The Consistent Couple Stress Theory-Based Vibration and Post-Buckling Analysis of Bi-directional Functionally Graded Microbeam
Abstract
:1. Introduction
2. Mathematical Formulation
3. Solution Procedures
3.1. Methodology
3.2. Free Vibration
3.3. Buckling and Postbuckling
3.4. Postbuckling Vibration
4. Numerical Results
4.1. Verification
4.2. Characteristics of Free Vibration and Buckling
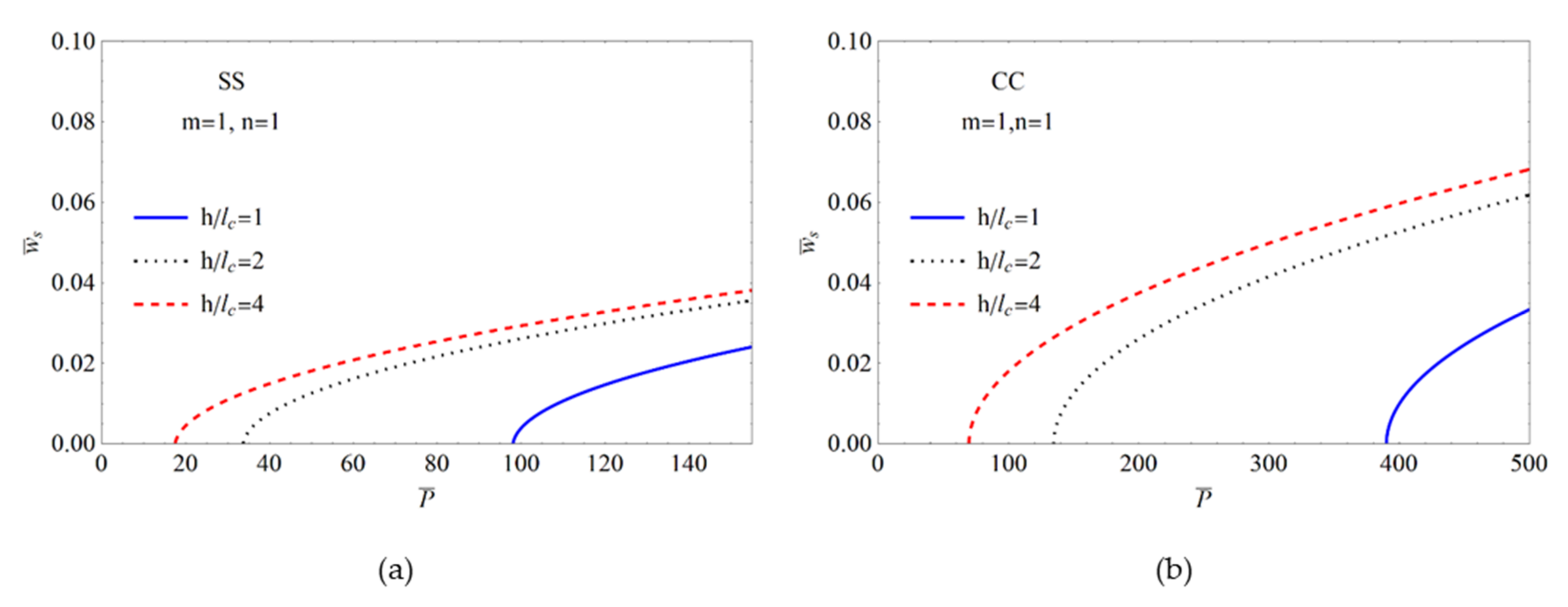
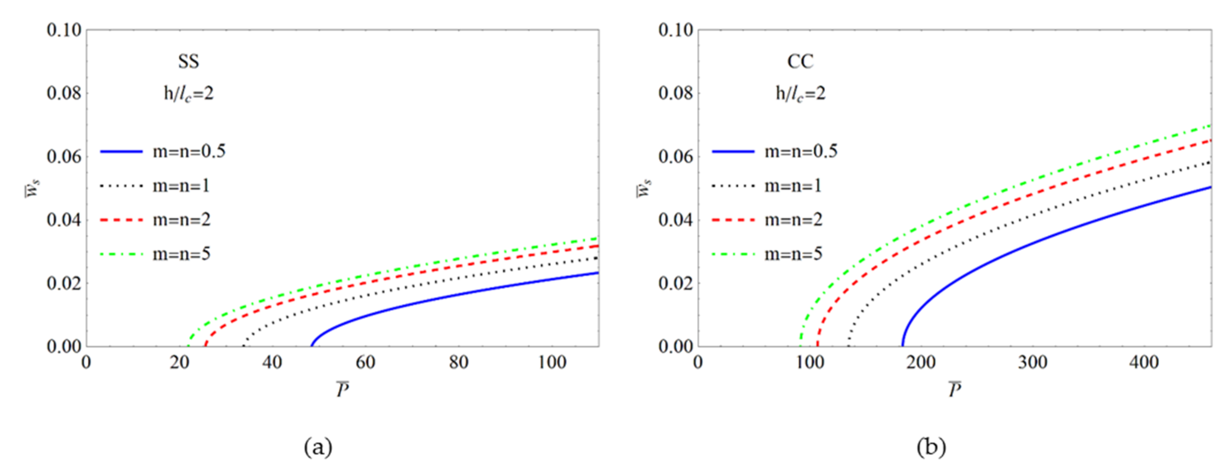
4.3. Post-Buckling Investigation of Microbeam
5. Conclusions
- 1.
- The small scale parameter in CCST equals roughly half of the MCST.
- 2.
- Increasing the gradient indexes, the frequencies and critical buckling load diminish. The frequencies and critical axial force do not change when the gradient indexes are considerable.
- 3.
- The influence of the material distribution type on the first frequencies is significantly greater than that of the second frequencies. In addition, the first-order frequencies of the CC microbeams with different material distribution types are quite different. Furthermore, the critical buckling loads are close among these four types of distribution.
- 4.
- The aspect ratio influences the buckling path significantly, but makes nearly no contribution to the critical buckling load.
- 5.
- With declining , the predicted critical buckling loads increase significantly for all boundary conditions and the size effect becomes more pronounced.
Author Contributions
Funding
Institutional Review Board Statement
Informed Consent Statement
Data Availability Statement
Conflicts of Interest
References
- Coffel, J.; Nuxoll, E. BioMEMS for biosensors and closed-loop drug delivery. Int. J. Pharm. 2018, 544, 335–349. [Google Scholar] [CrossRef] [PubMed]
- Tahmasebipour, M.; Vafaie, A. A novel single axis capacitive MEMS accelerometer with double-sided suspension beams fabricated using μ WEDM. Sens. Actuators A Phys. 2020, 309, 112003. [Google Scholar] [CrossRef]
- Lyu, M.; Zhao, J.; Kacem, N.; Liu, P.; Tang, B.; Xiong, Z.; Wang, H.; Huang, Y. Exploiting nonlinearity to enhance the sensitivity of mode-localized mass sensor based on electrostatically coupled MEMS resonators. Int. J. Nonlin. Mech. 2020, 121, 103455. [Google Scholar] [CrossRef]
- Lam, D.C.C.; Yang, F.; Chong, A.C.M.; Wang, J.; Tong, P. Experiments and theory in strain gradient elasticity. J. Mech. Phys. Solids 2003, 51, 1477–1508. [Google Scholar] [CrossRef]
- Jin, J.; Hu, N.; Hu, H. Investigation of size effect on band structure of 2D nano-scale phononic crystal based on nonlocal strain gradient theory. Int. J. Mech. Sci. 2022, 219, 107100. [Google Scholar] [CrossRef]
- Dinachandra, M.; Alankar, A. Static and dynamic modeling of functionally graded Euler-Bernoulli microbeams based on reformulated strain gradient elasticity theory using isogeometric analysis. Compos. Struct. 2022, 280, 114923. [Google Scholar] [CrossRef]
- Roostai, H.; Haghpanahi, M. Vibration of nanobeams of different boundary conditions with multiple cracks based on nonlocal elasticity theory. Appl. Math. Model. 2014, 38, 1159–1169. [Google Scholar] [CrossRef]
- Yang, F.; Chong, A.C.M.; Lam, D.C.C.; Tong, P. Couple stress based strain gradient theory for elasticity. Int. J. Solids Struct. 2002, 39, 2731–2743. [Google Scholar] [CrossRef]
- Chen, X.; Li, Y. Size-dependent post-buckling behaviors of geometrically imperfect microbeams. Mech. Res. Commun. 2018, 88, 25–33. [Google Scholar] [CrossRef]
- Saleh, B.; Jiang, J.; Fathi, R.; Al-hababi, T.; Xu, Q.; Wang, L.; Song, D.; Ma, A. 30 Years of functionally graded materials: An overview of manufacturing methods, Applications and Future Challenges. Compos. Part B Eng. 2020, 201, 108376. [Google Scholar] [CrossRef]
- Chandrasekaran, S.; Hari, S.; Amirthalingam, M. Functionally graded materials for marine risers by additive manufacturing for high-temperature applications: Experimental investigations. Structures 2022, 35, 931–938. [Google Scholar] [CrossRef]
- Luginina, M.; Angioni, D.; Montinaro, S.; Orrù, R.; Cao, G.; Sergi, R.; Bellucci, D.; Cannillo, V. Hydroxyapatite/bioactive glass functionally graded materials (FGM) for bone tissue engineering. J. Eur. Ceram. Soc. 2020, 40, 4623–4634. [Google Scholar] [CrossRef]
- Boggarapu, V.; Gujjala, R.; Ojha, S.; Acharya, S.; Venkateswara Babu, P.; Chowdary, S.; Kumar Gara, D. State of the art in functionally graded materials. Compos. Struct. 2021, 262, 113596. [Google Scholar] [CrossRef]
- Şimşek, M.; Reddy, J.N. Bending and vibration of functionally graded microbeams using a new higher order beam theory and the modified couple stress theory. Int. J. Eng. Sci. 2013, 64, 37–53. [Google Scholar] [CrossRef]
- Akgöz, B.; Civalek, Ö. Free vibration analysis of axially functionally graded tapered Bernoulli-Euler microbeams based on the modified couple stress theory. Compos. Struct. 2013, 98, 314–322. [Google Scholar] [CrossRef]
- Nateghi, A.; Salamat-talab, M.; Rezapour, J.; Daneshian, B. Size dependent buckling analysis of functionally graded micro beams based on modified couple stress theory. Appl. Math. Model. 2012, 36, 4971–4987. [Google Scholar] [CrossRef]
- Li, X.; Li, L.; Hu, Y.; Ding, Z.; Deng, W. Bending, buckling and vibration of axially functionally graded beams based on nonlocal strain gradient theory. Compos. Struct. 2017, 165, 250–265. [Google Scholar] [CrossRef]
- Akbarzadeh Khorshidi, M.; Shariati, M.; Emam, S.A. Postbuckling of functionally graded nanobeams based on modified couple stress theory under general beam theory. Int. J. Mech. Sci. 2016, 110, 160–169. [Google Scholar] [CrossRef]
- Chen, X.; Lu, Y.; Li, Y. Free vibration, buckling and dynamic stability of bi-directional FG microbeam with a variable length scale parameter embedded in elastic medium. Appl. Math. Model. 2019, 67, 430–448. [Google Scholar] [CrossRef]
- Bhattacharya, S.; Das, D. Free vibration analysis of bidirectional-functionally graded and double-tapered rotating micro-beam in thermal environment using modified couple stress theory. Compos. Struct. 2019, 215, 471–492. [Google Scholar] [CrossRef]
- Chen, X.; Zhang, X.; Lu, Y.; Li, Y. Static and dynamic analysis of the postbuckling of bi-directional functionally graded material microbeams. Int. J. Mech. Sci. 2019, 151, 424–443. [Google Scholar] [CrossRef]
- Yang, T.; Tang, Y.; Li, Q.; Yang, X. Nonlinear bending, buckling and vibration of bi-directional functionally graded nanobeams. Compos. Struct. 2018, 204, 313–319. [Google Scholar] [CrossRef]
- Lei, J.; He, Y.; Li, Z.; Guo, S.; Liu, D. Postbuckling analysis of bi-directional functionally graded imperfect beams based on a novel third-order shear deformation theory. Compos. Struct. 2019, 209, 811–829. [Google Scholar] [CrossRef]
- Nejad, M.Z.; Hadi, A.; Rastgoo, A. Buckling analysis of arbitrary two-directional functionally graded Euler–Bernoulli nano-beams based on nonlocal elasticity theory. Int. J. Eng. Sci. 2016, 103, 1–10. [Google Scholar] [CrossRef]
- Shafiei, N.; Kazemi, M. Buckling analysis on the bi-dimensional functionally graded porous tapered nano-/micro-scale beams. Aerosp. Sci. Technol. 2017, 66, 1–11. [Google Scholar] [CrossRef]
- Hadjesfandiari, A.R.; Dargush, G.F. Couple stress theory for solids. Int. J. Solids Struct. 2011, 48, 2496–2510. [Google Scholar] [CrossRef] [Green Version]
- Hadjesfandiari, A.R.; Dargush, G.F. Fundamental solutions for isotropic size-dependent couple stress elasticity. Int. J. Solids Struct. 2013, 50, 1253–1265. [Google Scholar] [CrossRef] [Green Version]
- Vaghefpour, H.; Arvin, H. Nonlinear free vibration analysis of pre-actuated isotropic piezoelectric cantilever Nano-beams. Microsyst. Technol. 2019, 25, 4097–4110. [Google Scholar] [CrossRef]
- Alashti, R.A.; Abolghasemi, A.H. A Size-dependent Bernoulli-Euler Beam Formulation based on a New Model of Couple Stress Theory. Int. J. Eng. 2014, 27, 951–960. [Google Scholar]
- Hadi, A.; Nejad, M.Z.; Rastgoo, A.; Hosseini, M. Buckling analysis of FGM Euler-Bernoulli nano-beams with 3D-varying properties based on consistent couple-stress theory. Steel Compos. Struct. 2018, 26, 663–672. [Google Scholar] [CrossRef]
- Haghshenas Gorgani, H.; Mahdavi Adeli, M.; Hosseini, M. Pull-in behavior of functionally graded micro/nano-beams for MEMS and NEMS switches. Microsyst. Technol. 2019, 25, 3165–3173. [Google Scholar] [CrossRef]
- Seyyed Fakhrabadi, M.M. Size effects on nanomechanical behaviors of nanoelectronics devices based on consistent couple-stress theory. Int. J. Mech. Sci. 2015, 92, 146–153. [Google Scholar] [CrossRef]
- Alavi, S.E.; Sadighi, M.; Pazhooh, M.D.; Ganghoffer, J. Development of size-dependent consistent couple stress theory of Timoshenko beams. Appl. Math. Model. 2020, 79, 685–712. [Google Scholar] [CrossRef]
- Wu, C.; Hu, H. A unified size-dependent plate theory for static bending and free vibration analyses of micro- and nano-scale plates based on the consistent couple stress theory. Mech. Mater. 2021, 162, 104085. [Google Scholar] [CrossRef]
- Chen, X.; Lu, Y.; Zhu, B.; Zhang, X.; Li, Y. Nonlinear resonant behaviors of bi-directional functionally graded material microbeams: One-/two-parameter bifurcation analyses. Compos. Struct. 2019, 223, 110896. [Google Scholar] [CrossRef]
- Chen, X.; Huang, S.; Zhu, B.; Wu, R.; Ren, Z. A domain decomposition method based vibration analysis of BDFGs imperfect beams with arbitrary boundary conditions. Compos. Struct. 2022, 284, 115115. [Google Scholar] [CrossRef]
- Chen, X.; Chen, L.; Lu, Y. Imperfection sensitivity of nonlinear primary resonance behavior in bi-directional functionally graded porous material beam. Compos. Struct. 2021, 271, 114142. [Google Scholar] [CrossRef]
- Li, L.; Li, X.; Hu, Y. Nonlinear bending of a two-dimensionally functionally graded beam. Compos. Struct. 2018, 184, 1049–1061. [Google Scholar] [CrossRef]
- Attia, M.A.; Mohamed, S.A. Nonlinear thermal buckling and postbuckling analysis of bidirectional functionally graded tapered microbeams based on Reddy beam theory. Eng. Comput.-Ger. 2022, 38, 525–554. [Google Scholar] [CrossRef]
- Li, Z.; He, Y.; Lei, J.; Guo, S.; Liu, D.; Wang, L. A standard experimental method for determining the material length scale based on modified couple stress theory. Int. J. Mech. Sci. 2018, 141, 198–205. [Google Scholar] [CrossRef]
- Reddy, J.N. Microstructure-dependent couple stress theories of functionally graded beams. J. Mech. Phys. Solids 2011, 59, 2382–2399. [Google Scholar] [CrossRef]
- Şimşek, M. Buckling of Timoshenko beams composed of two-dimensional functionally graded material (2D-FGM) having different boundary conditions. Compos. Struct. 2016, 149, 304–314. [Google Scholar] [CrossRef]
- Yang, J.; Wu, H.; Kitipornchai, S. Buckling and postbuckling of functionally graded multilayer graphene platelet-reinforced composite beams. Compos. Struct. 2017, 161, 111–118. [Google Scholar] [CrossRef] [Green Version]










| l/h | n = 0 | n = 1 | n = 10 | |||
|---|---|---|---|---|---|---|
| Reddy [41] | Present | Reddy [41] | Present | Reddy [41] | Present | |
| 0 | 9.83 | 9.8262 | 8.67 | 8.6693 | 10.28 | 10.2890 | 
| 0.2 | 10.65 | 10.6462 | 9.59 | 9.5904 | 11.07 | 11.0742 | 
| 0.4 | 12.80 | 12.7924 | 11.93 | 11.9322 | 13.14 | 13.1491 | 
| 0.8 | 19.08 | 19.0784 | 18.52 | 18.5231 | 19.30 | 19.3150 | 
| 1.0 | 22.66 | 22.6567 | 22.28 | 22.1976 | 22.92 | 22.8536 | 
| SS | CC | ||||||
|---|---|---|---|---|---|---|---|
| n = 0.5 | n = 1 | n = 2 | n = 0.5 | n = 1 | n = 2 | ||
| m = 0.5 | Simsek [42] | 13.9210 | 12.9437 | 12.2448 | 54.3014 | 50.7252 | 48.1480 | 
| Present | 13.9220 | 12.9450 | 12.2455 | 54.3289 | 50.7457 | 48.1584 | |
| m = 1 | Simsek [42] | 12.7328 | 12.0758 | 11.5957 | 50.4323 | 47.8749 | 46.0010 | 
| Present | 12.7333 | 12.0765 | 11.5960 | 50.4497 | 47.8875 | 46.0063 | |
| m = 2 | Simsek [42] | 11.4355 | 11.0985 | 10.8445 | 46.7474 | 45.1060 | 43.8808 | 
| Present | 11.4357 | 11.0988 | 10.8446 | 46.7525 | 45.1089 | 43.8796 | 
| Publisher’s Note: MDPI stays neutral with regard to jurisdictional claims in published maps and institutional affiliations. | 
© 2022 by the authors. Licensee MDPI, Basel, Switzerland. This article is an open access article distributed under the terms and conditions of the Creative Commons Attribution (CC BY) license (https://creativecommons.org/licenses/by/4.0/).
Share and Cite
Zhang, R.; Bai, H.; Chen, X. The Consistent Couple Stress Theory-Based Vibration and Post-Buckling Analysis of Bi-directional Functionally Graded Microbeam. Symmetry 2022, 14, 602. https://doi.org/10.3390/sym14030602
Zhang R, Bai H, Chen X. The Consistent Couple Stress Theory-Based Vibration and Post-Buckling Analysis of Bi-directional Functionally Graded Microbeam. Symmetry. 2022; 14(3):602. https://doi.org/10.3390/sym14030602
Chicago/Turabian StyleZhang, Rong, Hongbai Bai, and Xiaochao Chen. 2022. "The Consistent Couple Stress Theory-Based Vibration and Post-Buckling Analysis of Bi-directional Functionally Graded Microbeam" Symmetry 14, no. 3: 602. https://doi.org/10.3390/sym14030602
APA StyleZhang, R., Bai, H., & Chen, X. (2022). The Consistent Couple Stress Theory-Based Vibration and Post-Buckling Analysis of Bi-directional Functionally Graded Microbeam. Symmetry, 14(3), 602. https://doi.org/10.3390/sym14030602
 
         
                                                


 
       