Temporal Behavior of Local Characteristics in Complex Networks with Preferential Attachment-Based Growth
Abstract
:1. Introduction
- how much faster does the total degree of neighbors grow than the degree of the node itself?
- Are the variation of node degree and the variation of the total degree of its neighbors comparable?
- Do the nodes’ asymmetry coefficients differ or not?
- Do the nodes’ kurtosises differ or not?
2. Barabási–Albert Model
2.1. Notations and Definitions
- In the initial time , is a graph with and ;
- One vertex is attached to the graph, i.e., ;
- edges that connect vertex with existing vertices are added; each of these edges appears as the result of the realization of the discrete random variable that takes the value i with probability . If , then edge is added to the graph. We conduct m such independent repetitions. If the random variable takes the same value i in two or more repetitions at the iteration, then only one edge is added (there are no multiple edges in the graph).
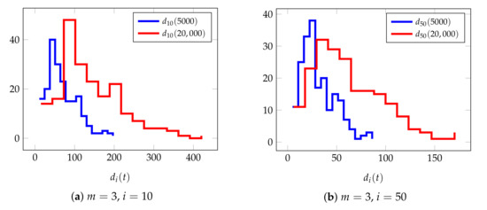
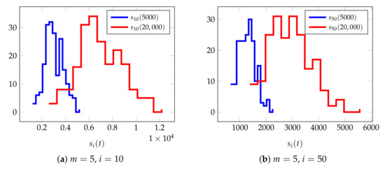
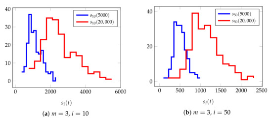
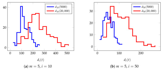
2.2. Temporal Behavior in Simulated Networks
2.3. The Evolution of the Barabási–Albert Networks
- If , then and , as the result of joining node with newborn node of degree m.
- If and , i.e., new node joins a neighbor of node , then and .
3. Node Degree Dynamics: The Evolution of Its Variation and High-Order Moments in Time
3.1. The Variation of
3.2. The High-Order Moments of
3.3. The Skewness of
3.4. The Kurtosis of
4. The Dynamics of : Its Variation, Asymmetry Coefficient and Kurtosis
4.1. The Second Moment and the Variation of
- If new vertex joins the vertex at the time , then increases by m, since the vertex i obtains a new neighbor whose degree is m;
- If new vertex joins one of the neighbors for vertex i, then increases by 1, since in this case the contribution of one neighboring vertex to the increase of is 1;
- If none of these events occurs, then does not change.
4.2. The Third Moment and the Asymmetry Coefficient of
4.3. The Kurtosis of
5. Conclusions
- The coefficient of variation, defined as the ratio of the mathematical expectation to the variance, is close to the value of at each moment of time. Moreover, as the number of iterations increases, the coefficient of variation converges to .
- The skewness coefficient is positive for both distributions at any moment of the network evolution, which indicates that both distributions are asymmetric (their right tails are greater than their left ones).
- The kurtosis is greater than 3 for all subsequent iterations. This means that the right tails of both distributions are thicker than the tail of the normal distribution.
- It is also interesting to note that if the number of added edges m increases, then the coefficient of variation approaches 1, the coefficient of asymmetry tends to 0, and kurtosis converges to 3. This means that the characteristics of the random numbers are close to the ones of the normal distribution.
Author Contributions
Funding
Institutional Review Board Statement
Informed Consent Statement
Data Availability Statement
Conflicts of Interest
Appendix A
References
- Lieberman, M.B.; Montgomery, D.B. First-mover advantages. Strateg. Manag. J. 1988, 9, 41–58. [Google Scholar] [CrossRef]
- Faloutsos, M.; Faloutsos, P.; Faloutsos, C. On Power-Law Relationships of the Internet Topology. SIGCOMM Comput. Commun. Rev. 1999, 29, 251–262. [Google Scholar] [CrossRef]
- Kleinberg, J.M.; Kumar, R.; Raghavan, P.; Rajagopalan, S.; Tomkins, A.S. The Web as a Graph: Measurements, Models, and Methods. In International Computing and Combinatorics Conference; Asano, T., Imai, H., Lee, D.T., Nakano, S.I., Tokuyama, T., Eds.; Springer: Berlin/Heidelberg, Germany, 1999; pp. 1–17. [Google Scholar] [CrossRef]
- Clauset, A.; Shalizi, C.R.; Newman, M.E.J. Power-Law Distributions in Empirical Data. SIAM Rev. 2009, 51, 661–703. [Google Scholar] [CrossRef] [Green Version]
- De Solla Price, D. Networks of scientific papers. Science 1976, 149, 292–306. [Google Scholar] [CrossRef] [PubMed]
- Klaus, A.; Yu, S.; Plenz, D. Statistical Analyses Support Power Law Distributions Found in Neuronal Avalanches. PLoS ONE 2011, 6, e19779. [Google Scholar] [CrossRef] [PubMed] [Green Version]
- Newman, M.E.J. The Structure and Function of Complex Networks. SIAM Rev. 2003, 45, 167–256. [Google Scholar] [CrossRef] [Green Version]
- Albert, R.; Barabási, A.L. Statistical mechanics of complex networks. Rev. Mod. Phys. 2002, 74, 47–97. [Google Scholar] [CrossRef] [Green Version]
- Barabási, A.L.; Albert, R. Emergence of Scaling in Random Networks. Science 1999, 286, 509–512. [Google Scholar] [CrossRef] [Green Version]
- Dorogovtsev, S.N.; Mendes, J.F.F.; Samukhin, A.N. Structure of growing networks with preferential linking. Phys. Rev. Lett. 2000, 85, 4633–4636. [Google Scholar] [CrossRef] [PubMed] [Green Version]
- Krapivsky, P.L.; Redner, S. Organization of growing random networks. Phys. Rev. E 2001, 63, 066123. [Google Scholar] [CrossRef] [Green Version]
- Krapivsky, P.L.; Redner, S.; Leyvraz, F. Connectivity of growing random networks. Phys. Rev. Lett. 2000, 85, 4629–4632. [Google Scholar] [CrossRef] [Green Version]
- Sidorov, S.; Mironov, S. Growth network models with random number of attached links. Phys. A Stat. Mech. Its Appl. 2021, 576, 126041. [Google Scholar] [CrossRef]
- Tsiotas, D. Detecting differences in the topology of scale-free networks grown under time-dynamic topological fitness. Sci. Rep. 2020, 10, 10630. [Google Scholar] [CrossRef]
- Pal, S.; Makowski, A.M. Asymptotic Degree Distributions in Large (Homogeneous) Random Networks: A Little Theory and a Counterexample. IEEE Trans. Netw. Sci. Eng. 2020, 7, 1531–1544. [Google Scholar] [CrossRef] [Green Version]
- Rak, R.; Rak, E. The fractional preferential attachment scale-free network model. Entropy 2020, 22, 509. [Google Scholar] [CrossRef] [PubMed]
- Cinardi, N.; Rapisarda, A.; Tsallis, C. A generalised model for asymptotically-scale-free geographical networks. J. Stat. Mech. Theory Exp. 2020, 2020, 043404. [Google Scholar] [CrossRef] [Green Version]
- Shang, K.K.; Yang, B.; Moore, J.M.; Ji, Q.; Small, M. Growing networks with communities: A distributive link model. Chaos 2020, 30, 041101. [Google Scholar] [CrossRef]
- Bertotti, M.L.; Modanese, G. The configuration model for Barabasi-Albert networks. Appl. Netw. Sci. 2019, 4, 1–13. [Google Scholar] [CrossRef] [Green Version]
- Pachon, A.; Sacerdote, L.; Yang, S. Scale-free behavior of networks with the copresence of preferential and uniform attachment rules. Phys. D Nonlinear Phenom. 2018, 371, 1–12. [Google Scholar] [CrossRef] [Green Version]
- Van Der Hofstad, R. Random Graphs and Complex Networks; Cambridge University Press: Cambridge, UK, 2016; Volume 1. [Google Scholar] [CrossRef] [Green Version]
- Barabási, A.; Albert, R.; Jeong, H. Mean-field theory for scale-free random networks. Phys. A Stat. Mech. Its Appl. 1999, 272, 173–187. [Google Scholar] [CrossRef] [Green Version]
- Krapivsky, P.L.; Redner, S. Finiteness and fluctuations in growing networks. J. Phys. A Math. Gen. 2002, 35, 9517–9534. [Google Scholar] [CrossRef]
- Kadanoff, L. More is the Same; Phase Transitions and Mean Field Theories. J. Stat. Phys. 2009, 137, 777–797. [Google Scholar] [CrossRef]
- Parr, T.; Sajid, N.; Friston, K.J. Modules or Mean-Fields? Entropy 2020, 22, 552. [Google Scholar] [CrossRef] [PubMed]
- Pachon, A.; Polito, F.; Sacerdote, L. On the continuous-time limit of the Barabási-Albert random graph. Appl. Math. Comput. 2020, 378, 125177. [Google Scholar] [CrossRef] [Green Version]
- Sidorov, S.; Mironov, S.; Malinskii, I.; Kadomtsev, D. Local Degree Asymmetry for Preferential Attachment Model. Stud. Comput. Intell. 2021, 944, 450–461. [Google Scholar] [CrossRef]
- Sidorov, S.P.; Mironov, S.V.; Grigoriev, A.A. Friendship paradox in growth networks: Analytical and empirical analysis. Appl. Netw. Sci. 2021, 6, 35. [Google Scholar] [CrossRef]











| (20,000) | (20,000) | |||
|---|---|---|---|---|
| mean | 70.85 | 141.09 | 31.92 | 62.65 |
| st.dev. | 38.88 | 79.06 | 17.68 | 35.89 |
| skewness | 0.97 | 1.01 | 0.92 | 0.91 |
| kurtosis | 3.76 | 4.01 | 3.58 | 3.58 |
| (20,000) | (20,000) | |||
|---|---|---|---|---|
| mean | 127.41 | 253.52 | 52.54 | 105.37 |
| st.dev. | 46.68 | 93.51 | 21.60 | 44.66 |
| skewness | 0.52 | 0.52 | 0.58 | 0.78 |
| kurtosis | 3.24 | 3.11 | 3.19 | 3.80 |
| (20,000) | (20,000) | |||
|---|---|---|---|---|
| mean | 1120.17 | 2534.05 | 513.34 | 1155.37 |
| st.dev. | 398.22 | 957.09 | 165.09 | 387.56 |
| skewness | 0.74 | 0.80 | 0.61 | 0.68 |
| kurtosis | 3.25 | 3.44 | 3.69 | 3.74 |
| (20,000) | (20,000) | |||
|---|---|---|---|---|
| mean | 3037.39 | 6947.17 | 1277.91 | 2915.58 |
| st.dev. | 773.23 | 1867.67 | 318.93 | 774.61 |
| skewness | 0.28 | 0.32 | 0.41 | 0.51 |
| kurtosis | 3.14 | 3.09 | 3.32 | 3.23 |
Publisher’s Note: MDPI stays neutral with regard to jurisdictional claims in published maps and institutional affiliations. |
© 2021 by the authors. Licensee MDPI, Basel, Switzerland. This article is an open access article distributed under the terms and conditions of the Creative Commons Attribution (CC BY) license (https://creativecommons.org/licenses/by/4.0/).
Share and Cite
Sidorov, S.; Mironov, S.; Agafonova, N.; Kadomtsev, D. Temporal Behavior of Local Characteristics in Complex Networks with Preferential Attachment-Based Growth. Symmetry 2021, 13, 1567. https://doi.org/10.3390/sym13091567
Sidorov S, Mironov S, Agafonova N, Kadomtsev D. Temporal Behavior of Local Characteristics in Complex Networks with Preferential Attachment-Based Growth. Symmetry. 2021; 13(9):1567. https://doi.org/10.3390/sym13091567
Chicago/Turabian StyleSidorov, Sergei, Sergei Mironov, Nina Agafonova, and Dmitry Kadomtsev. 2021. "Temporal Behavior of Local Characteristics in Complex Networks with Preferential Attachment-Based Growth" Symmetry 13, no. 9: 1567. https://doi.org/10.3390/sym13091567
APA StyleSidorov, S., Mironov, S., Agafonova, N., & Kadomtsev, D. (2021). Temporal Behavior of Local Characteristics in Complex Networks with Preferential Attachment-Based Growth. Symmetry, 13(9), 1567. https://doi.org/10.3390/sym13091567

