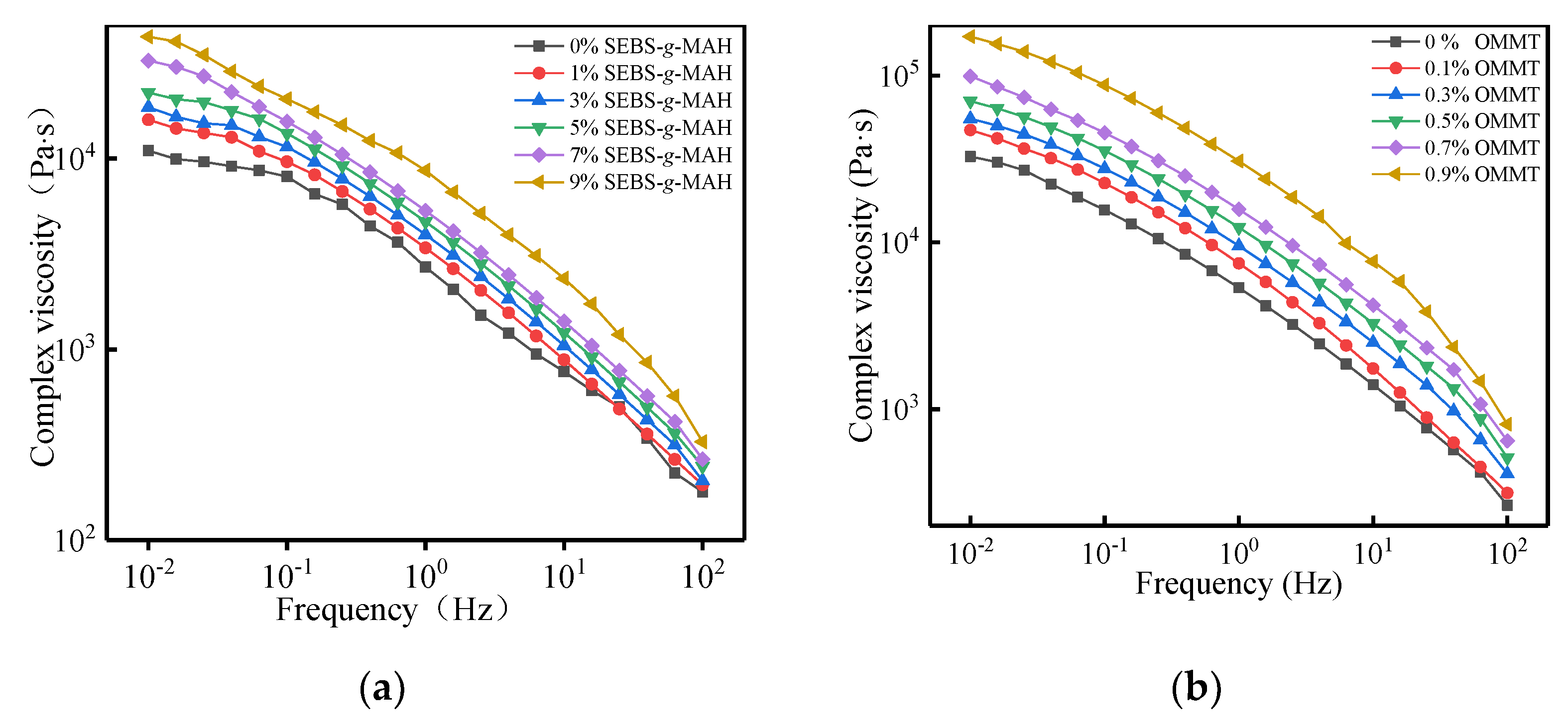
The influences of SEBS-g-MAH and OMMT on the viscosity of LDPE/PS (70/30, wt%) composites are shown in Figure 4. The complex viscosity of composites exhibited typical shearing thinning behavior in the range of measured frequency. The complex viscosity of composites increased after the addition of SEBS-g-MAH, particularly at low frequency, as shown in Figure 4a. Furthermore, the viscosity increased at the same frequency with the addition of the SEBS-g-MAH content. The rheological results indicated that SEBS-g-MAH could improve the interaction of the PS and HDPE phases. Moreover, OMMT was introduced to study the effect on the viscosity of LDPE/PS/SEBS-g-MAH (70/30/7, wt%) composites. As shown in Figure 4b, the introduction of OMMT further enhanced the viscosity of composites, and the highest value was achieved with 0.9% OMMT. The intercalated OMMT could restrict the movement of LDPE and PS molecular chains and thus increased the viscosity of the composites.
Figure 4.
The complex viscosity of (a) LDPE/PS/SEBS-g-MAH composites and (b) LDPE/PS/SEBS-g-MAH/OMMT composites.
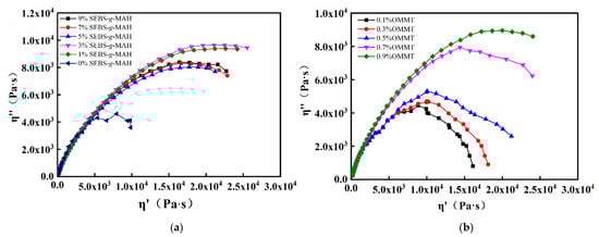
3.4. Cole–Cole Plot Analysis of Composite
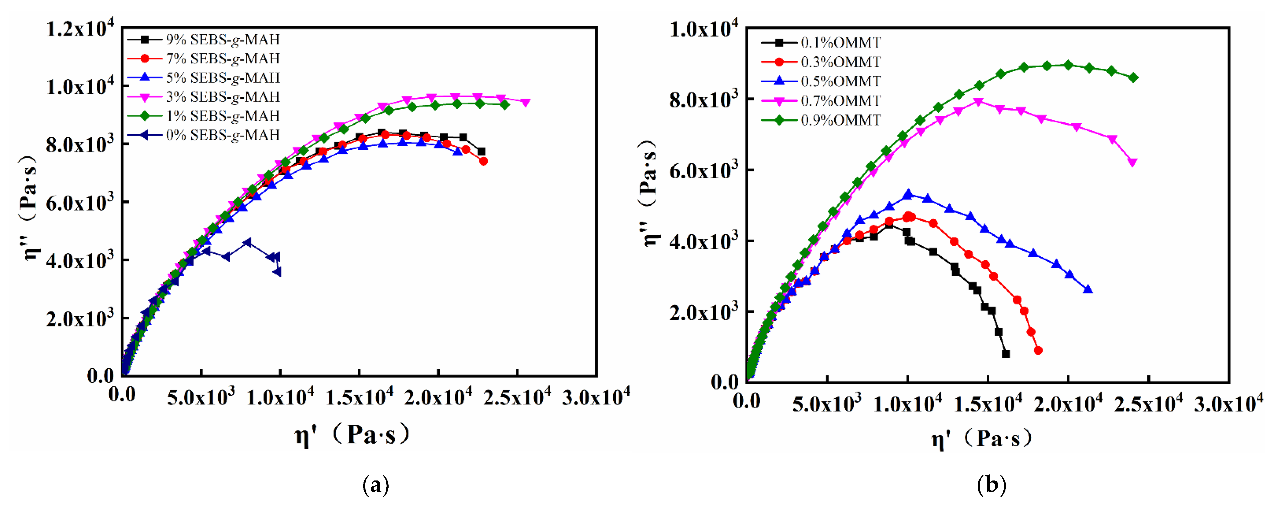
The Cole–Cole (η′′ vs. η′) plot could characterize the two-phase structure of polymer blends [7,12]. For homogeneous polymers, only one circular arc was in the Cole–Cole plot. The appearance of another arc or trailing on the right of the main arc indicated phase separation [7,35]. As shown in Figure 5a, no arcs occurred in the LDPE/PS (70/30, wt%) composite. When increasing the content of SEBS-g-MAH to 7%, only one arc was present in the Cole–Cole plot of the composite, indicating the compatibilization of SEBS-g-MAH. Furthermore, with the addition of 0.1% and 0.3% OMMT, semicircles appeared in the Cole–Cole plots. The compatibility of the composite was obviously improved. However, further increasing the content of OMMT, a long tail appeared beside the main arc, indicating phase separation of the sample. A small amount of OMMT could synergistically compatibilize the LDPE/PS composite with SEBS-g-MAH. The excess OMMT could agglomerate and cause stress concentration points, which negatively influenced the compatibility of the composite.
Figure 5.
The Cole–Cole plots of η′′ vs. η′ for LDPE/PS composites at 180 °C, (a) LDPE/PS/SEBS-g-MAH; (b) LDPE/PS/SEBS-g-MAH/OMMT.
3.5. Mechanical Properties
Compatibilizers or surface modifiers are usually incorporated into polymer composites to increase miscibility and performance. The mechanical properties of LDPE/PS composites with and without SEBS-g-MAH are shown in Figure 6. The LDPE/PS (70/30, wt%) composite had a tensile strength of 8.95 MPa, an elongation at break of 13.41%, and an impact strength of 5.5 KJ/m2. After the introduction of SBS-g-MAH, all the tensile strength, the elongation at break, and the impact strength significantly increased. With increasing the content of SEBS-g-MAH above 3%, the tensile strength decreased, while the elongation at break increased slowly. The excess SEBS-g-MAH polymers acted as toughening agents, thus reducing the tensile strength of the composite [15,36]. The tensile strength, elongation at break, and impact strength of the LDPE/PS/SBS-g-MAH (70/30/7, wt%) composite were 14.03 MPa, 47.68%, and 26.88 KJ/m2, respectively. Moreover, the mechanical properties of the LDPE/PS/SEBS-g-MAH composites with the addition of OMMT were investigated. As shown in Figure 7, all the tensile strength, the elongation at break, and the impact strength increased with increasing the OMMT content to 0.3% and decreased when the OMMT content further increased up to 0.9%. The tensile strength, elongation at break, and impact strength of the LDPE/PS/SBS-g-MAH/OMMT (70/30/7/0.3, wt%) composite were 18.57 MPa, 71.87%, and 33.28 kJ/m2, respectively. The enhancement in mechanical properties could be ascribed to the uniformity and symmetry of the internal micro- and nano-structures of the modified LDPE/PS blends.
Figure 6.
Effect of SEBS-g-MAH addition on mechanical properties of LDPE/PS (70/30, wt%) composites.
Figure 7.
Effect of OMMT addition on mechanical properties of LDPE/PS/SEBS-g-MAH (70/30/7, wt%) composites.
4. Conclusions
In this study, a series of LDPE/PS/SEBS-g-MAH and LDPE/PS/SEBS-g-MAH/OMMT composites were prepared using an effective strategy of melt blending. The SEM analysis revealed that the size of the PS phase decreased and the compatibility of composites was improved after introducing SEBS-g-MAH and OMMT. Further analysis by XRD indicated that molecule chains of the composite could intercalate into OMMT, thus confining the mobility of PS and LDPE and reducing the size of the PS phase. When the content of SEBS-g-MAH was 7%, the impact strength, tensile strength, and elongation at break of the LDPE/PS/SEBS-g-MAH (70/30/7, wt%) blend composites were increased by 64%, 255%, and 380%, respectively, compared with LDPE/PS blends. After the introduction of 0.3% of OMMT into the LDPE/PS/SEBS-g-MAH system, the impact strength, tensile strength, and elongation at break of composites with 0.3% OMMT were further increased to 18.57 Mpa, 71.87%, and 33.28 KJ/m2, respectively. The complex viscosity of LDPE/PS/SEBS-g-MAH/OMMT composites was higher than LDPE/PS/SEBS-g-MAH due to the structure of lamellar, which restricted the mobility of molecular chains. Thus, a small amount of OMMT could synergistically compatibilize LDPE/PS blends with SEBS-g-MAH. Future studies are required to prepare microcellular foams of PE/PS composites compatibilized with SEBS-g-MAH and OMMT.
Author Contributions
Data curation, X.G.; Funding acquisition, Y.W. and Z.N.; Investigation, N.Z., X.G. and R.H.; Methodology, N.Z. and J.L.; Project administration, Z.N.; Resources, N.Z. and X.G.; Software, J.L. and Y.W.; Supervision, X.G. and Z.N.; Visualization, J.L.; Writing—original draft, N.Z.; Writing—review & editing, R.H. All authors have read and agreed to the published version of the manuscript.
Funding
This research was funded by the National Natural Science Foundation of China (22078227), Natural Science Foundation of Jiangsu Province (BK20210144), Natural Science Foundation of the Higher Education Institutions of Jiangsu Province (19KJB180029), and Scientific Research Starting Foundation of Taizhou University (TZXY2018QDJJ011).
Institutional Review Board Statement
Not applicable.
Informed Consent Statement
Not applicable.
Data Availability Statement
The study did not report any data.
Conflicts of Interest
The authors declare that they have no known competing financial interests or personal relationships that could have appeared to influence the work reported in this paper.
References
- Yang, L.-Y.; Smith, T.G.; Bigio, D. Melt blending of linear low-density polyethylene and polystyrene in a haake internal mixer. I. Compatibilization and morphology development. J. Appl. Polym. Sci. 1995, 58, 117–127. [Google Scholar] [CrossRef]
- Wu, B.; Yang, Y.; Li, M.; Zhu, K.; Iqbal, Z.; Li, Y. Enhanced thermal conductivity of polyamide-66 composites with mesocarbon microbeads through simple melt blending. Polym. Eng. Sci. 2022, 62, 530–536. [Google Scholar] [CrossRef]
- Enrique-Jimenez, P.; Quiles-Díaz, S.; Salavagione, H.J.; Fernández-Blázquez, J.P.; Monclús, M.A.; Guzman de Villoria, R.; Gómez-Fatou, M.A.; Ania, F.; Flores, A. Nanoindentation mapping of multiscale composites of graphene-reinforced polypropylene and carbon fibres. Compos. Sci. Technol. 2019, 169, 151–157. [Google Scholar] [CrossRef]
- Tabasum, S.; Younas, M.; Zaeem, M.A.; Majeed, I.; Majeed, M.; Noreen, A.; Iqbal, M.N.; Zia, K.M. A review on blending of corn starch with natural and synthetic polymers, and inorganic nanoparticles with mathematical modeling. Int. J. Biol. Macromol. 2019, 122, 969–996. [Google Scholar] [CrossRef]
- Masudur Rahman, A.N.M.; Alimuzzaman, S.; Khan, R.A.; Hossen, J. Evaluating the performance of gamma irradiated okra fiber reinforced polypropylene (PP) composites: Comparative study with jute/PP. Fash. Text. 2018, 5, 28. [Google Scholar] [CrossRef] [Green Version]
- Mariello, M.; Guido, F.; Mastronardi, V.M.; De Donato, F.; Salbini, M.; Brunetti, V.; Qualtieri, A.; Rizzi, F.; De Vittorio, M. Captive-air-bubble aerophobicity measurements of antibiofouling coatings for underwater MEMS devices. Nanomater. Nanotechnol. 2019, 9, 1847980419862075. [Google Scholar] [CrossRef] [Green Version]
- Liao, H.-Y.; Lu, H.-B. Rheological behavior of a LDPE/PS/SBS blending melt. Polym. Bull. 2014, 71, 3237–3247. [Google Scholar] [CrossRef]
- Van Eerdenbrugh, B.; Taylor, L.S. Molecular Weight Effects on the Miscibility Behavior of Dextran and Maltodextrin with Poly(vinylpyrrolidone). Pharm. Res. 2012, 29, 2754–2765. [Google Scholar] [CrossRef]
- Wang, D.; Li, Y.; Xie, X.-M.; Guo, B.-H. Compatibilization and morphology development of immiscible ternary polymer blends. Polymer 2011, 52, 191–200. [Google Scholar] [CrossRef]
- Sperling, L.H.; Howard, L. Introduction to Physical Polymer Science; John Wiley & Sons, Inc.: Hoboken, NJ, USA, 1986. [Google Scholar]
- Zhu, N.; Ye, M.; Shi, D.; Chen, M. Reactive compatibilization of biodegradable poly(butylene succinate)/Spirulina microalgae composites. Macromol. Res. 2017, 25, 165–171. [Google Scholar] [CrossRef]
- Li, R.; Yu, W.; Zhou, C. Phase Behavior and its Viscoelastic Responses of Poly(methyl methacrylate) and Poly(styrene-co-maleic anhydride) Blend Systems. Polym. Bull. 2006, 56, 455–466. [Google Scholar] [CrossRef]
- Afzali, M.; Morshedian, J.; Moballegh, L.; Ahmadi, S. Comparing effects of two tri-block copolymers on morphology, thermal, mechanical and rheological properties of polystyrene/low density polyethylene blends. Mater. Res. Express 2018, 5, 085305. [Google Scholar] [CrossRef]
- Dobrovszky, K.; Ronkay, F. Investigation of compatibilization effects of SEBS-g-MA on polystyrene/polyethylene blend with a novel separation method in melted state. Polym. Bull. 2016, 73, 2719–2739. [Google Scholar] [CrossRef] [Green Version]
- Rek, V.; Vranješ, N.; Šlouf, M.; Fortelný, I.; Jelčić, Ž. Morphology and Properties of SEBS Block Copolymer Compatibilized PS/HDPE Blends. J. Elastomers Plast. 2008, 40, 237–251. [Google Scholar] [CrossRef]
- Yang, L.-Y.; Bigio, D.; Smith, T.G. Melt blending of linear low-density polyethylene and polystyrene in a Haake internal mixer. II. Morphology-processing relationships. J. Appl. Polym. Sci. 1995, 58, 129–141. [Google Scholar] [CrossRef]
- Díaz, M.F.; Barbosa, S.E.; Capiati, N.J. Reactive compatibilization of PE/PS blends. Effect of copolymer chain length on interfacial adhesion and mechanical behavior. Polymer 2007, 48, 1058–1065. [Google Scholar] [CrossRef]
- Xing, Z.; Wang, M.; Du, G.; Xiao, T.; Liu, W.; Qiang, D.; Wu, G. Preparation of microcellular polystyrene/polyethylene alloy foams by supercritical CO2 foaming and analysis by X-ray microtomography. J. Supercrit. Fluids 2013, 82, 50–55. [Google Scholar] [CrossRef]
- Zhang, G.; Wang, Y.; Xing, H.; Qiu, J.; Gong, J.; Yao, K.; Tan, H.; Jiang, Z.; Tang, T. Interplay between the composition of LLDPE/PS blends and their compatibilization with polyethylene-graft-polystyrene in the foaming behaviour. RSC Adv. 2015, 5, 27181–27189. [Google Scholar] [CrossRef]
- Zhang, S.; Zhang, G.; Qiu, J.; Jiang, Z.; Xing, H.; Li, M.; Tang, T. The effect of nanosized carbon black on the morphology and sc-CO2 foaming behavior of LLDPE/PS blends at semi-solid state. Compos. Commun. 2018, 7, 30–35. [Google Scholar] [CrossRef]
- Shi, Z.; Zhang, S.; Qiu, J.; Li, M.; Xing, H.; Tang, T. Striking effect of carbon nanotubes on adjusting sc-CO2 foaming performance of PS/LLDPE blends and forming semi-open cellular structure. Polymer 2020, 207, 122896. [Google Scholar] [CrossRef]
- Ray, S.S.; Pouliot, S.; Bousmina, M.; Utracki, L.A. Role of organically modified layered silicate as an active interfacial modifier in immiscible polystyrene/polypropylene blends. Polymer 2004, 45, 8403–8413. [Google Scholar] [CrossRef] [Green Version]
- Zhang, Q.; Yang, H.; Fu, Q. Kinetics-controlled compatibilization of immiscible polypropylene/polystyrene blends using nano-SiO2 particles. Polymer 2004, 45, 1913–1922. [Google Scholar] [CrossRef]
- Horák, Z.; Hlavatá, D.; Fortelný, I.; Lednický, F. Effect of styrene-butadiene triblock copolymer structure on its compatibilization efficiency in PS/PB and PS/PP blends. Polym. Eng. Sci. 2002, 42, 2042–2047. [Google Scholar] [CrossRef]
- Zhang, G.; Zhang, S.; Qiu, J.; Jiang, Z.; Xing, H.; Li, M.; Tang, T. Insight into the influence of OA-Fe3O4 nanoparticles on the morphology and scCO2 batch-foaming behavior of cocontinuous LLDPE/PS immiscible blends at semi-solid state. Polymer 2017, 129, 169–178. [Google Scholar] [CrossRef]
- Ma, P.; Cai, X.; Zhang, Y.; Wang, S.; Dong, W.; Chen, M.; Lemstra, P.J. In-Situ compatibilization of poly(lactic acid) and poly(butylene adipate-co-terephthalate) blends by using dicumyl peroxide as a free-radical initiator. Polym. Degrad. Stab. 2014, 102, 145–151. [Google Scholar] [CrossRef]
- Li, Y.-Y.; Hu, S.-W.; Sheng, J. Evolution of phase dimensions and interfacial morphology of polypropylene/polystyrene compatibilized blends during mixing. Eur. Polym. J. 2007, 43, 561–572. [Google Scholar] [CrossRef]
- Shahbazi, K.; Razavi Aghjeh, M.K.; Abbasi, F.; Partovi Meran, M.; Mehrabi Mazidi, M. Rheology, morphology and tensile properties of reactive compatibilized polyethylene/polystyrene blends via Friedel–Crafts alkylation reaction. Polym. Bull. 2012, 69, 241–259. [Google Scholar] [CrossRef]
- Lee, S.Y.; Kim, S.C. Effect of compatibilizer on the crystallization, rheological, and tensile properties of LDPE/EVOH blends. J. Appl. Polym. Sci. 1998, 68, 1245–1256. [Google Scholar] [CrossRef]
- Wang, Y.; Zhang, Q.; Fu, Q. Compatibilization of Immiscible Poly(propylene)/Polystyrene Blends Using Clay. Macromol. Rapid Commun. 2003, 24, 231–235. [Google Scholar] [CrossRef]
- Nam, G.J.; Kim, K.Y.; Lee, J.W. The effect of SEBS on interfacial tension and rheological properties of LDPE/PS blend. J. Appl. Polym. Sci. 2005, 96, 905–911. [Google Scholar] [CrossRef]
- Radonjič, G.; Musil, V.; Šmit, I. Compatibilization of polypropylene/polystyrene blends with poly(styrene-b-butadiene-b-styrene) block copolymer. J. Appl. Polym. Sci. 1998, 69, 2625–2639. [Google Scholar] [CrossRef]
- Lian, X.; Cheng, K.; Wang, D.; Zhu, W.; Wang, X. Analysis of crystals of retrograded starch with sharp X-ray diffraction peaks made by recrystallization of amylose and amylopectin. Int. J. Food Prop. 2017, 20, S3224–S3236. [Google Scholar] [CrossRef]
- Zhao, C.; Wei, X.; Huang, Y.; Ma, J.; Cao, K.; Chang, G.; Yang, J. Preparation and unique dielectric properties of nanoporous materials with well-controlled closed-nanopores. Phys. Chem. Chem. Phys. 2016, 18, 19183–19193. [Google Scholar] [CrossRef] [PubMed]
- Chopra, D.; Kontopoulou, M.; Vlassopoulos, D.; Hatzikiriakos, S.G. Effect of maleic anhydride content on the rheology and phase behavior of poly(styrene-co-maleic anhydride)/ poly(methyl methacrylate) blends. Rheol. Acta 2002, 41, 10–24. [Google Scholar] [CrossRef]
- Tjong, S.C.; Xu, S.A. Impact and tensile properties of SEBS copolymer compatibilized PS/HDPE blends. J. Appl. Polym. Sci. 1998, 68, 1099–1108. [Google Scholar] [CrossRef]
Publisher’s Note: MDPI stays neutral with regard to jurisdictional claims in published maps and institutional affiliations. |
© 2022 by the authors. Licensee MDPI, Basel, Switzerland. This article is an open access article distributed under the terms and conditions of the Creative Commons Attribution (CC BY) license (https://creativecommons.org/licenses/by/4.0/).







