Dynamic Processes in a Superconducting Adiabatic Neuron with Non-Shunted Josephson Contacts
Abstract
:1. Introduction
2. Neuron Model and Research Methods
3. Results of the Analysis of Dynamic Processes
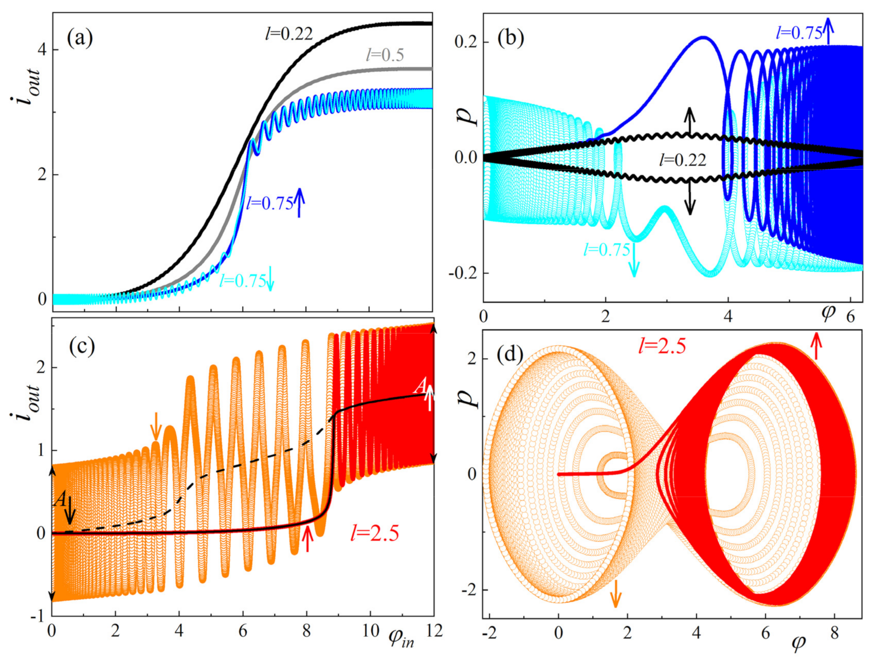
3.1. Excluding Dissipation
3.2. Influence of the Dissipation
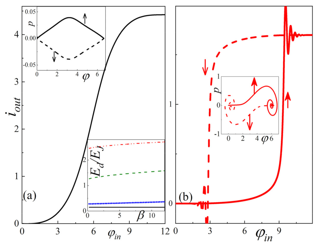
3.3. Influence of Temperature on the Dynamics of a Neuron
4. Conclusions
- Internet search using neural networks-transformers that places extremely high requirements on the hardware platform;
- Object detection in aerial and satellite images;
- Analysis of network traffic in order to ensure network information security and neutralize Internet fraud.
Author Contributions
Funding
Institutional Review Board Statement
Informed Consent Statement
Data Availability Statement
Conflicts of Interest
References
- Ishida, K.; Byun, I.; Nagaoka, I.; Fukumitsu, K.; Tanaka, T.; Kawakami, S.; Kim, J. Superconductor Computing for Neural Networks. IEEE Micro. 2021, 41, 19. [Google Scholar] [CrossRef]
- Zhou, J.; Cui, G.; Hu, S.; Zhang, Z.; Yang, C.; Liu, Z.; Wang, L.; Li, C.; Sun, M. Graph neural networks: A review of methods and applications. AI Open 2020, 1, 57–81. [Google Scholar] [CrossRef]
- Meher, P.K.; Valls, J.; Juang, T.-B.; Sridharan, K.; Maharatna, K. 50 years of CORDIC: Algorithms, architectures, and applications. IEEE Trans. Circuits Syst. 2009, 56, 1893–1907. [Google Scholar] [CrossRef] [Green Version]
- Merolla, P.A.; Arthur, J.V.; Avarez-Icaza, R.; Cassidy, A.S.; Sawada, J.; Akopyan, F.; Jackson, B.L.; Imam, N.; Guo, C.; Nakamura, Y.; et al. A million spiking-neuron integrated circuit with a scalable communication network and interface. Science 2014, 345, 668–673. [Google Scholar] [CrossRef]
- Jaderberg, M.; Simonyan, K.; Zisserman, A. Spatial transformer networks. Adv. Neural Inf. Process. Syst. 2015, 28, 2017–2025. [Google Scholar]
- Yang, J.J.; Pickett, M.D.; Li, X.; Ohlberg, D.A.A.; Stewart, D.R.; Williams, R.S. Memristive switching mechanism for metal/oxide/metal nanodevices. Nat. Nanotechnol. 2008, 3, 429–433. [Google Scholar] [CrossRef] [PubMed]
- Crotty, P.; Schult, D.; Segall, K. Josephson junction simulation of neurons. Phys. Rev. E 2010, 82, 11914. [Google Scholar] [CrossRef] [PubMed] [Green Version]
- Cheng, R.; Goteti, U.S.; Hamilton, M.C. Spiking neuron circuits using superconducting quantum phase-slip junctions. J. Appl. Phys. 2018, 124, 152126. [Google Scholar] [CrossRef] [Green Version]
- Mizugaki, Y.; Nakajima, K.; Sawada, Y.; Yamashita, T. Superconducting implementation of neural networks using fluxon pulses. IEEE Trans. Appl. Supercond. 1993, 3, 2765–2768. [Google Scholar] [CrossRef]
- Mizugaki, Y.; Nakajima, K.; Sawada, Y.; Yamashita, T. Implementation of new superconducting neural circuits using coupled SQUIDs. IEEE Trans. Appl. Supercond. 1994, 4, 1–8. [Google Scholar] [CrossRef]
- Yamanashi, Y.; Umeda, K.; Yoshikawa, N. Pseudo sigmoid function generator for a superconductive neural network. IEEE Trans. Appl. Supercond. 2013, 23, 1701004. [Google Scholar] [CrossRef] [Green Version]
- Onomi, T.; Nakajima, K. An improved superconducting neural circuit and its application for a neural network solving a combinatorial optimization problem. J. Phys. Conf. Ser. 2014, 507, 042029. [Google Scholar] [CrossRef] [Green Version]
- Ozaeta, A.; Vasenko, A.S.; Hekking, F.W.J.; Bergeret, F.S. Andreev current enhancement and subgap conductance of superconducting SFN hybrid structures in the presence of a small spin-splitting magnetic field. Phys. Rev. B 2012, 86, 060509(R). [Google Scholar] [CrossRef] [Green Version]
- Soloviev, I.I.; Klenov, N.V.; Bakurskiy, S.V.; Bol’ginov, V.V.; Ryazanov, V.V.; Kupriyanov, M.Y.; Golubov, A.A. Josephson magnetic rotary valve. Appl. Phys. Lett. 2014, 105, 242601. [Google Scholar] [CrossRef] [Green Version]
- Schneider, M.L.; Donnelly, C.A.; Russek, S.E.; Baek, B.; Pufall, M.R.; Hopkins, P.F.; Dresselhaus, P.D.; Benz, S.P.; Rippard, W.H. Ultralow power artificial synapses using nanotextured magnetic Josephson junctions. Sci. Adv. 2018, 4, e1701329. [Google Scholar] [CrossRef] [Green Version]
- Chiarello, F.; Carelli, P.; Castellano, M.G.; Torrioli, G. Artificial neural network based on SQUIDs: Demonstration of network training and operation. Supercond. Sci. Technol. 2013, 26, 125009. [Google Scholar] [CrossRef] [Green Version]
- Takeuchi, N.; Ozawa, D.; Yamanashi, Y.; Yoshikawa, N. An adiabatic quantum flux parametron as an ultra-low-power logic device. Supercond. Sci. Technol. 2013, 26, 035010. [Google Scholar] [CrossRef]
- Schegolev, A.E.; Klenov, N.V.; Soloviev, I.I.; Tereshonok, M.V. Adiabatic superconducting cells for ultra-low-power artificial neural networks. Beilstein J. Nanotechnol. 2016, 7, 1397–1403. [Google Scholar] [CrossRef] [PubMed] [Green Version]
- Soloviev, I.I.; Schegolev, A.E.; Klenov, N.V.; Bakurskiy, S.V.; Kupriyanov, M.Y.; Tereshonok, M.V.; Shadrin, A.V.; Stolyarov, V.S.; Golubov, A.A. Adiabatic superconducting artificial neural network: Basic cells. J. Appl. Phys. 2018, 124, 152113. [Google Scholar] [CrossRef] [Green Version]
- Schegolev, A.E.; Klenov, N.V.; Soloviev, I.I.; Tereshonok, M.V. Learning cell for superconducting neural networks. Supercond. Sci. Technol. 2021, 34, 015006. [Google Scholar] [CrossRef]
- Soloviev, I.I.; Ruzhickiy, V.I.; Bakurskiy, S.V.; Klenov, N.V.; Kupriyanov, M.Y.; Golubov, A.A.; Skryabina, O.V.; Stolyarov, V.S. Superconducting circuits without inductors based on bistable josephson junctions. Phys. Rev. Appl. 2021, 16, 014052. [Google Scholar] [CrossRef]
- Gorchavkina, A.A.; Bastrakova, M.V.; Klenov, N.V.; Satanin, A.M. Monte Carlo simulations of the switching processes in the superconducting quantron-based neuron. J. Phys. Conf. Ser. 2021, 1740, 012063. [Google Scholar] [CrossRef]
- Landau, L.D.; Lifshitz, E.M. Mechanics. In Course of Theoretical Physics; Butterworth-Heinemann: Oxford, UK, 1976; Volume 1, p. 224. [Google Scholar]
- Euler, H.R.; Boon, M.N.; Wildeboer, J.T.; van de Ven, B.; Chen, T.; Broersma, H.; Bobbert, P.A.; van der Wiel, W.G. A deep-learning approach to realizing functionality in nanoelectronic devices. Nat. Nanotechnol. 2020, 15, 992. [Google Scholar] [CrossRef] [PubMed]
- Goteti, U.S.; Dynes, R.C. Superconducting neural networks with disordered Josephson junction array synaptic networks and leaky integrate-and-fire loop neurons. J. Appl. Phys. 2021, 129, 073901. [Google Scholar] [CrossRef]







Publisher’s Note: MDPI stays neutral with regard to jurisdictional claims in published maps and institutional affiliations. |
© 2021 by the authors. Licensee MDPI, Basel, Switzerland. This article is an open access article distributed under the terms and conditions of the Creative Commons Attribution (CC BY) license (https://creativecommons.org/licenses/by/4.0/).
Share and Cite
Bastrakova, M.; Gorchavkina, A.; Schegolev, A.; Klenov, N.; Soloviev, I.; Satanin, A.; Tereshonok, M. Dynamic Processes in a Superconducting Adiabatic Neuron with Non-Shunted Josephson Contacts. Symmetry 2021, 13, 1735. https://doi.org/10.3390/sym13091735
Bastrakova M, Gorchavkina A, Schegolev A, Klenov N, Soloviev I, Satanin A, Tereshonok M. Dynamic Processes in a Superconducting Adiabatic Neuron with Non-Shunted Josephson Contacts. Symmetry. 2021; 13(9):1735. https://doi.org/10.3390/sym13091735
Chicago/Turabian StyleBastrakova, Marina, Anastasiya Gorchavkina, Andrey Schegolev, Nikolay Klenov, Igor Soloviev, Arkady Satanin, and Maxim Tereshonok. 2021. "Dynamic Processes in a Superconducting Adiabatic Neuron with Non-Shunted Josephson Contacts" Symmetry 13, no. 9: 1735. https://doi.org/10.3390/sym13091735
APA StyleBastrakova, M., Gorchavkina, A., Schegolev, A., Klenov, N., Soloviev, I., Satanin, A., & Tereshonok, M. (2021). Dynamic Processes in a Superconducting Adiabatic Neuron with Non-Shunted Josephson Contacts. Symmetry, 13(9), 1735. https://doi.org/10.3390/sym13091735

