New Constraints on Lorentz Invariance Violation from Combined Linear and Circular Optical Polarimetry of Extragalactic Sources
Abstract
1. Introduction
2. Photon Sector SME
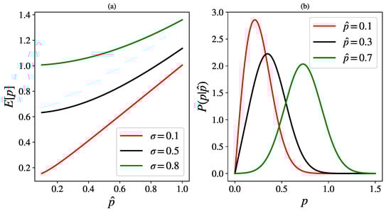
3. Optical Polarimetry
3.1. Monochromatic Observations
3.2. Directional Dependence
3.3. Broadband Observations
3.4. Likelihood Model
- linear polarization fraction, ,
- polarization angle, , and
- circular polarization fraction, .
4. Source Parameters
4.1. Circular Polarization
4.2. Linear Polarization
4.3. Polarization Angle
5. Sample Dataset
Detection Efficiency Profiles
6. SME Constraints
7. Conclusions
Author Contributions
Funding
Acknowledgments
Conflicts of Interest
Appendix A. Polarization Statistics

References
- Tanabashi, M.; Hagiwara, K.; Hikasa, K.; Nakamura, K.; Sumino, Y.; Takahashi, F.; Tanaka, J.; Agashe, K.; Aielli, G.; Amsler, C.; et al. Review of Particle Physics. Phys. Rev. D 2018, 98, 030001. [Google Scholar] [CrossRef]
- Aaij, R.; Beteta, C.A.; Ackernley, T.; Adeva, B.; Adinolfi, M.; Afsharnia, H.; Aidala, C.A.; Aiola, S.; Ajaltouni, Z.; Akar, S.; et al. Test of lepton universality in beauty-quark decays. arXiv 2021, arXiv:2103.11769. [Google Scholar]
- Myers, R.C.; Pospelov, M. Ultraviolet Modifications of Dispersion Relations in Effective Field Theory. Phys. Rev. Lett. 2003, 90, 211601. [Google Scholar] [CrossRef] [PubMed]
- Rizzo, T.G. Lorentz violation in extra dimensions. J. High Energy Phys. 2005, 2005, 036. [Google Scholar] [CrossRef][Green Version]
- Amelino-Camelia, G.; Guetta, D.; Piran, T. ICECUBE Neutrinos and Lorentz Invariance Violation. ApJ 2015, 806, 269. [Google Scholar] [CrossRef]
- Kostelecký, V.A.; Samuel, S. Spontaneous breaking of Lorentz symmetry in string theory. Phys. Rev. D 1989, 39, 683–685. [Google Scholar] [CrossRef]
- Burgess, C.P.; Cline, J.M.; Filotas, E.; Matias, J.; Moore, G.D. Loop-generated bounds on changes to the graviton dispersion relation. J. High Energy Phys. 2002, 2002, 043. [Google Scholar] [CrossRef]
- Gambini, R.; Pullin, J. Nonstandard optics from quantum space-time. Phys. Rev. D 1999, 59, 124021. [Google Scholar] [CrossRef]
- Pospelov, M.; Shang, Y. Lorentz violation in Hořava-Lifshitz-type theories. Phys. Rev. D 2012, 85, 105001. [Google Scholar] [CrossRef]
- Li, M.; Cai, Y.F.; Wang, X.; Zhang, X. CPT violating electrodynamics and Chern-Simons modified gravity. Phys. Lett. B 2009, 680, 118–124. [Google Scholar] [CrossRef]
- Kostelecký, V.A.; Potting, R. CPT, strings, and meson factories. Phys. Rev. D 1995, 51, 3923–3935. [Google Scholar] [CrossRef] [PubMed]
- Kostelecký, V.A.; Mewes, M. Electrodynamics with Lorentz-violating operators of arbitrary dimension. Phys. Rev. D 2009, 80, 015020. [Google Scholar] [CrossRef]
- Adamson, P.; Auty, D.J.; Ayres, D.S.; Backhouse, C.; Barr, G.; Barrett, W.L. A Search for Lorentz Invariance and CPT Violation with the MINOS Far Detector. Phys. Rev. Lett. 2010, 105, 151601. [Google Scholar] [CrossRef]
- Adamson, P.; Ayres, D.S.; Barr, G.; Bishai, M.; Blake, A.; Bock, G.J. Search for Lorentz invariance and CPT violation with muon antineutrinos in the MINOS Near Detector. Phys. Rev. D 2012, 85, 031101. [Google Scholar] [CrossRef]
- Mattingly, D. Modern Tests of Lorentz Invariance. Living Rev. Relat. 2005, 8, 5. [Google Scholar] [CrossRef]
- Aaij, R.; Beteta, C.A.; Adeva, B.; Adinolfi, M.; Ajaltouni, Z.; Akar, S.; Albrecht, J.; Alessio, F.; Alexander, F.; Ali, S.; et al. Search for violations of Lorentz invariance and CPT symmetry in B0(s) mixing. Phys. Rev. Lett. 2016, 116, 241601. [Google Scholar] [CrossRef]
- Carle, A.; Chanon, N.; Perries, S. Prospects for Lorentz Invariance Violation searches with top pair production at the LHC and future hadron colliders. Eur. Phys. J. C 2020, 80, 128. [Google Scholar] [CrossRef]
- Colladay, D.; Kostelecký, V.A. CPT violation and the standard model. Phys. Rev. D 1997, 55, 6760–6774. [Google Scholar] [CrossRef]
- Colladay, D.; Kostelecký, V.A. Lorentz-violating extension of the standard model. Phys. Rev. D 1998, 58, 116002. [Google Scholar] [CrossRef]
- Kostelecký, V.A.; Mewes, M. Signals for Lorentz violation in electrodynamics. Phys. Rev. D 2002, 66, 056005. [Google Scholar] [CrossRef]
- Kostelecký, V.A. Gravity, Lorentz violation, and the standard model. Phys. Rev. D 2004, 69, 105009. [Google Scholar] [CrossRef]
- Kislat, F.; Krawczynski, H. Search for anisotropic Lorentz invariance violation with γ-rays. Phys. Rev. D 2015, 92, 045016. [Google Scholar] [CrossRef]
- Vasileiou, V.; Jacholkowska, A.; Piron, F.; Bolmont, J.; Couturier, C.; Granot, J.; Stecker, F.W.; Cohen-Tanugi, J.; Longo, F. Constraints on Lorentz invariance violation from Fermi-Large Area Telescope observations of gamma-ray bursts. Phys. Rev. D 2013, 87, 122001. [Google Scholar] [CrossRef]
- Boggs, S.E.; Wunderer, C.B.; Hurley, K.; Coburn, W. Testing Lorentz Invariance with GRB 021206. ApJ 2004, 611, L77–L80. [Google Scholar] [CrossRef]
- Aharonian, F.; Akhperjanian, A.G.; Barres de Almeida, U.; Bazer-Bachi, A.R.; Becherini, Y.; Behera, B.; Beilicke, M.; Benbow, W.; Bernlöhr, K.; Boisson, C.; et al. Limits on an Energy Dependence of the Speed of Light from a Flare of the Active Galaxy PKS 2155-304. Phys. Rev. Lett. 2008, 101, 170402. [Google Scholar] [CrossRef] [PubMed]
- Abramowski, A.; Aharonian, F.; Ait Benkhali, F.; Akhperjanian, A.G.; Angüner, E.O.; Backes, M.; Balenderan, S.; Balzer, A.; Barnacka, A.; Becherini, Y.; et al. The 2012 Flare of PG 1553+113 Seen with H.E.S.S. and Fermi-LAT. ApJ 2015, 802, 65. [Google Scholar] [CrossRef]
- Albert, J.; Aliu, E.; Anderhub, H.; Antonelli, L.A.; Antoranz, P.; Backes, M.; Baixeras, C.; Barrio, J.A.; Bartko, H.; Bastieri, D.; et al. Probing Quantum Gravity using Photons from a flare of the active galactic nucleus Markarian 501 Observed by the MAGIC telescope. Phys. Lett. B 2008, 668, 253–257. [Google Scholar] [CrossRef]
- Biller, S.D.; Breslin, A.C.; Buckley, J.; Catanese, M.; Carson, M.; Carter-Lewis, D.A.; Cawley, M.F.; Fegan, D.J.; Finley, J.P.; Gaidos, J.A.; et al. Limits to Quantum Gravity Effects on Energy Dependence of the Speed of Light from Observations of TeV Flares in Active Galaxies. Phys. Rev. Lett. 1999, 83, 2108–2111. [Google Scholar] [CrossRef]
- Ellis, J.; Mavromatos, N.E.; Nanopoulos, D.V.; Sakharov, A.S.; Sarkisyan, E.K.G. Robust limits on Lorentz violation from gamma-ray bursts. Astropart. Phys. 2006, 25, 402–411. [Google Scholar] [CrossRef]
- Wei, J.J.; Wu, X.F. A Further Test of Lorentz Violation from the Rest-frame Spectral Lags of Gamma-Ray Bursts. ApJ 2017, 851, 127. [Google Scholar] [CrossRef]
- Wei, J.J.; Wu, X.F. Testing fundamental physics with astrophysical transients. Front. Phys. 2021, 16, 44300. [Google Scholar] [CrossRef]
- Kislat, F.; Krawczynski, H. Planck-scale constraints on anisotropic Lorentz and C P T invariance violations from optical polarization measurements. Phys. Rev. D 2017, 95, 083013. [Google Scholar] [CrossRef]
- Kaaret, P. X-ray clues to viability of loop quantum gravity. Nature 2004, 427, 287. [Google Scholar] [CrossRef]
- Kostelecký, V.A.; Mewes, M. Constraints on Relativity Violations from Gamma-Ray Bursts. Phys. Rev. Lett. 2013, 110, 201601. [Google Scholar] [CrossRef] [PubMed]
- Toma, K.; Mukohyama, S.; Yonetoku, D.; Murakami, T.; Gunji, S.; Mihara, T.; Morihara, Y.; Sakashita, T.; Takahashi, T.; Wakashima, Y.; et al. Strict Limit on CPT Violation from Polarization of γ-Ray Bursts. Phys. Rev. Lett. 2012, 109, 241104. [Google Scholar] [CrossRef] [PubMed]
- Laurent, P.; Götz, D.; Binétruy, P.; Covino, S.; Fernandez-Soto, A. Constraints on Lorentz Invariance Violation using integral/IBIS observations of GRB041219A. Phys. Rev. D 2011, 83, 121301. [Google Scholar] [CrossRef]
- Stecker, F.W. A new limit on Planck scale Lorentz violation from γ-ray burst polarization. Astropart. Phys. 2011, 35, 95–97. [Google Scholar] [CrossRef]
- Kostelecký, V.A.; Russell, N. Data tables for Lorentz and CPT violation. Rev. Mod. Phys. 2011, 83, 11–32. [Google Scholar] [CrossRef]
- Friedman, A.S.; Gerasimov, R.; Leon, D.; Stevens, W.; Tytler, D.; Keating, B.G.; Kislat, F. Improved constraints on anisotropic birefringent Lorentz invariance and C P T violation from broadband optical polarimetry of high redshift galaxies. Phys. Rev. D 2020, 102, 043008. [Google Scholar] [CrossRef]
- Kislat, F. Constraints on Lorentz Invariance Violation from Optical Polarimetry of Astrophysical Objects. Symmetry 2018, 10, 596. [Google Scholar] [CrossRef]
- Kostelecký, V.A.; Mewes, M. Astrophysical Tests of Lorentz and CPT Violation with Photons. ApJ 2008, 689, L1. [Google Scholar] [CrossRef]
- Jacob, U.; Piran, T. Lorentz-violation-induced arrival delays of cosmological particles. J. Cosmol. Astropart. Phys. 2008, 2008, 031. [Google Scholar] [CrossRef]
- McMaster, W.H. Polarization and the Stokes Parameters. Am. J. Phys. 1954, 22, 351–362. [Google Scholar] [CrossRef]
- Contopoulos, G.; Jappel, A. Transactions of the International Astronomical Union, Volume_XVB: Proceedings of the Fifteenth General Assembly, Sydney 1973 and Extraordinary Assembly, Poland 1973; D. Reidel: Dordrecht, The Netherlands, 1974. [Google Scholar]
- Ma, C.; Arias, E.F.; Eubanks, T.M.; Fey, A.L.; Gontier, A.M.; Jacobs, C.S.; Sovers, O.J.; Archinal, B.A.; Charlot, P. The International Celestial Reference Frame as Realized by Very Long Baseline Interferometry. AJ 1998, 116, 516–546. [Google Scholar] [CrossRef]
- Fomalont, E. The International Celestial Reference System. The Science of Calibration. In Astronomical Society of the Pacific Conference Series; Deustua, S., Allam, S., Tucker, D., Smith, J.A., Eds.; Astronomical Society of the Pacific: San Francisco, CA, USA, 2016; Volume 503, p. 177. [Google Scholar]
- McKinnon, M.M. Three-Dimensional Statistics of Radio Polarimetry. ApJS 2003, 148, 519–526. [Google Scholar] [CrossRef][Green Version]
- Tarantola, A. Elements for Physics: Quantities, Qualities, and Intrinsic Theories; Springer: Berlin/Heidelberg, Germany, 2006. [Google Scholar]
- Planck Collaboration; Aghanim, N.; Akrami, Y.; Ashdown, M.; Aumont, J.; Baccigalupi, C.; Ballardini, M.; Banday, A.J.; Barreiro, R.B.; Bartolo, N.; et al. Planck 2018 results. VI. Cosmological parameters. A&A 2020, 641, A6. [Google Scholar] [CrossRef]
- Shao, L. Combined search for anisotropic birefringence in the gravitational-wave transient catalog GWTC-1. Phys. Rev. D 2020, 101, 104019. [Google Scholar] [CrossRef]
- Komatsu, E.; Dunkley, J.; Nolta, M.R.; Bennett, C.L.; Gold, B.; Hinshaw, G.; Jarosik, N.; Larson, D.; Limon, M.; Page, L.; et al. Five-Year Wilkinson Microwave Anisotropy Probe Observations: Cosmological Interpretation. ApJS 2009, 180, 330–376. [Google Scholar] [CrossRef]
- Gubitosi, G.; Pagano, L.; Amelino-Camelia, G.; Melchiorri, A.; Cooray, A. A constraint on Planck-scale modifications to electrodynamics with CMB polarization data. J. Cosmol. Astropart. Phys. 2009, 2009, 021. [Google Scholar] [CrossRef]
- Kahniashvili, T.; Durrer, R.; Maravin, Y. Testing Lorentz invariance violation with Wilkinson Microwave Anisotropy Probe five year data. Phys. Rev. D 2008, 78, 123009. [Google Scholar] [CrossRef]
- Kaufman, J.P.; Keating, B.G.; Johnson, B.R. Precision tests of parity violation over cosmological distances. MNRAS 2016, 455, 1981–1988. [Google Scholar] [CrossRef]
- Leon, D.; Kaufman, J.; Keating, B.; Mewes, M. The cosmic microwave background and pseudo-Nambu-Goldstone bosons: Searching for Lorentz violations in the cosmos. Mod. Phys. Lett. A 2017, 32, 1730002. [Google Scholar] [CrossRef]
- Buzzoni, B.; Delabre, B.; Dekker, H.; Dodorico, S.; Enard, D.; Focardi, P.; Gustafsson, B.; Nees, W.; Paureau, J.; Reiss, R. The ESO Faint Object Spectrograph and Camera / EFOSC. Messenger 1984, 38, 9. [Google Scholar]
- Hutsemékers, D.; Borguet, B.; Sluse, D.; Cabanac, R.; Lamy, H. Optical circular polarization in quasars. A&A 2010, 520, L7. [Google Scholar] [CrossRef]
- Matsumiya, M.; Ioka, K. Circular Polarization from Gamma-Ray Burst Afterglows. ApJ 2003, 595, L25–L28. [Google Scholar] [CrossRef]
- Sagiv, A.; Waxman, E.; Loeb, A. Probing the Magnetic Field Structure in Gamma-Ray Bursts through Dispersive Plasma Effects on the Afterglow Polarization. ApJ 2004, 615, 366–377. [Google Scholar] [CrossRef][Green Version]
- Toma, K.; Ioka, K.; Nakamura, T. Probing the Efficiency of Electron-Proton Coupling in Relativistic Collisionless Shocks through the Radio Polarimetry of Gamma-Ray Burst Afterglows. ApJ 2008, 673, L123. [Google Scholar] [CrossRef][Green Version]
- Abazajian, K.N.; Adelman-McCarthy, J.K.; Agüeros, M.A.; Allam, S.S.; Allende Prieto, C.; An, D.; Anderson, K.S.J.; Anderson, S.F.; Annis, J.; Bahcall, N.A.; et al. The Seventh Data Release of the Sloan Digital Sky Survey. ApJS 2009, 182, 543–558. [Google Scholar] [CrossRef]
- Hutsemékers, D.; Lamy, H.; Remy, M. Polarization properties of a sample of broad absorption line and gravitationally lensed quasars. A&A 1998, 340, 371–380. [Google Scholar]
- Truebenbach, A.E.; Darling, J. The VLBA Extragalactic Proper Motion Catalog and a Measurement of the Secular Aberration Drift. ApJS 2017, 233, 3. [Google Scholar] [CrossRef]
- Sluse, D.; Hutsemékers, D.; Lamy, H.; Cabanac, R.; Quintana, H. New optical polarization measurements of quasi-stellar objects. The data. A&A 2005, 433, 757–764. [Google Scholar] [CrossRef]
- Jones, D.H.; Read, M.A.; Saunders, W.; Colless, M.; Jarrett, T.; Parker, Q.A.; Fairall, A.P.; Mauch, T.; Sadler, E.M.; Watson, F.G.; et al. The 6dF Galaxy Survey: Final redshift release (DR3) and southern large-scale structures. MNRAS 2009, 399, 683–698. [Google Scholar] [CrossRef]
- Impey, C.D.; Tapia, S. The Optical Polarization Properties of Quasars. ApJ 1990, 354, 124. [Google Scholar] [CrossRef]
- O’Meara, J.M.; Lehner, N.; Howk, J.C.; Prochaska, J.X.; Fox, A.J.; Peeples, M.S.; Tumlinson, J.; O’Shea, B.W. The Second Data Release of the KODIAQ Survey. AJ 2017, 154, 114. [Google Scholar] [CrossRef]
- Lamy, H.; Hutsemékers, D. Optical polarization of 47 quasi-stellar objects: The data. A&As 2000, 142, 451–456. [Google Scholar] [CrossRef]
- Ahn, C.P.; Alexandroff, R.; Allende Prieto, C.; Anderson, S.F.; Anderton, T.; Andrews, B.H.; Aubourg, É.; Bailey, S.; Balbinot, E.; Barnes, R.; et al. The Ninth Data Release of the Sloan Digital Sky Survey: First Spectroscopic Data from the SDSS-III Baryon Oscillation Spectroscopic Survey. ApJS 2012, 203, 21. [Google Scholar] [CrossRef]
- Véron-Cetty, M.P.; Véron, P. A catalogue of quasars and active nuclei: 13th edition. A&A 2010, 518, A10. [Google Scholar] [CrossRef]
- Pâris, I.; Petitjean, P.; Aubourg, É.; Myers, A.D.; Streblyanska, A.; Lyke, B.W.; Anderson, S.F.; Armengaud, É.; Bautista, J.; Blanton, M.R.; et al. The Sloan Digital Sky Survey Quasar Catalog: Fourteenth data release. A&A 2018, 613, A51. [Google Scholar] [CrossRef]
- Schmidt, G.D.; Hines, D.C. The Polarization of Broad Absorption Line QSOS. ApJ 1999, 512, 125–135. [Google Scholar] [CrossRef]
- Berriman, G.; Schmidt, G.D.; West, S.C.; Stockman, H.S. An Optical Polarization Survey of the Palomar-Green Bright Quasar Sample. ApJS 1990, 74, 869. [Google Scholar] [CrossRef]
- Sbarufatti, B.; Treves, A.; Falomo, R.; Heidt, J.; Kotilainen, J.; Scarpa, R. ESO Very Large Telescope Optical Spectroscopy of BL Lacertae Objects. I. New Redshifts. AJ 2005, 129, 559–566. [Google Scholar] [CrossRef]
- Barkhouse, W.A.; Hall, P.B. Quasars in the 2MASS Second Incremental Data Release. AJ 2001, 121, 2843–2850. [Google Scholar] [CrossRef]
- Beckmann, V.; Gehrels, N.; Shrader, C.R.; Soldi, S. The First INTEGRAL AGN Catalog. ApJ 2006, 638, 642–652. [Google Scholar] [CrossRef]
- Snellen, I.A.G.; McMahon, R.G.; Hook, I.M.; Browne, I.W.A. Automated optical identification of a large complete northern hemisphere sample of flat-spectrum radio sources with [formmu1]S6cm>200 mJy. MNRAS 2002, 329, 700–746. [Google Scholar] [CrossRef][Green Version]
- Visvanathan, N.; Wills, B.J. Optical Polarization of 52 Radio-loud QSOS and BL Lacertae Objects. AJ 1998, 116, 2119–2122. [Google Scholar] [CrossRef][Green Version]
- Breger, M. Intracluster dust, circumstellar shells, and the wavelength dependence of polarization in Orion. ApJ 1977, 215, 119–128. [Google Scholar] [CrossRef]
- Visvanathan, N. An Automatic Fast Digital-Photoelectric Photometer with Polarimeter. PASP 1972, 84, 248. [Google Scholar] [CrossRef]
- Ebdon, L.; Evans, E.H.; Fisher, A.; Hill, S.J. An Introduction to Analytical Atomic Spectrometry; J. Wiley & Sons: Chichester, UK, 1998. [Google Scholar]
- Noll, S.; Kausch, W.; Barden, M.; Jones, A.M.; Szyszka, C.; Kimeswenger, S.; Vinther, J. An atmospheric radiation model for Cerro Paranal. I. The optical spectral range. A&A 2012, 543, A92. [Google Scholar] [CrossRef]
- Clough, S.A.; Shephard, M.W.; Mlawer, E.J.; Delamere, J.S.; Iacono, M.J.; Cady-Pereira, K.; Boukabara, S.; Brown, P.D. Atmospheric radiative transfer modeling: A summary of the AER codes. J. Quant. Spec. Radiat. Transf. 2005, 91, 233–244. [Google Scholar] [CrossRef]
- Rothman, L.S.; Gordon, I.E.; Barbe, A.; Benner, D.C.; Bernath, P.F.; Birk, M.; Boudon, V.; Brown, L.R.; Campargue, A.; Champion, J.P.; et al. The HITRAN 2008 molecular spectroscopic database. J. Quant. Spec. Radiat. Transf. 2009, 110, 533–572. [Google Scholar] [CrossRef]
- Foreman-Mackey, D.; Hogg, D.W.; Lang, D.; Goodman, J. emcee: The MCMC Hammer. PASP 2013, 125, 306. [Google Scholar] [CrossRef]
- Bagnulo, S.; Cox, N.L.J.; Cikota, A.; Siebenmorgen, R.; Voshchinnikov, N.V.; Patat, F.; Smith, K.T.; Smoker, J.V.; Taubenberger, S.; Kaper, L.; et al. Large Interstellar Polarisation Survey (LIPS). I. FORS2 spectropolarimetry in the Southern Hemisphere. A&A 2017, 608, A146. [Google Scholar] [CrossRef]
- Siebenmorgen, R.; Voshchinnikov, N.V.; Bagnulo, S.; Cox, N.L.J.; Cami, J.; Peest, C. Large Interstellar Polarisation Survey. II. UV/optical study of cloud-to-cloud variations of dust in the diffuse ISM. A&A 2018, 611, A5. [Google Scholar] [CrossRef]
- Weisskopf, M.C.; Elsner, R.F.; Hanna, D.; Kaspi, V.M.; O’Dell, S.L.; Pavlov, G.G.; Ramsey, B.D. The prospects for X-ray polarimetry and its potential use for understanding neutron stars. arXiv 2006, arXiv:astro–ph/0611483. [Google Scholar]
- Vinokur, M. Optimisation dans la recherche d’une sinusoïde de période connue en présence de bruit. Application à la radioastronomie. Ann. D’Astrophysique 1965, 28, 412. [Google Scholar]





| Object Identifier | RAJ2000 () | DEJ2000 () | z | z Ref. | Band | p Ref. | |||
|---|---|---|---|---|---|---|---|---|---|
| QSO B1120+0154 | [61] | V | [62] | ||||||
| QSO B1124-186 | [63] | V | [64] | ||||||
| QSO J1130-1449 | [65] | Ga-As | [66] | ||||||
| QSO B1157+014 | [67] | V | [68] | ||||||
| LBQS 1205+1436 | [61] | V | [68] | ||||||
| LBQS 1212+1445 | [69] | V | [62] | ||||||
| QSO B1215-002 | [69] | V | [64] | ||||||
| QSO B1216-010 | [70] | V | [64] | ||||||
| Ton 1530 | [71] | V | [64] | ||||||
| QSO J1246-2547 | [63] | Ga-As | [66] | ||||||
| QSO B1246-0542 | [67] | Ga-As | [72] | ||||||
| QSO B1254+0443 | [69] | Ga-As | [73] | ||||||
| QSO B1256-229 | [74] | V | [64] | ||||||
| QSO J1311-0552 | [75] | V | [62] | ||||||
| LBQS 1331-0108 | [69] | V | [62] | ||||||
| [VV96] J134204.4-181801 | [75] | V | [64] | ||||||
| 2E 3238 | [76] | Ga-As | [73] | ||||||
| LBQS 1429-0053 | [69] | V | [62] | ||||||
| QSO J2123+0535 | [77] | Ga-As | [66] | ||||||
| QSO B2128-123 | [67] | S20 | [78] | ||||||
| QSO B2155-152 | [63] | Ga-As | [66] | 
| SME Parameter | Upper Bound () | Lower Bound () | 
|---|---|---|
| Publisher’s Note: MDPI stays neutral with regard to jurisdictional claims in published maps and institutional affiliations. | 
© 2021 by the authors. Licensee MDPI, Basel, Switzerland. This article is an open access article distributed under the terms and conditions of the Creative Commons Attribution (CC BY) license (https://creativecommons.org/licenses/by/4.0/).
Share and Cite
Gerasimov, R.; Bhoj, P.; Kislat, F. New Constraints on Lorentz Invariance Violation from Combined Linear and Circular Optical Polarimetry of Extragalactic Sources. Symmetry 2021, 13, 880. https://doi.org/10.3390/sym13050880
Gerasimov R, Bhoj P, Kislat F. New Constraints on Lorentz Invariance Violation from Combined Linear and Circular Optical Polarimetry of Extragalactic Sources. Symmetry. 2021; 13(5):880. https://doi.org/10.3390/sym13050880
Chicago/Turabian StyleGerasimov, Roman, Praneet Bhoj, and Fabian Kislat. 2021. "New Constraints on Lorentz Invariance Violation from Combined Linear and Circular Optical Polarimetry of Extragalactic Sources" Symmetry 13, no. 5: 880. https://doi.org/10.3390/sym13050880
APA StyleGerasimov, R., Bhoj, P., & Kislat, F. (2021). New Constraints on Lorentz Invariance Violation from Combined Linear and Circular Optical Polarimetry of Extragalactic Sources. Symmetry, 13(5), 880. https://doi.org/10.3390/sym13050880
 
         
                                                

 
       