Effects of Anodizing Conditions on Thermal Properties of Al 20XX Alloys for Aircraft
Abstract
1. Introduction
2. Materials and Methods
3. Results and Discussion
4. Conclusions
- (1)
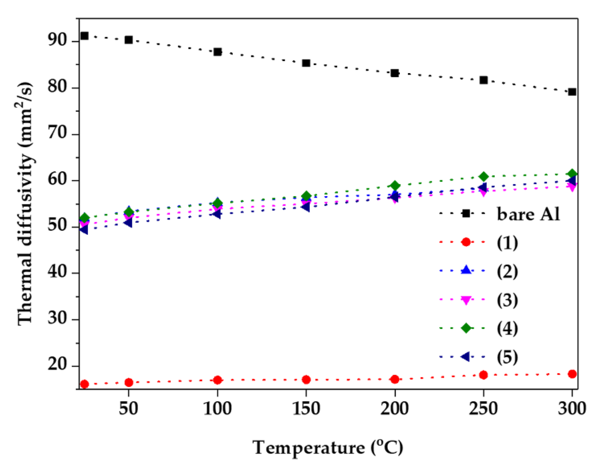
- The oxide layer formed on the aluminum substrate by anodizing process reduced thermal diffusivity and increased emissivity.
- (2)
- The oxide layer formed via tin-sulfuric acid solution was confirmed to be the densest by XPS and hardness results with the highest thermal diffusivity and emissivity.
- (3)
- The temperature of LED attached with the specimen formed through the tin-sulfuric acid solution was approximately 10% lower than when the bare aluminum was attached.
- (4)
- That is, the temperature of the aircraft surface would be reduced when formed a dense oxide layer using an appropriate anodizing process on Al 20XX alloys.
Author Contributions
Funding
Institutional Review Board Statement
Informed Consent Statement
Data Availability Statement
Conflicts of Interest
References
- Markopoulos, A.P.; Papazoglou, E.L.; Karmiris-Obratański, P. Experimental study on the influence of machining conditions on the quality of electrical discharge machined surfaces of aluminum alloy Al 5052. Machines 2020, 8, 12. [Google Scholar] [CrossRef]
- Rambabu, P.; Prasad, N.E.; Kutumbarao, V.; Wanhill, R. Aluminium alloys for aerospace applications. Aerosp. Mater. Mater. Technol. 2017, 29–52. [Google Scholar] [CrossRef]
- Starke, E., Jr.; Staley, J.T. Application of modern aluminum alloys to aircraft. PrAeS 1996, 32, 131–172. [Google Scholar] [CrossRef]
- Zhang, P.; Li, Y.; Liu, Y.; Zhang, Y.; Liu, J. Analysis of the microhardness, mechanical properties and electrical conductivity of 7055 aluminum alloy. Vacuum 2020, 171. [Google Scholar] [CrossRef]
- Dursun, T.; Soutis, C. Recent developments in advanced aircraft aluminium alloys. Mater. Des. 2014, 56, 862–871. [Google Scholar] [CrossRef]
- Kim, D.; Sung, D.; Lee, J.; Kim, Y.; Chung, W. Composite plasma electrolytic oxidation to improve the thermal radiation performance and corrosion resistance on an Al substrate. Appl. Surf. Sci. 2015, 357, 1396–1402. [Google Scholar] [CrossRef]
- Yao, Z.; Hu, B.; Shen, Q.; Niu, A.; Jiang, Z.; Su, P.; Ju, P. Preparation of black high absorbance and high emissivity thermal control coating on Ti alloy by plasma electrolytic oxidation. Surf. Coat. Technol. 2014, 253, 166–170. [Google Scholar] [CrossRef]
- Ge, Y.; Wang, Y.; Zhang, Y.; Guo, L.; Jia, D.; Ouyang, J.; Zhou, Y. The improved thermal radiation property of SiC doped microarc oxidation ceramic coating formed on niobium metal for metal thermal protective system. Surf. Coat. Technol. 2017, 309, 880–886. [Google Scholar] [CrossRef]
- Zhao, B.; Li, L.; Zhang, K.; Yu, K.; Liu, Y. Study on the changes of emissivity of basic copper carbonate in the decomposition process. Int. J. Heat Mass. Transf. 2019, 139, 641–647. [Google Scholar] [CrossRef]
- Abrahami, S.T.; Kok, J.M.M.; Terryn, H.; Mol, J.M.C. Toward Cr(Ⅵ)-free anodization of aluminum alloys for aerospace adhesive bonding applications: A review. Front. Chem. Sci. Eng. 2017, 11, 465–482. [Google Scholar] [CrossRef]
- Shao, L.; Li, H.; Jiang, B.; Liu, C.; Gu, X.; Chen, D. A comparative study of corrosion behavior of hard anodized and micro-arc oxidation coatings on 7050 aluminum alloy. Metals 2018, 8, 165. [Google Scholar] [CrossRef]
- Jayakrishna, K.; Kar, V.R.; Sultan, M.T.; Rajesh, M. 1-Materials selection for aerospace components. Sustain. Compos. Aerosp. Appl. 2018, 1–18. [Google Scholar] [CrossRef]
- Lee, J.; Kim, Y.; Jung, U.; Chung, W. Thermal conductivity of anodized aluminum oxide layer: The effect of electrolyte and temperature. Mater. Chem. Phys. 2013, 141, 680–685. [Google Scholar] [CrossRef]
- Lambert, M.; Marotta, E.; Fletcher, L. The thermal contact conductance of hard and soft coat anodized aluminum. J. Heat Transfer. 1995. [Google Scholar] [CrossRef]
- Yu, S.; Wang, L.; Wu, C.; Feng, T.; Cheng, Y.; Bu, Z.; Zhu, S. Studies on the corrosion performance of an effective and novel sealing anodic oxide coating. J. Alloys. Compd. 2020, 817, 153257. [Google Scholar] [CrossRef]
- Costenaro, H.; Queiroz, F.M.; Terada, M.; Olivier, M.G.; Costa, I.; De Melo, H.G. Corrosion protection of AA2524-T3 anodized in tartaric-sulfuric acid bath and protected with hybrid sol-gel coating. Key Eng. Mater. 2016, 710, 210–215. [Google Scholar] [CrossRef]
- Lu, W.; Iwasa, Y.; Ou, Y.; Jinno, D.; Kamiyama, S.; Petersen, P.M.; Ou, H. Effective optimization of surface passivation on porous silicon carbide using atomic layer deposited Al2O3. RSC Adv. 2017, 7, 8090–8097. [Google Scholar] [CrossRef]
- Batra, N.; Gope, J.; Vandana; Panigrahi, J.; Singh, R.; Singh, P.K. Influence of deposition temperature of thermal ALD deposited Al2O3 films on silicon surface passivation. AIP. Adv. 2015, 5, 067113. [Google Scholar] [CrossRef]
- Wen, C.-D.; Mudawar, I. Emissivity characteristics of roughened aluminum alloy surfaces and assessment of multispectral radiation thermometry (MRT) emissivity models. Int. J. Heat Mass. Transf. 2004, 47, 3591–3605. [Google Scholar] [CrossRef]
- Zou, Y.; Wang, Y.; Zhang, H.; Wei, D.; Jin, T.; Wang, H.; Liao, S.; Jia, D.; Zhou, Y. Al2O3/reduced graphene oxide double-layer radiative coating for efficient heat dissipation. Mater. Des. 2018, 157, 130–140. [Google Scholar] [CrossRef]
- Lee, J.; Kim, N.; Choi, C.-H.; Chung, W. Nanoporous anodic alumina oxide layer and its sealing for the enhancement of radiative heat dissipation of aluminum alloy. Nano Energy 2017, 31, 504–513. [Google Scholar] [CrossRef]
- Liu, Z.; Sun, Q.; Song, Y.; Wang, H.; Chen, X.; Wang, X.; Jiang, Z. Preparation of Mn doped Al2O3 heat-dissipating coatings on titanium alloy by cathodic plasma electrolytic deposition. Vacuum 2019, 159, 228–234. [Google Scholar] [CrossRef]
- Luo, Y.; Yang, X.; Feng, T.; Wang, J.; Ruan, X. Vibrational hierarchy leads to dual-phonon transport in low thermal conductivity crystals. Nat. Commun. 2020, 11, 1–10. [Google Scholar] [CrossRef]
- Ohtaki, M.; Tsubota, T.; Eguchi, K.; Arai, H. High-temperature thermoelectric properties of (Zn1−x Alx) O. J. Appl. Phys. 1996, 79, 1816–1818. [Google Scholar] [CrossRef]
- Kim, D.; Lee, J.; Kim, J.; Choi, C.-H.; Chung, W. Enhancement of heat dissipation of LED module with cupric-oxide composite coating on aluminum-alloy heat sink. Energy Convers. Manag. 2015, 106, 958–963. [Google Scholar] [CrossRef]
- Wang, H.; Qu, J.; Peng, Y.; Sun, Q. Heat transfer performance of a novel tubular oscillating heat pipe with sintered copper particles inside flat-plate evaporator and high-power LED heat sink application. Energy Convers. Manag. 2019, 189, 215–222. [Google Scholar] [CrossRef]








| (1) | (2) | (3) | (4) | (5) | |
|---|---|---|---|---|---|
| Hard Sulfuric Acid | Soft Sulfuric Acid | Boric-Sulfuric Mixed Acid | Tin-Sulfuric Mixed Acid | Chromic Acid | |
| Solution | H2SO4 232.5 g/L | H2SO4 203.6 g/L | H2SO4 45.7 g/L | H2SO4 41.3 g/L | CrO3 46.8 g/L |
| H3BO3 8.4 g/L | C4H6O6 82.4 g/L | ||||
| Time | 50 min | 30 min | 25 min | 25 min | 54 min |
| Temperature | 0–1 °C | 21 °C | 26 °C | 37.5 °C | 35 °C |
| Voltage/Current | 3 ASD | 17 V | 15 V | 14 V | 45 V |
| Al Substrate | (1) | (2) | (3) | (4) | (5) | |
|---|---|---|---|---|---|---|
| Emissivity | 0.217 | 0.936 | 0.904 | 0.906 | 0.930 | 0.918 |
| Al Substrate | (1) | (2) | (3) | (4) | (5) | |
|---|---|---|---|---|---|---|
| Hardness (Hv) | 50 | 300 | 230 | 370 | 470 | 280 |
Publisher’s Note: MDPI stays neutral with regard to jurisdictional claims in published maps and institutional affiliations. |
© 2021 by the authors. Licensee MDPI, Basel, Switzerland. This article is an open access article distributed under the terms and conditions of the Creative Commons Attribution (CC BY) license (http://creativecommons.org/licenses/by/4.0/).
Share and Cite
Park, J.; Son, K.; Lee, J.; Kim, D.; Chung, W. Effects of Anodizing Conditions on Thermal Properties of Al 20XX Alloys for Aircraft. Symmetry 2021, 13, 433. https://doi.org/10.3390/sym13030433
Park J, Son K, Lee J, Kim D, Chung W. Effects of Anodizing Conditions on Thermal Properties of Al 20XX Alloys for Aircraft. Symmetry. 2021; 13(3):433. https://doi.org/10.3390/sym13030433
Chicago/Turabian StylePark, Junghyun, Kyeongsik Son, Junghoon Lee, Donghyun Kim, and Wonsub Chung. 2021. "Effects of Anodizing Conditions on Thermal Properties of Al 20XX Alloys for Aircraft" Symmetry 13, no. 3: 433. https://doi.org/10.3390/sym13030433
APA StylePark, J., Son, K., Lee, J., Kim, D., & Chung, W. (2021). Effects of Anodizing Conditions on Thermal Properties of Al 20XX Alloys for Aircraft. Symmetry, 13(3), 433. https://doi.org/10.3390/sym13030433

