Qualitative Rating of Lossy Compression for Aerial Imagery by Neutrosophic WASPAS Method
Abstract
1. Introduction
2. Related Works
3. Methods for the Methodology of the Selection of Lossy Compression Algorithms by Set of Qualitative Parameters
3.1. A Framework of the Methodology
- The selection and verification of a set of qualitative parameters for the change detection between the original and compressed aerial images as the criteria;
- The selection of a set of lossy compression algorithms with the appropriate compression ratios that are used for aerial image compression as the alternatives;
- The compression of the selected aerial images using the selected lossy compression algorithms with different compression ratios;
- The evaluation of the influence of lossy compression to the content of the aerial image using the set of qualitative parameters;
- Definition of the acceptable visible distortion threshold in the compressed image;
- The processing of the acquired data using MCDM neutrosophic WASPAS method;
- The ranking of the compression algorithms and their compression ratios by their qualitative suitability for the appropriate aerial images of different resolutions.
3.2. Lossy Compression Algorithms for Aerial Images
3.3. Qualitative Parameters for Compressed Aerial Images
3.4. Evaluation of the Criteria Weights
3.5. MCDM WASPAS Method for Data Processing and Evaluation
- For the construction of the decision matrix, we need to have the initial information that consists of the evaluations of lossy compression algorithms and compression ratios (as alternatives) according to the qualitative parameters of compressed aerial images (as criteria). When the decision matrix X is constructed, vector normalization is used to normalize the decision matrix X.
- 2.
- Then, the neutrosophication and calculation of the neutrosophic decision matrix are performed. For the conversion between crisp normalized values and single-valued neutrosophic numbers (SVNNs), is calculated. Elements of the neutrosophic decision matrix are the single-valued neutrosophic numbers , where t is the membership degree, i—the indeterminacy degree and f—the non-membership degree. The standard crisp-to-neutrosophic mapping will be applied in this study.
- 3.
- The first decision component that is based on the sum of the total relative importance of the ith alternative is calculated by the equation:
- 4.
- The second decision component based on the product of total relative importance in the ith alternative is calculated by the equation:
- 5.
- The following equation calculates the weighted criteria:
- 6
- The final ranking of the alternatives is evaluated considering the descending order of the . This is a score function (further referred to as utility function) for deneutrosophication of the joint generalized criteria and is calculated as follows:
4. An MCDM Application for the Selection of Lossy Compression Algorithms and Discussion
4.1. Compression of Aerial Images
4.2. Qualitative Evaluation of Aerial Image Lossy Compression
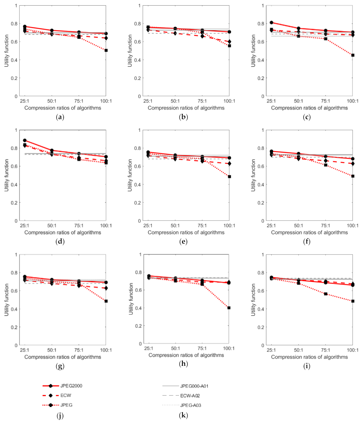
4.3. Ranking of Aerial Image Lossy Compression
4.4. Discussion
5. Conclusions and Future Work
Author Contributions
Funding
Institutional Review Board Statement
Informed Consent Statement
Data Availability Statement
Conflicts of Interest
Appendix A
- Evaluate the visual quality of compressed image textures according to the original image textures.
- Evaluate the visual quality of compressed image colors according to the original image colors.
- Evaluate a number of artifacts in the compressed image according to the original image.
References
- ESA. Sentinel-2 User Handbook; ESA: Auckland, New Zealand, 2015; pp. 1–64. [Google Scholar]
- Alam, A.; Bhat, M.S.; Maheen, M. Using Landsat satellite data for assessing the land use and land cover change in Kashmir valley. GeoJournal 2019. [Google Scholar] [CrossRef]
- Fonji, S.F.; Taff, G.N. Using satellite data to monitor land-use land-cover change in North-eastern Latvia. SpringerPlus 2014, 3. [Google Scholar] [CrossRef] [PubMed]
- Tan, K.; Zhang, Y.; Wang, X.; Chen, Y. Object-Based Change Detection Using Multiple Classifiers and Multi-Scale Uncertainty Analysis. Remote Sens. 2019, 11. [Google Scholar] [CrossRef]
- Falco, N.; Mura, M.D.; Bovolo, F.; Benediktsson, J.A.; Bruzzone, L. Change Detection in VHR Images Based on Morphological Attribute Profiles. IEEE Geosci. Remote Sens. Lett. 2013. [Google Scholar] [CrossRef]
- Debusscher, B.; Coillie, F. Object-Based Flood Analysis Using a Graph-Based Representation. Remote Sens. 2019, 11, 1883. [Google Scholar] [CrossRef]
- Hussain, A.J.; Al-Fayadh, A.; Radi, N. Image compression techniques: A survey in lossless and lossy algorithms. Neurocomputing 2018, 300, 44–69. [Google Scholar] [CrossRef]
- Faria, L.N.; Fonseca, L.M.G.; Costa, M.H.M. Performance Evaluation of Data Compression Systems Applied to Satellite Imagery. J. Electr. Comput. Eng. 2012, 2012. [Google Scholar] [CrossRef]
- Hagag, A.; Fan, X.; El-Samie, F.E.A. Lossy compression of satellite images with low impact on vegetation features. Multidimens. Syst. Signal Proces. 2016, 28, 1717–1736. [Google Scholar] [CrossRef]
- Christophe, E.; Thiebaut, C.; Latry, C. Compression Specification for Efficient Use of High Resolution Satellite data. Int. Arch. Photogramm. Remote Sens. Spat. Inf. Sci. 2008, XXXVII, B4. [Google Scholar]
- Hagag, A.; Hassan, E.S.; Amin, M.; El-Samie, F.E.A.; Fana, X. Satellite multispectral image compression based on removing sub-bands. Optik 2017, 131, 1023–1035. [Google Scholar] [CrossRef]
- Ahujaa, S.L.; Bindub, M.H. High Resolution Satellite Image Compression using DCT and EZW. In Proceedings of the International Conference on Sustainable Computing in Science, Technology & Management, Jaipur, India, 26–28 January 2019. [Google Scholar] [CrossRef]
- Indradjad, A.; Nasution, A.S.; Gunawan, H.; Widipaminto, A. A comparison of Satellite Image Compression methods in the Wavelet Domain. IOP Conf. Ser. Earth Environ. Sci. 2019, 280, 012031. [Google Scholar] [CrossRef]
- Genitha, C.H.; Rajesh, R.K. A Technique for Multi-Spectral Satellite Image Compression Using EZW Algorithm. In Proceedings of the International Conference on Control, Instrumentation, Communication and Computational Technologies, Kumaracoil, India, 16–17 December 2016. [Google Scholar] [CrossRef]
- Fiorucci, F.; Baruffa, G.; Frescura, F. Objective and subjective quality assessment between JPEG XR with overlap and JPEG 2000. J. Vis. Commun. Image Represent. 2012, 23, 835–844. [Google Scholar] [CrossRef]
- Manthey, K. A New Real-Time Architecture for Image Compression Onboard Satellites based on CCSDS Image Data Compression. In Proceedings of the 4th International Conference on On-Board Payload Data Compression Workshop, Venice, Italy, 23–24 October 2014. [Google Scholar]
- Kiely, A.B.; Klimesh, M. The ICER Progressive Wavelet Image Compressor. Interplanetary Network Progress Report; California Institute of Technology: Pasadena, CA, USA, 2003. [Google Scholar]
- Bateson, L.; Mcintosh, R. An Investigation into File Formats for the use and Delivery of Large Format Images; British Geological Survey Internal Report; British Geological Survey: Nottingham, UK, 2004. [Google Scholar]
- Simone, F.; Ticca, D.; Dufaux, F.; Ansorge, M.; Ebrahimi, T. A comparative study of color image compression standards using perceptually driven quality metrics. In Proceedings of the Conference on Applications of Digital Image Processing, San Diego, CA, USA, 10–14 August 2008; Volume XXXI, p. 7073. [Google Scholar] [CrossRef]
- Matsuoka, R.; Sone, M.; Fukue, K.; Cho, K.; Shimoda, H. Quantitative analysis of image quality of lossy compression images. In Proceedings of the ISPRS Congress, Istanbul, Turkey, 12–26 July 2004. [Google Scholar]
- Tao, D.; Di, S.; Guo, H.; Chen, Z.; Cappello, F. Z-checker: A framework for assessing lossy compression of scientific data. Int. J. High Perform. Comput. Appl. 2017, 1–19. [Google Scholar] [CrossRef]
- Johnson, B.A.; Jozdani, S.E. Identifying Generalizable Image Segmentation Parameters for Urban Land Cover Mapping through Meta-Analysis and Regression Tree Modeling. Remote Sens. 2018, 10, 73. [Google Scholar] [CrossRef]
- Kupidura, P. The Comparison of Different Methods of Texture Analysis for Their Efficacy for Land Use Classification in Satellite Imagery. Remote Sens. 2019, 11, 1233. [Google Scholar] [CrossRef]
- Sirmaçek, B.; Ünsalan, C. Road Detection from Remotely Sensed Images Using Color Features. In Proceedings of the 5th International Conference on Recent Advances in Space Technologies—RAST2011, Istanbul, Turkey, 9–11 June 2011. [Google Scholar] [CrossRef]
- Kazakeviciute-Januskeviciene, G.; Janusonis, E.; Bausys, R.; Limba, T.; Kiskis, M. Assessment of the Segmentation of RGB Remote Sensing Images: A Subjective Approach. Remote Sens. 2020, 12, 4152. [Google Scholar] [CrossRef]
- Fynn, I.E.M.; Campbell, J. Forest Fragmentation Analysis from Multiple Imaging Formats. J. Landsc. Ecol. 2019, 12. [Google Scholar] [CrossRef]
- Bausys, R.; Kazakeviciute-Januskeviciene, G.; Cavallaro, F.; Usovaite, A. Algorithm Selection for Edge Detection in Satellite Images by Neutrosophic WASPAS Method. Sustainability 2020, 12, 548. [Google Scholar] [CrossRef]
- Öztürk, E.; Mesut, A. Entropy Based Estimation Algorithm Using Split Images to Increase Compression Ratio. Trakya Univ. J. Eng. Sci. 2017, 18, 31–41. [Google Scholar]
- Cheon, M.; Lee, J.S. Ambiguity-based evaluation of objective quality metrics for image compression. In Proceedings of the Eighth International Conference on Quality of Multimedia Experience, Lisbon, Portugal, 6–8 June 2016. [Google Scholar] [CrossRef]
- Hagara, M.; Ondráček, O.; Kubinec, P.; Stojanović, R. Detecting edges with sub-pixel precision in JPEG images. In Proceedings of the 27th International Conference Radioelektronika, Brno, Czech Republic, 19–20 April 2017. [Google Scholar] [CrossRef]
- Zabala, A.; Cea, C.; Pons, X. Segmentation and thematic classification of color orthophotos over non-compressed and JPEG 2000 compressed images. Int. J. Appl. Earth Observ. Geoinf. 2012, 15, 92–104. [Google Scholar] [CrossRef]
- Ales, M.; Kokalj, Z.; Ostir, K. The Effect of Lossy Image Compression on Object Based Image Classification—WORLDVIEW-2 Case Study. Int. Arch. Photogramm. Remote Sens. Spat. Inf. Sci. 2012, 3819, 187–192. [Google Scholar] [CrossRef]
- Elkholy, M.; Hosny, M.M.; El-Habrouk, H.M.F. Studying the effect of lossy compression and image fusion on image classification. Alexandria Eng. J. 2019, 58, 143–149. [Google Scholar] [CrossRef]
- Hayati, A.K.; Dyatmika, H.S. The Effect of JPEG2000 Compression on Remote Sensing Data of Different Spatial Resolutions. Int. J. Remote Sens. Earth Sci. 2017, 2, 111–118. [Google Scholar] [CrossRef][Green Version]
- Ham, Y.; Han, K.; Lin, J.; Golparvar-Fard, M. Visual monitoring of civil infrastructure systems via camera-equipped Unmanned Aerial Vehicles (UAVs): A review of related works. Vis. Eng. 2016, 4. [Google Scholar] [CrossRef]
- Li, R.; Han, D.; Dezert, J.; Yang, Y. A novel edge detector for color images based on MCDM with evidential reasoning. In Proceedings of the 2017 20th International Conference on Information Fusion, Xi’an, China, 10–13 July 2017. [Google Scholar]
- Khelifi, L.; Mignotte, M. A Multi-Objective Approach Based on TOPSIS to Solve the Image Segmentation Combination Problem. In Proceedings of the 2016 23rd International Conference on Pattern Recognition, Cancun, Mexico, 4–8 December 2016. [Google Scholar] [CrossRef]
- Stojčić, M.; Zavadskas, E.K.; Pamučar, D.; Stević, Ž; Mardani, A. Application of MCDM Methods in Sustainability Engineering: A Literature Review 2008–2018. Symmetry 2019, 11, 350. [Google Scholar] [CrossRef]
- Wang, W.M.; Peng, H.H. A Fuzzy Multi-Criteria Evaluation Framework for Urban Sustainable Development. Mathematics 2020, 8, 330. [Google Scholar] [CrossRef]
- Guitouni, A.; Martel, J.-M. Tentative guidelines to help choosing an appropriate MCDA method. Eur. J. Oper. Res. 1998, 109, 501–521. [Google Scholar] [CrossRef]
- Skodras, A.; Christopoulos, C.; Ebrahimi, T. The JPEG 2000 still image compression standard. IEEE Signal Process. Mag. 2001, 18, 36–58. [Google Scholar] [CrossRef]
- Ueffing, C. Wavelet Based ECW Image Compression. Photogrammetric Week 01; Wichmann Verlag: Heidelberg, Germany, 2001. [Google Scholar]
- Mallat, S.A. Wavelet Tour of Signal Processing, 3rd ed.; Academic Press: Cambridge, MA, USA, 2009. [Google Scholar]
- Wallace, G.K. The JPEG Still Picture Compression Standard. Commun. ACM 1991, 34, 31–44. [Google Scholar] [CrossRef]
- Overview of JPEG. 2000. Available online: https://jpeg.org/jpeg2000/ (accessed on 21 January 2021).
- Compression White Paper. Using and Distributing ECW V2.0 Wavelet Compressed Imagery; Earth Resource Mapping Pty Ltd.: Perth, Australia, 2012; pp. 2–27.
- Overview of JPEG. Available online: https://jpeg.org/jpeg/index.html (accessed on 21 January 2021).
- Sonka, M.; Hlavac, V.; Boyle, R. Image Processing, Analysis, and Machine Vision, 4th ed.; Cengage Learning: Boston, MA, USA, 2014. [Google Scholar]
- Gonzalea, R.C.; Woods, R.E. Digital Image Processing, 2nd ed.; Prentice Hall: Upper Saddle River, NJ, USA, 2004. [Google Scholar]
- Hilles, S.M.S.; Hossain, M.A. Classification on Image Compression Methods: Review Paper. Int. J. Data Sci. Res. 2018, 1, 1–7. [Google Scholar]
- Lam, K.W.; Li, Z.; Yuan, X. Effects of Jpeg Compression on the Accuracy of Digital Terrain Models Automatically Derived from Digital Aerial Images. Photogramm. Rec. 2001, 17. [Google Scholar] [CrossRef]
- Blue Marble Geographics. Available online: https://www.bluemarblegeo.com/products/global-mapper.php (accessed on 8 June 2020).
- Dawwd, S. GLCM Based Parallel Texture Segmentation using A Multicore Processor. Int. Arab J. Inf. Technol. 2019, 16, 8–16. [Google Scholar]
- Inthiyaz, S.; Madhav, B.T.P.; Kishore, P.V.V. Flower image segmentation with PCA fused colored covariance and gabor texture features based level sets. Ain Shams Eng. J. 2018, 9, 3277–3291. [Google Scholar] [CrossRef]
- Janalipour, M.; Taleai, M. Building change detection after earthquake using multi-criteria decision analysis based on extracted information from high spatial resolution satellite images. Int. J. Remote Sens. 2017, 38, 82–99. [Google Scholar] [CrossRef]
- Yang, F.; Lishman, R. Land Cover Change Detection Using Gabor Filter Texture. In Proceedings of the 3rd International Workshop on Texture Analysis and Synthesis, Nice, France, 17–18 December 2003; pp. 113–118. [Google Scholar]
- Chen, Y.; Cao, Z. Change Detection of Multispectral Remote-Sensing Images Using Stationary Wavelet Transforms and Integrated Active Contours. Int. J. Remote Sens. 2013, 34, 8817–8837. [Google Scholar] [CrossRef]
- Haralick, M.; Shanmugam, K.; Dinstein, I. Textural Features for Image Classification. IEEE Trans. Syst. Man Cybern. 1973, SMC-3, 610–621. [Google Scholar] [CrossRef]
- Zheng, S.; Zheng, J.; Shi, M.; Guo, B.; Sen, B.; Sun, Z.; Jia, X.; Li, X. Classification of cultivated Chinese medicinal plants based on fractal theory and gray level co-occurrence matrix textures. J. Remote Sens. 2014, 18, 868–886. [Google Scholar] [CrossRef]
- Abdulrahman, A.-J. Performance evaluation of cross-diagonal texture matrix method of texture analysis. Pattern Recogn. 2001, 34, 171–180. [Google Scholar] [CrossRef]
- Wood, E.M.; Pidgeon, A.M.; Radeloff, V.C.; Keuler, N.S. Image Texture Predicts Avian Density and Species Richness. PLoS ONE 2013, 8. [Google Scholar] [CrossRef]
- Performance Evaluation of Learning based Image Coding Solutions and Quality Metrics. Coding of Still Pictures, ISO/IEC JTC 1/SC 29/WG 1 (ITU-T SG16). In Proceedings of the 85th JPEG Meeting, San Jose, CA, USA, 2–8 November 2019.
- Ponomarenko, N.; Silvestri, F.; Egiazarian, K.; Carli, M.; Astola, J.; Lukin, V. On between-coefficient contrast masking of DCT basis functions. In Proceedings of the Third International Workshop on Video Processing and Quality Metrics, Scottsdale, AZ, USA, 25–26 January 2007; Available online: http://hdl.handle.net/11590/175246 (accessed on 29 June 2020).
- Tong, Y.; Konik, H.; Cheikh, F.; Tremeau, A. Full Reference Image Quality Assessment Based on Saliency Map Analysis. J. Imaging Sci. Technol. 2010, 54, 503–514. [Google Scholar] [CrossRef]
- Wang, Z.; Simoncelli, E.P.; Bovik, A.C. Multi-scale structural similarity for image quality assessment. In Proceedings of the IEEE Asilomar Conference on Signals, Systems and Computers, Pacific Grove, CA, USA, 9–12 November 2003; Volume 2, pp. 1398–1402. [Google Scholar] [CrossRef]
- Wang, Z.; Li, Q. Information content weighting for perceptual image quality assessment. IEEE Trans. Image Process. 2011, 20, 1185–1198. [Google Scholar] [CrossRef]
- Mardani, A.; Nilashi, M.; Zakuan, N.; Loganathan, N.; Soheilirad, S.; Saman, M.Z.M.; Ibrahimb, O. A systematic review and meta-Analysis of SWARA and WASPAS methods: Theory and applications with recent fuzzy developments. Appl. Soft Comput. 2017, 57, 265–292. [Google Scholar] [CrossRef]
- Kendall, M.G. Rank Correlation Methods, 4th ed.; Hafner Press: New York, NY, USA, 1970. [Google Scholar]
- Ginevicius, R.; Podvezko, V. Objective and subjective approaches determining the criterion weights in multicriteria models. Transp. Telecommun. 2005, 6, 133–137. [Google Scholar]
- Zavadskas, E.K.; Podvezko, V. Integrated Determination of Objective Criteria Weights in MCDM. Int. J. Inf. Technol. Decis. Mak. 2016, 15, 267–283. [Google Scholar] [CrossRef]
- Zavadskas, E.K.; Ustinovichius, L.; Turskis, Z.; Shevchenko, G. Application of Verbal Methods to Multi Attribute Comparative Analysis of Investments Risk Alternatives in Construction. Comput. Model. New Technol. 2008, 12, 30–37. [Google Scholar]
- Zavadskas, E.K.; Turskis, Z.; Antucheviciene, J.; Zakarevicius, A. Optimization of weighted aggregated sum product assessment. Elektron. Elektrotech. 2012, 122, 3–6. [Google Scholar] [CrossRef]
- Zavadskas, E.K.; Bausys, R.; Lazauskas, M. Sustainable assessment of alternative sites for the construction of a waste incineration plant by applying WASPAS method with single-valued neutrosophic set. Sustainability 2015, 7, 15923–15936. [Google Scholar] [CrossRef]
- Bausys, R.; Cavallaro, F.; Semenas, R. Application of sustainability principles for harsh environment exploration by autonomous robot. Sustainability 2019, 11, 2518. [Google Scholar] [CrossRef]
- Zavadskas, E.K.; Bausys, R.; Mazonaviciute, I. Safety evaluation methodology of urban public parks by multi-criteria decision making. Landsc. Urban Plan. 2019, 189, 372–381. [Google Scholar] [CrossRef]
- Earth Explorer. Available online: https://earthexplorer.usgs.gov/ (accessed on 2 March 2020).
- Likert Scale. Available online: https://www.britannica.com/topic/Likert-Scale (accessed on 29 June 2020).








| Criteria of Images | Optimum | Experts | Average Criteria Values | Criteria Weights | ||||
|---|---|---|---|---|---|---|---|---|
| 1st | 2nd | 3rd | 4th | 5th | ||||
| Change of Y contrast, C1 | min | 2 | 3 | 2 | 2 | 2 | 2.2 | 0.022 |
| Change of Y correlation, C2 | min | 2 | 3 | 3 | 1 | 3 | 2.4 | 0.024 |
| Change of Y homogeneity, C3 | min | 2 | 3 | 4 | 4 | 3 | 3.2 | 0.032 |
| Change of Y energy, C4 | min | 9 | 10 | 8 | 8 | 9 | 8.8 | 0.088 |
| Change of Y entropy, C5 | min | 9 | 10 | 9 | 10 | 10 | 9.6 | 0.096 |
| MOS for RGB image textures, C6 | max | 7 | 8 | 8 | 8 | 9 | 8.0 | 0.080 |
| Change of Cb mean, C7 | min | 10 | 9 | 10 | 10 | 8 | 9.4 | 0.094 |
| Change of Cr mean, C8 | min | 9 | 9 | 8 | 9 | 10 | 9.0 | 0.090 |
| Change of Cb standard deviation, C9 | min | 5 | 3 | 5 | 4 | 3 | 4.0 | 0.040 |
| Change of Cr standard deviation, C10 | min | 3 | 3 | 4 | 4 | 2 | 3.2 | 0.032 |
| MOS for RGB image colors, C11 | max | 8 | 7 | 6 | 9 | 6 | 7.2 | 0.072 |
| SSIM for Y component of YCbCr, C12 | max | 8 | 6 | 6 | 6 | 7 | 6.6 | 0.066 |
| MS-SSIM for Y component of YCbCr, C13 | max | 8 | 7 | 7 | 6 | 9 | 7.4 | 0.074 |
| PSNR for YCbCr image, C14 | max | 6 | 5 | 4 | 5 | 5 | 5.0 | 0.050 |
| PSNR-HVS–M for YCbCr image, C15 | max | 5 | 6 | 8 | 6 | 7 | 6.4 | 0.064 |
| MOS for RGB image artifacts, C16 | min | 7 | 8 | 8 | 8 | 7 | 7.6 | 0.076 |
| Qualitative Parameters (Criteria) of Images | Criteria Opti-mum | Compression Algorithm, Compression Ratio (Alternatives) | ||||||||||||||
|---|---|---|---|---|---|---|---|---|---|---|---|---|---|---|---|---|
| JPEG200025:1, A1 | ECW, 25:1, A2 | JPEG, 25:1, A3 | JPEG200050:1, A4 | ECW, 50:1, A5 | JPEG, 50:1, A6 | JPEG2000 75:1, A7 | ECW, 75:1, A8 | JPEG, 75:1, A9 | JPEG2000100:1, A10 | ECW, 100:1, A11 | JPEG, 100:1, A12 | JPEG2000- A01, A13 | ECW-A02, A14 | JPEG-A03, A15 | ||
| Change of Y contrast, C1 | min | 14.5651 | 48.7378 | 7.1548 | 26.0821 | 79.8598 | 12.1424 | 35.1855 | 89.8264 | 16.5589 | 39.4098 | 104.8575 | 21.0296 | 35.1855 | 79.8598 | 12.1424 |
| Change of Y correlation, C2 | min | −0.0057 | −0.0178 | −0.0028 | −0.0103 | −0.0291 | −0.0050 | −0.0139 | −0.0355 | −0.0065 | −0.0156 | −0.0402 | −0.0077 | −0.0139 | −0.0291 | −0.0050 |
| Change of Y homogeneity, C3 | min | −0.0483 | −0.0180 | −0.0164 | −0.0722 | −0.0395 | −0.0708 | −0.0917 | −0.0477 | −0.1475 | −0.1109 | −0.0619 | −0.2465 | −0.0917 | −0.0395 | −0.0708 |
| Change of Y energy, C4 | min | −0.0001 | −0.0001 | −0.00004 | −0.0002 | −0.0002 | −0.0006 | −0.0003 | −0.0002 | −0.0033 | −0.0004 | −0.0004 | −0.0118 | −0.0003 | −0.0002 | −0.0006 |
| Change of Y entropy, C5 | min | 0.2388 | 0.2898 | 0.0773 | 0.3784 | 0.5623 | 0.3958 | 0.4936 | 0.6272 | 1.1482 | 0.5946 | 0.8330 | 2.4476 | 0.4936 | 0.5623 | 0.3958 |
| MOS for RGB image textures, C6 | max | 9 | 8 | 9 | 8 | 7 | 7 | 6 | 5 | 4 | 4 | 2 | 1 | 6 | 7 | 7 |
| Change of Cb mean, C7 | min | 0.2966 | 0.6955 | 0.6452 | 0.5759 | 0.7086 | 0.9265 | 0.6897 | 0.7065 | 0.9880 | 0.7523 | 0.7066 | 2.2541 | 0.7523 | 0.7065 | 0.9265 |
| Change of Cr mean, C8 | min | 0.3514 | 0.6056 | 0.5366 | 0.5097 | 0.6388 | 0.9350 | 0.5605 | 0.6429 | 1.0032 | 0.5920 | 0.6428 | 1.2186 | 0.5920 | 0.6429 | 0.9350 |
| Change of Cb standard deviation, C9 | min | 0.1128 | 0.3493 | 0.3522 | 0.3083 | 0.3524 | 0.3253 | 0.3483 | 0.3537 | 0.2878 | 0.3576 | 0.3538 | 0.3737 | 0.3576 | 0.3537 | 0.3253 |
| Change of Cr standard deviation, C10 | min | 0.1579 | 0.2374 | 0.2199 | 0.2089 | 0.2797 | 0.2130 | 0.2182 | 0.2955 | 0.2199 | 0.2207 | 0.2988 | 0.3151 | 0.2207 | 0.2955 | 0.2130 |
| MOS for RGB image colors, C11 | max | 9 | 8 | 8 | 8 | 7 | 5 | 7 | 5 | 3 | 6 | 4 | 2 | 6 | 5 | 5 |
| SSIM for Y component of YCbCr, C12 | max | 0.7125 | 0.5208 | 0.7647 | 0.6038 | 0.3720 | 0.6012 | 0.5460 | 0.2979 | 0.4854 | 0.4866 | 0.2509 | 0.3742 | 0.5460 | 0.3720 | 0.6012 |
| MS-SSIM for Y component of YCbCr, C13 | max | 0.9891 | 0.9704 | 0.9935 | 0.9811 | 0.9350 | 0.9773 | 0.9724 | 0.9037 | 0.9541 | 0.9632 | 0.8750 | 0.9149 | 0.9724 | 0.9350 | 0.9773 |
| PSNR for YCbCr image, C14 | max | 40.3640 | 35.8226 | 38.7328 | 37.7416 | 34.2080 | 36.2407 | 36.7678 | 33.4156 | 34.7346 | 36.0396 | 32.8686 | 32.9938 | 36.7678 | 34.2080 | 36.2407 |
| PSNR-HVS–M for YCbCr image, C15 | max | 42.1918 | 35.7247 | 40.4886 | 38.1932 | 32.4256 | 36.4482 | 36.3451 | 30.7566 | 33.5373 | 34.8503 | 29.6463 | 30.8029 | 36.3451 | 32.4256 | 36.4482 |
| MOS for RGB image artifacts, C16 | min | 9 | 8 | 8 | 6 | 5 | 5 | 5 | 4 | 3 | 4 | 3 | 2 | 5 | 5 | 5 |
| No | Alternatives | Utility Function | Rank by WASPAS | ||||||||||
|---|---|---|---|---|---|---|---|---|---|---|---|---|---|
| “img1” | “img2” | “img3” | “img4” | “img5” | “img6” | “img1” | “img2” | “img3” | “img4” | “img5” | “img6” | ||
| 1 | JPEG200025:1, A1 | 0.7673 | 0.7554 | 0.7526 | 0.7578 | 0.7647 | 0.7472 | 1 | 1 | 1 | 1 | 1 | 1 |
| 2 | ECW 25:1, A2 | 0.7157 | 0.7161 | 0.7343 | 0.7372 | 0.7258 | 0.7380 | 4 | 5 | 2 | 3 | 5 | 2 |
| 3 | JPEG25:1, A3 | 0.7380 | 0.7410 | 0.7268 | 0.7387 | 0.7389 | 0.7327 | 2 | 2 | 4 | 2 | 2 | 4 |
| 4 | JPEG200050:1, A4 | 0.7243 | 0.7218 | 0.7263 | 0.7329 | 0.7387 | 0.7160 | 3 | 4 | 5 | 6 | 3 | 8 |
| 5 | ECW 50:1, A5 | 0.6820 | 0.6799 | 0.7060 | 0.7135 | 0.6829 | 0.7175 | 10 | 12 | 8 | 8 | 10 | 7 |
| 6 | JPEG 50:1, A6 | 0.6866 | 0.6994 | 0.6666 | 0.7007 | 0.7021 | 0.6820 | 8 | 8 | 12 | 10 | 8 | 11 |
| 7 | JPEG200075:1, A7 | 0.7049 | 0.7069 | 0.6970 | 0.7076 | 0.7072 | 0.6885 | 5 | 7 | 9 | 9 | 7 | 10 |
| 8 | ECW 75:1, A8 | 0.6645 | 0.6551 | 0.6942 | 0.6881 | 0.6601 | 0.7033 | 12 | 13 | 10 | 11 | 12 | 9 |
| 9 | JPEG 75:1, A9 | 0.6479 | 0.6835 | 0.6275 | 0.6632 | 0.6132 | 0.5651 | 13 | 10 | 14 | 14 | 14 | 14 |
| 10 | JPEG2000100:1, A10 | 0.6889 | 0.6918 | 0.6624 | 0.6785 | 0.6819 | 0.6612 | 7 | 9 | 13 | 13 | 11 | 13 |
| 11 | ECW 100:1, A11 | 0.6397 | 0.6285 | 0.6783 | 0.6880 | 0.6293 | 0.6754 | 14 | 14 | 11 | 12 | 13 | 12 |
| 12 | JPEG100:1, A12 | 0.5041 | 0.4853 | 0.4612 | 0.3991 | 0.4906 | 0.4856 | 15 | 15 | 15 | 15 | 15 | 15 |
| 13 | JPEG2000-A01, A13 | 0.7002 | 0.7079 | 0.7159 | 0.7329 | 0.7282 | 0.7248 | 6 | 6 | 7 | 7 | 4 | 6 |
| 14 | ECW-A01, A14 | 0.6787 | 0.6799 | 0.7324 | 0.7363 | 0.6987 | 0.7370 | 11 | 11 | 3 | 4 | 9 | 3 |
| 15 | JPEG-A01, A15 | 0.6866 | 0.7223 | 0.7261 | 0.7343 | 0.7199 | 0.7327 | 9 | 3 | 6 | 5 | 6 | 5 |
Publisher’s Note: MDPI stays neutral with regard to jurisdictional claims in published maps and institutional affiliations. |
© 2021 by the authors. Licensee MDPI, Basel, Switzerland. This article is an open access article distributed under the terms and conditions of the Creative Commons Attribution (CC BY) license (http://creativecommons.org/licenses/by/4.0/).
Share and Cite
Bausys, R.; Kazakeviciute-Januskeviciene, G. Qualitative Rating of Lossy Compression for Aerial Imagery by Neutrosophic WASPAS Method. Symmetry 2021, 13, 273. https://doi.org/10.3390/sym13020273
Bausys R, Kazakeviciute-Januskeviciene G. Qualitative Rating of Lossy Compression for Aerial Imagery by Neutrosophic WASPAS Method. Symmetry. 2021; 13(2):273. https://doi.org/10.3390/sym13020273
Chicago/Turabian StyleBausys, Romualdas, and Giruta Kazakeviciute-Januskeviciene. 2021. "Qualitative Rating of Lossy Compression for Aerial Imagery by Neutrosophic WASPAS Method" Symmetry 13, no. 2: 273. https://doi.org/10.3390/sym13020273
APA StyleBausys, R., & Kazakeviciute-Januskeviciene, G. (2021). Qualitative Rating of Lossy Compression for Aerial Imagery by Neutrosophic WASPAS Method. Symmetry, 13(2), 273. https://doi.org/10.3390/sym13020273

