Abstract
In this paper, the transfer functions related to one-dimensional (1-D) and two-dimensional (2-D) filters have been theoretically and numerically investigated. The finite impulse response (FIR), as well as the infinite impulse response (IIR) are the main 2-D filters which have been investigated. More specifically, methods like the Windows method, the bilinear transformation method, the design of 2-D filters from appropriate 1-D functions and the design of 2-D filters using optimization techniques have been presented.
1. Introduction
There are two types of digital filters: the Finite Impulse Response (FIR) filters or Non-Recursive filters and the Infinite Impulse Response (IIR) filters or Recursive filters [1,2,3,4,5]. In the non-recursive filter structures the output depends only on the input, and in the recursive filter structures the output depends both on the input and on the previous outputs. The Recursive filters have been employed in science and technology for issues like signal processing, control signals, radar signals, astronomy signals, medical image processing and x-ray enhancements, among others. The Non-Recursive filters are almost everywhere in applications where phase linearity has to be ensured. FIR filters are the best choice for applications like adaptive filters, averaging filters, speech analysis, spatial beamforming (spatial filtering), and multirate signal processing, among others.
In this paper, methods like the Windows and the Bilinear Transformation method have been used to design FIR and IIR digital filters. The design approaches for the case of 2-D IIR filters are based on (a) appropriate 1-D filters and οn (b) appropriate optimization techniques [6,7,8,9,10,11].
2. Finite Impulse Response Filters and Infinite Impulse Response Filters
Finite impulse response (FIR) filters and infinite impulse response (IIR) filters are broadly used in signal processing studies and industrial applications. The FIR filter is a filter whose impulse response has a finite duration as a result of settling to zero in finite time. On the other hand, the impulse response of the IIR filter has aninfinite duration due to the existence of a feedback in the filter [1,2].
The aforementioned filters can be categorized with respect to the frequency range which can pass through them (lowpass, highpass, bandpass and bandstop filters). The ideal frequency response for the cases of lowpass, highpass, bandpass and bandstop filters is presented in Figure 1. In the next sections, we describe methods used to design FIR and IIR filters. More specifically, the transfer functions for some filters of special importance e.g., highpass filters and lowpass filters have been studied and have shown their dependence on system parameters (frequency and attenuation, among others).
Figure 1.
Ideal digital filters.
2.1. FIR Filters
The Window method, the Kaiser Window method, the Frequency Sampling method, the Weighted least squares design and the Parks–McClellan method, among other methods [1,2], are the most commonly used methods to design digital FIR filters. The Window methods (Ideal filters, Rectangular Window and Hamming Window [1]) are the simplest methods for designing FIR digital filters. Here, the design of FIR with simple frequency response shapes filters is presented. The ideal frequency response is periodic in with period as shown in Figure 1. The Discrete-Time Fourier Transform (DTFT) and the inverse DTFT relationships are used to estimate the impulse response as
After some algebra, the final form of the impulse response is
and, as a result, the impulse responses for the ideal FIR filters are given as
It is worth mentioning that for the same cutoff frequencies the lowpass/highpass filters and bandpass/bandstop filters are complementary [1], which can be useful for graphic equalizers and loudspeaker cross-over networks.
2.2. IIR Filters
The bilinear transformation method is commonly used to design IIR digital filters. This method maps the digital filter into an equivalent analog filter, which can be designed by using one of the well-developed analog filter design methods, such as Butterworth, Chebyshev, or elliptic filter designs. Considering a map of the form
where “s” and “z” present the planes of analog filter and digital filter, respectively, the bilinear transformation can be written as
with and ( and are the digital frequency and the equivalent analog frequency, respectively). The digital frequency and the analog frequency are connected via the following relation
Here, we present the transfer function of the first-order lowpass filter. The general form of the transfer function is written as
The final form of the transfer function for a first-order lowpass filter and the appropriate coefficients are given as
For the case of first-order highpass digital filters, the transfer function is given as
Using the bilinear transformation [1]
the transfer function gets the form
where the coefficients have the form
Example 1.
Let us consider a lowpass filter operating at 10 kHz, with (3-dB frequency is 1 kHz).
The other coefficients in Equation (8) get the values
and .
As a result, the transfer function gets the form
Following the same procedure, for the case of , the transfer function is given by the following form
The magnitude response of the designed filters (lowpass and highpass filters) are presented in Figure 2 and Figure 3, respectively. As it is shown, the transfer function for both the first-order lowpass and the first-order highpass filters depends strongly on the parameters ωc and .
Figure 2.
The transfer function for first-order lowpass digital filters as a function of frequency.
Figure 3.
The transfer function for first-order highpass digital filters as a function of frequency.
Example 2.
Let us consider a digital highpass filter operating at 10 kHz, with (3-dB frequency is 1 kHz). Using the Equations (11) and (12) and the considering , the transfer function is given as
The transfer function for the case of is written as
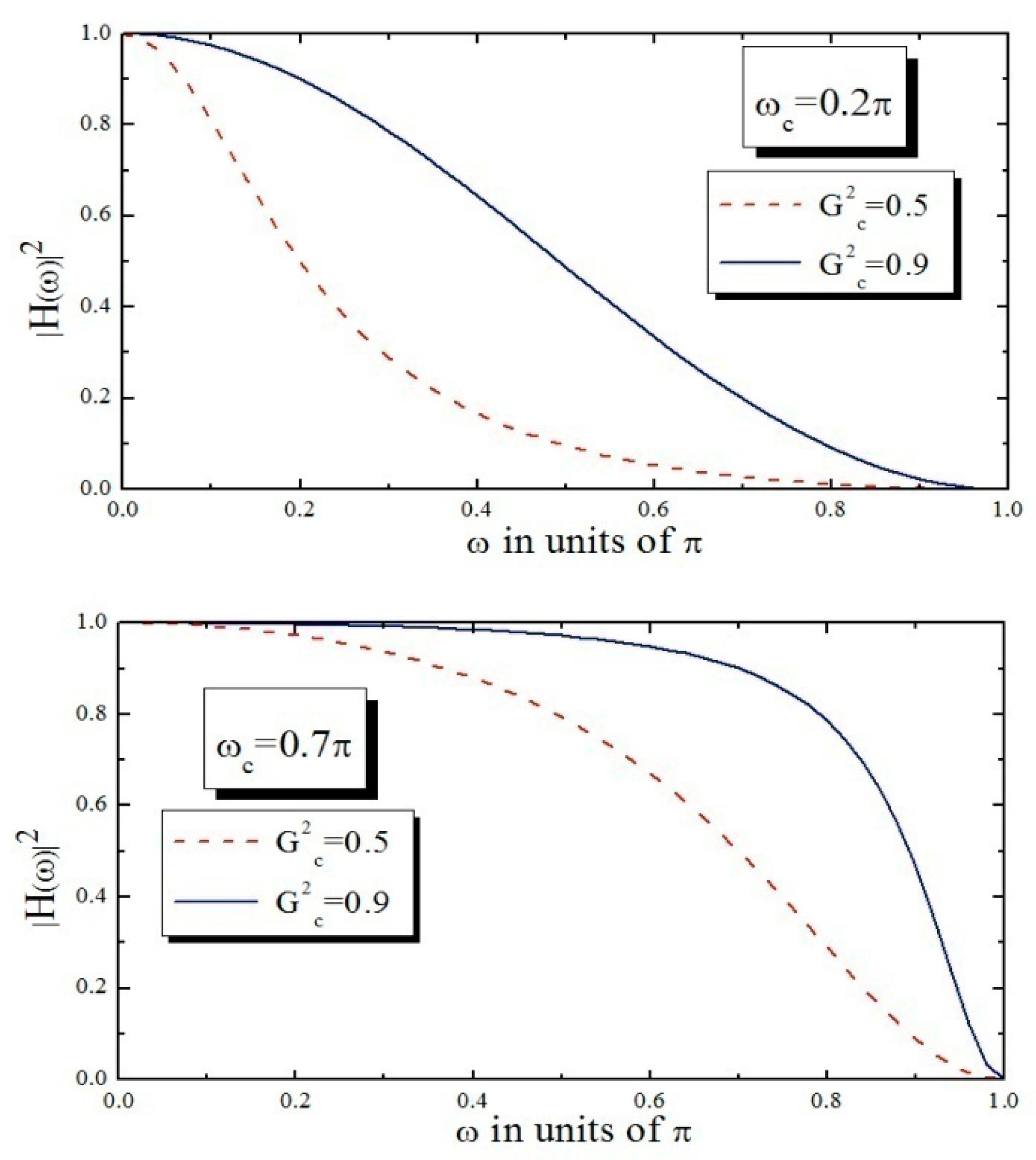
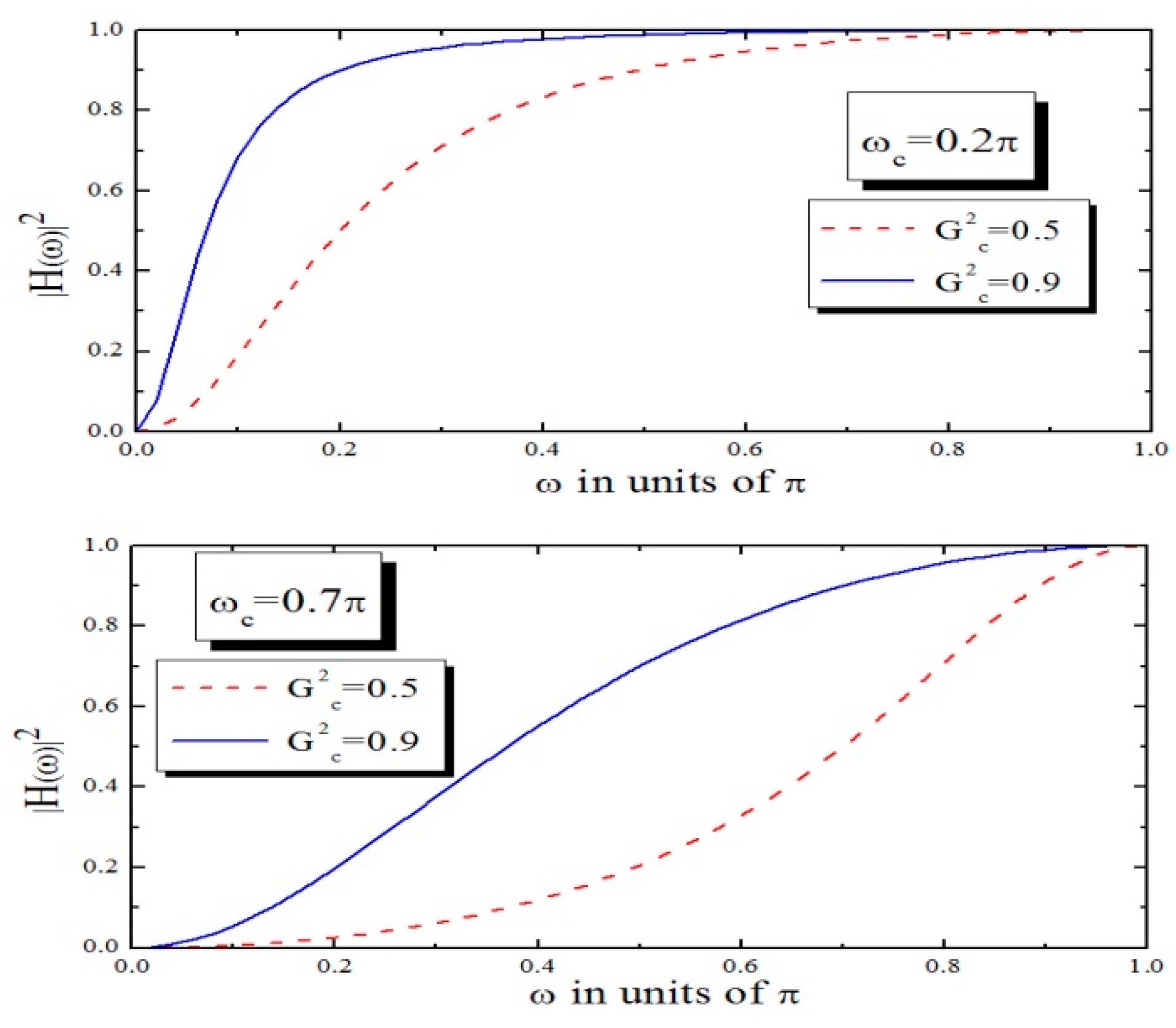
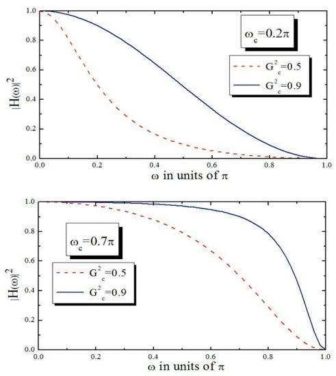
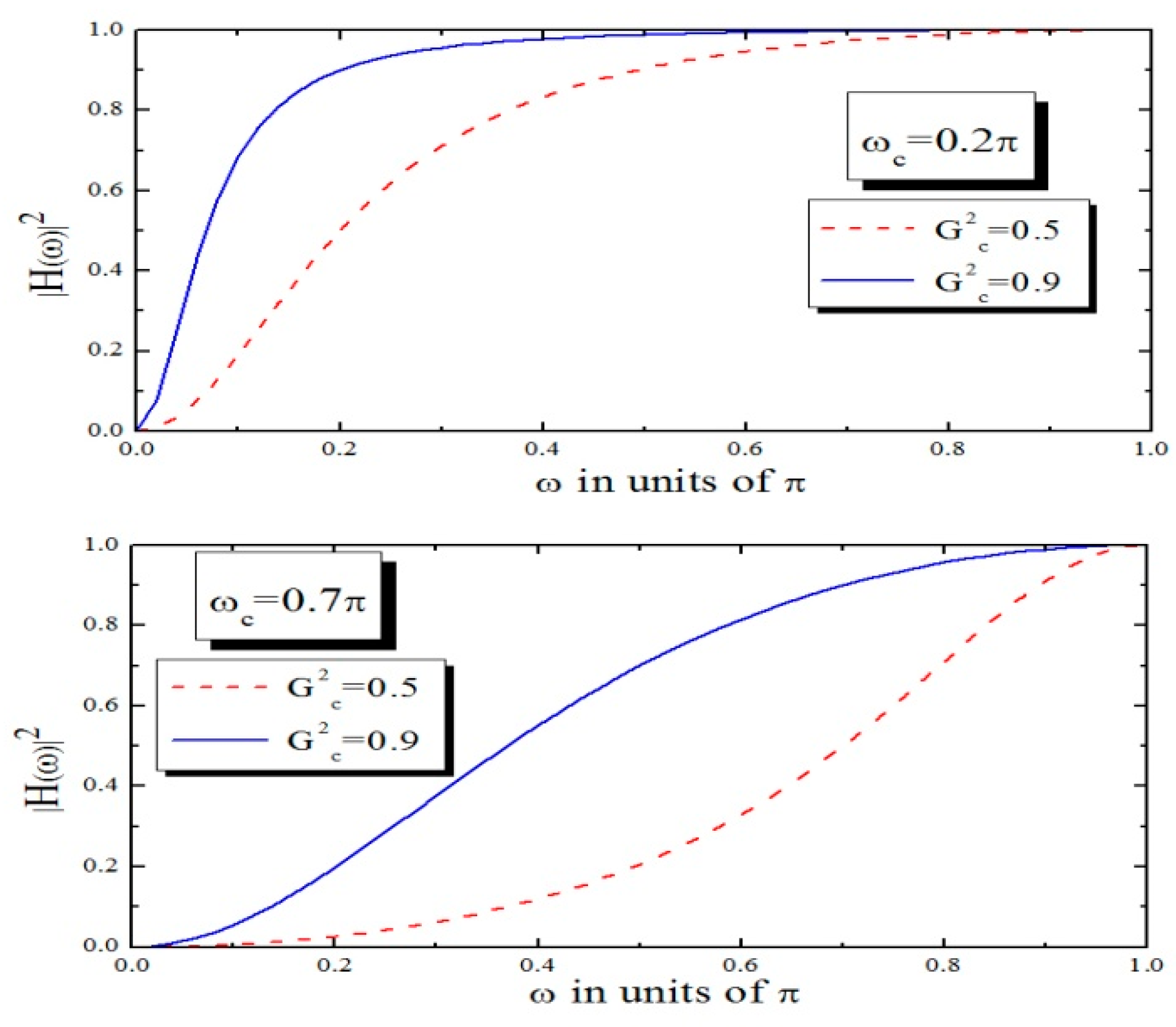
In Figure 4, we present the frequency dependence of the transfer function for lowpass and highpass digital filters for different cutoff frequencies and . It seems that the transfer function changes drastically by increasing the factor .
Figure 4.
The transfer function for first-order lowpass and highpass digital filters as a function of frequency for different .
3. Transfer Functions for 2-D Digital Filters
3.1. Direct Design of 2-D Filters from Appropriate 1-D Functions
For the case of lowpass Butterworth filter with cutoff frequency Ω = 1, the 1-D transfer function takes the form [5]
Without using transformations (e.g., McClellan Transformations) or other optimization techniques [5], an easy transformation from 1-D to 2-D lowpass filters could be given by the following transfer function
where with p a positive integer.
Using the trigonometric property and considering a zero-phase filter, the transfer function can be written as
Finally, the function gets the form
The Bounded Input Bounded Output Filter (BIBO) stability of the last function can be proven easily by taking into account that the 2-D system is a non-casual system. As a result, the necessary and sufficient condition is
The function can be proven to be different from zero. Considering , we get the following form
which is always different from zero.
Equations (15) and (18) could be extended to
where .
Example 3.
Let us consider the 2-D filter with n = 8 and p = 4. The transfer function has the form
or
Figure 5.
The magnitude response of 2-D filter with n = 8 and p = 4.
Figure 6.
The magnitude response of 2-D filter with n = 8, p = 4 and ε = 2.
3.2. Design of 2-D Filters Using Optimization Techniques
Considering the 2-D IIR filter, the transfer function could get the following form
The filter design demands the minimization of the following function
is the desired amplitude response of the designed 2-D filter and with
In order to design the filter, we have to minimize the following function
subject to the constraints.
In the last decades, many methods have been proposed for constraint optimization problems related to engineering applications. Among others, techniques based on genetic algorithms [6,7,8,9,10], Particle Swarm Optimization simulated annealing [11], Ant Colony Optimization [12] or even methods that utilize Artificial Neural Networks [13] are some of the most commonly used methods which have been employed to solve constraint optimization problems. Furthermore, software packages (such as PyOpt, a Python-based Object-Oriented Framework for Nonlinear Constrained Optimization [14], the Grey Wolf Optimizer (GWO) algorithm [15], which mimics the leadership hierarchy and hunting mechanism of grey wolves in nature, etc.) have been developed for solving constraint optimization problems.
4. Conclusions
In this paper, transformations for designing FIR and IIR digital filters have been presented. Some of the most commonly used methods to describe the lowpass/highpass 1-D and 2-D filters have been employed. Some numerical examples illustrate the validity and usefulness of the proposed transformations for the transfer functions of the aforementioned filters.Furthermore, using a direct design of 2-D filters from appropriate 1-D functions can be used to derive the transfer functions of highpass, bandstop and bandpass noncausal 2-D IIR filters. Lastly, we summarize some of the most commonly used constraint optimization methods to provide general transformations for designing 2-D IIR filters.
Author Contributions
All authors have contributed equally to this paper. Conceptualization, V.N.S., I.G.T. and N.E.M.; methodology, V.N.S., I.G.T. and N.E.M.; Writing—original draft, V.N.S., I.G.T. and N.E.M.; Writing—review and editing, V.N.S., I.G.T. and N.E.M. All authors have read and agreed to the published version of the manuscript.
Funding
This research received no external funding.
Conflicts of Interest
The authors declare no conflict of interest.
References
- Orfanidis, S. Introduction to Signal Processing; Prentice Hall: Upper Saddle River, NJ, USA, 1996. [Google Scholar]
- Lu, W.; Antoniou, A. Two-Dimensional Digital Filters; CRC Press: Boca Raton, FL, USA, 1992. [Google Scholar]
- Hsieh, C.-H.; Kuo, C.-M.; Jou, Y.-D.; Han, Y.-L. Design of two-dimensional FIR Digital Filters by a two-dimensional WLS Technique. IEEE Trans. Circuits Syst. Part II 1997, 44, 348–412. [Google Scholar] [CrossRef]
- Reay, D.S. Digital Signal Processing Using the ARM® CORTEX®-M4; John Wiley & Sons: Hoboken, NJ, USA, 2015. [Google Scholar]
- Mastorakis, N.E. Transformations for direct design of 2-D filters from appropriate 1-D functions. WSEAS Trans. Circuits Syst. 2011, 10, 10–16. [Google Scholar]
- Mastorakis, N.E.; Gonos, I.F.; Swamy, M.N.S. Design of Two-Dimensional Recursive Filters Using Genetic Algorithms. IEEE Trans. Circuits Syst. I Regul. Pap. 2003, 50, 634–639. [Google Scholar] [CrossRef]
- Mladenov, V.; Mastorakis, N. Design of two-dimensional recursive filters by using neural networks. IEEE Trans. Neural Netw. 2001, 12, 585–590. [Google Scholar] [CrossRef] [PubMed]
- Goldberg, D.E. Genetic Algorithms in Search, Optimization and Machine Learning; Addison-Wesley: Reading, MA, USA, 1989. [Google Scholar]
- Tsoulos, I.G.; Stavrou, V.N.; Mastorakis, N.; Tsalikakis, D. GenConstraint: A programming tool for constraint optimization problems. SoftwareX 2019, 10, 100355. [Google Scholar] [CrossRef]
- Tsoulos, I.G. Solving constrained optimization problems using a novel genetic algorithm. Appl. Math. Comput. 2009, 208, 273–283. [Google Scholar] [CrossRef]
- Dhadal, S.; Venkateswaran, P. Two-Dimensional IIR Filter Design Using Simulated Annealing Based Particle Swarm Optimization. J. Optim. 2014, 2014, 1–10. [Google Scholar]
- Kaveh, A.; Talatahari, S. An improved ant colony optimization for constrained engineering design Problems. Eng. Comput. 2010, 27, 155–182. [Google Scholar] [CrossRef]
- Lillo, W.E.; Hui, S.; Zak, S.H. Neural networks for constrained optimization problems. Int. J. Circuit Theory Appl. 1993, 21, 385–399. [Google Scholar] [CrossRef]
- Perez, R.E.; Jansen, P.W.; Martins, J.R.R.A. pyOpt: A Python-Based Object-Oriented Framework for Nonlinear Constrained Optimization. Struct. Multidiscip. Optim. 2012, 45, 101–118. [Google Scholar] [CrossRef]
- Mirjalili, S.; Mirjalili, S.M.; Lewis, A. Grey wolf optimizer. Adv. Eng. Softw. 2014, 69, 46–61. [Google Scholar] [CrossRef]
Publisher’s Note: MDPI stays neutral with regard to jurisdictional claims in published maps and institutional affiliations. |
© 2021 by the authors. Licensee MDPI, Basel, Switzerland. This article is an open access article distributed under the terms and conditions of the Creative Commons Attribution (CC BY) license (http://creativecommons.org/licenses/by/4.0/).





