Accurate Spectral Collocation Computations of High Order Eigenvalues for Singular Schrödinger Equations-Revisited
Abstract
1. Introduction
2. Complex Schrödinger Potential
- is the Banach space of measurable functions which are bounded outside a set of measure zero;
- the limit exists and is finite.
3. Schrödinger Type Equations with Unbounded Potential at One Endpoint
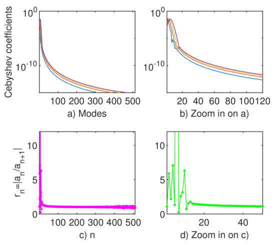
3.1. Singular Inverse Square Potential
3.2. The Eigenproblem of Dunford and Schwartz
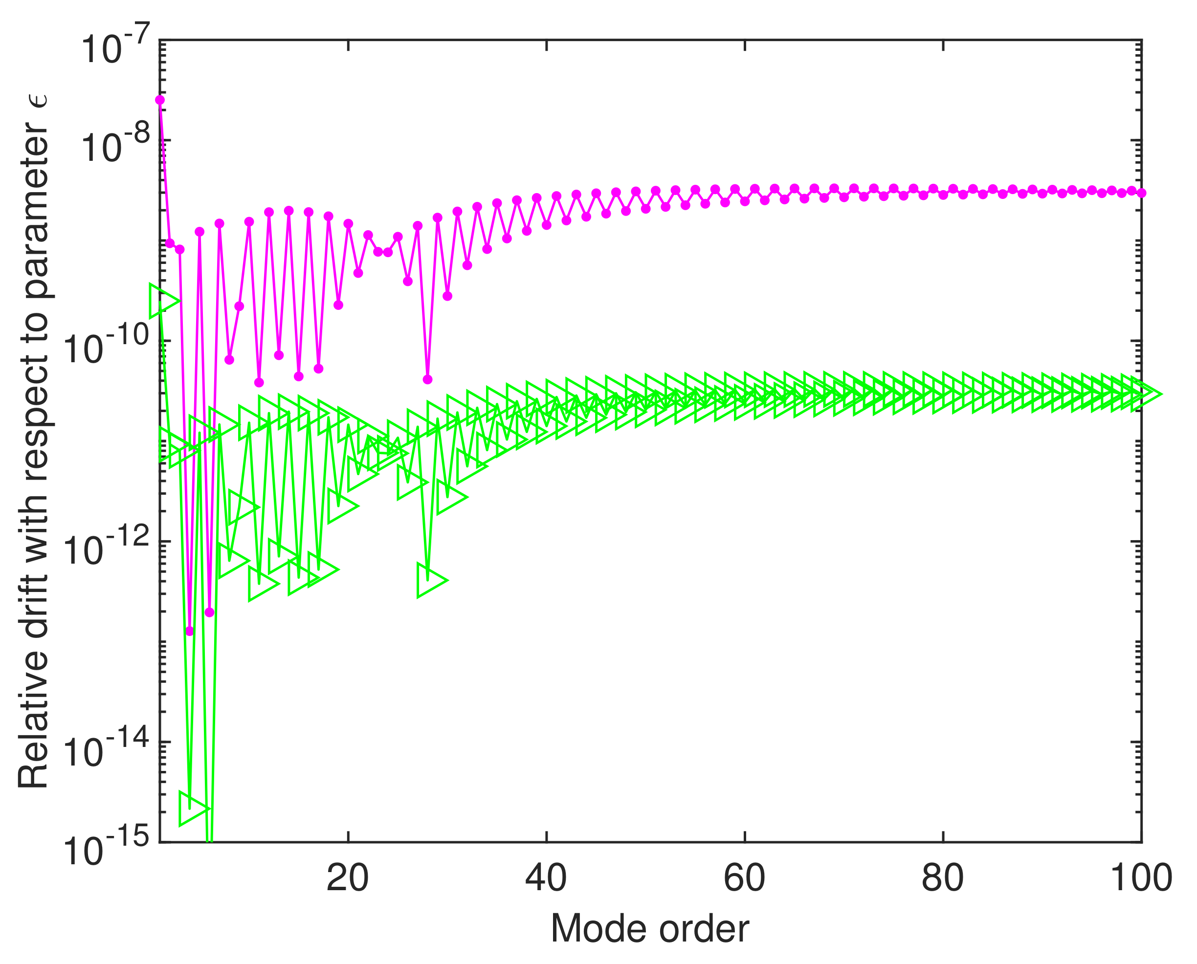
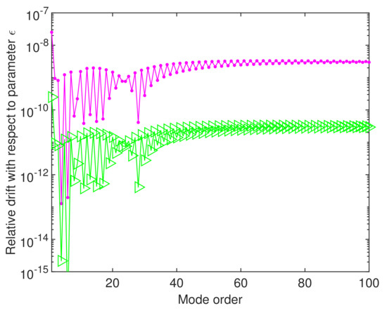
3.3. A Nasty Eigenproblem with Logarithmic Potential
3.3.1. ChC Method
3.3.2. Chebfun Method
3.3.3. ChC vs. Chebfun
3.4. Quantum-Mechanical Potential with Weierstrass Spectrum
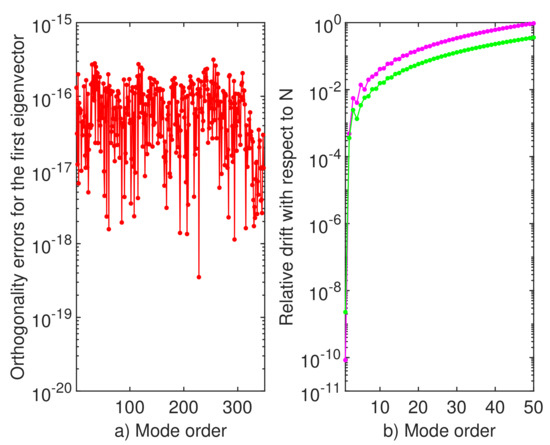
4. Schrödinger Type Equations with an Interior Singularity
- and
- in general , but both limits are finite;
- for
- is a complete orthonormal set in the Hilbert space
- degeneracy may occur, but no eigenvalue can have multiplicity greater than two.
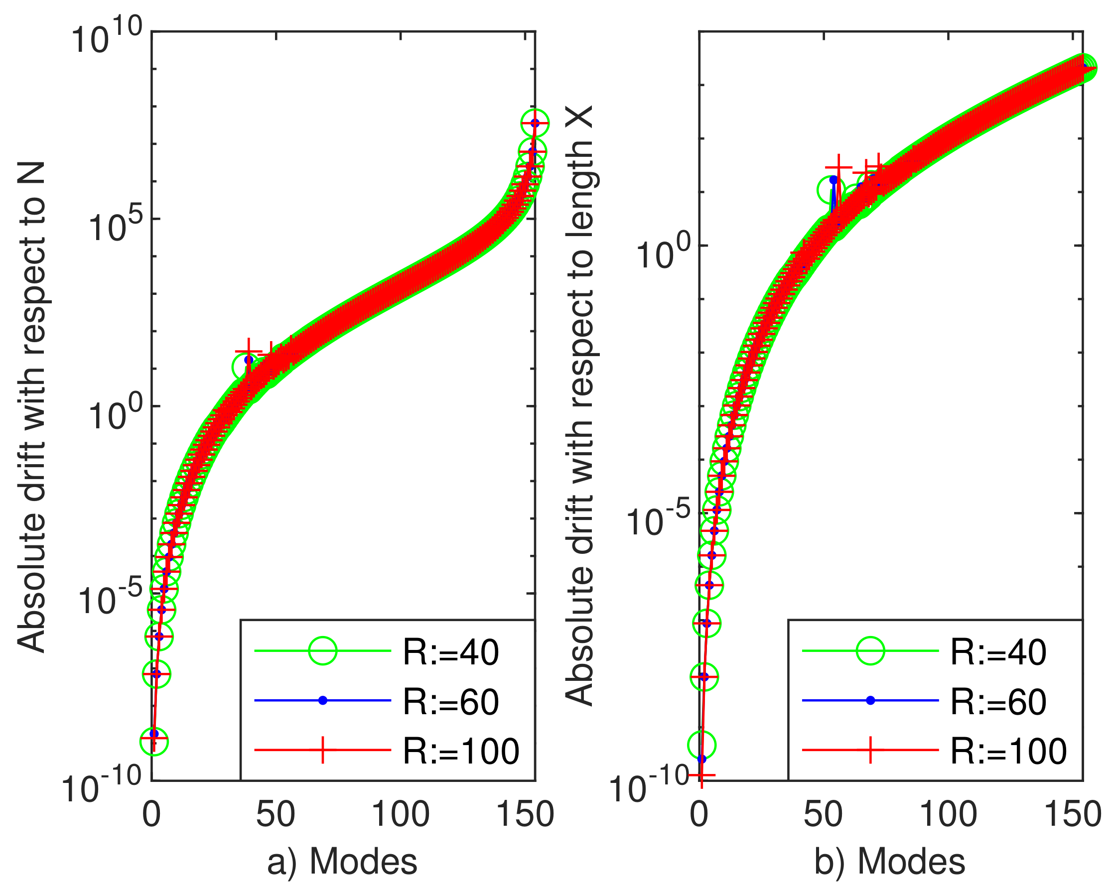
4.1. Chebfun Results
4.2. Sinc Collocation Results
4.3. Zero-Pairs of Bessel Functions
5. Extension to a Regular 2D Schrödinger Equation
6. Conclusions and Some Open Problems
Funding
Acknowledgments
Conflicts of Interest
Abbreviations
| 2D | two-dimensional |
| ChC | Chebyshev collocation |
| CP | constant perturbation method |
| FCT | Fast Chebyshev transform |
| SiC | sinc collocation |
| SL | Sturm–Liouville |
| SLEDGE | Sturm–Liouville Estimates Determined by Global Errors (a Fortran code) |
| SLTSTPAK | a Fortran 90 test package for numerical integration of SL problems |
References
- Gheorghiu, C.-I. Accurate Spectral Collocation Computation of High Order Eigenvalues for Singular Schrödinger Equations. Computation 2021, 9, 2. [Google Scholar] [CrossRef]
- Shizgal, B. Spectral Methods in Chemistry and Physics. Application to Kinetic Theory and Quantum Mechanics; Springer: Berlin/Heidelberg, Germany, 2015. [Google Scholar] [CrossRef]
- Zettl, A. Sturm–Liouville Theory; A. M. S. Providence: Providence, RI, USA, 2005. [Google Scholar]
- Frank, W.M.; Land, J.D.; Spector, R.M. Singular Potentials. Rev. Mod. Phys. 1971, 43, 36–98. [Google Scholar] [CrossRef]
- Berry, M.V.; Lewis, S.V. On the Weierstrass-Mandelbrot Fractal Function. Proc. R. Soc. Lond. A 1980. [Google Scholar] [CrossRef]
- Gheorghiu, C.-I. Spectral Methods for Non-Standard Eigenvalue Problems. Fluid and Structural Mechanics and Beyond; Springer: Berlin/Heidelberg, Germany, 2014. [Google Scholar]
- Weideman, J.A.C.; Reddy, S.C. A MATLAB Differentiation Matrix Suite. ACM Trans. Math. Softw. 2000, 26, 465–519. [Google Scholar] [CrossRef]
- Schonfelder, J.L. Chebyshev Expansions for the Error and Related Functions. Math. Comput. 1978, 32, 1232–1240. [Google Scholar] [CrossRef]
- Roy, A.K. The generalized pseudospectral approach to the bound states of the Hulthén and the Yukawa potentials. Pramana J. Phys. 2005, 65, 1–15. [Google Scholar] [CrossRef]
- Driscoll, T.A.; Bornemann, F.; Trefethen, L.N. The CHEBOP System for Automatic Solution of Differential Equations. BIT 2008, 48, 701–723. [Google Scholar] [CrossRef]
- Driscoll, T.A.; Hale, N.; Trefethen, L.N. Chebfun Guide; Pafnuty Publications: Oxford, UK, 2014. [Google Scholar]
- Trefethen, L.N.; Birkisson, A.; Driscoll, T.A. Exploring ODEs, SIAM: Philadelphia, PA, USA, 2018.
- Brown, B.M.; McCormack, D.K.R.; Evans, W.D.; Plum, M. On the spectrum of second-order differential operators with complex coefficients. Proc. R. Soc. A 1999, 455, 1235–1257. [Google Scholar] [CrossRef]
- Brown, B.M.; Langer, M.; Marletta, M.; Tretter, C.; Wagenhofer, M. Eigenvalue bounds for the singular Sturm–Liouville problem with a complex potential. J. Phys. A: Math. Gen. 2003, 36, 3773–3787. [Google Scholar] [CrossRef]
- Magherini, C. A corrected spectral method for Sturm–Liouville problems with unbounded potential at one endpoint. J. Comput. Appl. Math. 2020, 364. [Google Scholar] [CrossRef]
- Boyd, J.P. A Chebyshev polynomial method for computing analytic solutions to eigenvalue problems with application to the anharmonic oscillator. J. Math. Phys. 1978, 19, 1445–1456. [Google Scholar] [CrossRef]
- Pryce, J.D. A Test Package for Sturm–Liouville Solvers. ACM T. Math. Softw. 1999, 25, 21–57. [Google Scholar] [CrossRef]
- Hoepffner, J. Implementation of Boundary Conditions. Available online: http://www.lmm.jussieu.fr/hoepffner/boundarycondition.pdf (accessed on 25 August 2012).
- Boyd, J.P. Traps and Snares in Eigenvalue Calculations with Application to Pseudospectral Computations of Ocean Tides in a Basin Bounded by Meridians. J. Comput. Phys. 1996, 126, 11–20. [Google Scholar] [CrossRef]
- Everitt, W.N.; Gunson, J.; Zettl, A. Some comments on Sturm–Liouville eigenvalue problems with interior singularities. J. Appl. Math. Phys. ZAMP 1987, 38, 813–838. [Google Scholar] [CrossRef]
- Volkmer, H.W. Eigenvalue problems for Bessel’s equation and zero-pairs of Bessel functions. Stud. Sci. Math. Hung. 1999, 35, 261–280. [Google Scholar]
- Bender, C.; Orszag, S. Advanced Mathematical Methods for Scientists and Engineers; McGraw-Hill: New York, NY, USA, 1978. [Google Scholar]
- Trefethen, L.N. Analyticity at Eigenvalue Near-Crossings. Available online: https://www.chebfun.org/examples/linalg/CrossingsAnalyticity.html (accessed on 20 January 2020).
- Teytel, M. How Rare Are Multiple Eigenvalues? Comm. Pure Appl. Math. 1999, 52, 917–934. [Google Scholar] [CrossRef]
- Birkhoff, G.; Lynch, R.E. Numerical Solutions of Elliptic Problems; Society for Industrial and Applied Mathematics: University City, PA, USA, 2014; pp. 38–40. [Google Scholar] [CrossRef]
- Ixaru, L. New numerical method for the eigenvalue problem of the 2D Schrödinger equation. Comput. Phys. Commun. 2010, 181, 1738–1742. [Google Scholar] [CrossRef]

















| Computed by ChC | According to [15] | |
|---|---|---|
| Discrete by Chebfun | “Continuous Spectrum by Chebfun | ||
|---|---|---|---|
| Computed by ChC | Computed by Chebfun | According to [17] | |
|---|---|---|---|
| Eigenvalues | |||
|---|---|---|---|
| Computed by SiC | Computed by Chebfun | According to [20] | |
|---|---|---|---|
| Chebfun | Chebfun | ChC | |
|---|---|---|---|
Publisher’s Note: MDPI stays neutral with regard to jurisdictional claims in published maps and institutional affiliations. |
© 2021 by the author. Licensee MDPI, Basel, Switzerland. This article is an open access article distributed under the terms and conditions of the Creative Commons Attribution (CC BY) license (https://creativecommons.org/licenses/by/4.0/).
Share and Cite
Gheorghiu, C.-I. Accurate Spectral Collocation Computations of High Order Eigenvalues for Singular Schrödinger Equations-Revisited. Symmetry 2021, 13, 761. https://doi.org/10.3390/sym13050761
Gheorghiu C-I. Accurate Spectral Collocation Computations of High Order Eigenvalues for Singular Schrödinger Equations-Revisited. Symmetry. 2021; 13(5):761. https://doi.org/10.3390/sym13050761
Chicago/Turabian StyleGheorghiu, Călin-Ioan. 2021. "Accurate Spectral Collocation Computations of High Order Eigenvalues for Singular Schrödinger Equations-Revisited" Symmetry 13, no. 5: 761. https://doi.org/10.3390/sym13050761
APA StyleGheorghiu, C.-I. (2021). Accurate Spectral Collocation Computations of High Order Eigenvalues for Singular Schrödinger Equations-Revisited. Symmetry, 13(5), 761. https://doi.org/10.3390/sym13050761
