Abstract
We review our theoretical results of the sound propagation in two-dimensional (2D) systems of ultracold fermionic and bosonic atoms. In the superfluid phase, characterized by the spontaneous symmetry breaking of the symmetry, there is the coexistence of first and second sound. In the case of weakly-interacting repulsive bosons, we model the recent measurements of the sound velocities of K atoms in 2D obtained in the weakly-interacting regime and around the Berezinskii–Kosterlitz–Thouless (BKT) superfluid-to-normal transition temperature. In particular, we perform a quite accurate computation of the superfluid density and show that it is reasonably consistent with the experimental results. For superfluid attractive fermions, we calculate the first and second sound velocities across the whole BCS-BEC crossover. In the low-temperature regime, we reproduce the recent measurements of first-sound speed with Li atoms. We also predict that there is mixing between sound modes only in the finite-temperature BEC regime.
1. Introduction
In this review paper, the propagation of the first and second sound in two-dimensional (2D) systems of ultracold fermionic and bosonic atoms is examined in light of our current theoretical findings. As is well known, the second sound exists only in the symmetry-broken superfluid phase. We discuss a quite accurate determination of the superfluid density in the case of weakly-interacting repulsive bosons, finding a good agreement with the experiment to model the recent measurements [] of the sound velocities of K atoms in 2D obtained in the weakly-interacting regime and around the Berezinskii–Kosterlitz–Thouless (BKT) superfluid-to-normal transition temperature []. We also analyze the first and second sound velocities across the whole BCS-BEC crossover for superfluid attractive fermions. By considering Li atoms, we simulate and analyze the most recent measurements [] of the first sound velocity in the low-temperature regime. This velocity is the only one triggered by a density probe because the decoupling of the density and entropy fluctuations makes it possible []. The main results discussed here were presented at the International Workshop “Quantum Transport with ultracold atoms” (Dresden, 2022).
According to Landau’s two-fluid theory [] of superfluids, the total number density n of a system in the superfluid phase can be written as
where is the superfluid density, and is the normal density. At the critical temperature , , and correspondingly, . Following Landau, in a superfluid, a local perturbation excites two wave-like modes—first and second sound—which propagate with velocities and . These velocities are determined by the positive solutions of the algebraic biquadratic equation
The first sound is the largest of the two positive roots of Equation (2), while the second sound is the smallest positive one. In the biquadratic Equation (2), there is the adiabatic sound velocity
where , as the entropy per particle, , as the 2D volume (area) of a square of size L, and N is the total number of identical particles. There is also the entropic sound (or Landau) velocity
where is the ratio between the superfluid and normal density, m is the mass of each particle, and the isothermal sound velocity is
where P is the pressure, and T is the temperature. Thus, having the equation of state and the superfluid fraction of the system under investigation, one can determine the first sound velocity and the second sound velocity by solving Equation (2), namely
2. Weakly-Interacting 2D Bose Gas
The Helmholtz free energy [] of a weakly-interacting two-dimensional gas of purely repulsive identical bosons of mass m can be written as ()
where is the mean-field zero-temperature free energy, and is the Bose–Bose interaction strength. is the low-temperature free energy, and
is the familiar Bogoliubov spectrum of elementary excitations. For the sake of completeness, we emphasize some formal analogy [] between this Bogoliubov spectrum of bosonic particles, which can be derived from the Gross–Pitaevskii equation [,], and the neural spectrum, which can be deduced from the Amari equation of the brain []. Indeed, the neural field equation of Amari resembles an imaginary-time Gross–Pitaevskii equation with a nonlocal term. The elementary (linearized) excitations of the Amari equation around a uniform configuration are the analog of the Bologlibov spectrum of the Gross–Pitaevskii equation. The quantum correction in the free energy is obviously ultraviolet divergent and requires a regularization procedure. Dimensional regularization [] leads to
where is a cutoff energy, is the Euler–Mascheroni constant, is the 2D s-wave scattering length, and
is the adimensional gas parameter []. Moreover, one also finds
All the thermodynamic quantities can be obtained from the Helmholtz free energy of Equation (7). For instance, the pressure P is given by
while the the entropy reads
Instead, the normal density can be extracted from the Landau formula
where is the Bose–Einstein distribution.
Actually, the Landau formula for the normal density does not take into account the formation of quantized vortices and antivortices by increasing the temperature. These quantized vortices are crucial for the 2D Bose gas to obtain the phenomenology predicted by Berezinskii [] and Kosterlitz–Thouless []. The presence of quantized vortices renormalizes the superfluid density, . The renormalized superfluid density is obtained by solving the Nelson–Kosterlitz renormalization group equations []
where , with as the superfluid density at the adimensional fictitious time t, and , which is the fugacity, where is the vortex chemical potential at the fictitious time t. In particular, the initial superfluid density of the flow is the one obtained from of Equation (14) as . The initial vortex chemical potential is instead given by the expression . We emphasize that, in the determination of pressure and entropy, one should also take into account the vortex contribution. However, in order to make the theoretical scheme more tractable, we have included the quantized vortices only for the renormalized superfluid density. Another relevant issue is the fact that, in the experiments, the superfluids have a finite size. To describe consistently the finite size of the system, we solve Equation (15) up to a maximum value of the adimensional fictitious time t, where A is the area of the system, and is the healing length, which is practically the size of the vortex core.
For 3D superfluids, the transition to the normal state is a BEC phase transition, while in 2D superfluids the transition to the normal state is something different: a topological phase transition. An important prediction of the Kosterlitz–Thouless transition is that, contrary to the 3D case, in 2D, the superfluid fraction jumps to zero above the Berezinskii–Kosterlitz–Thouless critical temperature . See Figure 1.

Figure 1.
Typical behavior of a superfluid fraction vs. adimensional temperature in three-dimensional (3D) and two-dimensional (2D) superfluid systems. Notice that only in the 2D case is there a jump of the superfluid fraction at the Berezinskii–Kosterlitz–Thouless critical temperature in the superfluid-to-normal phase trasition.
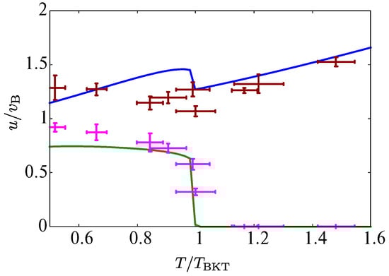
In Figure 2, we report our theoretical first and second sound velocities as a function of the adimensional temperature in comparison with recent experimental data near []. As shown by the figure, the agreement between our theory and the experimental results is quite good.

Figure 2.
Sound velocities vs. adimensional temperature. Here, provides the Bogoliubov velocity, is the number of atoms, and . The blue line is our first sound velocity , while the green line is our second sound velocity . The dots with error bars are the experimental data obtained by Christodoulou et al. []. Figure adapted from Ref. [].
Another relevant phenomenon is the hybridization with quasi-crossing of the first sound and second sound , which appears at a characteristic temperature . In particular, when the hybridization temperature is crossed, there is an inversion of the role of the density and entropy oscillations in the propagation of sounds. As discussed in detail in Ref. [], a density perturbation excites mainly below the and instead probes mainly above . The opposite occurs by imposing a temperature gradient in the superfluid. Numerically, we found that grows by increasing the repulsive Bose–Bose interaction strength, and eventually, coincides with [].
3. 2D Fermi Gas in the BCS-BEC Crossover
In 2004, the 3D BCS-BEC crossover was observed with ultracold gases made of two-component attractive fermionic K or Li atoms [,,]. This crossover was obtained using a Fano–Feshbach resonance to change the 3D s-wave scattering length of the interatomic potential. More recently, the 2D BEC-BEC crossover was achieved experimentally [,] with a Fermi gas of two-component Li atoms.
Two-dimensional realistic interatomic attractive potentials always have a bound state, in contrast to the 3D situation. In particular [], the binding energy of two fermions is related to the 2D scattering length by
where is the Euler–Mascheroni constant. Moreover, the attractive interaction of strength of the s-wave pairing is related to the binding energy by the expression []
To study the 2D BCS-BEC crossover, we adopt the formalism of functional integration []. The partition function of the uniform system with fermionic fields at temperature T, in a two-dimensional volume , with chemical potential , reads
where , and
is the Euclidean action functional with Lagrangian density
where is the strength of the attractive s-wave coupling between fermions with opposite spin.
In particular, we are interested in the grand potential , given by
where
is the mean-field partition function, and
is the partition function of Gaussian pairing fluctuations.
After functional integration over quadratic fields, one finds that the mean-field grand potential reads []
where
is the spectrum of fermionic single-particle excitations.
Instead, the Gaussian grand potential is given by
where is the inverse propagator of the Gaussian fluctuations of pairs, and represents the 4D wavevector, where are the Matsubara frequencies, and is the 3D wavevector [].
The sum over the Matsubara frequencies is quite complicated, and it does not give a simple expression. An approximate formula [] is
where
is the spectrum of bosonic collective excitations with derived from
It is important to stress that the zero-point energy of the collective excitations is divergent. However, by using the convergence factor renormalization procedure (see Ref. [] for a review of renormalization methods for the zero-point energy of ultracold atoms), one extracts a reliable finite contribution. In Figure 3, we plot the pressure of the 2D Fermi gas in the BCS-BEC crossover comparing our zero-temperature theoretical results [] with the available experimental data []. The agreement between theory and experiment is extremely good including the Gaussian fluctuations. For the specific investigation of the Gaussian fluctuations in the BEC regime of the 2D crossover with analytical and numerical techniques, see also Refs. [,]. Quite remarkably, our results with Gaussian fluctuations are also in good agreement with the auxiliary-field path integral calculations [] and diffusion Monte Carlo simulations [].

Figure 3.
Zero-temperature scaled pressure vs. scaled binding energy . Filled squares with error bars: experimental data of Makhalov et al. []. Solid line: our regularized Gaussian pair fluctuation (GPF) theory. Figure adapted from Ref. [].
We are now interested in the temperature dependence of the superfluid density of the system. At the Gaussian level, depends only on fermionic single-particle excitations []. Beyond the Gaussian level, bosonic collective excitations also contribute []. Thus, we assume the following Landau-type formula for the superfluid density []
This bare superfluid density can be renormalized by using the flow Equations (15) of Kosterlitz–Thouless–Nelson, which take into account the effect of quantized vortices and antivortices [,], by using Equation (30) as the initial condition. In Figure 4, we plot the BKT critical temperature obtained by using the Nelson–Kosterlitz criterion []:

Figure 4.
Our theoretical predictions [] for the Berezinskii–Kosterlitz–Thouless critical temperature compared to the experimental observation [] (filled circles with error bars). Figure adapted from Ref. [].
The figure clearly shows that the mean-field prediction (dashed line) is meaningful only in the deep BCS regime of the 2D crossover. Instead our beyond-mean-field results (solid line), which include Gaussian fluctuations, are in reasonably good agreement with the available experimental data [] (filled circles). In Refs. [,], we found that derived with the Nelson–Kosterlitz criterion slightly overestimated the critical temperature calculated by solving the renormalization group of Equations (15).
Having the equation of state and the superfluid density at finite temperature, we calculated the first sound velocity and the second sound velocity in the 2D BCS-BEC crossover by using Equation (6). We also analyzed the amplitude modes and of the response to a density perturbation [], i.e.,
where
and
In Figure 5, we show our theoretical determination of the sound velocities and density responses (insets) as a function of the interaction strength (actually the logarithm of the adimensional binding energy ) at quite low temperature T. The comparison with the experimental measurements of the first sound velocity (filled diamonds) suggest that our theoretical framework is quite good. It is important to stress that in the BCS regime the speed of second sound is rapidly approaching zero.

Figure 5.
First sound velocity (red solid line) and second sound velocity (blue dashed line) along the BCS-BEC crossover, at temperature , with , and . Green diamonds: recent measurements of the first sound [] Right inset: relative contribution to the density response of (red solid line) and (blue dashed line). Figure adapted from Ref. [].
In Figure 6, we report instead the sound velocities as a function of the temperature T for three values of the interaction strength (the three panels correspond to increasing values of the adimensional binding energy ). The density responses shown in the insets strongly suggest that a mixing between the first sound and second sound occurred only in the finite-temperature BEC regime. Notice that taking into account Equations (3)–(6), (33) and (34), the presence of mixing means that the adiabatic sound velocity was quite different with respect to the isothermal sound velocity . Conversely, if , then , , and consequently, . For comparison, for the 3D unitary Fermi gas we recently showed [] that, in contrast to 3D liquid helium, near the critical temperature, the mixing of the first and second sound was quite strong.

Figure 6.
Adimensional first sound velocity (red solid line) and adimensional second sound velocity (blue dashed line) plotted in terms of the rescaled temperature , for three different values of the crossover parameter: (BCS regime), (unitary regime), and (BEC regime). Insets: relative contribution to the density responses of and . Figure adapted from Ref. [].
4. Conclusions
We showed that the first and second sound of bosonic and fermionic superfluids could be derived adopting Landau’s two-fluid theory, which required the equation of state and the superfluid fraction of the system under investigation. In the case of a 2D weakly-interacting Bose gas, we found that the comparison of our theory with recent measurements near was quite good. In the BCS-BEC crossover of the 2D Fermi gas, we proved that to obtain a good agreement with the experimental data for the equation of state, the critical temperature , and the sound modes, both fermionic single-particle excitations and bosonic collective excitations were needed. In conclusion, it is important to stress that all the results discussed here are valid in the collisional regime, where , with as the frequency of the sound mode and as the collision time of quasiparticles. However, in the collisionless regime (), the role of the superfluidity in 2D systems of ultracold atoms has not been fully clarified. In Ref. [], we found that the experimental results of sound and sound damping in a two-dimensional collisionless Bose gas of Rb atoms [] were better reproduced below the critical temperature of the superfluid-to-normal phase transition by the Andreev–Khalatnikov equations of a collisionless superfluid with respect to the finding of the Vlasov–Landau equation [,]. Finally, for the sake of completeness, we suggest reading the very recent review paper of Hu, Yao, and Liu [], which contains a detailed historical account of the second sound in ultracold atoms.
Author Contributions
Conceptualization, L.S.; methodology, all authors; software, all authors; validation, all authors; formal analysis, all authors; investigation, all authors; resources: all authors; data curation, all authors; writing—original draft preparation, L.S.; writing—review and editing, L.S.; visualization, all authors; supervision, L.S.; project administration, L.S.; funding acquisition, all authors. All authors have read and agreed to the published version of the manuscript.
Funding
This research is partially supported by University of Padova, BIRD grant “Ultracold atoms in curved geometries”. KF is supported by Fondazione CARIPARO with a PhD fellowship. AT is partially supported by French National Research Agency ANR Grant Droplets N. ANR-19-CE30-0003-02.
Acknowledgments
LS thanks Herwig Ott and Sandro Wimberger for their kind invitation to the International Workshop “Quantum Transport with ultracold atoms” (2022).
Conflicts of Interest
The authors declare no conflict of interest.
References
- Christodoulou, P.; Galka, M.; Dogra, N.; Lopes, R.; Schmitt, J.; Hadzibabic, Z. Observation of first and second sound in a BKT superfluid. Nature 2021, 594, 191. [Google Scholar] [CrossRef]
- Furutani, K.; Tononi, A.; Salasnich, L. Sound modes in collisional superfluid Bose gases. New J. Phys. 2021, 23, 043043. [Google Scholar] [CrossRef]
- Bohlen, M.; Sobirey, L.; Luick, N.; Biss, H.; Enss, T.; Lompe, T.; Moritz, H. Sound Propagation and Quantum-Limited Damping in a Two-Dimensional Fermi Gas. Phys. Rev. Lett. 2020, 24, 240403. [Google Scholar] [CrossRef] [PubMed]
- Tononi, A.; Cappellaro, A.; Bighin, G.; Salasnich, L. Propagation of first and second sound in a two-dimensional Fermi superfluid. Phys. Rev. A 2021, 103, L061303. [Google Scholar] [CrossRef]
- Landau, L.D. The theory of superfuidity of helium II. J. Phys. (USSR) 1941, 5, 71. [Google Scholar]
- Salasnich, L. Power spectrum and diffusion of the Amari neural field. Symmetry 2019, 11, 134. [Google Scholar] [CrossRef]
- Gross, E.P. Structure of a quantized vortex in boson systems. Nuovo C. 1961, 20, 454. [Google Scholar] [CrossRef]
- Pitaevskii, L.P. Vortex lines in an imperfect Bose gas. Sov. Phys. JETP 1961, 13, 451. [Google Scholar]
- Amari, S. Dynamics of pattern formation in lateral-inhibition type neural fields. Biol. Cyber. 1977, 27, 77–87. [Google Scholar] [CrossRef]
- Salasnich, L.; Toigo, F. Zero-point energy of ultracold atoms. Phys. Rep. 2016, 640, 1. [Google Scholar] [CrossRef]
- Berezinskii, V.L. Destruction of Long-range Order in One-dimensional and Two-dimensional Systems Possessing a Continuous Symmetry Group. II. Quantum Systems. Sov. Phys. JETP 1972, 34, 610. [Google Scholar]
- Kosterlitz, J.M.; Thouless, D.J. Long range order and metastability in two dimensional solids and superfluids. (Application of dislocation theory). J. Phys. C 1972, 5, L124. [Google Scholar] [CrossRef]
- Nelson, D.R.; Kosterlitz, J.M. Universal Jump in the Superfluid Density of Two-Dimensional Superfluids. Phys. Rev. Lett. 1977, 39, 1201. [Google Scholar] [CrossRef]
- Regal, C.A.; Greiner, M.; Jin, D.S. Observation of Resonance Condensation of Fermionic Atom Pairs. Phys. Rev. Lett. 2004, 92, 040403. [Google Scholar] [CrossRef] [PubMed]
- Zwierlein, M.W.; Stan, C.A.; Schunck, C.H.; Raupach, S.M.F.; Kerman, A.J.; Ketterle, W. Condensation of Pairs of Fermionic Atoms near a Feshbach Resonance. Phys. Rev. Lett. 2004, 92, 120403. [Google Scholar] [CrossRef] [PubMed]
- Kinast, J.; Kinast, J.; Hemmer, S.L.; Gehm, M.E.; Turlapov, A.; Thomas, J.E. Evidence for Superfluidity in a Resonantly Interacting Fermi Gas. Phys. Rev. Lett. 2004, 92, 150402. [Google Scholar] [CrossRef]
- Makhalov, V.; Martiyanov, K.; Turlapov, A. Ground-State Pressure of Quasi-2D Fermi and Bose Gases. Phys. Rev. Lett. 2014, 112, 045301. [Google Scholar] [CrossRef]
- Ries, M.G.; Wenz, A.N.; Zurn, G.; Bayha, L.; Boettcher, I.; Kedar, D.; Murthy, P.A.; Neidig, M.; Lompe, T.; Jochim, S. Observation of Pair Condensation in the Quasi-2D BEC-BCS Crossover. Phys. Rev. Lett. 2015, 114, 230401. [Google Scholar] [CrossRef]
- Mora, C.; Castin, Y. Extension of Bogoliubov theory to quasicondensates. Phys. Rev. A 2003, 67, 053615. [Google Scholar] [CrossRef]
- Randeria, M.; Duan, J.-M.; Shieh, L.-Y. Bound states, Cooper pairing, and Bose condensation in two dimensions. Phys. Rev. Lett. 1989, 62, 981. [Google Scholar] [CrossRef]
- Nagaosa, N. Quantum Field Theory in Condensed Matter; Springer: Berlin/Heidelberg, Germany, 1999. [Google Scholar]
- Altland, A.; Simons, B. Condensed Matter Field Theory; Cambridge University Press: Cambridge, UK, 2006. [Google Scholar]
- Diener, R.B.; Sensarma, R. Quantum fluctuations in the superfluid state of the BCS-BEC crossover, M. Randeria. Phys. Rev. A 2008, 77, 023626. [Google Scholar] [CrossRef]
- Taylor, E.; Griffin, A.; Fukushima, N.Y. Ohashi, Pairing fluctuations and the superfluid density through the BCS-BEC crossover. Phys. Rev. A 2006, 74, 063626. [Google Scholar] [CrossRef]
- Bighin, G.; Salasnich, L. Finite-temperature quantum fluctuations in two-dimensional Fermi superfluids. Phys. Rev. B 2016, 93, 014519. [Google Scholar] [CrossRef]
- Salasnich, L.; Toigo, F. Composite bosons in the two-dimensional BCS-BEC crossover from Gaussian fluctuations. Phys. Rev. A 2015, 91, 011604(R). [Google Scholar] [CrossRef]
- He, L.; Lu, H.; Cao, G.; Hu, H.; Liu, X.-J. Quantum fluctuations in the BCS-BEC crossover of two-dimensional Fermi gases. Phys. Rev. A 2015, 92, 023620. [Google Scholar] [CrossRef]
- Shi, H.; Chiesa, S.; Zhang, S. Ground-state properties of strongly interacting Fermi gases in two dimensions. Phys. Rev. A 2015, 92, 033603. [Google Scholar] [CrossRef]
- Galea, A.; Dawkins, H.; Gandolfi, S.; Gezerlis, A. Diffusion Monte Carlo study of strongly interacting two-dimensional Fermi gases. Phys. Rev. A 2016, 93, 023602. [Google Scholar] [CrossRef]
- Bighin, G.; Salasnich, L. Renormalization of the superfluid density in the two-dimensional BCS-BEC crossover. Int. J. Mod. Phys. B 2018, 32, 1840022. [Google Scholar] [CrossRef]
- Babaev, E.; Kleinert, H.K. Nonperturbative XY-model approach to strong coupling superconductivity in two and three dimensions. Phys. Rev. B 1999, 59, 12083. [Google Scholar] [CrossRef]
- Benfatto, L.; Toschi, A.; Caprara, S. Low-energy phase-only action in a superconductor: A comparison with the XY model. Phys. Rev. B 2004, 69, 184510. [Google Scholar] [CrossRef]
- Murthy, P.A.; Boettcher, I.; Bayha, L.; Holzmann, M.; Kedar, D.; Neidig, M.; Ries, M.G.; Wenz, A.N.; Zurn, G.; Jochim, S. Observation of the Berezinskii-Kosterlitz-Thouless Phase Transition in an Ultracold Fermi Gas. Phys. Rev. Lett. 2015, 115, 010401. [Google Scholar] [CrossRef] [PubMed]
- Bighin, G.; Salasnich, L. Vortices and antivortices in two-dimensional ultracold Fermi gases. Sci. Rep. 2017, 7, 45702. [Google Scholar] [CrossRef] [PubMed]
- Ozawa, T.; Stringari, S. Discontinuities in the First and Second Sound Velocities at the Berezinskii-Kosterlitz-Thouless Transition. Phys. Rev. Lett. 2014, 112, 025302. [Google Scholar] [CrossRef] [PubMed]
- Bighin, G.; Cappellaro, A.; Salasnich, L. Unitary Fermi superfluid near the critical temperature: Thermodynamics and sound modes from elementary excitations. Phys. Rev. A 2022, 105, 063329. [Google Scholar] [CrossRef]
- Sattin, F.; Salasnich, L. Collisionless sound of bosonic superfluids in lower dimensions. Phys. Rev. A 2021, 103, 043324. [Google Scholar]
- Ville, J.L.; Saint-Jalm, R.; Cerf, E.L.; Aidelsburger, M.; Nascimbene, S.; Dalibard, J.; Beugnon, J. Sound Propagation in a Uniform Superfluid Two-Dimensional Bose Gas. Phys. Rev. Lett. 2018, 121, 145301. [Google Scholar] [CrossRef] [PubMed]
- Ota, M.; Larcher, F.; Dalfovo, F.; Pitaevskii, L.; Proukakis, N.P.; Stringari, S. Collisionless Sound in a Uniform Two-Dimensional Bose Gas. Phys. Rev. Lett. 2018, 121, 145302. [Google Scholar] [CrossRef] [PubMed]
- Cappellaro, A.; Toigo, F.; Salasnich, L. Collisionless dynamics in two-dimensional bosonic gases. Phys. Rev. A 2018, 98, 043605. [Google Scholar] [CrossRef]
- Hu, H.; Yao, X.-C.; Liu, X.-J. Second sound with ultracold atoms: A brief historical account. arXiv 2022, arXiv:2206.05914. [Google Scholar]
Publisher’s Note: MDPI stays neutral with regard to jurisdictional claims in published maps and institutional affiliations. |
© 2022 by the authors. Licensee MDPI, Basel, Switzerland. This article is an open access article distributed under the terms and conditions of the Creative Commons Attribution (CC BY) license (https://creativecommons.org/licenses/by/4.0/).