Abstract
In the following article, a new five-parameter distribution, the alpha power exponentiated Weibull-exponential distribution is proposed, based on a newly developed technique. It is of particular interest because the density of this distribution can take various symmetric and asymmetric possible shapes. Moreover, its related hazard function is tractable and showing a great diversity of asymmetrical shaped, including increasing, decreasing, near symmetrical, increasing-decreasing-increasing, increasing-constant-increasing, J-shaped, and reversed J-shaped. Some properties relating to the proposed distribution are provided. The inferential method of maximum likelihood is employed, in order to estimate the model’s unknown parameters, and these estimates are evaluated based on various simulation studies. Moreover, the usefulness of the model is investigated through its application to three real data sets. The results show that the proposed distribution can, in fact, better fit the data, when compared to other competing distributions.
1. Introduction
Various techniques for constructing families to generate new modified distributions that better fit applicable data sets have been suggested in the academic literature. For example, the development of beta family by [1] and Kumaraswamy family by [2], in which the baseline distributions are defined on the support [0, 1] as the generators. Ref. [3] developed a general technique that allows for the use of any baseline distribution as a generator. This innovative technique is described as the transformed transformer (T-X) family of distributions. Many families of distributions have been suggested and examined recently, based on this technique. This includes the gamma-G family of distributions by [4], the Weibull-G family of distributions by [5], the Lomax-G family of distributions by [6], the Lindley-G family of distributions by [7], the Gompertz-G family of distributions by [8], the power Lindley-G family of distributions by [9] and the odd Lomax-G family of distributions by [10], among others.
Following the T-X family of distributions, ref. [11] suggested a new generalization and named it the exponentiated T-X family of distributions. For any cumulative distribution function (CDF), , the CDF of the exponentiated T-X family, can be expressed as:
where is the probability density function (PDF) of a baseline random variable (RV) T, in which T is defined over . Let indicate the CDF of the RV X. Thus, the PDF corresponding to (1) is
Additionally, ref. [11] defined the exponentiated Weibull-G (EW-G) family of distributions from (1) by taking to be the Weibull distribution with a and as the shape and scale parameters, respectively. The CDF of the EW-G family of distributions can be expressed as:
Considering G to be the exponential CDF, we obtain the exponentiated Weibull-exponential (EW-E) as a member of the exponentiated Weibull-G (EW-G) family, with CDF defined as follows:
The corresponding PDF of the EW-E distribution can be expressed using (4), as
Further, ref. [12] have suggested an innovative technique for introducing an additional parameter to a family of distributions. This new technique has been referred as the alpha power transformation (APT) family of distributions. The CDF and PDF of the APT family, respectively, can be expressed as:
where and represent the CDF and PDF of any continuous distribution.
In the literature, several studies have applied this technique to introduce some new distributions. These include the study of [12], in which the APT technique was applied to the exponential distribution; the study of [13], which introduced the alpha power Weibull distribution; the study of [14], which introduced the alpha power transformed Lindley distribution; the study of [15], which introduced the alpha power Pareto distribution; the study of [16], which presented the alpha power transformed inverse Lindley distribution; the study of [17], which presented the alpha power Gompertz distribution, and the study of [18], which presented the alpha power transformed log-logistic distribution.
Therefore, the main point of interest in this paper is the introduction of a new technique for constructing a family to generate some modified distributions with more flexibility in fitting data. To illustrate, this study combines two techniques-exponentiated T-X and APT-in order to develop a new five-parameter distribution, called the alpha power exponentiated Weibull-exponential distribution (APEWED). This rest of the article is organized as follows: Section 2 introduces the APEWED with some special cases along with its survival and hazard functions. Section 3 investigates some fundamental statistical properties of the APEWED. Section 4 discusses the estimation of its parameters using the maximum likelihood estimation. Section 5 provides a simulation study that evaluate these estimates. Section 6 considers three applications, in order to show the efficiency of the introduced distribution. Finally, the article concluded in Section 7.
2. The Alpha Power Exponentiated Weibull-Exponential Distribution (APEWED)
An RV X is said to have APEWED, with five parameters , a, , c, and , if its CDF is given as
for and , a, , c, .
The corresponding PDF is expressed as
The survival function, , for the APEWED is given by
and the hazard rate function, , for the APEWED is expressed as
2.1. Some Special Cases of the APEWED
- For in (9), we get the exponentiated Weibull-exponential distribution.
- For in (9), we obtain the alpha power Weibull-exponential distribution.
- For in (9), we obtain the Weibull-exponential distribution.
- For in (9), we get the Standard exponentiated exponential distribution.
- For in (9), we get the Kumaraswamy-Standard exponential distribution.
- For and in (9), we obtain the Type 2 extreme value distribution.
- For in (9), we obtain the Weibull distribution.
2.2. Graphical Presentations of the APEWED
The PDF and hazard rate function plots for the APEWED are given in Figure 1 and Figure 2, respectively, for particular parameters.
Figure 1.
Plots of the APEWED PDF for some certain values of , a, , c, and .
Figure 2.
Plots of the hazard function of the APEWED for some certain values of , a, , c, and .
It can be seen from Figure 1, that the plots of the pdf of the APEWED enjoy various shapes including, symmetric, J-shaped, reversed J-shaped, right skewed, left-skewed. Additionally, Figure 2 reveals that, the hazard rate function of the APEWED possess a great diversity of symmetrical and asymmetrical shaped. Particularly, it can be increasing, decreasing, near symmetrical, increasing-decreasing-increasing, increasing-constant-increasing, J-shaped, and reversed J-shaped. These observations can be considered as strong signs indicating to the great flexibility of the APEWED in fitting data.
2.3. Expansion of the PDF of the APEWED
In this subsection, an expansion of the PDF of the APEWED is suggested. First, consider the following series representation
into (9), we obtain the PDF as follows:
Then, by employing the following series of the exponential function,
we obtain:
Furthermore, we have the following two series expansions:
where
for , and ,
and
Consequently, by substituting in Equation (13), the PDF can be reduced to
In addition, we have the following binomial series expansion
Therefore, the PDF of APEWED can be rewritten as follows
where
3. Some Statistical Properties of the APEWED
This section discusses some fundamental statistical properties of the APEWED.
3.1. Quantile Function and Median
The quantile function, say , of the APEWED can be derived as
3.2. Skewness and Kurtosis
The Bowley’s coefficient for skewness and Moors’ coefficient for kurtosis of the APEWED are, respectively, given as
and
where represents the quantile function of the APEWED in Equation (16).
3.3. Moments
If X∼ APEWED , then the rth moment of X can be expressed as
where is given by (15). The proof of (20) is given in Appendix A. Thus, the mean of the APEWED is given by setting in Equation (20)
3.4. Moment Generating Function and Characteristic Function
If X∼ APEWED , then the moment generating function (MGF), , takes the form of
In the same way, the characteristic function of the APEWED with density (14), can be expressed as
where is given by (15). The proposed results of (23) is followed from some algebraic manipulation given in Appendix A.
3.5. Mean Residual Life and Mean Waiting Time
3.6. Shannon and Rényi Entropies
We have
Then, after solving the integrals, the Shannon entropy of the APEWED can be written as
where k is the Euler constant.
Moreover, the Rényi entropy, , of X can be described as follows:
Then, applying the PDF (9) and solving the integral, the Rényi entropy of APEWED can be expressed as
Table 1 presents some values of the mean, variance, skewness, and kurtosis for the APEWED, for some different values of , , c, and a while = 2 is kept fixed. For fixed and a, the values of the mean and variance of the APEWED increase while increasing the values of and c, while the skewness and kurtosis values decrease as the value of increases. In addition, when the values of , c, and a do not change, the mean and the variance increase as the value of increases.
Table 1.
Mean, variance, skewness and kurtosis of the APEWED for various values of , a, , c while = 2 is fixed.
3.7. Order Statistics
Suppose are some observed values from the APEWED and indicates the ith order statistic. Then, we can express the PDF of as follows:
4. Maximum Likelihood Estimation
Let be a random sample of size n extracted from the APEWED. The log-likelihood function, , for the parameters of the distribution is obtained by
The estimates can be derived by differentiating (36) for each parameter and then equating the result to zero; that is, we have:
and
where
In other words, one can obtain the MLEs for each parameter by solving the system of Equations (37)–(41), using any numerical techniques such as the Newton–Raphson iteration method. Additionally, the log-likelihood in Equation (36) can be alternatively maximized, using a non-linear optimization tool that available in any statistical/mathematical software such as R.
5. Simulation Study
We conducted some simulation studies, in order to examine the behavior of the MLEs for the parameters of the APEWED for various sample sizes and different values of the parameters. The random samples were obtained from Equation (16), with sizes n = 50, 100, 150, 200, 250, and 350. Two sets of the parameters for APEWED were selected-Set 1: and Set 2: . For the different sample sizes, the average estimates and mean squared error (MSE) of the MLEs were calculated. The MLEs were obtained using the routine “optim” in R.
The results of the simulations, regarding the average estimates and MSEs, are displayed in Table 2. The results show that the MSE decreased as the sample size n increased. In addition, the average estimates increased, in order to be closer to the chosen true values of the parameters as the sample size increased.
Table 2.
Simulation results for the APEWED.
6. Applications
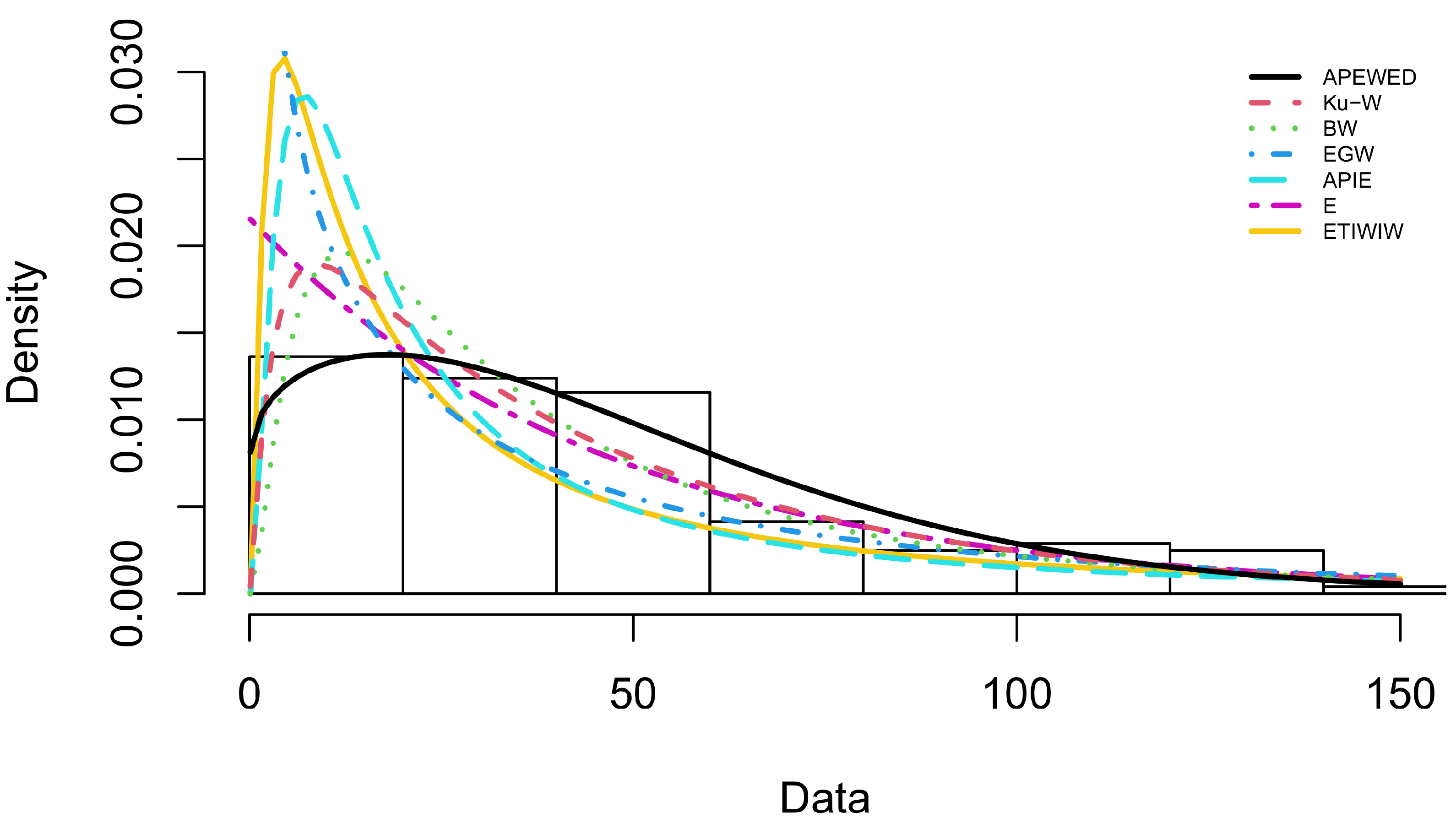
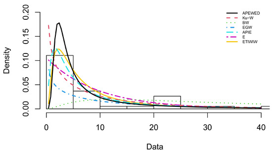
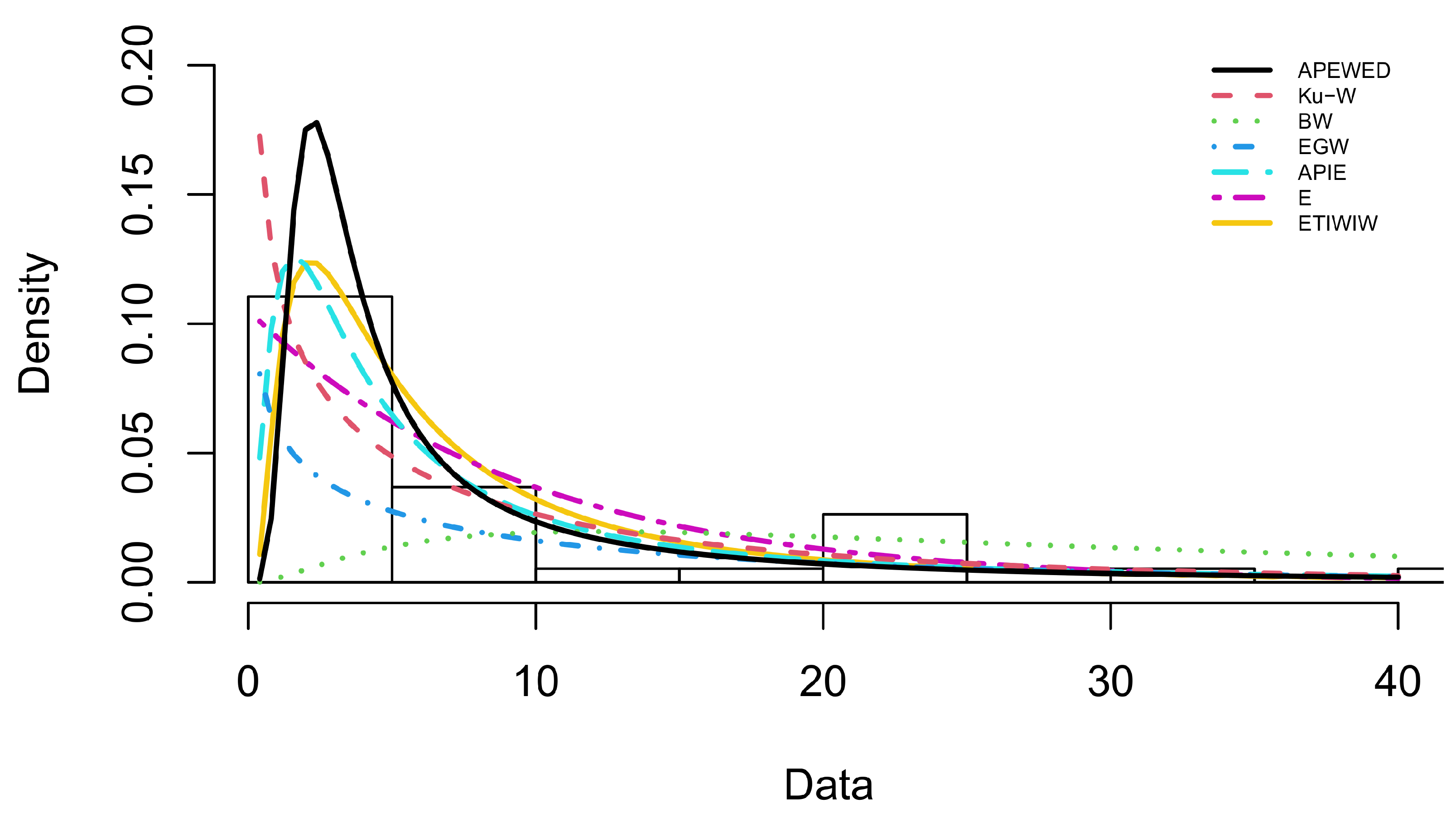
The APEWED was applied to three real data sets with the aim being to examine its fit, compared to that of some other competitive models. The first data set was taken from [19], in which the data are the strengths of glass fibers measuring 1.5 cm. As for the second data set, it was obtained from [20]. This set provides the survival times of 121 patients with breast cancer. The third data was obtained from [21]. This data represents 40 losses due to wind-related catastrophes. The sorted values include claims of 2,000,000 and for convenience they have been recorded in millions.
We compared the fit of the APEWED with some other distributions; namely, Kumaraswamy Weibull (Ku-W) by [22], beta Weibull (BW) by [23], exponentiated generalized Weibull (EGW) by [24], alpha power inverted exponential (APIE) by [25], exponential (E) and exponentiated truncated inverse Weibull-inverse Weibull (ETIWIW) by [26].
The MLEs of parameters, along with the standard errors (SEs), for all fitted distributions to the three real data sets can be found in Table 3, Table 4 and Table 5, respectively. The negative likelihood values , the relevant Kolmogorov-Smirnov (K-S) test statistics, p-values, Akaike’s Information Criteria (AIC) and Corrected Akaike Information Criteria (CAIC) for different models with respect to the three real data sets are also recorded in Table 6, Table 7 and Table 8.
Table 3.
The MLEs (SEs in parentheses) for data set 1.
Table 4.
The MLEs (SEs in parentheses) for data set 2.
Table 5.
The MLEs (SEs in parentheses) for data set 3.
Table 6.
The goodness-of-fit measures for data set 1.
Table 7.
The goodness-of-fit measures for data set 2.
Table 8.
The goodness-of-fit measures for data set 3.
From Table 6, Table 7 and Table 8, it can be seen that the APEWED had the lowest values of , Kolmogorov-Smirnov (K-S) test values, AIC and CAIC values, as well as the best p-values, which means that the APEWED provided the most proper fit to the three sets of data, as compared to the other models.
Figure 3, Figure 4 and Figure 5 show the histograms and fits of the models for the three data sets. It can be seen, from Figure 3, Figure 4 and Figure 5, that the APEWED provided the closest fit to the observed distribution (i.e., to the histogram) for the three data sets.
Figure 3.
Observed and expected frequencies for each model for data set 1.
Figure 4.
Observed and expected frequencies for each model for data set 2.
Figure 5.
Observed and expected frequencies for each model for data set 3.
7. Conclusions
In this study, the five-parameter APEWED distribution was introduced, based on a new technique for generating distributions. This method combines two well-known families of distributions-namely, exponentiated T-X and APT- in order to allow for more flexibility and adaptability in fitting practical data sets. Both the density and hazard rate functions of the proposed distribution have attractive shapes for adopting different data behaviors. To illustrate, the APEWED can be adapted to the analysis of symmetrical and asymmetrical shaped of data. Several general statistical properties of this new distribution were obtained and discussed. The parameters were estimated by employing the maximum likelihood technique. The performance of these MLEs were tested through various simulation studies. Three real data sets were considered, in order to assess the applicability of the proposed distribution, as compared to some other existing distributions. The results indictes that, the propose distribution, APEWED, can offer the best fit, compared to the competing distributions, considering its promising results.
Author Contributions
Under the idea and detailed guidance of the corresponding author H.S.K., W.H.A. carried out the numerical calculations and a first draft. H.S.K. polished the writing. All authors have read and agreed to the published version of the manuscript.
Funding
This research received no external funding.
Institutional Review Board Statement
Not applicable.
Informed Consent Statement
Not applicable.
Data Availability Statement
Not applicable.
Conflicts of Interest
The authors declare no conflict of interest.
Appendix A
References
- Eugene, N.; Lee, C.; Famoye, F. Beta-normal distribution and its applications. Commun. Stat. Theory Methods 2002, 31, 497–512. [Google Scholar] [CrossRef]
- Cordeiro, G.M.; de Castro, M. A new family of generalized distributions. J. Stat. Comput. Simul. 2011, 81, 883–898. [Google Scholar] [CrossRef]
- Alzaatreh, A.; Lee, C.; Famoye, F. A new method for generating families of continuous distributions. Metron 2013, 71, 63–79. [Google Scholar] [CrossRef]
- Alzaatreh, A.; Famoye, F.; Lee, C. The gamma-normal distribution: Properties and applications. Comput. Stat. Data Anal. 2014, 69, 67–80. [Google Scholar] [CrossRef]
- Bourguignon, M.; Silva, R.B.; Cordeiro, G.M. The Weibull-G family of probability distributions. J. Data Sci. 2014, 12, 53–68. [Google Scholar]
- Cordeiro, G.M.; Ortega, E.M.; Popović, B.V.; Pescim, R.R. The Lomax generator of distributions: Properties, minification process and regression model. Appl. Math. Comput. 2014, 247, 465–486. [Google Scholar] [CrossRef]
- Cakmakyapan, S.; Gamze, O. The Lindley family of distributions: Properties and applications. Hacet. J. Math. Stat. 2016, 46, 1113–1137. [Google Scholar] [CrossRef]
- Alizadeh, M.; Cordeiro, G.M.; Pinho, L.G.B.; Ghosh, I. The Gompertz-G family of distributions. J. Stat. Theory Pract. 2017, 11, 179–207. [Google Scholar] [CrossRef]
- Hassan, A.S.; Nassr, S.G. Power Lindley-G family of distributions. Ann. Data Sci. 2019, 6, 189–210. [Google Scholar] [CrossRef]
- Cordeiro, G.M.; Afify, A.Z.; Ortega, E.M.; Suzuki, A.K.; Mead, M.E. The odd Lomax generator of distributions: Properties, estimation and applications. J. Comput. Appl. Math. 2019, 347, 222–237. [Google Scholar] [CrossRef]
- Alzaghal, A.; Famoye, F.; Lee, C. Exponentiated TX family of distributions with some applications. Int. J. Stat. Probab. 2013, 2, 31. [Google Scholar] [CrossRef]
- Mahdavi, A.; Kundu, D. A new method for generating distributions with an application to exponential distribution. Commun. Stat. Theory Methods 2017, 46, 6543–6557. [Google Scholar] [CrossRef]
- Nassar, M.; Alzaatreh, A.; Mead, M.; Abo-Kasem, O. Alpha power Weibull distribution: Properties and applications. Commun. Stat. Theory Methods 2017, 46, 10236–10252. [Google Scholar] [CrossRef]
- Dey, S.; Ghosh, I.; Kumar, D. Alpha-power transformed Lindley distribution: Properties and associated inference with application to earthquake data. Ann. Data Sci. 2019, 6, 623–650. [Google Scholar] [CrossRef]
- Ihtisham, S.; Khalil, A.; Manzoor, S.; Khan, S.A.; Ali, A. Alpha-Power Pareto distribution: Its properties and applications. PLoS ONE 2019, 14, e0218027. [Google Scholar] [CrossRef]
- Dey, S.; Nassar, M.; Kumar, D. Alpha power transformed inverse Lindley distribution: A distribution with an upside-down bathtub-shaped hazard function. J. Comput. Appl. Math. 2019, 348, 130–145. [Google Scholar] [CrossRef]
- Eghwerido, J.T.; Nzei, L.C.; Agu, F.I. The Alpha Power Gompertz Distribution: Characterization, Properties, and Applications. Sankhya A 2020, 1–27. [Google Scholar] [CrossRef]
- Aldahlan, M.A. Alpha Power Transformed Log-Logistic Distribution with Application to Breaking Stress Data. Adv. Math. Phys. 2020, 2020, 2193787. [Google Scholar] [CrossRef]
- Smith, R.L.; Naylor, J. A comparison of maximum likelihood and Bayesian estimators for the three-parameter Weibull distribution. J. R. Stat. Soc. Ser. C Appl. Stat. 1987, 36, 358–369. [Google Scholar] [CrossRef]
- Lee, E. Statistical Methods for Survival Data Analysis; John Wiley and Sons: New York, NY, USA, 1992. [Google Scholar]
- Hogg, R.V.; Klugman, S.A. Loss Distributions; Wiley: New York, NY, USA, 1984; pp. 569–574. [Google Scholar]
- Cordeiro, G.M.; Ortega, E.M.; Nadarajah, S. The Kumaraswamy Weibull distribution with application to failure data. J. Frankl. Inst. 2010, 347, 1399–1429. [Google Scholar] [CrossRef]
- Lee, C.; Famoye, F.; Olumolade, O. Beta-Weibull distribution: Some properties and applications to censored data. J. Mod. Appl. Stat. Methods 2007, 6, 17. [Google Scholar] [CrossRef]
- Oguntunde, P.; Odetunmibi, O.; Adejumo, A. On the exponentiated generalized Weibull distribution: A generalization of the Weibull distribution. Indian J. Sci. Technol. 2015, 8. [Google Scholar] [CrossRef]
- Ceren, Ü.; Cakmakyapan, S.; Gamze, Ö. Alpha power inverted exponential distribution: Properties and application. Gazi Univ. J. Sci. 2018, 31, 954–965. [Google Scholar]
- Almarashi, A.M.; Elgarhy, M.; Jamal, F.; Chesneau, C. The exponentiated truncated inverse Weibull-generated family of distributions with applications. Symmetry 2020, 12, 650. [Google Scholar] [CrossRef]
Publisher’s Note: MDPI stays neutral with regard to jurisdictional claims in published maps and institutional affiliations. |
© 2021 by the authors. Licensee MDPI, Basel, Switzerland. This article is an open access article distributed under the terms and conditions of the Creative Commons Attribution (CC BY) license (http://creativecommons.org/licenses/by/4.0/).




