Large Eddy Simulation of Periodic Transient Pressure Fluctuation in a Centrifugal Pump Impeller at Low Flow Rate
Abstract
1. Introduction
2. Model Descriptions
2.1. Geometric Model
2.2. Mesh Generation
3. Numerical Considerations
4. Simulation Verification
5. Results and Discussion
5.1. Pressure Distribution
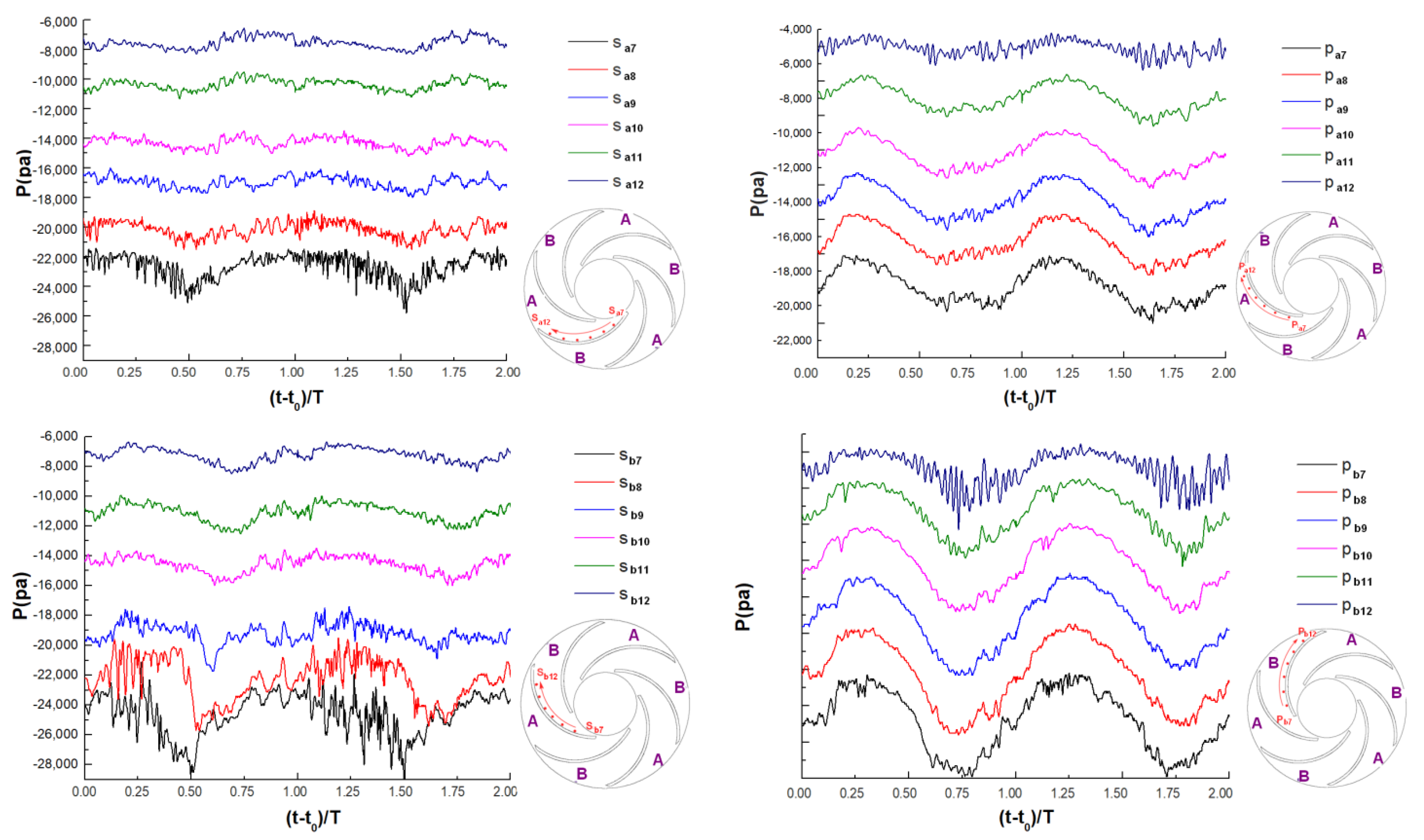
5.2. Pressure Fluctuation in the Impeller Mid-Height
5.3. Pressure Fluctuation in the Impeller Axial Plane
6. Discussion
Author Contributions
Funding
Institutional Review Board Statement
Informed Consent Statement
Data Availability Statement
Conflicts of Interest
Nomenclature
| A | channel |
| B | channel |
| Cp | pressure coefficient |
| Cr | radial velocity |
| d | blade thickness |
| h | height |
| H | head |
| n | rotational speed |
| p | monitor point |
| P | static pressure |
| Pi | monitor point static pressure |
| average static pressure | |
| Q | flow rate |
| Qd | design flow rate |
| R1 | inlet radius |
| R2 | outlet radius |
| Rb | blade curvature radius |
| t | time |
| T | the time of one cycle of inlet flow change |
| U2 | circumferential velocity at impeller outlet |
| V | relative velocity |
| x | coordinate components |
| y+ | dimensionless wall distances |
| z | section height |
| Z | number of blades |
| λ1 | inlet blade angle |
| λ2 | outlet blade angle |
Acronyms
| FFT | Fast Fourier Transform |
| LES | Large Eddy Simulation |
| RANS | Reynolds-Averaged Navier-Stokes |
| SST | Shear Stress Transfer |
References
- Zhou, P.-J.; Dai, J.-C.; Li, Y.-F.; Chen, T.; Mou, J.-G. Unsteady flow structures in centrifugal pump under two types of stall conditions. J. Hydrodyn. 2018, 30, 1038–1044. [Google Scholar] [CrossRef]
- Braun, O. Part Load Flow in Radial Centrifugal Pumps. Ph.D. Thesis, Swiss Federal Institute of Technology Lausanne (EPFL), Lausanne, Switzerland, 2009. [Google Scholar]
- Braun, O.; Avellan, F.; Dupont, P. Unsteady numerical simulations of the flow related to the unstable energy-discharge characteristic of a medium specific speed double suction pump. In Proceedings of the 5th Joint ASME/JSME Fluids Engineering Conference, San Diego, CA, USA, 30 July–2 August 2007. [Google Scholar]
- Tao, R.; Wang, Z. Comparative modeling and analysis of the flow asymmetricity in a centrifugal pump impeller at partial load. Proc. Inst. Mech. Eng. 2019, 234, 237–247. [Google Scholar] [CrossRef]
- Pedersen, N.; Larsen, P.S.; Jacobsen, C.B. Flow in a Centrifugal Pump Impeller at Design and Off-Design Conditions—Part I: Particle Image Velocimetry (PIV) and Laser Doppler Velocimetry (LDV) Measurements. J. Fluids Eng. 2003, 125, 61–72. [Google Scholar] [CrossRef]
- Byskov, R.K.; Jacobsen, C.B.; Pedersen, N. Flow in a Centrifugal Pump Impeller at Design and Off-Design Conditions—Part II: Large Eddy Simulations. J. Fluids Eng. 2003, 125, 73–83. [Google Scholar] [CrossRef]
- Zhao, X.; Xiao, Y.; Wang, Z.; Luo, Y.; Cao, L. Unsteady Flow and Pressure Pulsation Characteristics Analysis of Rotating Stall in Centrifugal Pumps Under Off-Design Conditions. J. Fluids Eng. 2017, 140, 021105. [Google Scholar] [CrossRef]
- Jia, X.-Q.; Zhu, Z.-C.; Yu, X.-L.; Zhang, Y.-L. Internal unsteady flow characteristics of centrifugal pump based on entropy generation rate and vibration energy. Proc. Inst. Mech. Eng. 2018, 233, 456–473. [Google Scholar] [CrossRef]
- Ni, D.; Zhang, N.; Gao, B.; Li, Z.; Yang, M. Dynamic measurements on unsteady pressure pulsations and flow distributions in a nuclear reactor coolant pump. Energy 2020, 198, 117305. [Google Scholar] [CrossRef]
- Zheng, L.L.; Chen, X.P.; Zhang, W.; Zhu, Z.C.; Cheng, C. Investigation on characteristics of pressure fluctuation in a cen-trifugal pump with clearance flow. J. Mech. Sci. Technol. 2020, 34, 3657–3666. [Google Scholar] [CrossRef]
- Gao, B.; Zhang, N.; Li, Z.; Ni, D.; Yang, M. Influence of the Blade Trailing Edge Profile on the Performance and Unsteady Pressure Pulsations in a Low Specific Speed Centrifugal Pump. J. Fluids Eng. 2016, 138, 051106. [Google Scholar] [CrossRef]
- Wang, Z.; Qian, Z.; Lu, J.; Wu, P. Effects of flow rate and rotational speed on pressure fluctuations in a double-suction cen-trifugal pump. Energy 2018, 170, 212–227. [Google Scholar] [CrossRef]
- Huang, P.; Xiao, Y.; Zhang, J.; Cai, H.; Song, H. The Influence of Flow Rates on Pressure Fluctuation in the Pump Mode of Pump-Turbine with Splitter Blades. Appl. Sci. 2020, 10, 6752. [Google Scholar] [CrossRef]
- Zhang, Y.-L.; Zhu, Z.-C.; Dou, H.-S.; Cui, B.-L.; Li, Y.; Zhou, Z.-Z. Numerical Investigation of Transient Flow in a Prototype Centrifugal Pump during Startup Period. Int. J. Turbo JET Engines 2017, 34. [Google Scholar] [CrossRef]
- Li, Z.; Wu, D.; Wang, L.; Huang, B. Numerical Simulation of the Transient Flow in a Centrifugal Pump During Starting Period. J. Fluids Eng. 2010, 132, 081102. [Google Scholar] [CrossRef]
- Li, Z.; Wu, P.; Wu, D.; Wang, L. Experimental and numerical study of transient flow in a centrifugal pump during startup. J. Mech. Sci. Technol. 2011, 25, 749–757. [Google Scholar] [CrossRef]
- Wang, L.Q.; Wu, D.Z.; Zheng, S.Y.; Hu, Z.Y. Study on transient hydrodynamic performance of mixed-flow-pump during starting period. Fluid Mach. 2004, 35, 685–702. [Google Scholar]
- Hu, F.F.; Ma, X.D.; Wu, D.Z.; Wang, L.Q. Transient internal characteristic study of a centrifugal pump during startup process. IOP Conf. Ser. Earth Environ. Sci. 2012, 15, 042016. [Google Scholar] [CrossRef]
- Farhadi, K.; Bousbia-Salah, A.; D’Auria, F. A model for the analysis of pump start-up transients in Tehran Research Reactor. Prog. Nucl. Energy 2007, 49, 499–510. [Google Scholar] [CrossRef]
- Chalghoum, I.; Elaoud, S.; Akrout, M.; Taieb, E.H. Transient behavior of a centrifugal pump during starting period. Appl. Acoust. 2016, 109, 82–89. [Google Scholar] [CrossRef]
- Liu, J.; Li, Z.; Wang, L.; Jiao, L. Numerical Simulation of the Transient Flow in a Radial Flow Pump during Stopping Period. J. Fluids Eng. 2011, 133, 111101. [Google Scholar] [CrossRef]
- Tanaka, T.; Tsukamoto, H. Transient behaviour of a cavitating centrifugal pump at rapid change in operating condi-tions—Part 2: Transient phenomena at pump start-up/shutdown. J. Fluids Eng. 1999, 121, 850–856. [Google Scholar] [CrossRef]
- Thanapandi, P.; Prasad, R. Centrifugal pump transient characteristics and analysis using the method of characteristics. Int. J. Mech. Sci. 1995, 37, 77–89. [Google Scholar] [CrossRef]
- Wu, D.; Wu, P.; Yang, S.; Wang, L. Transient Characteristics of a Closed-Loop Pipe System during Pump Stopping Periods. J. Press. Vessel. Technol. 2014, 136, 021301. [Google Scholar] [CrossRef]
- Tanaka, T.; Tsukamoto, H. Transient behaviour of a cavitating centrifugal pump at rapid change in operating condi-tions—Part 1: Transient phenomena at opening/closure of discharge valve. J. Fluids Eng. 1999, 121, 841–849. [Google Scholar] [CrossRef]
- Tsukamoto, H.; Ohashi, H. Transient characteristics of a centrifugal pump during starting period. J. Fluids Eng. 1982, 104, 6–13. [Google Scholar] [CrossRef]
- Tsukamoto, H.; Yoneda, H.; Sagara, K. The Response of a Centrifugal Pump to Fluctuating Rotational Speed. J. Fluids Eng. 1995, 117, 479–484. [Google Scholar] [CrossRef]
- Westra, R.W.; Broersma, L.; Van Andel, K.; Kruyt, N.P. PIV Measurements and CFD Computations of Secondary Flow in a Centrifugal Pump Impeller. J. Fluids Eng. 2010, 132, 061104. [Google Scholar] [CrossRef]
- Zhang, F.; Appiah, D.; Hong, F.; Zhang, J.; Wei, X. Energy loss evaluation in a side channel pump under different wrap-ping angles using entropy production method. Int. Commun. Heat Mass Transf. 2020, 113, 104526. [Google Scholar] [CrossRef]
- Wang, Y.; Zhang, F.; Yuan, S.; Chen, K.; Appiah, D. Effect of unrans and hybrid rans-les turbulence models on unsteady turbulent flows inside a side channel pump. J. Fluids Eng. 2020, 142. [Google Scholar] [CrossRef]
- Tao, R.; Xiao, R.; Yang, W.; Wang, F. A Comparative Assessment of Spalart-Shur Rotation/Curvature Correction in RANS Simulations in a Centrifugal Pump Impeller. Math. Probl. Eng. 2014, 2014, 1–9. [Google Scholar] [CrossRef]
- Li, J.; Liu, L.-J.; Feng, Z.-P. Two-dimensional analysis of cavitating flows in a centrifugal pump using a single-phase Reynolds averaged Navier—Stokes solver and cavitation model. Proc. Inst. Mech. Eng. 2006, 220, 783–791. [Google Scholar] [CrossRef]
- Liu, H. Numerical Simulation of Hydrodynamic Noise in Centrifugal Pump Based on LES. Chin. J. Mech. Eng. 2013, 49. [Google Scholar] [CrossRef]
- Kye, B.; Park, K.; Choi, H.; Lee, M.; Kim, J.-H. Flow characteristics in a volute-type centrifugal pump using large eddy simulation. Int. J. Heat Fluid Flow 2018, 72, 52–60. [Google Scholar] [CrossRef]
- Chen, X.; Zhu, Z.; Dou, H.-S.; Li, Y. Large eddy simulation of energy gradient field in a centrifugal pump impeller. Proc. Inst. Mech. Eng. Part C J. Mech. Eng. Sci. 2018, 233, 4047–4057. [Google Scholar] [CrossRef]
- Pedersen, N. Experimental Investigation of Flow Structures in a Centrifugal Pump Impeller Using Particle Image Velocimetry; ET-PHD, No. 2000-05; Technical University of Denmark: Lynby, Denmark, 2001. [Google Scholar]
- Zhou, P.J. Study on Stall Characteristics of Centrifugal Pump; China Agricultural University: Beijing, China, 2015. [Google Scholar]

















| Geometry | Symbol | Size |
|---|---|---|
| Number of blades | Z | 6 |
| Inlet radius | R1 | 35.5 mm |
| Outlet radius | R2 | 95 mm |
| Inlet height | h1 | 13.8 mm |
| Outlet height | h2 | 5.8 mm |
| Blade thickness | d | 3 mm |
| Blade curvature radius | Rb | 70 mm |
| Inlet blade angle | λ1 | 19.7° |
| Outlet blade angle | λ2 | 18.4° |
| Boundary Conditions | |
| Inflow | Inlet-velocity |
| Outflow | Outlet-pressure |
| Wall | No-slip and smooth wall |
| Numerical Setup | |
| Absolute criteria of residual | 10-6 |
| Number of time steps | 8640 |
| Time step | 0.00023(s) |
| Max iterations/Time step | 10 |
| Turbulence intensity (inlet) | 5% |
| Turbulence viscosity rate (inlet) | 10% |
Publisher’s Note: MDPI stays neutral with regard to jurisdictional claims in published maps and institutional affiliations. |
© 2021 by the authors. Licensee MDPI, Basel, Switzerland. This article is an open access article distributed under the terms and conditions of the Creative Commons Attribution (CC BY) license (http://creativecommons.org/licenses/by/4.0/).
Share and Cite
Kuang, R.; Chen, X.; Zhang, Z.; Zhu, Z.; Li, Y. Large Eddy Simulation of Periodic Transient Pressure Fluctuation in a Centrifugal Pump Impeller at Low Flow Rate. Symmetry 2021, 13, 311. https://doi.org/10.3390/sym13020311
Kuang R, Chen X, Zhang Z, Zhu Z, Li Y. Large Eddy Simulation of Periodic Transient Pressure Fluctuation in a Centrifugal Pump Impeller at Low Flow Rate. Symmetry. 2021; 13(2):311. https://doi.org/10.3390/sym13020311
Chicago/Turabian StyleKuang, Renfei, Xiaoping Chen, Zhiming Zhang, Zuchao Zhu, and Yu Li. 2021. "Large Eddy Simulation of Periodic Transient Pressure Fluctuation in a Centrifugal Pump Impeller at Low Flow Rate" Symmetry 13, no. 2: 311. https://doi.org/10.3390/sym13020311
APA StyleKuang, R., Chen, X., Zhang, Z., Zhu, Z., & Li, Y. (2021). Large Eddy Simulation of Periodic Transient Pressure Fluctuation in a Centrifugal Pump Impeller at Low Flow Rate. Symmetry, 13(2), 311. https://doi.org/10.3390/sym13020311
