Abstract
The spectral graph theory explores connections between combinatorial features of graphs and algebraic properties of associated matrices. The neighborhood inverse sum indeg () index was recently proposed and explored to be a significant molecular descriptor. Our aim is to investigate the index from a spectral standpoint, for which a suitable matrix is proposed. The matrix is symmetric since it is generated from the edge connection information of undirected graphs. A novel graph energy is introduced based on the eigenvalues of that matrix. The usefulness of the energy as a molecular structural descriptor is analyzed by investigating predictive potential and isomer discrimination ability. Fundamental mathematical properties of the present spectrum and energy are investigated. The spectrum of the bipartite class of graphs is identified to be symmetric about the origin of the real line. Bounds of the spectral radius and the energy are explained by identifying the respective extremal graphs.
MSC:
05C50; 11F72; 05C92
1. Introduction
Throughout this paper, we consider finite, simple, and undirected graphs. Let G be a graph of order n and size m whose node and edge sets are and , respectively. If two nodes , are linked by an edge, then we represent it as . By we mean the set of vertices connected to (i.e., neighbors of ). Clearly, the degree of a node , denoted as is equal to . Let . We refer to as the neighborhood degree sum of .
Topological indices are numerical quantities derived from the molecular graph that remain invariant for isomorphic graphs. Hundreds of topological indices have been proposed and researched in the literature of mathematical chemistry due to their extensive applications in structure–property and structure–activity modeling, beginning in 1947 when the distance-based Wiener index was found to model the boiling point of paraffin []. The journey of degree-based indices was started through Zagreb indices [] to provide quantitative measures of molecular branching, which led to a significant variety of such useful indices []. The goal of designing a novel descriptor is to obtain higher accuracy in modeling molecular properties than previously available descriptors. Due to significant impact in describing various features of molecule, researchers are paying close attention to neighborhood degree sum-based descriptors [,,,,,]. Their application potential in predicting the physico-chemical properties of molecule and isomer discrimination are investigated in [,,]. The neighborhood inverse sum indeg () index is one such descriptor, which appeared in 2019 [] but was established as an effective structural descriptor in 2020 []. Its formulation is as follows:
Spectral graph theory [] is an attractive research area that finds the relation between the combinatorial properties of graphs and the algebraic properties of associated matrices, as well as applications of those connections. More broadly, it searches for the link between the discrete universe and the continuous one by employing geometric, analytic, and algebraic techniques. For a graph G, the conventional adjacency matrix, denoted as , is one of the effective tools in this domain. The -element of is 1 when , and 0 elsewhere. Its characteristic polynomial is , where is the identity matrix. Since is real and symmetric, one can arrange its eigenvalues as . The multiset is known as the A-spectrum of G, which is referred to as . Gutman initiated an excellent research direction based on the A-spectrum in 1978 when he introduced graph energy [], which was gradually recognized, and now it occupies a massive area in mathematical chemistry and algebraic graph theory. Initially, it was found to explain the total -electron energy, and it was later established as a significant molecular structure descriptor [,,]. The energy is the sum of absolute A-eigenvalues of G. A significant amount of research has been conducted on this idea []. Following the potential applications of the A-spectrum, numerous topological indices were investigated from a spectral perspective by modifying the classical adjacency matrix accordingly [,,,,,,,,,,]. Zhou and Trinajstić [] introduced the matrix corresponding to the sum-connectivity index and studied associated energy in 2010. In 2015, Rodriguez and Sigarreta [,] investigated the spectral properties of the geometric–arithmetic index. Mondal et al. [] presented chemical significance of some eigenvalue-based indices. In 2018, Rad et al. [] introduced the Zagreb energy and derived its crucial bounds with characterizing extremal graphs. The spectral behavior of the Sombor index was recently reported in []. The spectral properties of inverse sum indeg () index were recently studied [,] for which the matrix was defined, whose -element is when , and 0 otherwise. Usually, the inverse sum indeg energy () is defined as the sum of absolute eigenvalues of the matrix. Interesting mathematical features of were explored by Hafeez and Farooq []. Recently, Ye and Li [] identified equienergetic graphs with respect to . The major goal of the present work is to study the index in a spectral approach. Our main tool for such investigation is an appropriate matrix, named -matrix, denoted by , whose -entry is as follows:
The -characteristic polynomial of G is expressed as . Let be the complete list of roots of . Since is real and symmetric, are also real and we can arrange them in non-increasing order as . The collection is termed as -spectrum of G, and is represented by . We call the -spectral radius of G. In accordance with the general concepts by which the energy idea is adapted to different graph-theoretical matrices, the neighborhood inverse sum indeg energy () is defined as
The main focus of this research is to explore the chemical significance of the energy and to demonstrate crucial mathematical attributes of the -spectral radius and energy. The -spectrum is observed to be symmetric about the origin for the bipartite graph. We will now describe some terms and symbols that will be utilized all through the paper. For minimum and maximum degrees, we use and , respectively. If and for some natural number r, then G is known as r-regular. To represent the path, cycle, star and complete graphs having n nodes, we consider , , and , respectively. Let G be bipartite with the partition of the node set as . If , and all nodes belonging to the same node set have equal degree, then G is known as -semiregular bipartite. We use to represent the complete bipartite graph whose vertices are partitioned into two sets having nodes. To represent strongly regular graph of order n, we consider . It is an r regular graph having the following property: if , then , else .
We can construct the remaining portion of the report in the following manner. The following section explains the pseudocode that can be used to expedite the computation. The contributions of and as molecular structural descriptors are examined in Section 3. In Section 4, crucial bounds for the -spectral radius are evaluated by recognizing the graphs for which the bound attains. In Section 5, the bounds of energy are computed. With some decisive remarks, the paper is concluded in Section 6.
2. Computational Methodology
A MATLAB code is developed to compute the energy in an efficient manner, the algorithm for that is described here (see Algorithm 1). In MATLAB, the declaration of variables is not needed. We used S and to contain the and matrices, respectively. To store the degree and neighborhood degree sum of nodes, d, and are considered, respectively. The and spectrum are stored in and , respectively.
Algorithm 1 Computational procedure of -spectrum, -spectrum, and energies. |
|
To examine the predictive capability of the energies, linear regression models are built. The statistical parameters are generated by MATLAB and excel statistical functions. The graphical representations are made using the MATLAB plotting library. The external validation of derived models is performed using Python sklearn and the Pandas library on Jupiter notebook IDE.
3. Significance as Structural Descriptor
A great variety of graph energy variants have been proposed in the literature to date [,,,,,]. The majority of these were introduced haphazardly, with no motivation or attempt to apply the novel energy in chemistry (or anywhere else). The present work is a happy exception to this trend. The inverse sum indeg energy was first presented by Zangi et al. [] and some mathematical study of that energy was later performed in [,]. However, no attention was paid to investigating the role of as a regulator of molecular properties. Here, we aim to examine the acceptability of , energies as potential structural descriptors. To assess the chemical significance of a graph invariant, the invariant should always be correlated with the experimental properties of a benchmark data set. We perform regression analysis considering two types of data sets: octane isomers and benzenoid hydrocarbons. The theoretical values of the energies for chemical compounds are computed by means of in-house MATLAB code. The experimental properties of octanes [,,] are correlated with and energies. Unfortunately, no notable correlation is found for both energies. To enhance the skill of these energies in modeling physico-chemical properties, we devise a linear model:
where k is the fitting parameter running from −20 to 20. Surprisingly, a major improvement is found when the model (1) is correlated with different properties of octanes. We propose to investigate the following model:
In the above model, and denote property, intercept, standard error of coefficients, slope, and molecular descriptor, respectively. In addition to the model (2), we intend to examine some more parameters, such as the correlation coefficient (r), standard error of the model (), the F-test (F), and the significance F (). The regression equations for model (1) by the relation (2) are as follows:
Ramane et al. [] explored the linear dependence of -electron energy () on some degree-based descriptors for benzenoid hydrocarbons. We correlated the and energies with the same attribute for the same set of hydrocarbons. Now in view of (2), the following models are generated for benzenoid hydrocarbons:
We have correlated the and energies with bp for the set of benzenoid hydrocarbons used by Ramane and Yalnaik [] also for distance-based descriptors. In view of Equation (2), the following models for bp are obtained.
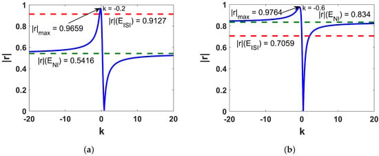
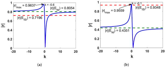
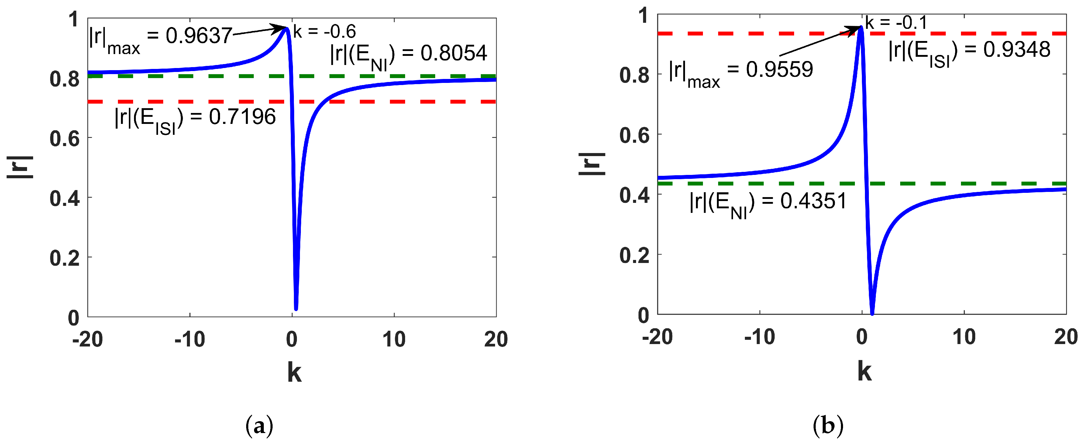
When we go through the models (3)–(12), several interesting remarks can be drawn. The lower the values, the more certain one can be about the regression model. The models (3), (4), (6), (9) and (10) have very small . The models (9) and (10) have remarkably good F-values. A model is considered statistically reliable when the value is less than 0.05. Each of the models yields that is considerably lower than 0.05. The variations of absolute correlation coefficients () of the model (1) for varying k are depicted in Figure 1, Figure 2 and Figure 3. The solid blue line represents the variation of values with k. The dashed red and green lines indicate the values of and , respectively, for respective properties.

Figure 1.
Plotting of versus k for (a) DHVAP and (b) AF of octanes.

Figure 2.
Plotting of versus k for (a) S and (b) HVAP of octanes.

Figure 3.
Plotting of versus k for (a) bp and (b) CT of octanes.
From Figure 1, Figure 2 and Figure 3, it is apparent that the individual contributions of and in predicting different physico-chemical properties are not satisfactory, but their linear combination (1) reaches a sharp maximum for standard enthalpy of vaporization (DHVAP), acentric factor (AF), entropy (S), enthalpy of vaporization (HVAP) and heat capacity at T constant (CT) at , respectively. For bp, the red line touches the maximum point of the blue line at . Correlation of with and for benzenoid hydrocarbons is shown in Figure 4. The for both of them are significantly high, in fact, quite close to the optimal value.

Figure 4.
Correlation of and with for 30 benzenoid hydrocarbons.
The correlation of and with for benzenoid hydrocarbons is shown in Figure 5. The efficacy of both of them is remarkable in predicting , outperforming the distance-based invariants reported on [].

Figure 5.
Correlation of and with for 21 benzenoid hydrocarbons.
Our models performed well in terms of accuracy; however, external validation is essential to truly evaluate the predictability of models. For this, we consider the nonane isomers of 35 compounds. Since the model (1) yields the best performance in describing the acentric factor of octanes, we decide to perform external validation for . The experimental values of are collected from the chemical database []. Using the Python sklearn library, the data collection is randomly split into training () and test () sets. The training set produces the following model (13) fitting parameters, which reveal significant predictive potential. The linear fitting of model (13) is depicted in Figure 6a.

Figure 6.
(a) Linear fitting of with the model (1) for training set; (b) correlation between experimental and predicted .
The accuracy of the model (13) is found to be for the test set, which assures that our model is in good agreement with the experimental data. The relation between experimental and predicted acentric factors is shown graphically in Figure 6b. The correlation of and with the boiling point of benzenoid hydrocarbons are found to be quite strong; however, when examined with external data, no meaningful outcome is observed.
The ultimate focus of a molecular descriptor is to estimate structure–property/structure–activity relationships. However, in order to encrypt as many structural characteristics of a molecule as possible, one well-descriptor should distinctively categorize each graph. The majority of descriptors have the disadvantage of producing the same descriptor for different isomers. Such a flaw is called degeneracy. The measure of degeneracy [], known as sensitivity, is defined as
If is the collection of all considered isomers, then . By , we mean that the descriptor is incapable of discriminating elements belonging to . A descriptor’s potential to discriminate between isomers is directly proportional to . The of some mostly used descriptors are reported in [] that ranges from 0.333 to 0.889. The and energies, on the other hand, exhibit very good isomer discriminatory strength, having . Consequently, the present energies perform better than existing descriptors in isomer discrimination. To examine how and are independent, correlation among , , E, Laplacian energy () and the Estrada index () is obtained in Table 1. It yields that is independent among five invariants reported in Table 1, as for is remarkably lower than others.

Table 1.
Correlation coefficients among , , E, and .
4. Bounds for -Spectral Radius
Consider as the p-th spectral moment of , for a graph G, i.e., , where . It is clear that . For convenience, the value of an edge is formulated as
After performing some straightforward derivations on the entries of , we obtain the following result:
Lemma 1.
For a graph G with n nodes, we have
- (i)
- ,
- (ii)
- ,
- (iii)
- ,
- (iv)
- ,
- (v)
- .
Proof.
Results (i), (ii) and (iii) directly follow from the construction of . We prove parts (iv) and (v). For , we have
Note that,
Thus, we obtain
Hence, part (iv) is done.
Now, we have
This completes the proof. □
Lemma 2
([]). If is an symmetric matrix with leading submatrix , then
where and is the i-th largest eigenvalue of .
Consider a r-regular graph G. Then and . Thus, and for . In particular, . Then and for as .
Lemma 3.
For a graph G with n nodes, we have if or .
Proof.
For , we obtain . For , we obtain . Otherwise, and . Since , then G has at least one edge and hence and as . Again since , then there are at least two vertices in G that are not adjacent. Without loss of generality, one can assume that is not adjacent to . Let be the leading submatrix of corresponding to the vertices and . Then . By Lemma 2, we obtain
a contradiction, as . □
The necessary and sufficient condition for a graph to be bipartite is that its A-spectrum is symmetric about the origin []. As a consequence, we can state the following result.
Theorem 1.
A graph G is bipartite if its -spectrum is symmetric about the origin on the real line.
Theorem 2.
For a graph G of order n with neighborhood inverse sum indeg index , we obtain
where is given by Lemma 1. The right equality occurs if or . If G is regular, then the left equality holds.
Proof. Lower Bound:
Let us consider . Then by the Rayleigh–Ritz principle, we obtain
Suppose that G is a r-regular graph. Then, and hence . We have . Since , we obtain
Upper Bound: Since , by the Cauchy–Schwarz inequality, we obtain
that is,
from which the required result follows. The equality appears if , i.e., if or , by Lemma 3. □
Corollary 1.
For a graph G of n nodes with maximum degree Δ and the neighborhood inverse sum indeg index , we obtain
where equality occurs if or .
Proof.
For any edge , we obtain
with equality if and only if , that is, if and only if for all . Using the above result, we obtain
With this result with the upper bound in Theorem 2, we obtain the desired result. Moreover, the equality occurs if or , by Theorem 2. □
Corollary 2.
For a graph G with n nodes, m edges and maximum degree Δ, we have
with equality if or .
Proof.
By (15), we obtain and from Corollary 1, we obtain the desired result. The equality appears if or . □
Corollary 3.
For a graph G with n nodes and m edges, we have
where equality appears if or .
Corollary 4.
For a graph G with n nodes, we obtain
where equality holds if .
Corollary 5.
Let G be a graph of order n. Then
where equality appears if or .
Proof.
Since
we obtain
Since , from the above result, we obtain
Lemma 4
([]). If B is a symmetric matrix with spectral radius then for any ,
with equality holding if is an eigenvector of B corresponding to the largest eigenvalue .
Theorem 3.
For a graph G with maximum and minimum degrees Δ and δ, respectively, we have
where both equalities hold if G is regular.
Proof.
Let be a unit eigenvector corresponding to of . Then
For any , we obtain
where equality occurs if , that is, if for all . Using this result with Lemma 4, we obtain
by (18). Moreover, the above equality occurs if G is a regular graph.
Let be a unit eigenvector corresponding to of . Then by Lemma 4, we obtain
by (15). Moreover, the above equality holds if G is regular. □
Corollary 6.
For a graph G with maximum and minimum degrees Δ and δ, respectively, we have
where both equalities hold if G is regular.
Proof.
Since , from Theorem 3, we obtain the desired result. Moreover, both equalities hold if G is regular. □
Corollary 7.
If G is a graph with maximum degree Δ and minimum degree δ, then we have
where left-hand equality occurs if G is regular, and right-hand equality appears if or .
Proof.
We have []. Using this in Theorem 3, we get a lower bound. The left equality occurs if G is regular.
Again note that , where equality occurs if or []. Using this in Theorem 3, we obtain an upper bound. Moreover, the right equality appears if or . □
If t is the number of distinct eigenvalues of adjacency matrix and d is the diameter of a graph G, then []. As a consequence, we can state the following result.
Lemma 5.
Let d be the diameter of G. Then the number of distinct eigenvalues of is at least .
Lemma 6
([]). Let M be a non-negative irreducible symmetric matrix possessing exactly two distinct eigenvalues. Then , where s is a column vector containing positive elements and .
Theorem 4.
For a graph G having n (≥2) nodes, we obtain
where equality appears if or G is complete bipartite with possibly isolated nodes.
Proof.
Lemma 1 yields , that is, , which implies that . It is obvious to say that the equality occurs for an empty graph. Let G be non-empty, and the equality holds. Thus, contains exactly two non-zero eigenvalues, and . It implies that G has exactly one component, say of order . Let
be the spectrum of . If , then remaining components are isolated nodes. Let be not a bipartite graph. When p is equal to 2, is complete bipartite. When ,
which is a contradiction. Thus, p is greater or equal to 4. Apparently, is irreducible and
Thus from Lemma 6, we have where s is a column vector containing positive elements and . We must have an orthogonal matrix M for which , as is orthogonally diagonalizable. Let . Then, . Now, , which implies , , a contradiction. Consequently, is bipartite. Lemma 5 assures that the diameter of is ≤ 2, i.e., is complete bipartite when . Thus, G is complete bipartite with possibly isolated vertices.
For the converse part, we have the spectrum of as follows
Thus, , that is, the equality in (19) occurs. □
Lemma 7.
For a connected graph G, if G is complete or complete bipartite.
Proof.
Suppose that . We have to prove that or . For , holds. For , holds. Otherwise, and . Since , then employing the same logic as that of the proof of Lemma 3, we can write . First we assume that . Then for all . Since , we immediately have , a contradiction. Next we assume that . Consequently, for all . Since , we must have . Thus, G is bipartite and has exactly three distinct eigenvalues. Lemma 5 yields that the diameter of G is at most 2, and hence it is complete bipartite, a contradiction. This completes the proof of the theorem. □
Theorem 5.
For a connected graph G having nodes, we have
The equality appears if G is complete or complete bipartite.
Proof.
As a consequence of Lemma 1, we have
Corollary 8.
For a graph G having nodes and maximum degree Δ, we obtain
The equality appears if .
Proof.
In view of (20), construct a function . Now, we obtain
One can easily check that is an increasing function. Note that with equality if G is complete. Consequently, , where equality occurs if . Therefore, we obtain
Moreover, it is clear that with equality holds if . Applying this fact on (24), the desired result follows immediately, where the equality occurs if G is complete. □
5. On NI Energy
We start this section with some simple properties of that follows immediately from the definition of and . Then we will move for establishing some upper and lower bounds of .
Lemma 8
([]). For a connected , we have
where,
Theorem 6.
For a graph G of order with no isolated nodes, we have
- (i)
- , when G is r-regular. Particularly, and . When G is connected , we have
- (ii)
- , when G is -semiregular bipartite. Particularly, , where . Additionally, we have .
Proof.
(i) Let G be r-regular. Then, we have . Consequently, , which implies that . For , and , which gives . Additionally, is regular of degree 2 and , which yields the NI energy of . When G is connected , then in view of Lemma 8, we immediately obtain , , , from which the desired energy follows from Lemma 8.
(ii) Note that and , when G is -semi-regular bipartite. Thus, . In particular, , which yields . As , we have . □
Let be the family of all non-complete connected strongly regular graph with two non-trivial adjacency eigenvalues both with absolute value k and be the family of all non-complete connected strongly regular graph with two non-trivial -eigenvalues both with absolute value k.
Lemma 9
([]). If G is a graph with n nodes and m edges with , then
where equality appears if or or .
Lemma 10.
Let G be a r-regular graph of order n. Then
where equality occurs if or or .
Proof.
By Theorem 6 and Lemma 9, we obtain
Moreover, the equality appears if or or , by Lemma 9. □
Theorem 7.
Let G be a graph of order n. Then
where equality occurs if or or or .
Proof.
Since , we obtain where equality appears if G is regular. By the Cauchy–Schwarz inequality, we obtain
Let us consider a function
One can easily check that is a decreasing function on x and hence
Since , we obtain
Let the equality be satisfied in (25). From the equality in (27), G is regular. Consider G to be r-regular. If , then and hence . Otherwise, . Now,
as (m is the number of edges). By Lemma 10, or or . From the equality in (26), we obtain , which satisfies the above-mentioned graphs.
Conversely, let . Thus we have
Let . Then we have and . Thus
Let . Then and . Hence
Let (where r is the degree of the vertices of strongly regular graph). Then and . Hence
□
Corollary 9.
For a graph G with n nodes, we obtain
where equality appears if or or , where and r is the degree of the vertices of a strongly regular graph.
Proof.
Let us consider a function
Then
One can easily check that is an increasing function on and a decreasing function on as
Using the above result in (25), we obtain
The equality occurs in (28) if , and or or or (where r is the degree of the vertices of strongly regular graph), that is, if or or , where and r is the degree of the vertices of strongly regular graph. □
Remark 1.
, where and r is the degree of the vertices of strongly regular graph. Then the graph G exists, for example, or .
Lemma 11
([]). Let and be real numbers for which there exist real constants r and R so that for each holds . Then
where equality occurs if for at least one i, holds .
For the proof of the following theorem, we assume that . Here, we give a lower bound on in terms of , , and the second largest eigenvalue in magnitude .
Theorem 8.
If G is a graph containing n nodes and at least one edge, we obtain
where equality occurs if (n is even) or or .
Proof.
Setting , , with , , from (30), we obtain
as . Moreover, the above equality is satisfied if .
Claim 1.
where equality appears if or .
Proof of Claim 1.
Otherwise, and . Since , we obtain
that is,
that is,
the inequality in (32) strictly holds. This proves the Claim 1.
Since
we have
The above equality appears if . Using this result, we obtain
where equality appears if G is a regular graph. Using (32) in (31), we obtain
with equality if .
Let us consider a function
Then
Thus is a strictly decreasing function on and hence
The first part of the proof is done. □
Suppose that equality holds in (30). Then all inequalities in the above argument must be equalities. From the above, we conclude that G is a r-regular graph, (say), and . Since , we obtain
as ( is the i-th eigenvalue of graph G). If , then . Otherwise, . Then there exists two vertices and in G are not adjacent and hence for some i. Since , we must have three distinct -eigenvalues of graph G and hence three distinct adjacency eigenvalues of graph G. If G is connected, then G is a strongly regular graph. Hence, . Otherwise, G is disconnected. Since there are no zero -eigenvalues in G, each connected component in G contains at least two vertices. Since G is a r-regular graph with at least two connected components, then and hence . If , then (n is even). Otherwise, . Then there are at least three vertices in each connected component in G. Suppose is a connected component in G with vertices. If , then , a contradiction as . Otherwise, . Then the largest and the second-largest -eigenvalues are not equal to for some i, a contradiction.
Conversely, let (n is even). Then , and . Hence
Let . Then , and . Hence
Let . Then , . Moreover, and . Hence
This completes the proof of the theorem. □
Since , from the above theorem, we obtain the following result.
Corollary 10.
Let G be a graph of order n with at least one edge. Then
where equality appears if (n is even) or or .
Corollary 11.
Let G be a graph with n nodes and at least one edge. Then
with equality if is even).
6. Concluding Remarks
In this report, the spectral properties of index were studied by introducing a a symmetric matrix. The chemical applicability of and was examined by octane and benzenoid compounds. In the case of octanes, a linear model of two energies was devised, which enhances the predictability of both energies. When benzenoid data sets are taken into consideration, the energies sound good individually. In fact, their correlation is better than some well-established descriptors in the case of modeling . External validation of generated models was done, and model (1) appears to be effective for the acentric factor. The isomer discrimination ability of these energies was found to be remarkable compared to well-known descriptors. Both energies were demonstrated as effective molecular descriptors, yet if we look at Table 1, then seems to be more distinctive than , which strengthens the meaning of considering as a molecular descriptor. The mathematical study of the energy and -spectral radius was performed by finding the tight upper and lower bounds in terms of graph order, graph size, maximum degree, and minimum degree. Extremal graphs that attain the bounds were also identified. It was established that among all graphs of order n, possesses the maximum -spectral radius.
A considerable amount of graph energy variants have appeared in the literature. However, very few of them investigated from the application point of view. The usefulness of Sombor energy was investigated by creating regression models in the case of octanes and benzenoid hydrocarbons []. Wang et al. [] considered the same data sets to examine the application potential of eccentricity-based energy. In addition to establishing and in structure–property modeling, an external validation was also performed to accurately analyze the constructed models, which was not considered in the former works. We split the data into training and test sets for external validation by Python machine learning. Another quality of a descriptor is to discriminate isomers. The present energies were found to have remarkable isomer discrimination ability. This feature of descriptors was not taken into account in the former works.
Future research directions on this concept could include deriving critical bounds and identifying corresponding extremal graphs of the energy and -spectral radius for important classes of graphs, such as tree, unicyclic, bicyclic, and tricyclic graphs, among others.
Author Contributions
Conceptualization, S.M., K.C.D.; investigation, S.M., A.P., K.C.D.; writing-original draft preparation, S.M., B.S., K.C.D.; writing-review and editing, S.M., B.S., A.P., K.C.D.; project administration, A.P., K.C.D. All authors have read and agreed to the published version of the manuscript.
Funding
S. Mondal is very obliged to the Department of Science and Technology (DST), Government of India for the Inspire Fellowship [IF170148]. K. C. Das is supported by National Research Foundation funded by the Korean government (Grant No. 2021R1F1A1050646).
Data Availability Statement
Not applicable.
Acknowledgments
The authors are much grateful to two anonymous referees for their valuable comments on our paper, which have considerably improved the presentation of this paper.
Conflicts of Interest
The authors declare that there is no conflict of interest.
References
- Wiener, H. Structural determination of paraffin boiling points. J. Am. Chem. Soc. 1947, 69, 17–20. [Google Scholar] [CrossRef] [PubMed]
- Gutman, I.; Trinajstić, N. Graph theory and molecular orbitals. total π-electron energy of alternant hydrocarbons. Chem. Phys. Lett. 1972, 17, 535–538. [Google Scholar] [CrossRef]
- Gutman, I. Degree-based topological indices. Croat. Chem. Acta 2013, 86, 351–361. [Google Scholar] [CrossRef]
- Ali, A.; Doslić, T. Mostar index: Results and perspectives. Appl. Math. Comput. 2021, 404, 126245. [Google Scholar] [CrossRef]
- Boregowda, H.S.; Jummannaver, R.B. Neighbors degree sum energy of graphs. J. Appl. Math. Comput. 2021, 67, 579–603. [Google Scholar] [CrossRef]
- Ghorbani, M.; Hosseinzadeh, M.A. The third version of Zagreb index. Discret. Math. Algorithms Appl. 2013, 5, 1350039. [Google Scholar] [CrossRef]
- Hua, H.; Das, K.C. Comparative results and bounds for the eccentric-adjacency index. Discret. Appl. Math. 2020, 285, 188–196. [Google Scholar] [CrossRef]
- Hua, H.; Das, K.C.; Wang, H. On atom-bond connectivity index of graphs. J. Math. Anal. 2019, 479, 1099–1114. [Google Scholar] [CrossRef]
- Reti, T.; Ali, A.; Varga, P.; Bitay, E. Some properties of the neighborhood first Zagreb index. Discret. Math. Lett. 2019, 2, 10–17. [Google Scholar]
- Mondal, S.; De, N.; Pal, A. On neighborhood Zagreb index of product graphs. J. Mol. Struct. 2021, 1223, 129210. [Google Scholar] [CrossRef] [PubMed]
- Mondal, S.; Dey, A.; De, N.; Pal, A. QSPR analysis of some novel neighbourhood degree-based topological descriptors. Complex Intell. Syst. 2021, 7, 977–996. [Google Scholar] [CrossRef]
- Mondal, S.; De, N.; Pal, A. Neighborhood degree sum-based molecular descriptors of fractal and Cayley tree dendrimers. Eur. Phys. J. Plus 2021, 136, 303. [Google Scholar] [CrossRef] [PubMed]
- Verma, A.; Mondal, S.; De, N.; Pal, A. Topological properties of bismuth triiodide using neighborhood M-polynomial. Int. J. Math Trends Technol. 2019, 65, 2104–2116. [Google Scholar]
- Cvetković, D.; Doob, M.; Sachs, H. Spectra of Graphs Theory and Application; Academic Press: New York, NY, USA, 1980. [Google Scholar]
- Gutman, I. The energy of a graph. Ber. Math. Statist. Sekt. Forsch. Graz 1978, 103, 1–22. [Google Scholar]
- Li, X.; Shi, Y.; Gutman, I. Graph Energy; Springer: New York, NY, USA, 2012. [Google Scholar]
- Zhou, B. On the spectral radius of non negative matrices. Australas. J. Comb. 2000, 22, 301–306. [Google Scholar]
- Coulson, C.A. On the calculation of the energy in unsaturated hydrocarbon molecules. Proc. Camb. Phil. Soc. 1940, 36, 201–203. [Google Scholar] [CrossRef]
- Kober, H. On the arithmetic and geometric means and on Hölders inequality. Proc. Amer. Math. Soc. 1958, 9, 452–459. [Google Scholar]
- Das, K.C.; Kumar, P. Bounds on the greatest eigenvalue of graphs. Indian Jour. Pure Appl. Math. 2003, 34, 917–925. [Google Scholar]
- Milovanović, E.I.; Milovanović, I.Z.; Matejić, M.M. Remark on spectral study of the geometric-arithmetic index and some generalizations. Appl. Math. Comput. 2018, 334, 206–213. [Google Scholar] [CrossRef]
- Nath, R.K.; Fasfous, W.N.T.; Das, K.C.; Shang, Y. Common neighborhood energy of commuting graphs of finite groups. Symmetry 2021, 13, 1651. [Google Scholar] [CrossRef]
- Rakshith, B.R.; Das, K.C.; Sriraj, M.A. On (distance) signless Laplacian spectra of graphs. J. Appl. Math. Comput. 2021, 67, 23–40. [Google Scholar] [CrossRef]
- Rather, B.A.; Aouchiche, M.; Imran, M.; Pirzada, S. On arithmetic-geometric eigenvalues of graphs. Main Group Met. Chem. 2022, 45, 111–123. [Google Scholar] [CrossRef]
- Rather, B.A.; Ali, F.; Ullah, A.; Fatima, N.; Dad, R. On Aγ eigenvalues of zero divisor graphs of integer modulo and Von Neumann regular rings. Symmetry 2022, 14, 1710. [Google Scholar] [CrossRef]
- Redžepović, I.; Radenković, S.; Furtula, B. Effect of a Ring onto Values of Eigenvalue-Based Molecular Descriptors. Symmetry 2021, 13, 1515. [Google Scholar] [CrossRef]
- Vijayan, S.N.; Kishore, A. C-graphs—A Mixed Graphical Representation of Groups. WSEAS Trans. Math. 2021, 20, 569–580. [Google Scholar] [CrossRef]
- Vieira, L. Euclidean Jordan Algebras and Some New Inequalities Over the Parameters of a Strongly Regular Graph. WSEAS Trans. Math. 2022, 21, 659–665. [Google Scholar] [CrossRef]
- Huang, X.; Das, K.C. Proof of a conjecture on communicability distance sum index of graphs. Linear Algebra Appl. 2022, 645, 278–292. [Google Scholar] [CrossRef]
- Zhou, B.; Trinajstić, N. On sum-connectivity matrix and sum-connectivity energy of (molecular) graphs. Acta Chim. Slov. 2010, 57, 518–523. [Google Scholar]
- Rodriguez, J.M.; Sigarreta, J.M. Spectral properties of geometric-arithmetic index. Appl. Math. Comput. 2016, 277, 142–153. [Google Scholar] [CrossRef]
- Rodriguez, J.M.; Sigarreta, J.M. Spectral study of the geometric-arithmetic Index. MATCH Commun. Math. Comput. Chem. 2015, 74, 121–135. [Google Scholar]
- Mondal, S.; De, N.; Pal, A. A note on some novel graph energies. MATCH Commun. Math. Comput. Chem. 2021, 86, 663–684. [Google Scholar]
- Rad, N.J.; Jahanbani, A.; Gutman, I. Zagreb Energy and Zagreb Estrada Index of Graphs. MATCH Commun. Math. Comput. Chem. 2018, 79, 371–386. [Google Scholar]
- Liu, H.; You, L.; Huang, Y.; Fang, X. Spectral properties of p-Sombor matrices and beyond. MATCH Commun. Math. Comput. Chem. 2022, 87, 59–87. [Google Scholar] [CrossRef]
- Bharali, A.; Mahanta, A.; Gogoi, I.J.; Doley, A. Inverse sum indeg index and ISI matrix of graphs. J. Discret. Math. Sci. Cryptogr. 2020, 23, 1315–1333. [Google Scholar] [CrossRef]
- Zangi, S.; Ghorbani, M.; Eslampour, M. On the eigenvalues of some matrices based on vertex degree. Iranian J. Math. Chem. 2018, 9, 149–156. [Google Scholar]
- Hafeez, S.; Farooq, R. Inverse sum indeg energy of graphs. IEEE Access 2019, 7, 100860–100866. [Google Scholar] [CrossRef]
- Ye, Q.; Li, F. ISI-Equienergetic Graphs. Axioms 2022, 11, 372. [Google Scholar] [CrossRef]
- Randić, M.; Guo, X.; Oxley, T.; Krishnapriyan, H.; Naylor, L. Wiener matrix invariants. J. Chem. Inf. Comput. Sci. 1994, 34, 361–367. [Google Scholar] [CrossRef]
- Rumble, J.R.; Bruno, T.J.; Doa, M. CRC Handbook of Chemistry and Physics: A Ready-Reference Book of Chemical and Physical Data; CRC Press: Boca Raton, FL, USA, 2020. [Google Scholar]
- Ramane, H.S.; Joshi, V.B.; Jummannaver, R.B.; Shindhe, S.D. Relationship between Randić index, sum-connectivity index, Harmonic index and π-electron energy for benzenoid hydrocarbons. Natl. Acad. Sci. Lett. 2019, 42, 519–524. [Google Scholar] [CrossRef]
- Ramane, H.S.; Yalnaik, A.S. Status connectivity indices of graphs and its applications to the boiling point of benzenoid hydrocarbons. J. Appl. Math. Comput. 2017, 55, 609–627. [Google Scholar] [CrossRef]
- Ethermo Calculation Platform. Available online: http://www.ethermo.us/default.aspx (accessed on 10 October 2021).
- Konstantinova, E.V. The discrimination ability of some topological and information distance indices for graphs of unbranched hexagonal systems. J. Chem. Inf. Comput. Sci. 1996, 36, 54–57. [Google Scholar] [CrossRef]
- Schott, J.R. Matrix Analysis for Statistics; Wiley: New York, NY, USA, 1997. [Google Scholar]
- West, D.B. Introduction to Graph Theory; Prentice-Hall: Hoboken, NJ, USA, 1996. [Google Scholar]
- Zhang, F. Matrix Theory: Basic Results and Techniques; Springer: New York, NY, USA, 1999. [Google Scholar]
- Collatz, L.; Sinogowitz, U. Spektren endlicher Grafen. Abh. Math. Sem. Univ. Hambg. 1957, 21, 63–77. [Google Scholar] [CrossRef]
- Hong, Y. A bound on the spectral radius of graphs. Linear Algebra Appl. 1988, 108, 135–140. [Google Scholar]
- Brouwer, A.E.; Haemers, W.H. Spectra of Graphs; Springer: New York, NY, USA, 2010. [Google Scholar]
- Cao, D.; Chvátal, V.; Hoffman, A.J.; Vince, A. Variations on a theorem of Ryser. Linear Algebra Appl. 1997, 260, 215–222. [Google Scholar] [CrossRef]
- Koolen, J.H.; Moulton, V. Maximal energy graphs. Adv. Appl. Math. 2001, 26, 47–52. [Google Scholar] [CrossRef]
- Diaz, J.B.; Metcalf, F.T. Stronger forms of a class of inequalities of G. Pólya-G. Szegö and L. V. Kantorovich. Bull. Am. Math. Soc. 1963, 69, 415–418. [Google Scholar] [CrossRef][Green Version]
- Wang, J.; Lei, X.; Wei, W.; Luo, X.; Li, S. On the eccentricity matrix of graphs and its applications to the boiling point of hydrocarbons. Chemometr. Intell. Lab. Syst. 2020, 207, 104173. [Google Scholar] [CrossRef]
Publisher’s Note: MDPI stays neutral with regard to jurisdictional claims in published maps and institutional affiliations. |
© 2022 by the authors. Licensee MDPI, Basel, Switzerland. This article is an open access article distributed under the terms and conditions of the Creative Commons Attribution (CC BY) license (https://creativecommons.org/licenses/by/4.0/).