Active Control Model for the “FAST” Reflecting Surface Based on Discrete Methods
Abstract
:1. Introduction
2. Model Establishment
2.1. Active Reflector Control Model
2.2. Univariate Optimization Modeling
2.3. Modeling of Active Control of Reflective Panels
2.3.1. Determination of the Adjustment Area
2.3.2. The Two-Dimensional Discrete Actuator Expansion and Contraction Model
2.3.3. The Three-Dimensional Working Paraboloid Loop Model
2.4. Modelling of the Effective Area Reception Ratio of the Feed Cabin
2.4.1. The Model of a Single Triangular Reflective Panel
2.4.2. Reflection Validity Judgment Model
3. Case Study
3.1. Solving the Univariate Optimization Model of the Idea Parabola
3.2. Solution of the Active Control Model of the Reflective Surface
3.3. Solution of a Baseline Reflective Spherical Simulation Model
3.4. Analysis of Structural Fatigue Damage Problems
4. Discussion
4.1. Advantages of the Model
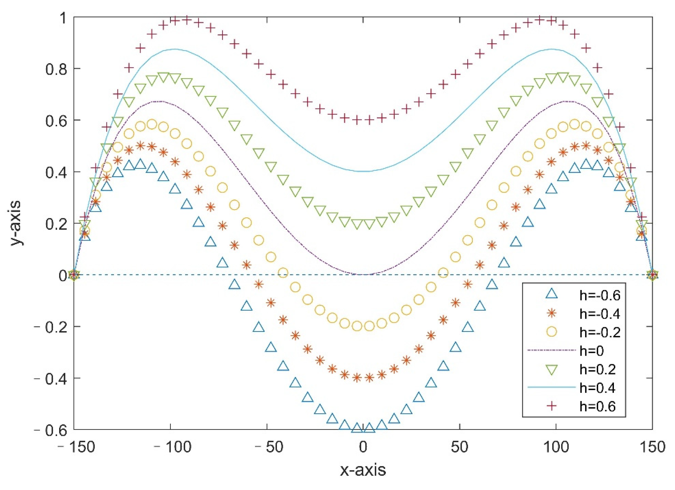
- The univariate optimization model established here aims to minimize the radial offset between the ideal paraboloid and the reference paraboloid. Compared to some studies in the literature that only calculate the vertical offset, the radial offset calculated in this paper is more in line with the actual situation. The vertical offset refers to the displacement of the active reflecting surface in the vertical direction. However, in practice, the reflecting panel can only move along the radial direction, and the included angle between the moving direction and the horizontal plane is . Therefore, only considering the vertical displacement will ignore the horizontal displacement, that is , resulting in a deviation from the actual results.
- In the univariate optimization model, the optimization variable is the vertex offset of the ideal paraboloid, and the Fibonacci method and golden section method are used to search for the optimal solution. The optimal solution obtained by the two methods is , and the error is less than , and the accuracy is high.
- The active adjustment model of the reflective panel is established using the idea of the discretization, the expansion, and contraction of each main cable node in the two-dimensional case. Then, the working paraboloid was divided into 14 loops by using the working paraboloid loop model, and then the expansion and contraction in the three-dimensional case was obtained. This model considers the non-smoothness of the active reflection panel, and the calculation results are more in line with the actual situation. After adjustment, the receiving ratio of the active reflection panel increased from 1.3898% in the reference state to 9.434% in the working state, which is 6.8 times that of the original.
- In the established reflection effectiveness judgment model, the actual situation of the working paraboloid was considered when calculating the reception ratio, that is, the non-smoothness of the reflecting surface was not ignored, and the working paraboloid was discretized into 1325 triangular reflection panels, which is more appropriate to the actual situation than directly calculating the reception ratio with the smooth ideal paraboloid.
- In this paper, the optical system modelling software LightTools was used to model the datum sphere to calculate the effective receiving ratio, which was 1.3898%, which provides some reliable data for latecomers.
4.2. Aspects That Need Further Study
4.3. Generalization of the Model
Author Contributions
Funding
Institutional Review Board Statement
Informed Consent Statement
Conflicts of Interest
References
- Zhang, T. Creation and application of digital twin model for the Five Hundred Meter Spherical Radio Telescope (FAST). Eng. Technol. II 2020, 3, 154–196. (In Chinese) [Google Scholar]
- Li, W.; Zhou, L. A preliminary study on photogrammetry for the FAST main reflector measurement. Res. Astron. Astrophys. 2021, 21, 156–164. [Google Scholar] [CrossRef]
- Nan, R.; Li, H. Progress of FAST—Science, technology and equipment. Chin. Sci. Phys. Mech. Astron. 2014, 44, 1063–1074. [Google Scholar] [CrossRef]
- Li, Q.; Jiang, P.; Nan, R. Design and analysis of the adaptive connection mechanism of the 500 m aperture radio telescope cable network and panel unit. J. Mech. Eng. 2017, 53, 62–68. [Google Scholar] [CrossRef]
- Chen, R.; Zhang, H.; Jin, C.; Gao, Z.; Zhu, Y.; Zhu, K.; Jiang, P.; Yue, Y.; Lu, J.; Zhang, B.; et al. FAST VLBI: Current status and future plans. Res. Astron. Astrophys. 2020, 20, 74–80. [Google Scholar] [CrossRef]
- Zhu, Z.; Liu, F.; Zhang, L.; Wang, Z.; Liang, C.; Xue, Y.; Bai, G.; Deng, X. Primary supporting structure design of Five-hundred-meter Aperture Spherical Telescope (FAST). Space Struct. 2017, 23, 4–8. (In Chinese) [Google Scholar]
- Chen, Y.; Liu, W.; Zhang, Z.; Zhang, T. SETI strategy with FAST fractality. Res. Astron. Astrophys. 2021, 21, 178–185. [Google Scholar] [CrossRef]
- Jiang, P.; Shen, Z.; Xu, R. Preface: Key technologies for enhancing the performance of FAST. Res. Astron. Astro-Phys. 2020, 20, 63–65. [Google Scholar] [CrossRef]
- Kong, X.; Wang, Q. Research on Construction Process of the Cable-net Structure of FAST. IOP Conf. Ser. Mater. Sci. Eng. 2019, 521, 12006. [Google Scholar] [CrossRef]
- Li, D.; Dickey, J.M.; Liu, S. Preface: Planning the scientific applications of the Five-hundred-meter Aperture Spherical radio Tele-scope. Res. Astron. Astrophys. 2019, 19, 16–18. [Google Scholar] [CrossRef] [Green Version]
- Li, H.; Jiang, P. An open-loop control algorithm of the active reflector system of FAST. Res. Astron. Astrophys. 2020, 20, 65–74. [Google Scholar] [CrossRef]
- Li, Q.; Jiang, P.; Li, H. Prognostics and health management of FAST cable-net structure based on digital twin technology. Res. Astron. Astrophys. 2020, 20, 67–75. [Google Scholar] [CrossRef]
- Li, J.; Peng, B.; Jin, C.; Li, H.; Strom, R.G.; Liu, B.; Chai, X.; Liu, L. Adapting active reflector technology for greater sensitivity and sky-coverage in FAST-like telescopes. Mon. Not. R. Astron. Soc. 2021, 501, 6210–6214. [Google Scholar] [CrossRef]
- Li, J.; Peng, B.; Chai, X. Fast lighting aperture analysis. Astron. Res. Technol. 2021, 3, 301–306. [Google Scholar]
- Wang, Z. Research on the Control. Strategy of FAST Whole Network Based on Iterative Learning Theory; Northeastern University: Shenyang, China, 2015. [Google Scholar]
- Jiang, Q.; Xie, J.; Ye, J. Mathematical Modeling, 4th ed.; Higher Education Press: Beijing, China, 2016. [Google Scholar]
- Lv, N.; Wu, D.; Cao, H.; Yang, L.; Fan, J. Deformation Localization of Reflector Antenna Based on Focal-Field Distribution with CapsNet. In Proceedings of the 2020 IEEE International Symposium on Antennas and Propagation and North American Radio Science Meeting, Montreal, QC, Canada, 17 February 2021; pp. 385–386. [Google Scholar]
- Li, M.; Zhu, L. Optimization analysis of FAST transient paraboloidal deformation strategy. J. Guizhou Univ. 2012, 29, 24–28. [Google Scholar]
- Li, J.; Peng, B.; Chai, X. Re-investigation of the Illuminated Aperture of the FAST. Astron. Res. Technol. 2021, 18, 301–306. [Google Scholar]
- Peng, J.; Cao, H.; Wu, D.; Sun, Z.; Fan, J. A Novel Method of Surface Damage Localization for FAST Active-reflector. In Proceedings of the 2020 IEEE International Symposium on Antennas and Propagation and North American Radio Science Meeting, Montreal, QC, Canada, 17 February 2021; pp. 705–706. [Google Scholar]
- Song, L.; Jiang, P.; Wang, Q.; Yang, L. Research on key technologies for installation and maintenance of reflector of FAST. Res. Astron. Astrophys. 2020, 20, 66–72. [Google Scholar] [CrossRef]
- Tang, W.; Zhu, L.; Wang, Q. Recognition of FAST reflector nodes based on Canny operator. Res. Astron. Astro-Phys. 2020, 20, 126–133. [Google Scholar] [CrossRef]
- Yao, R.; Jiang, P.; Sun, J.; Yu, D.; Sun, C. A motion planning algorithm for the feed support system of FAST. Res. Astron. Astrophys. 2020, 20, 68–78. [Google Scholar] [CrossRef]
- Yin, J.; Jiang, P.; Yao, R. An approximately analytical solution method for the cable-driven parallel robot in FAST. Res. Astron. Astrophys. 2021, 21, 46–60. [Google Scholar] [CrossRef]
- Yu, N.; Qian, L.; Zhang, C.; Jiang, P.; Xu, J.; Wang, J. HI detection of J030417.78+002827.4 by the Five-hundred-meter Aperture Spherical Radio Telescope. Res. Astron. Astrophys. 2021, 21, 100–105. [Google Scholar] [CrossRef]
- Zhao, Z.; Liu, M.; Song, L.; Wen, J.; Zhao, W.; Peng, Y. Creation of a digital model of the radio telescope feeder module. Mod. Comput. 2019, 26, 12. [Google Scholar]

















Publisher’s Note: MDPI stays neutral with regard to jurisdictional claims in published maps and institutional affiliations. |
© 2022 by the authors. Licensee MDPI, Basel, Switzerland. This article is an open access article distributed under the terms and conditions of the Creative Commons Attribution (CC BY) license (https://creativecommons.org/licenses/by/4.0/).
Share and Cite
Wang, Y.; Xiong, Y.; Hao, J.; He, J.; Liu, Y.; He, X. Active Control Model for the “FAST” Reflecting Surface Based on Discrete Methods. Symmetry 2022, 14, 252. https://doi.org/10.3390/sym14020252
Wang Y, Xiong Y, Hao J, He J, Liu Y, He X. Active Control Model for the “FAST” Reflecting Surface Based on Discrete Methods. Symmetry. 2022; 14(2):252. https://doi.org/10.3390/sym14020252
Chicago/Turabian StyleWang, Yanbo, Yingchang Xiong, Jianming Hao, Jiaqi He, Yuchi Liu, and Xinpeng He. 2022. "Active Control Model for the “FAST” Reflecting Surface Based on Discrete Methods" Symmetry 14, no. 2: 252. https://doi.org/10.3390/sym14020252
APA StyleWang, Y., Xiong, Y., Hao, J., He, J., Liu, Y., & He, X. (2022). Active Control Model for the “FAST” Reflecting Surface Based on Discrete Methods. Symmetry, 14(2), 252. https://doi.org/10.3390/sym14020252

