Abstract
In this paper, superelastic (SE) NiTi wire is used to fabricate axially symmetric wire mesh dampers (WMDs) with the expectation of a higher damping capacity. However, the phase transformation damping of the NiTi WMD could be suppressed by the cold-work-induced dislocation. Therefore, the NiTi WMDs were heat-treated and then tested by a hydraulic universal testing machine. The NiTi WMD is found to achieve higher damping capacity when heat-treated at 200 °C. However, the WMD heat-treated at 250 °C suffers from a sharp decline in the loss factor in exchange for an improvement in the stiffness. The sine sweep test was then conducted to examine the dependency of the WMD’s vibration isolation performance upon the heat treatment temperature and the excitation acceleration. The NiTi WMD outperforms the 304 stainless steel (SS 304) WMD in damping capacity only when the excitation acceleration magnitude is less than 1.5 g. The stiffness of NiTi WMD can be improved without significantly compromising its damping capacity by heat treatment at 200 °C for 30 min. The present work carries out comprehensive measurements of the NiTi WMD’s response to dynamic mechanical test and sine sweep test and addresses how heat treatment influences the stiffness and damping capacity of the SE NiTi WMD.
1. Introduction
The wire mesh damper (WMD) made from coiled metal wires, also known as metal rubber or mesh washer, is one of the most promising alternatives to the traditional rubber vibration isolator commonly used in aerospace and military industries regarding its damping capacity, radiation resistance, and temperature tolerance [1,2,3,4,5]. The damping capacity of this material stems from the porous structure and friction dissipation between neigboring wires. A similar vibration isolation effect of additive manufactured lattice structures has also been reported in reference [6].
WMDs fabricated with ordinary stainless steel wires have been reported to achieve a moderate loss factor. Several studies have been conducted to improve the damping capacity of WMDs by using twisted pair wires [7] or compressing the different coiled wires into sandwich-like hybrid structures [8]. Other studies have focused on the dynamic characteristics and vibration attenuation of the WMDs made from NiTi wires in expectation of a combination of the NiTi wire’s phase-transformation damping mechanism and the friction dissipation that already exists in the entangled wire structure. A successful application of the tunable stiffness and damping capacity of NiTi wire can be found in Ma’s work, wherein shape memory (SM) NiTi metal rubber was built into a smart rotor’s support [9,10]. Technically feasible as it is, extra energy consumption is required to heat SM NiTi WMD above Af to trigger the pseudoelasticity of the SE NiTi wire [11].
In contrast to the SM NiTi alloy, the SE NiTi alloy usually has an Af even lower than room temperature, which allows it to exhibit pseudoelastic behavior without heating. This makes the SE NiTi WMD an excellent solution for passive vibration isolation in aerospace industries. Extensive applications for SE NiTi WMDs have been reported in gear wheel [12], fly-wheel on-orbit vibration-isolation systems [13], and antenna-pointing mechanisms [14].
Nevertheless, unrecoverable plastic deformation occurs throughout the coiling, winding, and compressing process. From the perspective of material science, the dislocations generated from the cold forming process inhibit the martensite phase transformation and thus undermine the microstructural damping mechanism. As suggested by reference [15], heat treatment can counteract the negative effects of cold work on the phase transformation of NiTi alloy. Research on the heat treatment of SM NiTi WMDs has been conducted by Ma [16] and Hong [17]. However, it is still unclear how heat treatment would influence the SE NiTi WMD’s stiffness and damping capacity. Therefore, of particular interest to the authors is regaining the suppressed damping capacity of the SE NiTi wire and achieving an optimized combination of the stiffness and loss factor of the WMD through heat treatment.
This paper is organized as follows. After a brief description of the experimental procedures, the results of the mechanical response of NiTi WMDs under dynamic load and sine sweep vibration are provided. Finally, attention is focused on clarifying how heat treatment influences the NiTi WMDs’ stiffness and damping capacity.
2. Materials and Methods
2.1. Raw Material of the WMDs
The SE NiTi wire provided by Peiertech Co. Ltd., China in an as-drawn state was selected for WMD manufacturing and testing throughout the present work. According to the data provided by the Peiertech, the austenite finish temperature of the SE NiTi wire is 12.5 °C. For comparison purposes, the cold-drawn SS 304 wire was also used to fabricate WMD. The chemical compositions of the SE NiTi wire and the SS 304 wire are listed in Table 1 and Table 2, respectively.
Table 1.
Chemical composition of the SE NiTi material (wt.%).
Table 2.
Chemical composition of the SS 304 material (wt.%).
The microstructure of the two types of wire material in the as-received state is presented in Figure 1. As can be seen in Figure 1a, austenite grains of NiTi alloy with an average size of 13.5 μm are clearly depicted by grain boundaries where precipitates with a maximum size of 5.82 μm are distributed. As shown in Figure 1b, dark second-phase particles with an average size of 3 μm are also found dispersed in the austenite grains of 304 stainless steel. Note that the austenite 304 steel is not involved in the heat treatment in the present work since it cannot be strengthened by any form of heat treatment.
Figure 1.
Optical micrographs of the as-received wire materials. (a) SE NiTi wire; (b) SS 304 wire.
2.2. Fabrication of WMDs
The fabrication process of NiTi WMD is similar to that of the regular SS 304 WMD as described in prior work [18,19]. As shown in Figure 2, coiled wires were first prepared and pre-tensioned before being wrapped around the mandrel with an entangled angle θ to make a rough porous roll. The soft wire was finally placed into a mold and highly compressed until the desired damper geometry was achieved. Note that SS 304 WMDs were also fabricated and used as a control group to evaluate the effect of pseudoelasticity on the damping capacity of NiTi WMD.
Figure 2.
Fabrication procedure of SE NiTi WMDs.
A comparison between the damping properties of WMDs made from different alloys is only acceptable when the number of friction joints per unit volume of the WMDs is closely comparable. Instead of absolute density, relative density,, is utilized to control the mass of wire during the WMD fabrication, and it can be expressed by
where ρMR is the absolute density of the WMD, and ρ is the absolute density of the wire material.
All WMDs involved in the test were formed to reach a geometry with an outer diameter of 30 mm, an inner diameter of 12 mm, and a height of 15 mm. The processing parameters of WMDs are shown in Table 3. Because of the pseudoelasticity of NiTi wire, higher forming pressure is required to overcome the deformation resistance until a sufficiently irreversible strain is obtained at room temperature. As shown in Table 3, only 3 kN is needed for a 304 steel WMD, whereas 23 kN is required for forming a NiTi WMD.
Table 3.
Basic fabrication parameters for SS 304 and SE NiTi WMDs.
2.3. Heat Treatment of NiTi WMDs
Due to shape-memory effects, coiled NiTi wire will immediately recover to its original shape upon heating. Therefore, the fixture shown in Figure 3 was designed to maintain the dimensional precision of the cold-formed NiTi WMD during the heat treatment. As shown in Figure 4, the WMD samples heat-treated with fixtures were compared to ones heat-treated without fixtures. If no constraint is applied, the previously entangled wires became untangled, causing the as-fabricated WMD to lose its geometry.
Figure 3.
Fixtures used to restrain the NiTi WMD for maintaining its geometry during heat treatment.
Figure 4.
A comparison between the NiTi WMD heat-treated without fixtures and those heat-treated with fixtures.
The heat treatment temperature is essential for obtaining perfect pseudoelasticity. The NiTi alloy would fail to exhibit perfect pseudoelasticity if the heat treatment temperature is higher than 500 °C, according to Mayazaki’s work [20], in which heat treatment temperatures ranging from 400 °C to 1000 °C were tested. Ma [16] and Hong [17] also examined pseudoelasticity and the shape-setting effects of the NiTi WMD by heat-treating the sample at around 500 °C.
In the present work, heat treatment temperatures lower than 500 °C were tested, and a simple trial was performed to help select heat treatment temperatures from 150 °C to 450 °C. A pseudo-static test was performed on the heat-treated NiTi WMDs to assess their basic mechanical performance. Finally, heat treatment temperatures from 150 °C to 250 °C and heat treatment time from 15 min to 45 min were chosen for the WMDs involved in the dynamic mechanical test and the sine sweep test. Readers may refer to Section 3.1 for further details on how the heat treatment temperatures were selected.
2.4. Dynamic Materials Testing
As shown in Figure 5, a pair of WMDs was used to design an isolator to evaluate the symmetric tension–compression behavior under sinusoidal excitations. The setup of the dynamic mechanical test is illustrated in Figure 4 wherein is featured the SDS-200 hydraulic universal testing machine equipped with a digital data acquisition and control system, with a load capacity of 200 kN and a test stroke of ±50 mm. Fixtures connecting the isolator and the machine gripper were designed to satisfy the need for symmetric tension–compression excitation, and a sine test protocol with a peak amplitude of 0.1 mm and a constant frequency of 1 Hz was executed.
Figure 5.
SDS-200 dynamic testing machine and the setup details of the NiTi WMDs.
A pre-test was carried out for more than 10 cycles until the hysteresis curves overlapped, to stabilize the hysteresis behavior of the NiTi WMD. The sampling procedure consisted of 30 loading–unloading cycles repeated three times to reduce error. The design of the one-factor test is shown in Table 4. The entire test involves variables such as relative density, heat treatment temperature, and heat treatment time to determine their impact on the WMDs’ final damping capacity and stiffness.
Table 4.
Test groups with various factors of material, relative density, heat treatment temperature, and heat treatment time.
Dynamic stiffness can be viewed as the ability of the WMD to resist an external oscillatory load. It differs from static stiffness concerning the calculations and can be expressed by the load that is required to produce unit displacement on the damper, i.e.,
where the Fmax and Fmin are the maximum and minimum restoring force sampled from the hysteresis curve, and X0 is the peak motion amplitude of the test.
The loss factor can be written in the form of energy dissipation, ΔW, divided by the elastic potential, W, within a complete cycle of vibration, which gives
where the energy dissipation can be obtained by
where the F is the restoring force, ω the circular frequency, α the phase angle, and N the dynamic load cycles.
The elastic potential is given by
Substituting Equations (4) and (5) into Equation (3), the dynamic loss factor can be written as
2.5. Method of Sine Sweep Test
Sine sweep tests were conducted to evaluate the vibration-isolation properties of the WMDs fabricated with different densities and heat-treated with different temperatures. As shown in Figure 6a, the testing system consisted of a computer, a data acquisition system, a power amplifier, and a shaker. During the sine sweep test, the controller measures the vibratory motion and then computes the necessary drive signal for the shaker to force the controller to match the desired reference profile. The vibration input from the vibration shaker was obtained from the reference accelerometer placed on the shaker table, and the vibration response of the system was then obtained from the monitoring accelerometer placed on top of the dummy mass. Figure 6b details the setup of the 1.5 kg dummy mass and the isolator. The base of the isolator is connected to the shaker table via an adaptor, and the dummy mass is then fixed on top of the isolator. Note that four guide rods were designed to connect the dummy mass and the isolator base to keep the dummy mass balanced during the vertical vibration.
Figure 6.
Configuration of the sine sweep test. (a) The key components of the test system and the location of the accelerometers; (b) the sectional view of the WMD isolator.
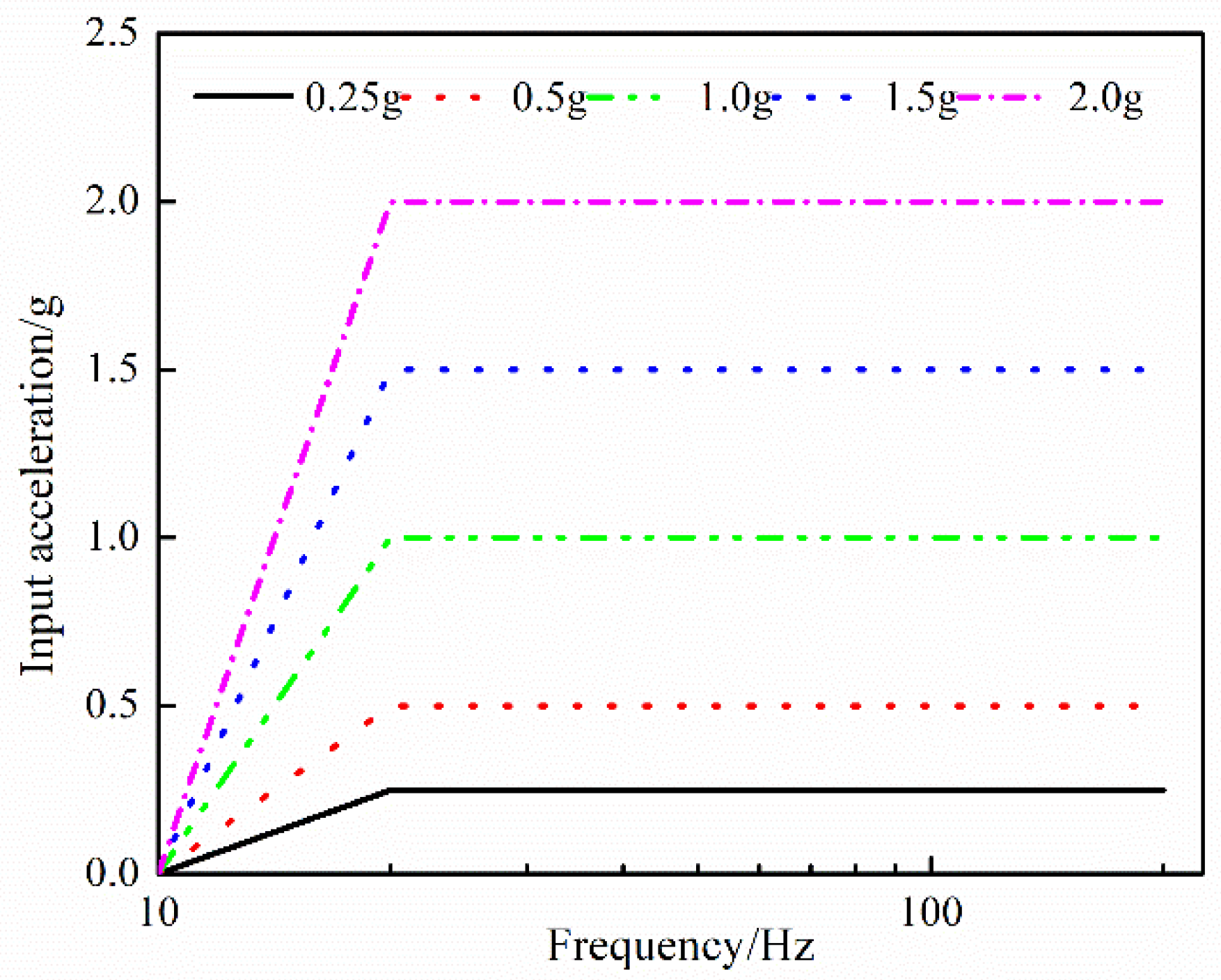
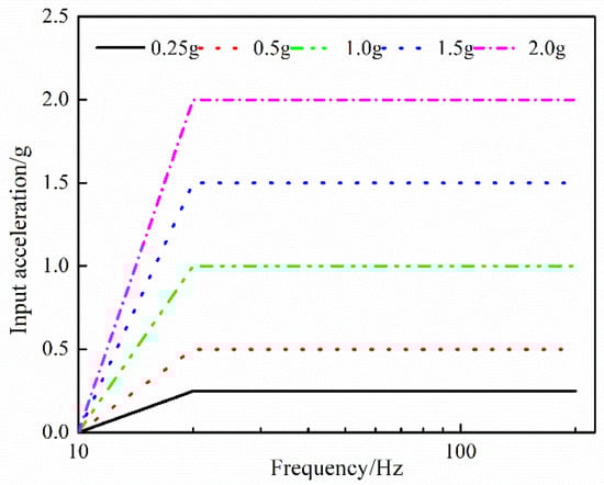
As illustrated in Figure 7, the sine sweep test was performed with input signals of which the acceleration ranges from 0.25 g to 2.0 g and frequency ranges from 10 Hz to 200 Hz. For all of the tests, the input acceleration gradually increased at lower frequencies until it reached the designated values and was kept constant for the rest of the test. A pre-test feasibility analysis was performed to see if the system was well configured and to stabilize the damping performance of the WMDs.
Figure 7.
The acceleration profile of the sine sweep test.
In the present work, the damping capacity of the NiTi WMDs is mainly evaluated by the transmissibility and the amplification factor. The transmissibility function of the acceleration, ε, is specified as
where the aout is the output acceleration, and ain is the input acceleration. The natural frequency can be determined by identifying peak frequencies on the transmissibility function curve. The quality factor Q is the frequency difference between the half-power points divided by the natural frequency. The damping capacity of the WMD isolator is characterized by the structural loss factor or dissipation factor, i.e., the reciprocal of the amplification factor, Q−1, which can be written by
where ω1 and ω2 are the frequencies corresponding to the half-power points, and ωn is the system’s natural frequency. In general, a higher damping ratio would generally lead to a lower magnification factor, hence a wider resonance with a larger bandwidth. Therefore, a greater value of Q−1 indicates a better damping capacity of the isolator.
3. Results
3.1. Selection of the Heat Treatment Temperatures Using Pseudo-Static Compression Test
After being heat-treated with temperatures ranging from 150 °C to 450 °C, the hysteresis force of the SE NiTi WMDs is plotted as a function of displacement in Figure 8a. Typical hysteresis behaviors can be observed, and the maximum force required for the heat-treated NiTi WMDs to reach the same displacement generally increases with the heat treatment temperature.
Figure 8.
Effect of heat treatment temperature on the pseudo-static mechanical performance of NiTi WMDs. (a) hysteresis curves; (b) equivalent stiffness and loss factor.
The equivalent stiffness and loss factor of those hysteresis curves are characterized using the same method as mentioned in prior work [18] to help decide the acceptable heat treatment temperatures. As shown in Figure 8b, the loss factor increases to reach its maximum when the WMD is heat-treated at 200 °C. After a decease, the loss factor climbs up again to even higher values when heat treatment temperatures higher than 200 °C are used. The equivalent stiffness increases monotonically with the heat treatment temperatures. It is noteworthy that the NiTi WMD becomes erratically stiffened when the heat treatment temperature is higher than 350 °C, although the loss factor can be considerably improved in the meanwhile. For a given dummy mass of 1.5 kg, stiffness at such a high level will make the WMD fail to attenuate the input acceleration of the shaker. Therefore, attention is focused on the heat treatment temperatures ranging from 150 °C to 250 °C in the present work.
3.2. Dynamic Mechanical Test Results
3.2.1. Comparison between SS 304 and NiTi WMD
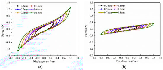
Figure 9 compares the dynamic mechanical behavior of NiTi WMDs to that of SS 304 samples. Both types of WMDs were constructed with the same relative density of 0.31 and then subjected to sinusoidal excitation with a frequency of 1 Hz and displacement amplitudes of 0.3 mm, 0.4 mm, 0.5 mm, 0.6 mm, 0.7 mm, and 0.8 mm. As the displacement amplitude of the isolator increases, the symmetric hysteresis loops of SS 304 WMDs spin counterclockwise, whereas the hysteresis loops of NiTi WMDs show an opposite tendency.
Figure 9.
Comparison of dynamic curves of WMDs fabricated with different materials: (a) SS 304; (b) SE NiTi.
To better understand this phenomenon, the dynamic stiffness and loss factors of the two types of WMDs at various amplitudes listed in Table 5 were calculated using Equations (2) and (6) and then plotted as functions of the displacement amplitudes as shown in Figure 10.
Table 5.
Dynamic performance parameters of WMDs fabricated with different materials.
Figure 10.
Variation of WMD’s dynamic stiffness and loss factor with amplitude. (a) Dynamic stiffness; (b) loss factor.
On the one hand, as the amplitude increases, the SS 304 WMD’s dynamic stiffness increases, whereas the NiTi WMD’s dynamic stiffness gradually decreases, as shown in Figure 10a. The maximum stiffness of SS 304 WMD is higher than that of NiTi WMD. This can be explained by the differences in the hardening behaviors between the SS 304 wire and the NiTi wire. The stress of SE NiTi wire tensioned at room temperature is supposed to increase linearly at first and then suddenly decrease its slope due to the low elastic modulus of the stress-induced martensite according to the literature [14]. On the contrary, the SS 304 wire only experiences straining and dislocation hardening during the tension. As a result, the SS 304 WMD appears to be strengthened, whereas the NiTi WMD exhibits a softened behavior, as the dampers are subjected to larger displacement amplitudes.
On the other hand, although the loss factor of both types of WMDs decreases as the displacement amplitude increases, the NiTi WMD exhibits more excellent damping capacity and a slower decline in loss factor compared to the SS 304 sample, as shown in Figure 10b. Given that the SS 304 and SE NiTi WMDs have the same relative density, the frictional dissipation produced by the dry friction joints of the two types of WMDs is comparable. Therefore, the extra damping capacity of the SE NiTi WMD can be attributed to phase transformation damping. How the phase transformation within the NiTi WMD produces the extra energy dissipation will be thoroughly discussed in Section 4.1.
3.2.2. Effects of Mesh Density on the Hysteresis Behavior of WMD
Figure 11 illustrates the effect of mesh density on the damping characteristics of a WMD isolator subjected to a sinusoidal load with an amplitude of 0.5 mm and a frequency of 1 Hz.
Figure 11.
Dynamic performance of NiTi WMDs with different densities. (a) Hysteresis curves of force versus displacement; (b) characterized dynamic stiffness and loss factor evolving with mesh density.
As shown in Figure 11a, the symmetric hysteresis loops slightly spin counterclockwise as the mesh density increases, suggesting that the dynamic stiffness of the WMD is improved to some extent. The dynamic stiffness and loss factors are determined using Equations (2) and (6) and then plotted as a function of mesh density, as shown in Table 6 and Figure 11b, respectively. As the mesh density increases, the dynamic stiffness of NiTi WMD increases, whereas the loss factor decreases. The increased mesh density results in more compacted wire structures and multiplied dry friction joints in unit volume. This not only makes it difficult for the WMD to activate the martensite transformation but also limits the motion of friction joints. Therefore, both the phase transformation damping and the frictional dissipation of NiTi WMD decrease with its increased mesh density, resulting in a lower loss factor.
Table 6.
Dynamic performance parameters of NiTi WMD with different densities.
3.2.3. Effects of Heat Treatment Temperatures on the Hysteresis Behavior of WMD
Figure 12 illustrates the effects of heat treatment temperatures on the hysteresis behavior of WMDs. NiTi WMDs were heat-treated at 150 °C, 200 °C, and 250 °C for 30 min before being subjected to sinusoidal excitations at 1 Hz with amplitudes of 0.3 mm, 0.4 mm, 0.5 mm, and 0.6 mm. The shape of the symmetric hysteresis loop of the NiTi WMD hardly changes when the heat treatment temperature is below 200 °C. When the heat treatment temperature reaches 250 °C, the hysteresis loop takes a notable counterclockwise rotation, indicating a change in the loss factor and dynamic stiffness.
Figure 12.
Effect of heat treatment temperature on the dynamic hysteresis behavior of NiTi WMDs with displacement amplitudes of: (a) 0.3 mm; (b) 0.4 mm; (c) 0.5 mm; (d) 0.6 mm.
As shown in Table 7 and Table 8 and Figure 13, the dynamic stiffness and loss factors are calculated using Equations (2) and (6), then plotted as a function of displacement amplitude and heat treatment temperature, to better examine this phenomenon. On the one hand, the stiffness of the NiTi WMD first undergoes a drop and then increases to reach its maximum as the heat treatment temperature rises to 250 °C. An enormous increase in the stiffness appears when the heat treatment temperature increases from 200 °C to 250 °C, which corresponds to the spin observed from the hysteresis loop. On the other hand, the loss factor of the NiTi WMD initially decreases as it is heat-treated at 150 °C and subsequently climbs to its maximum when heat-treated at 200 °C. The damping capacity of the WMD deteriorates rapidly if a heat treatment temperature higher than 200 °C is used.
Table 7.
Dynamic stiffness parameters at different heat treatment temperatures.
Table 8.
Loss factor parameters at different heat treatment temperatures.
Figure 13.
Characterization of the dynamic hysteresis behavior of NiTi WMDs heat-treated at different temperatures: (a) dynamic stiffness; (b) loss factor.
When adjusting heat treatment temperatures, there is a trade-off between the dynamic stiffness and the loss factor of the NiTi WMD. Raising the heat treatment temperature increases the WMD’s stiffness while lowering the loss factor. Nevertheless, the lowest loss factor of NiTi WMD is still higher than that of the SS 304 WMD. As far as the loss factor is concerned, 200 °C appears to be an optimum heat treatment temperature. Temperatures above that limit may cause the rapid deterioration of the NiTi wire’s damping mechanism.
3.2.4. Effects of Heat Treatment Time on the Hysteresis Behavior of WMD
To evaluate the effect of heat treatment time, NiTi WMDs were heat-treated at 200 °C for 15 min, 30 min, and 45 min, then subjected to sinusoidal excitations at 1 Hz with amplitudes of 0.3 mm, 0.4 mm, 0.5 mm, and 0.6 mm. Figure 14 compares the hysteresis loops of NiTi WMDs heat-treated for various times. As can be seen in Figure 14, the area enclosed within the symmetric hysteresis loop is slightly enlarged when the heat treatment time becomes longer. To quantify this phenomenon, the dynamic stiffness and loss factors are calculated and plotted as a function of heat treatment time and displacement amplitudes, as shown in Table 9 and Table 10 and Figure 15, respectively.
Figure 14.
Effect of heat treatment time on the NiTi WMD’s dynamic hysteresis behavior with various displacement amplitudes: (a) 0.3 mm; (b) 0.4 mm; (c) 0.5 mm; (d) 0.6 mm.
Table 9.
Dynamic stiffness parameters at different heat treatment times.
Table 10.
Loss factor parameters at different heat treatment times.
Figure 15.
Characterization of the dynamic hysteresis behavior of NiTi WMDs heat-treated for different times: (a) dynamic stiffness; (b) loss factor.
As reflected in Figure 15a, little improvement in the dynamic stiffness can be noticed when the heat treatment time is increased from 15 min to 30 min. Nevertheless, a significant decrease in stiffness occurs if the heat treatment time is extended to 45 min. This softening behavior can be attributed to the abnormal grain growth within the NiTi wire. For all of the heat treatment times involved, 30 min proves to be optimal for achieving the best damping capacity of the NiTi WMD, as shown in Figure 15b. The loss factor reaches its peak as the heat treatment time is extended from 15 min to 30 min and then experiences a significant drop after the time is prolonged to 45 min.
3.3. Sine Sweep Test Results
3.3.1. Comparison between Steel and NiTi WMDs
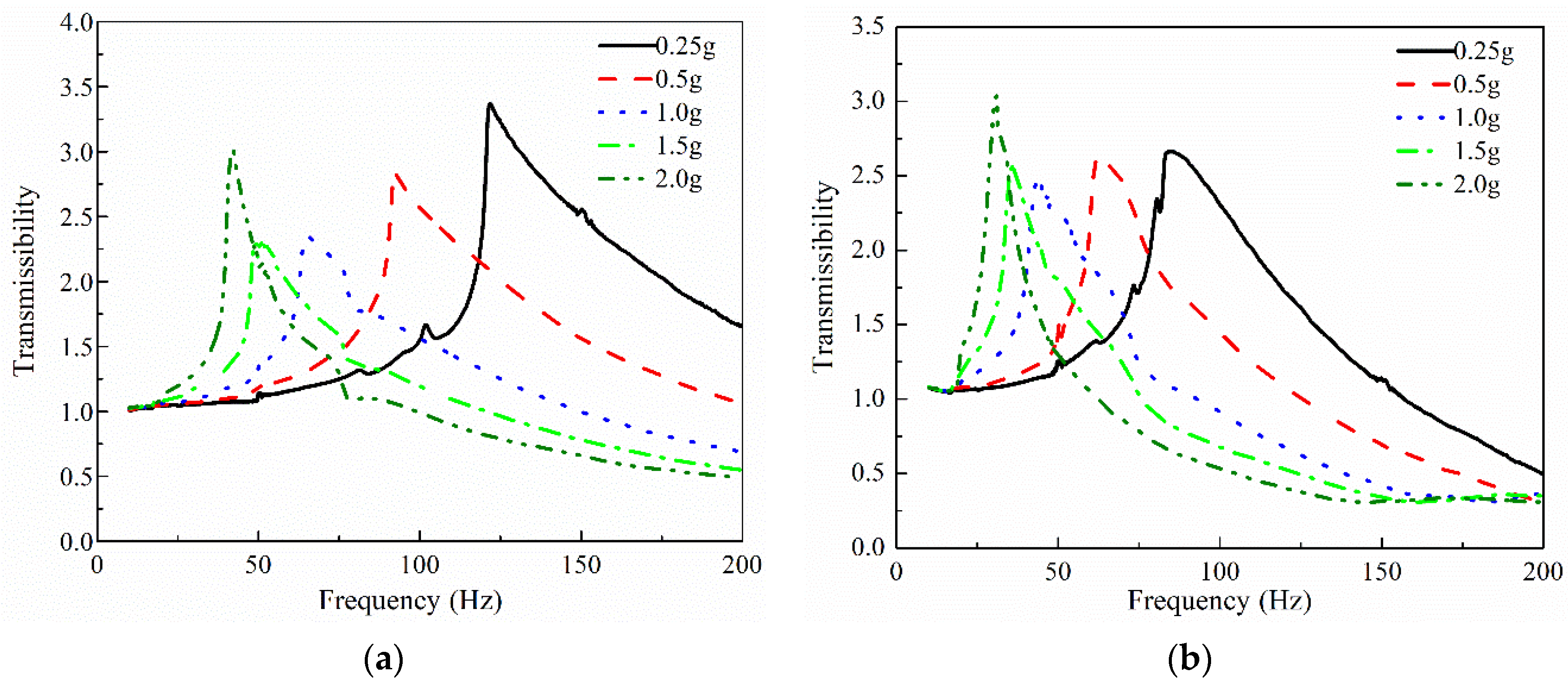
SS 304 and NiTi WMDs made with the same relative density of 0.31 were subjected to a sine sweep test from 20 to 200 Hz with accelerations of 0.25 g, 0.5 g, 1 g, 1.5 g, and 2 g. The transmissibility function of the two types is shown in Figure 16. To better examine the vibration isolation performance of the WMDs, the natural frequency, peak transmissibility, and dissipation factor of both types of WMDs are calculated using Equations (7) and (8), then plotted as a function of input acceleration, as shown in Table 11 and Figure 17, respectively.
Figure 16.
Comparison of the vibration isolation performance of WMDs fabricated with different materials: (a) SS 304; (b) SE NiTi.
Table 11.
Sinusoidal sweep test parameters of metal rubber shock absorbers of different materials.
Figure 17.
Characterization of the vibration isolation performance of WMDs. (a) Natural frequency; (b) Peak transmissibility; (c) Loss factor.
As shown in Figure 16, the transmissibility functions of both types of WMDs have some characteristics in common. As the input acceleration increases, the resonant peak of the two types of WMDs shifts to lower frequencies. Furthermore, the acceleration transmissibility and loss factor reach their minimum and maximum first and then tend to return to their original levels.
The common features described above can be attributed to the elastic porous structure of the WMD. As the input acceleration increases from 0.25 g to 1 g, the increasing dynamic load leads to a larger motion amplitude and a greater friction dissipation among dry friction joints, which yields a lower natural frequency, a lower acceleration transmissibility, and a greater loss factor. This mechanism remains in effect unless the friction dissipation is not significant enough to attenuate the input acceleration. As for input acceleration higher than 1 g, the transmissibility increases, and the loss factor decreases again.
Given the same mesh density and excitation condition, the difference between the frequency response of two types of WMDs can be viewed as a result of stress-induced martensite transformation. The NiTi WMD exhibits lower natural frequencies than that of the SS 304 WMD for all acceleration inputs due to its lower dynamic stiffness, as discussed previously in Section 3.2.1. Furthermore, the NiTi WMD demonstrates lower transmissibility and higher dissipation factor than the steel WMD only if the input acceleration is lower than 1 g. This advantage over SS 304 WMD gradually disappears as the input acceleration is higher than 1 g.
3.3.2. Effect of Mesh Density on the Damping Capacity of WMD
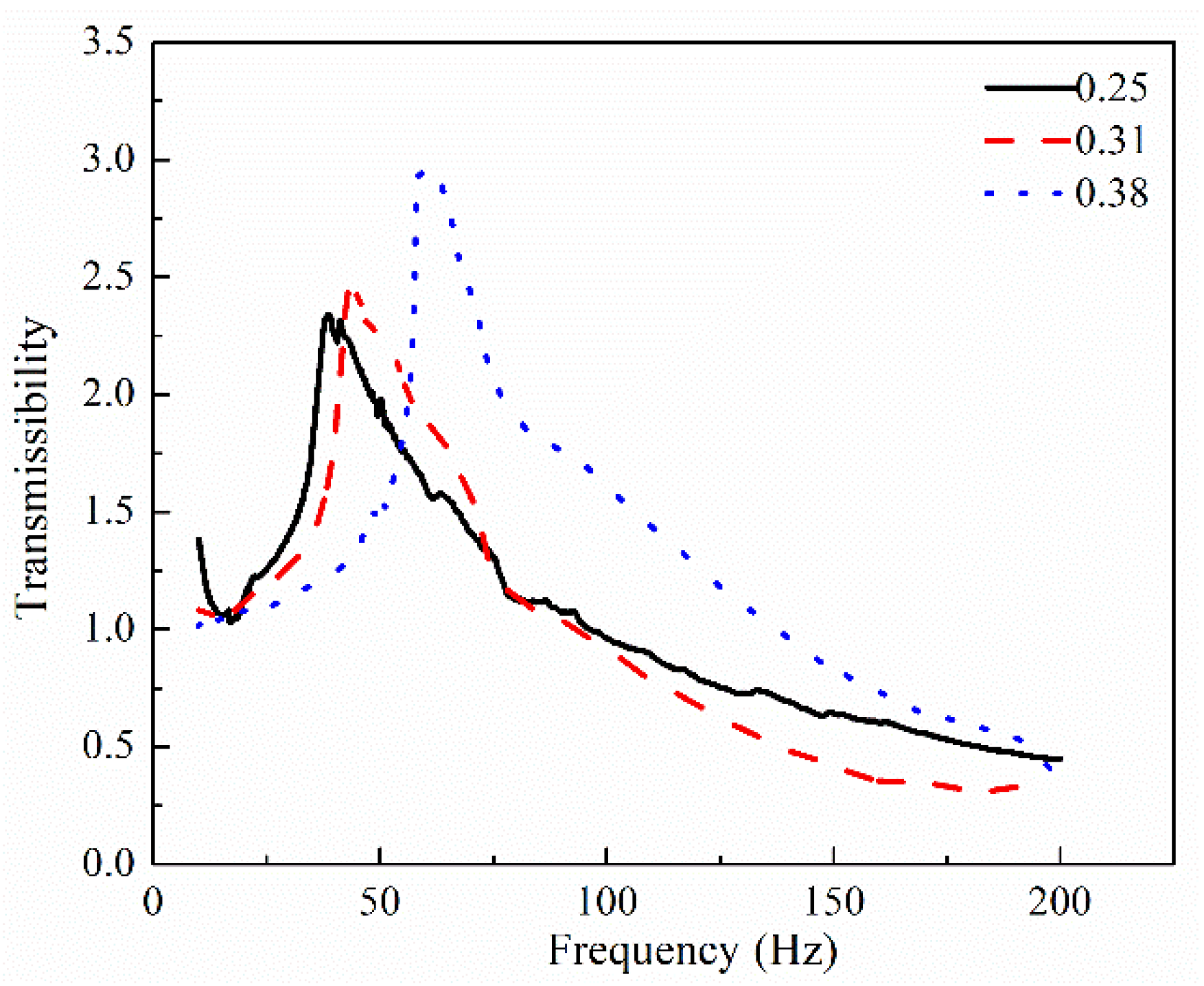
To examine the effects of mesh density on the vibration isolation performance, NiTi WMDs fabricated with relative densities of 0.25, 0.31, and 0.38 were subjected to a 1 g sine sweep test from 20 to 200 Hz. Figure 18 shows the acceleration response versus the frequency of the NiTi WMDs with three different mesh densities. As the mesh density increases, the resonant peak shifts to a higher frequency and exhibits a higher acceleration transmissibility.
Figure 18.
Effect of the mesh density on the acceleration transmissibility of the vibration-isolation system subjected to the 1 g sine sweep test.
The natural frequency, transmissibility, and dissipation factor of NiTi WMD subjected to the sine sweep test were calculated and plotted as a function of relative density, As shown in Figure 19, the natural frequency and peak transmissibility increase monotonically with the mesh density. However, the dissipation factor shows an opposite trend. This can be attributed to the increased number of compacted wire coils per unit volume, which improves the stiffness of the entire WMD and reduces the relative slippage distance between individual coils.
Figure 19.
Characterization of vibration isolation performance of NiTi WMDs fabricated with different densities: (a) natural frequency; (b) peak transmissibility; (c) loss factor.
3.3.3. Effect of Heat Treatment Temperatures on the Damping Capacity of WMD
The NiTi WMD fabricated with a relative density of 0.31 was heat-treated at 150 °C, 200 °C, and 250 °C for 30 min and then subjected to a 1 g sine sweep test from 5 to 200 Hz. Figure 20 shows the transmissibility function of the NiTi WMDs heat-treated with different temperatures. In general, heat treatment makes the resonant peak shift to higher frequencies and alters the acceleration transmissibility of the vibration-isolation system, except for the case of 150 °C. Heat treatment at 200 °C yields a wider resonant peak with a lower peak transmissibility value, whereas heat treatment at 250 °C gives rise to a narrow resonant peak with a higher peak transmissibility value.
Figure 20.
Effect of heat treatment temperature on the acceleration transmissibility of a vibration-isolation system subjected to the 1 g sine sweep test.
To provide a clearer insight into this phenomenon, the natural frequency, peak transmissibility values, and dissipation factors of NiTi WMDs are calculated and plotted as a function of heat treatment temperatures, as shown in Figure 21. As the heat treatment temperature rises, the natural frequency of the WMD decreases slightly at first, then increases to higher levels, indicating an improvement in the damper’s stiffness. Meanwhile, the peak transmissibility value decreases to its minimum when the WMD is heat-treated at 200 °C and then increases to higher values. Accordingly, the NiTi WMD achieves its maximum loss factor of 0.717 as it is heat-treated at 200 °C.
Figure 21.
Characterization of vibration isolation performance of NiTi WMDs heat-treated at different temperatures. (a) Natural frequency; (b) peak transmissibility; (c) loss factor.
3.3.4. Effect of Heat Treatment Time on the Damping Capacity of NiTi WMD
The NiTi WMD fabricated with a relative density of 0.31 is heat-treated at 200 °C for different times of 15 min, 30 min, and 45 min and then subjected to a 1 g sine sweep test from 5 to 200 Hz. Figure 22 shows the transmissibility function of the NiTi WMDs heat-treated for different times.
Figure 22.
Effect of heat treatment time on the acceleration transmissibility of a vibration-isolation system subjected to the 1 g sine sweep test.
The heat treatment time influences both the natural frequency and acceleration transmissibility. The resonant peak became wider, and peak transmissibility decreased as the heat treatment time was extended from 15 min to 30 min. A narrower resonant peak with higher peak transmissibility occurs after the heat treatment time was extended to 45 min.
As shown in Figure 23, the histograms of natural frequency, peak transmissibility values, and dissipation factor illustrate the effects of heat treatment time on the damping capacity of the WMD. The resonant frequency of NiTi WMDs first increases to the maximum and then decreases to a lower level when the heat treatment time increases from 15 min to 45 min, indicating that the WMDs become stiffened first and then become softer. This phenomenon stems from the competitive relationship between the heat treatment’s stiffening and softening effect on the NiTi WMD. For a given heat treatment temperature, the stiffening effect caused by fixture resistance predominates in the early stage when the heat treatment time is shorter than 30 min, whereas the softening effect caused by grain growth and dislocation rearrangement predominates in the late stage when heat treatment time is longer than 30 min. Heat treatment for 30 min gives rise to an optimum combination of the stiffness of the porous structure and the damping capacity of the NiTi wire, as reflected by the maximum resonant frequency, the minimum acceleration transmissibility, and the maximum loss factor. Heat treatment times longer than 30 min may result in abnormal grain growth, which leads to a decrease in NiTi wire stiffness and a downgrade in the WMD’s load capacity. Meanwhile, the transmissibility increases and loss factor decreases.
Figure 23.
Characterization of vibration isolation performance of NiTi WMDs heat-treated for different times. (a) Resonant frequency; (b) peak transmissibility; (c) loss factor.
4. Discussion
4.1. Comparative Analysis of Damping Mechanism under Dynamic Load: NiTi WMD versus SS 304 WMD
A comparative analysis of system dynamics is conducted here to provide a clearer insight into the mechanism that underlies the hysteresis behavior of the two different types of WMD. According to reference [3], the SS 304 WMDs under dynamic load can be described by the single-degree-of-freedom (SDOF) system depicted in Figure 24a and expressed by the following first-order differential equation,
where F(t) is the restoring force, c is the damper constant, k is the stiffness of the WMD, and z(t) is the hysteresis damping force generated by the dry friction between individual wires of the WMD.
Figure 24.
First-order SDOF system of WMD isolator under dynamic load. (a) SS 304 WMD; (b) SE NiTi WMD.
In addition to the friction dissipation between individual wire coils, the phase-transformation damping mechanism also plays a significant role in the dynamic mechanical behavior of NiTi WMD. By adding an exclusive term ζ (Γ, τ, t) describing the phase transformation effect to Equation (9), the SDOF system of NiTi WMD shown in Figure 24b now becomes
where c’, k’, and z’(t) are the damper constant, stiffness, and frictional damping force of the NiTi WMD. The term ζ (Γ, τ, t) denotes the nonlinear stiffness and damping force exclusively contributed by the stress-induced martensite transformation and can be written as
where ω the circular frequency of the dynamic load, and kniti is the stiffness component contributed by the NiTi material, which is given by [21]
where ξ is the martensite volume fraction that is supposed to be a function of heat treatment temperature and heat treatment time. kA and kM are the stiffness of NiTi wire in an austenite state and a martensite state when ξ is equal to 0 and 1, respectively.
The damping coefficient of the NiTi material, cniti, can be written as
where Wd is the energy dissipation caused by the phase transformation of the NiTi material, and is the maximum strain the material undergoes.
Based on the theoretical analysis above, the SS 304 WMD’s hysteresis behavior is solely contributed by the friction dissipation of individual wire coils. As for NiTi WMD, however, the phase transformation damping works in parallel with the dry friction damping, which renders the NiTi WMD a greater loss factor under different displacement amplitudes, as mentioned in Section 3.2.1.
Both types of WMDs demonstrate reduced loss factors with the increasing displacement amplitude. On the one hand, the elastic potential increases even faster than the dissipation energy as displacement amplitude increases, resulting in a decrease in both types of WMD’s loss factors. On the other hand, the loss modulus of NiTi wire generally exhibits a mild decrease with the increasing strain, which also causes a decline in the damping capacity of the NiTi WMD.
However, the NiTi WMD’s loss factor shows a slower declining trend than the SS 304 WMDs, implying that compensation is provided by the phase transformation mechanism of the NiTi wire. The NiTi wire softens because of the stress-induced martensite transformation, as mentioned in Section 3.2.1, leading to a slower increase in the elastic potential than in the SS 304 WMD. As a result, the NiTi WMD achieves a slower decrease in the loss factor according to Equation (6).
4.2. Comparative Analysis of Damping Mechanisms in a Sine Sweep Test: NiTi WMD versus SS 304 WMD
As shown in Figure 25a, the WMDs under forced vibration can be described by a second-order system, which can be expressed by the following differential equations,
where the u0 is the prescribed motion amplitude of the base, x(t) is the displacement of the mass, y(t) is the relative displacement of the spring and dashpot’s endpoints. As for the system equipped with NiTi WMDs, a term ζ (Γ, τ, t) is utilized to describe the nonlinear stiffness and damping force contributed by the phase transformation. Therefore, the second-order SDOF system of NiTi WMD shown in Figure 25b now becomes,
Figure 25.
Second-order SDOF system of WMD isolator under forced vibration. (a) SS 304 WMD; (b) SE NiTi WMD.
Although the phase transformation damping takes effect in forced vibration, the advantage of vibration isolation depends upon the input acceleration. Only when the input acceleration is lower than 1.5 g can the NiTi WMD achieve higher damping capacity than its SS 304 counterpart.
The SS 304 and NiTi WMD exhibit higher resonant frequencies and lower vibration amplitudes once the input acceleration is lower than 0.5 g. The load and deformation of the WMD change too fast to activate the relative movement in the friction joints, which in turn depresses the friction dissipation. However, the stress-induced martensite transformation within the NiTi WMD brings about extra energy dissipation, resulting in lower acceleration transmissibility and a higher loss factor than the SS 304 WMD.
When the input acceleration increases from 0.5 g to 1.5 g, the two types of WMDs demonstrate lower resonance frequencies. Thus, the friction dissipation can be retrieved, which brings about a simultaneous increase to the maximum in the loss factor of both types of WMDs. Note that the NiTi wire is able to demonstrate stronger damping capacity as the excitation frequency decreases [22], which contributes to a larger increase in NiTi WMD’s loss factor during this stage.
When the input acceleration increases from 1.5 g to 2 g, the resonant frequency decreases, and the motion amplitude of the dummy mass increases. As a result, the porous structure of the WMD is highly compacted, which makes it difficult for the WMDs to attenuate the vibration transmitted to the dummy mass. In addition, the increased motion amplitude also causes greater pseudo-elastic strain in the NiTi WMD, which finally reduces the loss factor of NiTi WMD to the same level as that of the SS 304 WMD.
4.3. Effect of Heat Treatment on Tuning the Stiffness and Damping Capacity of NiTi WMD
4.3.1. Softening versus Stiffening
As mentioned previously in Section 3.2.3 and Section 3.2.4, a trade-off exists between the stiffness and damping capacity of the NiTi WMD when adjusting heat treatment temperature and time. This can be attributed to a competitive relationship between the hardening effect and softening effect caused by the heat treatment. Softening is the dominant effect when the heat treatment temperature is lower than 200 °C or the heat treatment time is shorter than 30 min. At this stage improving the heat treatment temperature simply lowers the resonant frequency and increases the loss factor. However, the hardening effect outperforms the softening effect once the heat treatment temperature is higher than 200 °C or the heat treatment time is longer than 30 min. At this stage improving the heat treatment temperature only leads to radical stiffening, as reflected by the increasing resonant frequency.
4.3.2. The Mechanism behind the Tunable Resonant Frequency and Loss Factor
The adjustable stiffness and damping capacity are contributed by the phase transformation damping of the NiTi alloy, which corresponds to the term ζ (Γ, τ, t) in the first-order and second-order SDOF systems.
As for the NiTi wire itself, the stiffness is governed by the martensite start stress, which can be altered by the heat treatment temperature. Although the published results [23,24] on how heat treatment affects transformation temperatures contradict with each other, it has been generally accepted that the plateau stress of pseudoelasticity decreases with increasing heat treatment temperatures [15]. Moreover, the rearrangement of cold-work dislocations and grain growth during the heat treatment also results in the softening effect of the NiTi wire, which may result in a lower resonant frequency and a higher loss factor.
However, the conclusions above do not hold true for the NiTi WMDs in the present work because the coiled wires within WMD are heat-treated with restraint. Coiled wires are interlocked with each other due to Coulomb friction. In addition, fixtures also provide extra restraint for the WMDs during the heat treatment. Once the NiTi WMD is heated above As, mechanical resistance generated from the intertwined wires and the fixtures prevents the WMD from recovering to its un-formed state. This process causes severer residual stress within the WMD after the heat treatment, which gives rise to stiffened WMD with a higher resonant frequency and a lower loss factor.
Therefore, the tunable frequency and damping capacity of the heat-treated NiTi WMD is a combinatorial effect of the above two mechanisms, which governs the nonlinear term, . Although a comparison has been made between SS 304 and SE NiTi WMDs, the effect of phase transformation damping cannot be explicitly separated from the dynamic mechanical behavior of the WMD due to the limited quantity of tested samples. A phenomenological model describing the will be numerically implemented in future work so that the dynamic mechanical behavior and vibration isolation performance of the heat-treated SE NiTi WMD can be conveniently predicted.
4.3.3. Significance of Mesh Density and Heat Treatment Temperature
Mesh density is one of the most significant factors that influence the vibration isolation performance of SS 304 WMDs. As revealed by prior work [18], the dynamic stiffness and loss factor of the SS 304 WMD can be improved by 9.8 times and decreased by 1.7 times, respectively, by increasing the mesh density from 2.0 to 4.0. In the present work, however, the adjustable range of SE NiTi WMD’s mesh density is relatively smaller than that of the SS 304 WMD due to the poor formability of the SE NiTi wire. Extremely large or small mesh density would either radically increase the forming pressure or make it hard to form the NiTi WMD. Finally, the acceptable mesh density is limited to a narrow range from 0.25 to 0.38, which only gives rise to a 86.9% improvement and a 33.4% reduction in the NiTi WMD’s dynamic stiffness and loss factor, respectively.
A comparable adjustable range of dynamic stiffness and loss factor up to 85.5% and 28.1%, respectively, can be obtained by altering the heat treatment temperature in the present work. Nevertheless, it is expected that a larger tunable range of dynamic stiffness and loss factor can be obtained by increasing the heat treatment temperatures to 450 °C. Pseudo-static test results in Section 3.1 indicate that the as-fabricated NiTi WMD is readily to be stiffened by nearly 8 times after being heat-treated at 450 °C.
Although the competitive advantage of SE NiTi WMD disappears when the input acceleration is higher than 1.5 g, it is technically feasible to make it applicable for higher input accelerations by heat treatment at higher temperatures. Moreover, heat treatment is a much more practical approach than increasing the wire mass of NiTi WMD as far as the expensive price of NiTi wire is concerned.
5. Conclusions
In the present work, efforts were directed toward tuning the stiffness and damping capacity of the NiTi WMD by heat treatment. Furthermore, the influence of heat treatment conditions on the NiTi WMD’s vibration isolation performance is addressed. The main conclusions are as follows.
- Under dynamic loading conditions, the NiTi WMD is able to outperform its SS 304 counterpart in loss factor because the phase transformation damping mechanism of NiTi wire is combined with the existing dry friction damping mechanism of the elastic porous structure.
- Under a sine sweep test condition, the NiTi WMD exhibits a conditional advantage over the SS 304 WMD regarding the vibration isolation performance. A lower transmissibility and a higher loss factor can be achieved by the as-fabricated NiTi WMD only when the system is subjected to input acceleration lower than 1.5 g. In the case of input acceleration higher than 1.5 g, the phase transformation damping capacity of the NiTi WMD is suppressed by the large strain within the highly compacted elastic porous structure.
- The resonant frequency and damping capacity of the as-fabricated NiTi WMD can be properly adjusted by heat treatment. In general, a considerable improvement in the NiTi WMD’s stiffness will be obtained at the expense of its loss factor. However, after being heat-treated at 200 for 30 min, the NiTi WMD exhibits improved load capacity without suffering from a large decline in loss factor.
- The adjustable dynamic stiffness and loss factor of the heat-treated NiTi WMD can be attributed to the combinatorial effects of the rearrangement of the cold-work induced dislocation and the increasing residual stress during the heat treatment. As far as the tunable vibration isolation performance and the cost of NiTi wire are concerned, heat treatment is a more feasible approach, as compared to the mesh density adjustment when a specific combination of dynamic stiffness and loss factor is desired.
Author Contributions
Methodology, Y.S. and Y.W. (Yaoqiang Wei); validation, Y.S. and M.S.; formal analysis, Y.W. (Yiwan Wu); investigation, X.X.; resources, M.S. and J.W.; writing—original draft preparation, Y.S. and M.S.; writing—review and editing, Y.S. and J.W.; project administration, H.B.; funding acquisition, X.C. All authors have read and agreed to the published version of the manuscript.
Funding
This research was funded by the Natural Science Foundation of China, grant numbers 12002088 and 12272094, and the Key Project of National Defence Innovation Zone of Science and Technology Commission of CMC.
Institutional Review Board Statement
Not applicable.
Informed Consent Statement
Not applicable.
Data Availability Statement
The data used to support the findings of this study are available from the corresponding author upon request.
Conflicts of Interest
The authors declare that they have no conflict of interest.
References
- Xue, X.; Ruan, S.; Li, A.; Bai, H.; Xiao, K. Nonlinear dynamic modelling of two-point and symmetrically supported pipeline brackets with elastic-porous metal rubber damper. Symmetry 2019, 11, 1479. [Google Scholar] [CrossRef]
- Xue, X.; Shen, G.; Wu, X.; Xiong, Y.; Liao, J.; Bai, H. Thermo-mechanical performances of elastic–porous materials with metallic wire mesh structures. Compos. Struct. 2022, 297, 115918. [Google Scholar] [CrossRef]
- Jiang, F.; Ding, Z.; Wu, Y.; Bai, H.; Shao, Y.; Zi, B. Energy dissipation characteristics and parameter identification of symmetrically coated damping structure of pipelines under different temperature environment. Symmetry 2020, 12, 1283. [Google Scholar] [CrossRef]
- Wu, Y.; Cheng, H.; Bai, H.; Li, S.; Tang, Y. Experimental investigation on static and dynamic energy dissipation characteristics of composite sandwich structure with entangled metallic wire materials and disc springs. Mater. Res. Express 2021, 8, 106507. [Google Scholar] [CrossRef]
- Mezghani, F.; Fernandez del Rincón, A.; Garcia Fernandez, P.; de-Juan, A.; Sanchez-Espiga, J.; Viadero Rueda, F. Effectiveness study of wire mesh vibration damper for sensitive equipment protection from seismic events. Mech. Syst. Signal Process. 2022, 164, 108160. [Google Scholar] [CrossRef]
- Kim, S.H.; Yeon, S.-M.; Lee, J.H.; Kim, Y.W.; Lee, H.; Park, J.; Lee, N.-K.; Choi, J.P.; Aranas, C.; Lee, Y.J.; et al. Additive manufacturing of a shift block via laser powder bed fusion: The simultaneous utilisation of optimised topology and a lattice structure. Virtual Phys. Prototyp. 2020, 15, 460–480. [Google Scholar] [CrossRef]
- Zhang, W.; Xue, X.; Bai, H. Mechanical and electrical properties of Cu-Steel bimetallic porous composite with a double-helix entangled structure. Compos. Struct. 2021, 255, 112886. [Google Scholar] [CrossRef]
- Hu, J.; Du, Q.; Gao, J.; Kang, J.; Guo, B. Compressive mechanical behavior of multiple wire metal rubber. Mater. Des. 2018, 140, 231–240. [Google Scholar] [CrossRef]
- Ma, Y.; Zhang, Q.; Zhang, D.; Scarpa, F.; Liu, B.; Hong, J. A novel smart rotor support with shape memory alloy metal rubber for high temperatures and variable amplitude vibrations. Smart Mater. Struct. 2014, 23, 125016. [Google Scholar] [CrossRef]
- Ma, Y.; Zhang, Q.; Zhang, D.; Scarpa, F.; Liu, B.; Hong, J. Tuning the vibration of a rotor with shape memory alloy metal rubber supports. J. Sound Vib. 2015, 351, 1–16. [Google Scholar] [CrossRef]
- Youn, S.-H.; Jang, Y.-S.; Han, J.-H. Compressed mesh washer isolators using the pseudoelasticity of SMA for pyroshock attenuation. J. Intell. Mater. Syst. Struct. 2009, 21, 407–421. [Google Scholar] [CrossRef]
- Kwon, S.-C.; Jeon, S.-H.; Oh, H.-U. Performance investigation of a novel pseudoelastic SMA mesh washer gear wheel with micro-jitter attenuation capability. Smart Mater. Struct. 2016, 25, 055004. [Google Scholar] [CrossRef]
- Kwon, S.-C.; Jo, M.-S.; Oh, H.-U. Experimental validation of fly-wheel passive launch and on-orbit vibration isolation system by using a superelastic SMA mesh washer isolator. Int. J. Aerosp. Eng. 2017, 2017, 1–16. [Google Scholar] [CrossRef]
- Oh, H.-U.; Jeon, S.-H.; Kim, T.-H.; Kim, Y.-H. Experimental feasibility study for micro-jitter attenuation of stepper-actuated X-band antenna-pointing mechanism by using pseudoelastic SMA mesh washer. Smart Mater. Struct. 2015, 24, 045010. [Google Scholar] [CrossRef]
- Mahmud, A.S.; Wu, Z.; Yang, H.; Liu, Y. Effect of cold work and partial annealing on thermomechanical behaviour of Ti-50.5at%Ni. Shape Mem. Superelasticity 2017, 3, 57–66. [Google Scholar] [CrossRef]
- Ma, Y.; Zhu, H.; Zhang, D.; Liu, B.; Hong, J. Experimental investigation on shape memory alloy metal rubber. Sci. China Technol. Sci. 2013, 56, 1949–1955. [Google Scholar] [CrossRef]
- Hong, J.; Liu, B.; Zhang, D.; Ma, Y. Shape memory effect and hysteresis behavior of shape memory alloy metal rubber. In Proceedings of the ASME Turbo Expo 2012: Turbine Technical Conference and Exposition, Copenhagen, Denmark, 11–15 June 2012; pp. 1275–1281. [Google Scholar]
- Shao, Y.; Song, S.; Xin, T.; Wang, J.; Xie, X. Simulation of the dynamic response to sinusoidal excitation of the elastic porous metal mesh damper. Shock. Vib. 2021, 2021, 8886480. [Google Scholar] [CrossRef]
- Xue, X.; Yang, P.; Shao, Y.; Bai, H. Manufacture technology and anisotropic behaviour of elastic-porous metal rubber. Int. J. Lightweight Mater. Manuf. 2020, 3, 88–99. [Google Scholar] [CrossRef]
- Miyazaki, S.; Ohmi, Y.; Otsuka, K.; Suzuki, Y. Characteristics of deformation and transformation pseudoelasticity in Ti-Ni alloys. Le J. De Phys. Colloq. 1982, 43, C4-255–C254-260. [Google Scholar] [CrossRef]
- Sheng, J.; Desai, J.P. Design, modeling and characterization of a novel meso-scale sma-actuated torsion actuator. Smart Mater. Struct. 2015, 24, 105005. [Google Scholar] [CrossRef]
- Silva, N.; Grassi, E.; De Araújo, C. Dynamic properties of niti shape memory alloy and classic structural materials: A comparative analysis. Mater. Sci. Forum 2010, 643, 37–41. [Google Scholar] [CrossRef]
- Tadayyon, G.; Mazinani, M.; Guo, Y.; Zebarjad, S.M.; Tofail, S.A.M.; Biggs, M.J. The effect of annealing on the mechanical properties and microstructural evolution of Ti-rich NiTi shape memory alloy. Mater. Sci. Eng. A 2016, 662, 564–577. [Google Scholar] [CrossRef]
- Ben Fraj, B.; Gahbiche, A.; Zghal, S.; Tourki, Z. On the influence of the heat treatment temperature on the superelastic compressive behavior of the Ni-rich NiTi shape memory alloy. J. Mater. Eng. Perform. 2017, 26, 5660–5668. [Google Scholar] [CrossRef]
Publisher’s Note: MDPI stays neutral with regard to jurisdictional claims in published maps and institutional affiliations. |
© 2022 by the authors. Licensee MDPI, Basel, Switzerland. This article is an open access article distributed under the terms and conditions of the Creative Commons Attribution (CC BY) license (https://creativecommons.org/licenses/by/4.0/).
























