Assessing Bound States in a One-Dimensional Topological Superconductor: Majorana versus Tamm
Abstract
:1. Introduction
2. The Quadratic Model
2.1. Hamiltonian
2.2. Tamm States
2.3. Majorana States
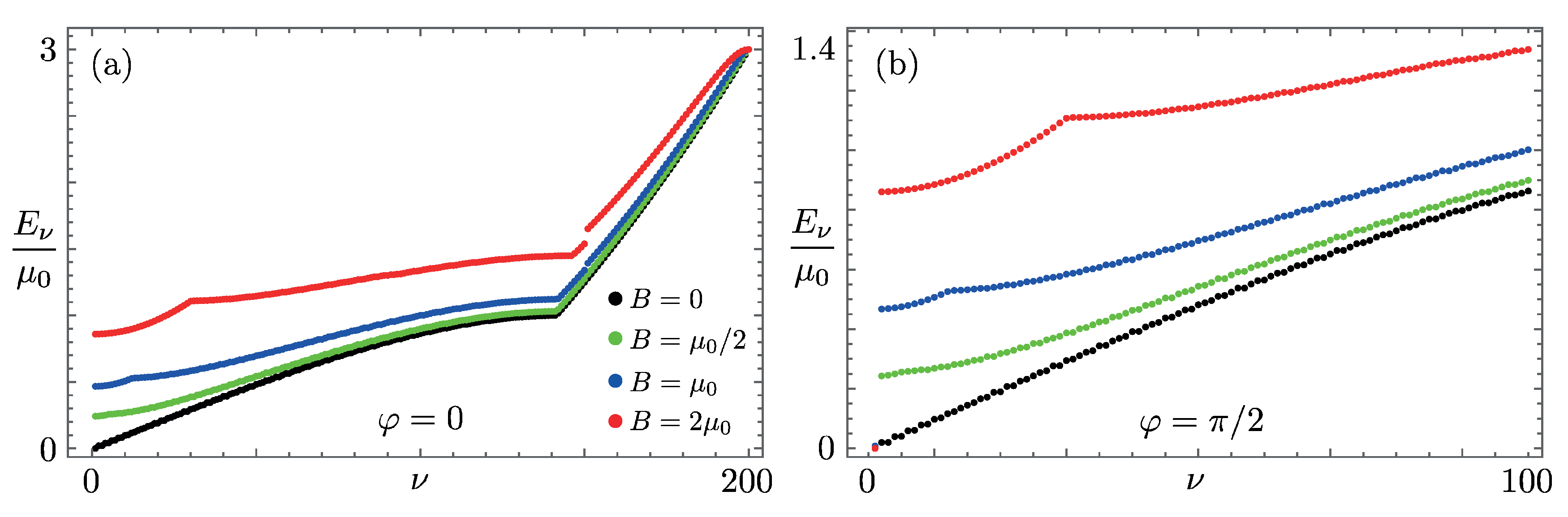
2.4. Competition between Tamm and Majorana States
3. Effective Low-Energy Model
3.1. Linearization
3.2. Qualitative Interpretation of the Results
3.3. Linear Model with One Boundary and
3.4. The Wavefunction of the Bound State for
4. Majorana Polarization
5. Conclusions
Author Contributions
Funding
Institutional Review Board Statement
Informed Consent Statement
Data Availability Statement
Acknowledgments
Conflicts of Interest
References
- Nayak, C.; Simon, S.H.; Stern, A.; Freedman, M.; Das Sarma, S. Non-Abelian Anyons and Topological Quantum Computation. Rev. Mod. Phys. 2008, 80, 1083. [Google Scholar] [CrossRef] [Green Version]
- Read, N.; Rezayi, E. Beyond paired quantum hall states: Parafermions and incompressible states in the first excited landau level. Phys. Rev. B 1999, 59, 8084. [Google Scholar] [CrossRef] [Green Version]
- Blasi, A.; Braggio, A.; Carrega, M.; Ferraro, D.; Maggiore, N.; Magnoli, N. Non-Abelian BF theory for 2+1 dimensional topological states of matter. New J. Phys. 2012, 14, 013060. [Google Scholar] [CrossRef]
- Zhang, F.; Kane, C.L. Time-Reversal-Invariant Z4 Fractional Josephson Effect. Phys. Rev. Lett. 2014, 113, 036401. [Google Scholar] [CrossRef] [PubMed] [Green Version]
- Orth, C.P.; Tiwari, R.P.; Meng, T.; Schmidt, T.L. Non-Abelian parafermions in time-reversal-invariant interacting helical systems. Phys. Rev. B 2015, 91, 081406. [Google Scholar] [CrossRef] [Green Version]
- Klinovaja, J.; Loss, D. Fractional charge and spin states in topological insulator constrictions. Phys. Rev. B 2015, 92, 121410. [Google Scholar] [CrossRef] [Green Version]
- Fleckenstein, C.; Traverso Ziani, N.; Trauzettel, B. Z4 parafermions in Weakly Interacting Superconducting Constrictions at the Helical Edge of Quantum Spin Hall Insulators. Phys. Rev. Lett. 2020, 122, 066801. [Google Scholar] [CrossRef] [PubMed] [Green Version]
- Rossini, D.; Carrega, M.; Calvanese Strinati, M.; Mazza, L. Anyonic tight-binding models of parafermions and of fractionalized fermions. Phys. Rev. B 2019, 99, 085113. [Google Scholar] [CrossRef] [Green Version]
- Carrega, M.; Principi, A.; Vera-Marun, I. Tunneling spectroscopy as a probe of fractionalization in 2D magnetic heterostructures. Phys. Rev. B 2020, 102, 085412. [Google Scholar] [CrossRef]
- Ronetti, F.; Carrega, M.; Ferraro, D.; Rech, J.; Jonckheere, T.; Martin, T.; Sassetti, M. Polarized heat current generated by quantum pumping in two-dimensional topological insulators. Phys. Rev. B 2017, 95, 115412. [Google Scholar] [CrossRef] [Green Version]
- Schiller, N.; Cornfeld, E.; Berg, E.; Oreg, Y. Predicted signatures of topological superconductivity and parafermion zero modes in fractional quantum Hall edges. Phys. Rev. Res. 2020, 2, 023296. [Google Scholar] [CrossRef]
- Michelsen, A.B.; Schmidt, T.L.; Idrisov, E.G. Current correlations of Cooper-pair tunneling into a quantum Hall system. Phys. Rev. B 2020, 102, 125402. [Google Scholar] [CrossRef]
- Zhao, L.; Arnault, E.G.; Bondarev, A.; Seredinski, A.; Larson, T.F.Q.; Draelos, A.W.; Li, H.; Watanabe, K.; Taniguchi, T.; Amet, F.; et al. Interference of chiral Andreev edge states. Nat. Phys. 2020, 16, 862. [Google Scholar] [CrossRef]
- Amet, F.; Ke, C.T.; Borzenets, I.V.; Wang, J.; Watanabe, K.; Taniguchi, T.; Deacon, R.S.; Yamamoto, M.; Bomze, Y.; Tarucha, S.; et al. Supercurrent in the quantum Hall regime. Science 2016, 352, 966. [Google Scholar] [CrossRef] [PubMed] [Green Version]
- Lee, G.-H.; Huang, K.-F.; Efetov, D.K.; Wei, D.S.; Hart, S.; Taniguchi, T.; Watanabe, K.; Yacoby, A.; Kim, P. Inducing Superconducting Correlation in Quantum Hall Edge States. Nat. Phys. 2017, 13, 693. [Google Scholar] [CrossRef]
- Gül, O.; Ronen, Y.; Lee, S.Y.; Shapourian, H.; Zauberman, J.; Lee, Y.H.; Watanabe, K.; Taniguchi, T.; Vishwanath, A.; Yacoby, A.; et al. Induced superconductivity in the fractional quantum Hall edge. arXiv 2020, arXiv:2009.07836. [Google Scholar]
- Mourik, V.; Zuo, K.; Frolov, S.M.; Plissard, S.R.; Bakkers, E.P.A.M.; Kouwenhoven, L.P. Signatures of Majorana fermions in hybrid superconductor-semiconductor nanowire devices. Science 2012, 336, 1003. [Google Scholar] [CrossRef] [Green Version]
- Lutchyn, R.M.; Sau, J.D.; Das Sarma, S. Majorana Fermions and a Topological Phase Transition in Semiconductor-Superconductor Heterostructures. Phys. Rev. Lett. 2010, 105, 077001. [Google Scholar] [CrossRef] [Green Version]
- Oreg, Y.; Refael, G.; von Oppen, F. Helical Liquids and Majorana Bound States in Quantum Wires. Phys. Rev. Lett. 2010, 105, 177002. [Google Scholar] [CrossRef] [PubMed] [Green Version]
- Fu, L.; Kane, C.L. Superconducting proximity effect and Majorana fermions at the surface of a topological insulator. Phys. Rev. Lett. 2008, 100, 096407. [Google Scholar] [CrossRef] [PubMed] [Green Version]
- Fu, L.; Kane, C.L. Josephson current and noise at a superconductor/quantum-spin-Hall-insulator/superconductor junction. Phys. Rev. B 2009, 79, 161408. [Google Scholar] [CrossRef] [Green Version]
- Akhmerov, A.R.; Nilsson, J.; Beenakker, C.W.J. Electrically detected interferometry of Majorana fermions in a topological insulator. Phys. Rev. Lett. 2009, 102, 216404. [Google Scholar] [CrossRef] [Green Version]
- Strunz, J.; Wiedenmann, J.; Fleckenstein, C.; Lunczer, L.; Beugeling, W.; Müller, V.L.; Shekhar, P.; Traverso Ziani, N.; Shamim, S.; Kleinlein, J.; et al. Interacting topological edge channels. Nat. Phys. 2020, 16, 83. [Google Scholar] [CrossRef] [Green Version]
- Li, J.; Pan, W.; Bernevig, B.A.; Lutchyn, R.M. Detection of Majorana Kramers Pairs Using a Quantum Point Contact. Phys. Rev. Lett. 2016, 117, 046804. [Google Scholar] [CrossRef] [PubMed] [Green Version]
- Fleckenstein, C.; Traverso Ziani, N.; Calzona, A.; Sassetti, M.; Trauzettel, B. Formation and detection of Majorana modes in quantum spin Hall trenches. Phys. Rev. B 2021, 103, 125303. [Google Scholar] [CrossRef]
- Nadj-Perge, S.; Drozdov, I.K.; Li, J.; Chen, H.; Jeon, S.; Seo, J.; MacDonald, A.H.; Bernevig, B.A.; Yazdani, A. Observation of Majorana fermions in ferromagnetic atomic chains on a superconductor. Science 2014, 6209, 602. [Google Scholar] [CrossRef] [Green Version]
- Ren, H.; Pientka, F.; Hart, S.; Pierce, A.T.; Kosowsky, M.; Lunczer, L.; Schlereth, R.; Scharf, B.; Hankiewicz, E.M.; Molenkamp, L.W.; et al. Topological superconductivity in a phase-controlled Josephson junction. Nature 2019, 569, 93. [Google Scholar] [CrossRef] [PubMed] [Green Version]
- Guiducci, S.; Carrega, M.; Biasiol, G.; Sorba, L.; Beltram, F.; Heun, S. Toward Quantum Hall Effect in a Josephson Junction. Phys. Status Solidi RRL 2019, 13, 1800222. [Google Scholar] [CrossRef]
- Guiducci, S.; Carrega, M.; Taddei, F.; Biasiol, G.; Courtois, H.; Beltram, F.; Heun, S. Full electrostatic control of quantum interference in an extended trenched Josephson junction. Phys. Rev. B 2019, 99, 235419. [Google Scholar] [CrossRef] [Green Version]
- Krogstrup, P.; Ziino, N.L.B.; Chang, W.; Albrecht, S.M.; Madsen, M.H.; Johnson, E.; Nygard, J.; Marcus, C.M.; Jespersen, T.S. Epitaxy of semiconductor–superconductor nanowires. Nat. Mater. 2015, 14, 400. [Google Scholar] [CrossRef]
- Deng, M.T.; Vaitiekenas, S.; Hansen, E.B.; Danon, J.; Leijnse, M.; Flensberg, K.; Nygard, J.; Krogstrup, P.; Marcus, C.M. Majorana bound state in a coupled quantum-dot hybrid-nanowire system. Science 2016, 354, 1557. [Google Scholar] [CrossRef] [Green Version]
- Aguado, R. Majorana quasiparticles in condensed matter. La Riv. Del Nuovo Cimento 2017, 40, 523. [Google Scholar]
- Asano, Y.; Tanaka, Y.; Kashiwaya, S. Phenomenological theory of zero-energy Andreev resonant states. Phys. Rev. B 2004, 69, 134501. [Google Scholar] [CrossRef] [Green Version]
- Tanaka, Y.; Kashiwaya, S.; Yokoyama, T. Theory of enhanced proximity effect by midgap Andreev resonant state in diffusive normal-metal/triplet superconductor junctions. Phys. Rev. B 2005, 71, 094513. [Google Scholar] [CrossRef] [Green Version]
- Golubov, A.A.; Brinkman, A.; Tanaka, Y.; Mazin, I.I.; Dolgov, O.V. Andreev Spectra and Subgap Bound States in Multiband Superconductors. Phys. Rev. Lett. 2009, 103, 077003. [Google Scholar] [CrossRef] [Green Version]
- Tanaka, Y.; Mizuno, Y.; Yokoyama, T.; Yada, K.; Sato, M. Anomalous Andreev Bound State in Noncentrosymmetric Superconductors. Phys. Rev. Lett. 2012, 105, 097002. [Google Scholar] [CrossRef] [PubMed] [Green Version]
- Liu, J.; Potter, A.C.; Law, K.T.; Lee, P.A. Zero-Bias Peaks in the Tunneling Conductance of Spin-Orbit-Coupled Superconducting Wires with and without Majorana End-States. Phys. Rev. Lett. 2012, 109, 267002. [Google Scholar] [CrossRef] [PubMed] [Green Version]
- Kells, G.; Meidan, D.; Brouwer, P.W. Near-zero-energy end states in topologically trivial spin-orbit coupled superconducting nanowires with a smooth confinement. Phys. Rev. B 2012, 86, 100503. [Google Scholar] [CrossRef] [Green Version]
- Roy, D.; Bondyopadhaya, N.; Tewari, S. Topologically trivial zero-bias conductance peak in semiconductor Majorana wires from boundary effects. Phys. Rev. B 2013, 88, 020502. [Google Scholar] [CrossRef] [Green Version]
- Stanescu, T.D.; Tewari, S. Disentangling Majorana fermions from topologically trivial low-energy states in semiconductor Majorana wires. Phys. Rev. B 2013, 87, 140504. [Google Scholar] [CrossRef] [Green Version]
- Cayao, J.; Prada, E.; San-Jose, P.; RAguado, R. SNS junctions in nanowires with spin-orbit coupling: Role of confinement and helicity on the subgap spectrum. Phys. Rev. B 2015, 91, 024514. [Google Scholar] [CrossRef] [Green Version]
- San-Jose, P.; Cayao, J.; Prada, E.; Aguado, R. Majorana bound states from exceptional points in non-topological superconductors. Sci. Rep. 2016, 6, 21427. [Google Scholar] [CrossRef]
- Liu, C.-X.; Sau, J.D.; Stanescu, T.D.; Das Sarma, S. Andreev bound states versus Majorana bound states in quantum dot-nanowire-superconductor hybrid structures: Trivial versus topological zero-bias conductance peaks. Phys. Rev. B 2017, 96, 075161. [Google Scholar] [CrossRef] [Green Version]
- Liu, C.-X.; Sau, J.D.; Das Sarma, S. Distinguishing topological Majorana bound states from trivial Andreev bound states: Proposed tests through differential tunneling conductance spectroscopy. Phys. Rev. B 2018, 97, 214502. [Google Scholar] [CrossRef] [Green Version]
- Moore, C.; Stanescu, S.T.; Tewari, S. Two-terminal charge tunneling: Disentangling Majorana zero modes from partially separated Andreev bound states in semiconductorsuperconductor heterostructures. Phys. Rev. B 2018, 97, 165302. [Google Scholar] [CrossRef] [Green Version]
- Moore, C.; Zeng, C.; Stanescu, T.D.; Tewari, S. Quantized zero-bias conductance plateau in semiconductorsuperconductor heterostructures without topological Majorana zero modes. Phys. Rev. B 2018, 98, 155314. [Google Scholar] [CrossRef] [Green Version]
- Fleckenstein, C.; Dominguez, F.; Traverso Ziani, N.; Trauzettel, B. Decaying spectral oscillations in a Majorana wire with finite coherence length. Phys. Rev. B 2018, 97, 155425. [Google Scholar] [CrossRef] [Green Version]
- Awoga, O.A.; Cayao, J.; Black-Schaffer, A.M. Supercurrent Detection of Topologically Trivial Zero-Energy States in Nanowire Junctions. Phys. Rev. Lett. 2019, 123, 117001. [Google Scholar] [CrossRef] [PubMed] [Green Version]
- Marra, P.; Nitta, M. Topologically nontrivial Andreev bound states. Phys. Rev. B 2019, 100, 220502. [Google Scholar] [CrossRef] [Green Version]
- Cayao, J.; Black-Schaffer, A.M. Distinguishing trivial and topological zero energy states in long nanowire junctions. arXiv 2020, arXiv:2011.10411. [Google Scholar]
- Pan, H.; Das Sarma, S. Physical mechanisms for zero-bias conductance peaks in Majorana nanowires. Phys. Rev. Res. 2020, 2, 013377. [Google Scholar] [CrossRef] [Green Version]
- Huang, Y.; Pan, H.; Liu, C.-X.; Sau, J.D.; Stanescu, T.D.; Das Sarma, S. Metamorphosis of Andreev bound states into Majorana bound states in pristine nanowires. Phys. Rev. Lett. 2018, 98, 144511. [Google Scholar] [CrossRef] [Green Version]
- Gangadharaiah, S.; Trifunovic, L.; Loss, D. Localized End States in Density Modulated Quantum Wires and Rings. Phys. Rev. Lett. 2012, 108, 136803. [Google Scholar] [CrossRef] [PubMed] [Green Version]
- Traverso Ziani, N.; Fleckenstein, C.; Vigliotti, L.; Trauzettel, B.; Sassetti, M. From fractional solitons to Majorana fermions in a paradigmatic model of topological superconductivity. Phys. Rev. B 2020, 101, 195303. [Google Scholar] [CrossRef]
- Henriques, J.C.G.; Rappoport, T.G.; Bludov, Y.V.; Vasilevskiy, M.I.; Peres, N.M.R. Topological photonic Tamm states and the Su-Schrieffer-Heeger model. Phys. Rev. A 2020, 101, 043811. [Google Scholar] [CrossRef] [Green Version]
- Jackiw, R.; Rebbi, C. Solitons with fermion number 1/2. Phys. Rev. D 1976, 13, 3398. [Google Scholar] [CrossRef]
- Goldstone, J.; Wilczek, F. Fractional Quantum Numbers on Solitons. Phys. Rev. Lett. 1981, 47, 986. [Google Scholar] [CrossRef] [Green Version]
- Kivelson, S.; Schrieffer, J.R. Wannier functions in one-dimensional disordered systems: Application to fractionally charged solitons. Phys. Rev. B 1982, 25, 6447. [Google Scholar] [CrossRef]
- Qi, X.-L.; Hughes, T.L.; Zhang, S.-C. Fractional charge and quantized current in the quantum spin Hall state. Nat. Phys. 2008, 4, 273. [Google Scholar] [CrossRef]
- Väyrynen, J.I.; Ojanen, T. Chiral Topological Phases and Fractional Domain Wall Excitations in One-Dimensional Chains and Wires. Phys. Rev. Lett. 2011, 107, 166804. [Google Scholar] [CrossRef] [PubMed]
- Klinovaja, J.; Stano, P.; Loss, D. Transition from Fractional to Majorana Fermions in Rashba Nanowires. Phys. Rev. Lett. 2012, 109, 236801. [Google Scholar] [CrossRef]
- Fleckenstein, C.; Traverso Ziani, N.; Trauzettel, B. Chiral anomaly in real space from stable fractional charges at the edge of a quantum spin Hall insulator. Phys. Rev. B 2016, 94, 241406. [Google Scholar] [CrossRef] [Green Version]
- Gresta, D.; Blasi, G.; Taddei, F.; Carrega, M.; Braggio, A.; Arrachea, L. Signatures of Jackiw-Rebbi resonance in the thermal conductance of topological Josephson junctions with magnetic islands. Phys. Rev. B 2021, 103, 075439. [Google Scholar] [CrossRef]
- Sticlet, D.; Bena, C.; Simon, P. Spin and Majorana Polarization in Topological Superconducting Wires. Phys. Rev. Lett. 2012, 108, 096802. [Google Scholar] [CrossRef] [PubMed] [Green Version]
- Sedlmayr, N.; Bena, C. Visualising Majorana bound states in 1D and 2D using the generalized Majorana polarization. Phys. Rev. B 2015, 92, 115115. [Google Scholar] [CrossRef] [Green Version]
- Bena, C. Testing the formation of Majorana states using Majorana polarization. Comptes Rendus Phys. 2017, 18, 349. [Google Scholar] [CrossRef]
- Bernevig, B.A.; Hughes, T.L. Topological Insulators and Topological Superconductors; Princeton University Press: Princeton, NJ, USA, 2013. [Google Scholar]
- Malard, M.; Japaridze, G.I.; Johannesson, H. Synthesizing Majorana zero-energy modes in a periodically gated quantum wire. Phys. Rev. B 2016, 94, 115128. [Google Scholar] [CrossRef] [Green Version]
- Peierls, R.A. Zur Theorie der elektrischen und thermischen Leitfähigkeit von Metallen. Ann. Phys. 1930, 4, 121. [Google Scholar] [CrossRef]
- Haldane, F.D.M. Effective harmonic-fluid approach to low-energy properties of one-dimensional quantum fluids. Phys. Rev. Lett. 1981, 47, 1840. [Google Scholar] [CrossRef]
- Cuniberti, G.; Sassetti, M.; Kramer, B. Transport and elementary excitations of a Luttinger liquid. J. Phys. Condens. Matter 1996, 8, L21. [Google Scholar] [CrossRef] [Green Version]
- Guinea, F.; Santos, G.G.; Sassetti, M.; Ueda, M. Asymptotic tunneling conductance in Luttinger liquids. Europhys. Lett. 1995, 30, 561. [Google Scholar] [CrossRef] [Green Version]
- Fabrizio, M.; Gogolin, A.O. Interacting one-dimensional electron gas with open boundaries. Phys. Rev. B 1995, 51, 17827. [Google Scholar] [CrossRef] [PubMed] [Green Version]
- Traverso Ziani, N.; Cavaliere, F.; Sassetti, M. Signatures of Wigner correlations in the conductance of a one-dimensional quantum dot coupled to an AFM tip. Phys. Rev. B 2012, 86, 125451. [Google Scholar] [CrossRef] [Green Version]
- Traverso Ziani, N.; Cavaliere, F.; Sassetti, M. Theory of the STM detection of Wigner molecules in spin-incoherent CNTs. Europhys. Lett. 2013, 102, 47006. [Google Scholar] [CrossRef]
- Porta, S.; Gambetta, F.M.; Traverso Ziani, N.; Kennes, D.M.; Sassetti, M.; Cavaliere, F. Nonmonotonic response and light-cone freezing in fermionic systems under quantum quenches from gapless to gapped or partially gapped states. Phys. Rev. B 2018, 97, 035433. [Google Scholar] [CrossRef] [Green Version]
- Giamarchi, T. Quantum Physics in One Dimension; Oxford University Press: Oxford, UK, 2004; ISBN 9780198525004. [Google Scholar]
- Timm, C. Transport through a quantum spin Hall quantum dot. Phys. Rev. B 2012, 86, 155456. [Google Scholar] [CrossRef] [Green Version]
- Dolcetto, G.; Traverso Ziani, N.; Biggio, M.; Cavaliere, F.; Sassetti, M. Spin textures of strongly correlated spin Hall quantum dots. Phys. Stat. Sol. (RRL) 2013, 7, 1059. [Google Scholar] [CrossRef] [Green Version]
- Kylänpää, I.; Cavaliere, F.; Traverso Ziani, N.; Sassetti, M.; Räsänen, E. Thermal effects on the Wigner localization and Friedel oscillations in many-electron nanowires. Phys. Rev. B 2016, 94, 115417. [Google Scholar] [CrossRef]
- Alicea, J. New directions in the pursuit of Majorana fermions in solid state systems. J. Rep. Prog. 2012, 75, 076501. [Google Scholar] [CrossRef] [PubMed] [Green Version]
- Franchini, F. An Introduction to Integrable Techniques for One-Dimensional Quantum Systems; Lecture Notes in Physics; Springer: Berlin, Germany, 2017; Volume 940. [Google Scholar]
- Porta, S.; Cavaliere, F.; Sassetti, M.; Ziani, N.T. Topological classification of dynamical quantum phase transitions in the xy chain. Sci. Rep. 2020, 10, 642. [Google Scholar] [CrossRef]








Publisher’s Note: MDPI stays neutral with regard to jurisdictional claims in published maps and institutional affiliations. |
© 2021 by the authors. Licensee MDPI, Basel, Switzerland. This article is an open access article distributed under the terms and conditions of the Creative Commons Attribution (CC BY) license (https://creativecommons.org/licenses/by/4.0/).
Share and Cite
Vigliotti, L.; Cavaliere, F.; Carrega, M.; Ziani, N.T. Assessing Bound States in a One-Dimensional Topological Superconductor: Majorana versus Tamm. Symmetry 2021, 13, 1100. https://doi.org/10.3390/sym13061100
Vigliotti L, Cavaliere F, Carrega M, Ziani NT. Assessing Bound States in a One-Dimensional Topological Superconductor: Majorana versus Tamm. Symmetry. 2021; 13(6):1100. https://doi.org/10.3390/sym13061100
Chicago/Turabian StyleVigliotti, Lucia, Fabio Cavaliere, Matteo Carrega, and Niccolò Traverso Ziani. 2021. "Assessing Bound States in a One-Dimensional Topological Superconductor: Majorana versus Tamm" Symmetry 13, no. 6: 1100. https://doi.org/10.3390/sym13061100
APA StyleVigliotti, L., Cavaliere, F., Carrega, M., & Ziani, N. T. (2021). Assessing Bound States in a One-Dimensional Topological Superconductor: Majorana versus Tamm. Symmetry, 13(6), 1100. https://doi.org/10.3390/sym13061100
