Synthesis, Molecular and Supramolecular Structure Aspects, and Antimicrobial Activity of the Centrosymmetric [Ag(5-Nitroquinoline)2]ClO4 Complex
Abstract
1. Introduction
2. Materials and Methods
2.1. Materials and Instrumentation
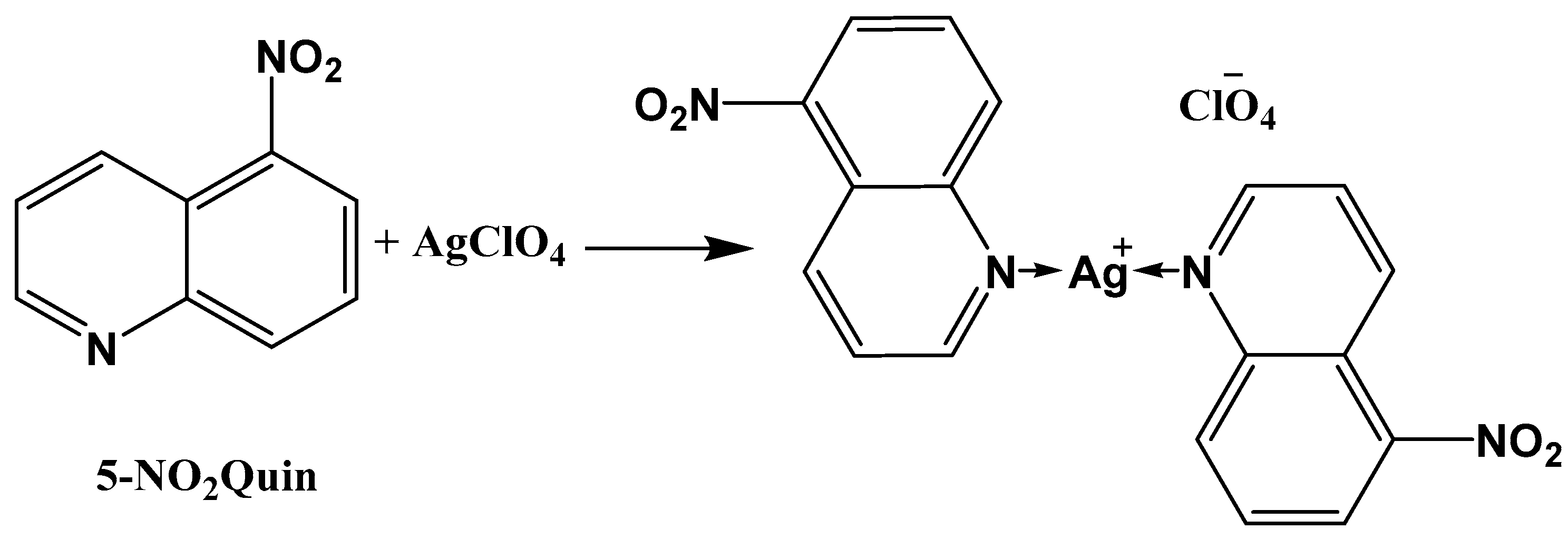
2.2. Synthesis of [Ag(5-nitroquinoline)2]ClO4
2.3. Antimicrobial Studies
3. Results and Discussion
3.1. Crystal Structure Description
3.2. Hirshfeld Analysis
3.3. FTIR Spectra
3.4. Antimicrobial Activity
4. Conclusions
Supplementary Materials
Author Contributions
Funding
Institutional Review Board Statement
Informed Consent Statement
Data Availability Statement
Acknowledgments
Conflicts of Interest
References
- Benedini, S.; Zheng, Y.; Nitti, A.; Mazza, M.M.A.; Dondi, D.; Raymob, F.M.; Pasini, D. Large polarization of push–pull “Cruciforms” via coordination with lanthanide ions. New J. Chem. 2022, 46, 221–227. [Google Scholar] [CrossRef]
- Agnes, M.; Arabi, A.; Caricato, M.; Nitti, A.; Dondi, D.; Yannakopoulou, K.; Patrini, M.; Pasini, D. Helical Nanofibers Formed by Palladium-Mediated Assembly of Organic Homochiral Macrocycles Containing Binaphthyl and Pyridyl Units. ChemPlusChem 2021, 86, 270–274. [Google Scholar] [CrossRef] [PubMed]
- Caricato, M.; Delforge, A.; Bonifazi, D.; Dondi, D.; Mazzanti, A.; Pasini, D. Chiral nanostructuring of multivalent macrocycles in solution and on surfaces. Org. Biomol. Chem. 2015, 13, 3593–3601. [Google Scholar] [CrossRef] [PubMed]
- Atiyeh, B.S.; Costagliola, M.; Hayek, S.N.; Dibo, S.A. Effect of silver on burn wound infection control and healing: Review of the literature. Burns 2007, 33, 139–148. [Google Scholar] [CrossRef]
- Rowan, R.; Tallon, T.; Sheahan, A.M.; Curran, R.; McCann, M.; Kavanagh, K.; Devereux, M.; McKee, V. Silver bullets in antimicrobial chemotherapy: Synthesis, characterisation and biological screening of some new Ag(I)-containing imidazole complexes. Polyhedron 2006, 25, 1771–1778. [Google Scholar] [CrossRef]
- Kascatan-Nebioglu, A.; Panzner, M.J.; Tessier, C.A.; Cannon, C.L.; Youngs, W.J. N-Heterocyclic carbene–silver complexes: A new class of antibiotics. Coord. Chem. Rev. 2007, 251, 884–895. [Google Scholar] [CrossRef]
- Medici, S.; Peana, M.; Nurchi, V.M.; Lachowicz, J.I.; Crisponi, G.; Zoroddu, M.A. Noble metals in medicine: Latest advances. Coord. Chem. Rev. 2015, 284, 329–350. [Google Scholar] [CrossRef]
- Glisic, B.D.; Senerovic, L.; Comba, P.; Wadepohl, H.; Veselinovic, A.; Milivojevic, D.R.; Djuran, M.I.; Nikodinovic-Runic, J. Silver(I) complexes with phthalazine and quinazoline as effective agents against pathogenic Pseudomonas aeruginosa strains. J. Inorg. Biochem. 2016, 155, 115–128. [Google Scholar] [CrossRef]
- Ahmad, S.; Isab, A.A.; Ali, S.; Al-Arfaj, A.R. Perspectives in bioinorganic chemistry of some metal based therapeutic agents. Polyhedron 2006, 25, 1633–1645. [Google Scholar] [CrossRef]
- Klasen, H.J. Historical review of the use of silver in the treatment of burns. I. Early uses. Burns 2000, 26, 117–130. [Google Scholar] [CrossRef]
- Fox, C.L.; Modak, S.M. Mechanism of Silver Sulfadiazine Action on Burn Wound Infections. Antimicrob. Agents Chemother. 1974, 5, 582–588. [Google Scholar] [CrossRef] [PubMed]
- Moore, D.L.; MacDonald, N.E. Preventing ophthalmia neonatorum. Can. J. Infect. Dis. Med. Microbiol. 2015, 26, 122–125. [Google Scholar] [CrossRef] [PubMed]
- Mallika, P.S.; Asok, T.; Faisal, H.A.; Aziz, S.; Tan, A.K.; Intan, G. Neonatal Conjunctivitis—A Review. Malays. Fam. Physician. 2008, 3, 77–81. [Google Scholar] [PubMed]
- Medici, S.; Peana, M.; Nurchi, V.M.; Zoroddu, M.A. Medical Uses of Silver: History, Myths, and Scientific Evidence. J. Med. Chem. 2019, 62, 5923–5943. [Google Scholar] [CrossRef]
- Maillard, J.Y.; Hartemann, P. Silver as an antimicrobial: Facts and gaps in knowledge. Crit. Rev. Microbiol. 2013, 39, 373–383. [Google Scholar] [CrossRef]
- Medici, S.; Peana, M.; Crisponi, G.; Nurchi, V.M.; Lachowicz, J.I.; Remelli, M.; Zoroddu, M.A. Silver coordination compounds: A new horizon in medicine. Coord. Chem. Rev. 2016, 327–328, 349–359. [Google Scholar] [CrossRef]
- Bouadma, L.; Wolff, M.; Lucet, J.C. Ventilator-associated pneumonia and its prevention. Curr. Opin. Infect. Dis. 2012, 25, 395–404. [Google Scholar] [CrossRef]
- Fox, C.L., Jr. Silver sulfadiazine for control of burn wound infections. Int. Surg. 1975, 60, 275–277. [Google Scholar]
- Lederer, J.W.; Jarvis, W.R.; Thomas, L.; Ritter, J. Multicenter cohort study to assess the impact of a silver-alloy and hydrogel-coated urinary catheter on symptomatic catheter-associated urinary tract infections. J. Wound Ostomy Cont. Nurs. 2014, 41, 473–480. [Google Scholar] [CrossRef]
- Beattie, M. Can silver alloy catheters reduce infection rates? Nurs. Times 2011, 107, 19–20, 22. [Google Scholar]
- Schumm, K.; Lam, T.B. Types of urethral catheters for management of short-term voiding problems in hospitalized adults: A short version Cochrane review. Neurourol Urodyn 2008, 27, 738–746. [Google Scholar] [CrossRef] [PubMed]
- European Centre for Disease Prevention and Control. The Bacterial Challenge: Time to React. EMEA/576176/2009; ECDC/EMEA Joint Technical Report; European Centre for Disease Prevention and Control: Stockholm, Sweden, 2009; ISBN 978-92-9193-193-4.
- Massoud, A.A.; Langer, V.; Gohar, Y.M.; Abu-Youssef, M.A.M.; Janis, J.; Lindberg, G.; Hansson, K.; Ohrstrom, L. Effects of Different Substituents on the Crystal Structures and Antimicrobial Activities of Six Ag(I) Quinoline Compounds. Inorg. Chem. 2013, 52, 4046–4060. [Google Scholar] [CrossRef] [PubMed][Green Version]
- Klasen, H.J. A historical review of the use of silver in the treatment of burns. II. Renewed interest for silver. Burns 2000, 26, 131–138. [Google Scholar] [CrossRef]
- Abu-Youssef, M.A.M.; Dey, R.; Gohar, Y.; Massoud, A.A.; Öhrström, L.; Langer, V. Synthesis and structure of silver complexes with nicotinate-type ligands having antibacterial activities against clinically isolated antibiotic resistant pathogens. Inorg. Chem. 2007, 46, 5893. [Google Scholar] [CrossRef]
- Clayden, J.P.; Wothers, P.D.; Greeves, N.; Warren, S. Organic Chemistry, 1st ed.; Oxford University: Oxford, UK, 2001; pp. 19–25. [Google Scholar]
- Yadav, P.; Shah, K. Quinolines, a perpetual, multipurpose scaffold in medicinal chemistry. Bioorg. Chem. 2021, 109, 104639. [Google Scholar] [CrossRef]
- Mukherjee, S.; Pal, M. Quinolines: A new hope against inflammation. Drug Discov. Today 2013, 18, 389–398. [Google Scholar] [CrossRef]
- Chong, C.R.; Sullivan, D.J., Jr. Inhibition of heme crystal growth by antimalarials and other compounds: Implications for drug discovery. Biochem. Pharmacol. 2003, 66, 2201–2212. [Google Scholar] [CrossRef]
- Solomon, R.V.; Lee, H. Quinoline as a privileged scaffold in cancer drug discovery. Curr. Med. Chem. 2011, 18, 1508–1510. [Google Scholar] [CrossRef]
- Baba, A.; Kawamura, N.; Makino, H.; Ohta, Y.; Taketomi, S.; Sohda, T. Studies on disease-modifying antirheumatic drugs: Synthesis of novel quinoline and quinazoline derivatives and their anti-inflammatory effect. J. Med. Chem. 1996, 39, 5176–5182. [Google Scholar] [CrossRef]
- Kumar, S.; Bawa, S.; Gupta, H. Biological activities of quinoline derivatives. Mini Rev. Med. Chem. 2009, 9, 1654–1660. [Google Scholar] [CrossRef]
- Kaur, K.; Jain, M.; Reddy, R.P.; Jain, R. Quinolines and structurally related heterocycles as antimalarials. Eur. J. Med. Chem. 2010, 45, 3245–3264. [Google Scholar] [CrossRef] [PubMed]
- Franck, X.; Fournet, A.; Prina, E.; Mahieux, R.; Hocquemiller, R.; Figadère, B. Biological evaluation of substituted quinolines. Bioorg. Med. Chem. Lett. 2004, 14, 3635–3638. [Google Scholar] [CrossRef] [PubMed]
- Dorababu, A. Recent update on antibacterial and antifungal activity of quinoline scaffolds. Archiv Pharmazie 2021, 354, 2000232. [Google Scholar] [CrossRef] [PubMed]
- Sheldrick, G.M. Crystal structure refinement with SHELXL. Acta Cryst. A 2015, 71, 3–8. [Google Scholar] [CrossRef]
- Sheldrick, G.M. SADABS; University of Goettingen: Goettingen, Germany, 1996. [Google Scholar]
- Turner, M.J.; McKinnon, J.J.; Wolff, S.K.; Grimwood, D.J.; Spackman, P.R.; Jayatilaka, D.; Spackman, M.A. Crystal Explorer17; University of Western: Perth, Australia, 2017; Available online: https://crystalexplorer.scb.uwa.edu.au/ (accessed on 20 December 2021).
- CLSI. Clinical and Laboratory Standards Institute. Twentieth Informational Supplement. M100-S22. Wayne: PA. 2012. Available online: https://clsi.org/standards/products/microbiology/documents/m100/ (accessed on 20 May 2021).
- Beal, R.W.; Brill, T.B. Vibrational Behavior of the—NO2 Group in Energetic Compounds. Appl. Spectrosc. 2005, 59, 1194–1202. [Google Scholar] [CrossRef]








| CCDC | 2149979 | |
|---|---|---|
| Empirical formula | C18H12AgClN4O8 | |
| Formula weight | 555.64 g/mol | |
| Temperature | 293(2) K | |
| Wavelength | 0.71073 Å | |
| Crystal system | Monoclinic | |
| Space group | C2/c | |
| Unit cell dimensions | a = 10.0279(2) Å | α = 90° |
| b = 13.2295(3) Å | β = 102.1050(10)° | |
| c = 14.7552(3) Å | γ = 90° | |
| Volume | 1913.96(7) Å3 | |
| Z | 4 | |
| Density (calc.) | 1.928 g/cm3 | |
| Absorption coefficient | 1.252 mm−1 | |
| F(000) | 1104 | |
| θ range for data collection | 2.59 to 25.35° | |
| Index ranges | −11 ≤ h ≤ 12, −15 ≤ k ≤ 15, −17 ≤ l ≤ 17 | |
| Reflections collected | 9714 | |
| Independent reflections | 1732 [R(int) = 0.0452] | |
| Completeness to θ = 25.35° | 99.40% | |
| Refinement method | Full-matrix least-squares on F2 | |
| Data/restraints/parameters | 1732/0/146 | |
| Goodness-of-fit on F2 | 1.13 | |
| Final R indices [I > 2sigma(I)] | R1 = 0.0642, wR2 = 0.1630 | |
| R indices (all data) | R1 = 0.0782, wR2 = 0.1708 | |
| Largest diff. peak and hole | 1.045 and −1.286 | |
| D-H…A | d(D-H) | d(H…A) | d(D…A) | <(DHA) | Symm. Code |
|---|---|---|---|---|---|
| C1-H1…O4 | 0.93 | 2.51 | 3.430(10) | 170 | 1/2+x,3/2-y,1/2+z |
| C3-H3…O2 | 0.93 | 2.58 | 3.394(9) | 147 | 1-x,y,1/2-z |
| C6-H6…O1 | 0.93 | 2.45 | 3.339(10) | 161 | -x,y,1/2-z |
| C7-H7…O3 | 0.93 | 2.53 | 3.317(16) | 143 | -1/2+x,3/2-y,1/2+z |
| C8-H8…O4 | 0.93 | 2.60 | 3.377(10) | 142 | 1/2-x,3/2-y,1-z |
| Contact | Distance | Contact | Distance |
|---|---|---|---|
| [Ag(5-NO2Quin)2]ClO4 | [Ag(5-NO2Quin)2]NO3 a | ||
| Ag1…O1 | 3.110(7) | Ag1…O2 | 2.951(2) |
| Ag1…O2 | 3.189(7) | Ag1…O1 | 2.993(2) |
| O3…H1 | 2.591 | O6…H1 | 2.284 |
| O3…H7 | 2.409 | O6…H6 | 2.415 |
| O4…H1 | 2.359 | O2…H4 | 2.261 |
| O4…H8 | 2.481 | O1…H3 | 2.402 |
| O1…H6 | 2.302 | ||
| O3…H6 | 2.628 | ||
| O2…H3 | 2.449 | ||
| O1…O4 | 2.955(9) | O2…O6 | 2.899(3) |
| N2…O4 | 2.948(10) | N2…O6 | 2.958(3) |
| C6…O3 | 3.022(15) | ||
| Microbe | 5-NO2Quin | [Ag(5-NO2Quin)2]ClO4 | Control |
|---|---|---|---|
| A. fumigatus | 27 (78.1) | 36 (39.1) | 17 (156.2) b |
| C. albicans | 18 (312.5) | 20 (156.3) | 20 (312.5) b |
| S. aureus | 20 (78.1) | 21 (39.1) | 24 (9.7) c |
| B. subtilis | 16 (312.5) | 18 (156.3) | 26 (4.8) c |
| E. coli | 16 (625.0) | 18 (312.5) | 30 (4.8) c |
| P. vulgaris | 20 (78.1) | 27 (9.7) | 25 (4.8) c |
Publisher’s Note: MDPI stays neutral with regard to jurisdictional claims in published maps and institutional affiliations. |
© 2022 by the authors. Licensee MDPI, Basel, Switzerland. This article is an open access article distributed under the terms and conditions of the Creative Commons Attribution (CC BY) license (https://creativecommons.org/licenses/by/4.0/).
Share and Cite
Altowyan, M.S.; Al-Shaalan, N.H.; Alkharboush, A.A.; Barakat, A.; Soliman, S.M. Synthesis, Molecular and Supramolecular Structure Aspects, and Antimicrobial Activity of the Centrosymmetric [Ag(5-Nitroquinoline)2]ClO4 Complex. Symmetry 2022, 14, 547. https://doi.org/10.3390/sym14030547
Altowyan MS, Al-Shaalan NH, Alkharboush AA, Barakat A, Soliman SM. Synthesis, Molecular and Supramolecular Structure Aspects, and Antimicrobial Activity of the Centrosymmetric [Ag(5-Nitroquinoline)2]ClO4 Complex. Symmetry. 2022; 14(3):547. https://doi.org/10.3390/sym14030547
Chicago/Turabian StyleAltowyan, Mezna Saleh, Nora Hamad Al-Shaalan, Aminah A. Alkharboush, Assem Barakat, and Saied M. Soliman. 2022. "Synthesis, Molecular and Supramolecular Structure Aspects, and Antimicrobial Activity of the Centrosymmetric [Ag(5-Nitroquinoline)2]ClO4 Complex" Symmetry 14, no. 3: 547. https://doi.org/10.3390/sym14030547
APA StyleAltowyan, M. S., Al-Shaalan, N. H., Alkharboush, A. A., Barakat, A., & Soliman, S. M. (2022). Synthesis, Molecular and Supramolecular Structure Aspects, and Antimicrobial Activity of the Centrosymmetric [Ag(5-Nitroquinoline)2]ClO4 Complex. Symmetry, 14(3), 547. https://doi.org/10.3390/sym14030547

