Stability Characteristics and Mechanism of U-Shaped Metal Bellows under Symmetrical Cyclic Tension and Compression Process
Abstract
1. Introduction
2. Materials and Methods
2.1. Material Properties
2.2. SCTC Process
2.3. Finite Element Analysis
2.4. SCTC Experiment
2.5. Analysis Methods
3. Results and Discussion
3.1. Material Properties
3.2. Finite Element Simulation Results
3.3. SCTC Experiment Results
3.3.1. Single Tension–Compression Loading Curve
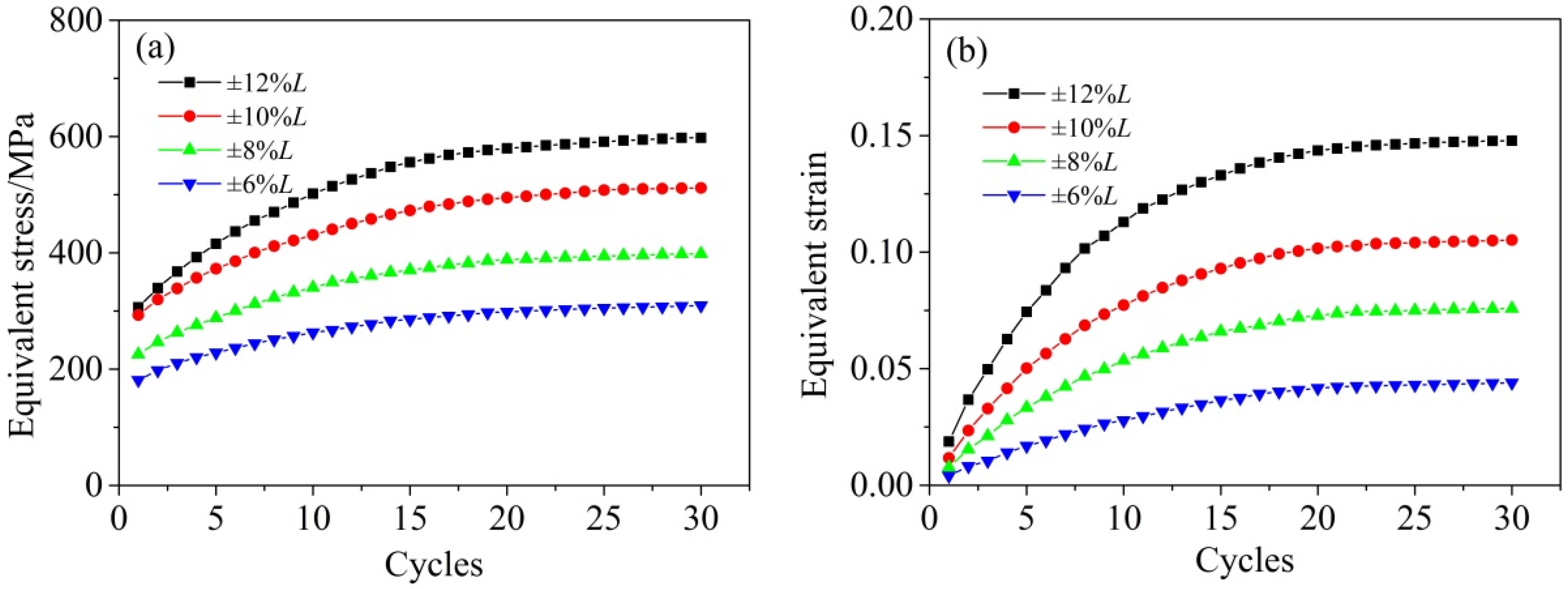
3.3.2. SCTC Curves
3.3.3. Stability under SCTC Loading
Axial Stiffness
Axial Yield Load
3.4. Hardness Measurement Results
3.5. X-ray Diffraction
3.6. Microstructure
4. Conclusions
- (1)
- The amount of deformation distributed on each waveform of the bellows is uniform, and the deformation is mainly concentrated in the wave trough. After the 20th cycle of SCTC loading, the macroscopic mechanical properties of the metal bellows gradually stabilized.
- (2)
- The axial stiffness and yield load values of tension and compression were increased significantly during SCTC loading. The asymmetry of the metal bellows under the SCTC loading process was proved by the difference between the increased amounts.
- (3)
- The plastic deformation hardening at the wave trough is serious with the increase in displacement amplitude, resulting in a large hardness value. The deformation-induced martensite at the wave trough was confirmed by the X-ray diffraction peak. The microstructure of the wave trough reveals that the martensite inside the grains of the metal material increases the grain boundaries area. The metal bellows present stable characteristics under SCTC loading when the internal force of opening the slip band and the resistance at the grain boundary reach an equilibrium state.
Author Contributions
Funding
Institutional Review Board Statement
Informed Consent Statement
Data Availability Statement
Conflicts of Interest
References
- Zhu, Y.Z.; Wang, H.F.; Sang, Z.F. The effect of environmental medium on fatigue life for u-shaped bellows expansion joints. Int. J. Fatigue 2006, 28, 28–32. [Google Scholar] [CrossRef]
- Expansion Joints Manufacturing Association (EJMA). 1996. Available online: http://www.ejma.org/ejma-standards/ (accessed on 30 November 2021).
- Ye, H.; Qian, J.; Yan, S.; Jiang, C.; Jin, Z. Ultimate bending moment for pipes with two circumferential flaws under combined internal pressure and bending. Int. J. Mech. Sci. 2016, 106, 319–330. [Google Scholar] [CrossRef]
- Hao, Z.L.; Xi, C.Y.; Huang, Z.H.; Luo, J.T. Hydraulic bulging process with axial feedings and strain field of U-shaped metal bellows. J. Cent. South Univ. 2018, 25, 2712–2721. [Google Scholar] [CrossRef]
- Yuan, Z.; Huo, S.H.; Ren, J.T. Mathematical description and mechanical characteristics of reinforced S-shaped bellows. Int. J. Pers. Ves. Pip. 2019, 175, 103931. [Google Scholar] [CrossRef]
- Krovvidi, S.; Goyal, S.; Bhaduri, A. Design and analysis of formed bellows for nuclear applications—Case study. Procedia Struct. Integr. 2019, 14, 855–863. [Google Scholar] [CrossRef]
- Zhang, W.W.; Cong, S. Failure analysis of SUS304 sheet during hydro-bulging based on GTN ductile damage model. Int. J. Adv. Manuf. Technol. 2015, 86, 427–435. [Google Scholar] [CrossRef]
- Steinheimer, R.; Engel, B. Thermal Influences during Rotary Draw Bending of Tubes from Stainless Steel. Procedia Eng. 2014, 81, 2165–2170. [Google Scholar] [CrossRef][Green Version]
- Daxin, E.; Li, R. Influence of additional tensile force on the stress and deformation of numerically controlled tube bending. Int. J. Adv. Manuf. Technol. 2015, 78, 895–905. [Google Scholar] [CrossRef]
- Yu, G.C.; Ma, R.; Zhai, R.X.; Zhao, J. Mechanical properties in cyclic tension-compression loading process on sheet metal. Procedia Manuf. 2018, 15, 1769–1776. [Google Scholar] [CrossRef]
- Yu, G.C.; Zhao, J. Evolution of Mechanical Properties in Cyclic Tension-compression Loading on Sheet Metal. Chin. J. Mech. Eng. 2019, 55, 33. [Google Scholar] [CrossRef]
- Huang, X.Y.; Yu, G.C.; Sun, H.L.; Zhao, J. A mechanical model of axial and circumferential bidirectional deformation for large thin-walled pipes in the process of continuous and synchronous calibration of roundness and straightness by three rollers. Int. J. Adv. Manuf. Technol. 2021, 16, 3809–3826. [Google Scholar] [CrossRef]
- Huang, X.Y.; Zhao, J.; Yu, G.C.; Meng, Q.D.; Mu, Z.K.; Zhai, R.X. Three-roller continuous setting round process for longitudinally submerged arc welding pipes. T. Nonferr. Metal. Soc. 2021, 31, 1411–1426. [Google Scholar] [CrossRef]
- Hao, Z.L.; Luo, S.Y.; Zhao, H.; Luo, J.T. Effect of Plate Hardening Behavior on the Deformation of Stainless Steel Metal Bellows. J. Mater. Eng. Perform. 2017, 26, 5385–5395. [Google Scholar] [CrossRef]
- Christopher, J.; Choudhary, B.K. On the assessment of tensile work hardening behaviour of type 316L(N) austenitic stainless steel in the framework of θσ d, vs. σ d, using flow stress contribution from dislocations. Int. J. Pres. Ves. Pip. 2016, 146, 151–160. [Google Scholar] [CrossRef]
- Silvestre, E.; Mendiguren, J.; Galdos, L. Comparison of the hardening behaviour of different steel families: From mild and stainless steel to advanced high strength steels. Int. J. Mech. Sci. 2015, 102, 10–20. [Google Scholar] [CrossRef]
- Pierce, S.O.; Evans, J.L. Failure analysis of a metal bellows flexible hose subjected to multiple pressure cycles. Eng. Fail. Anal. 2012, 22, 11–20. [Google Scholar] [CrossRef]
- Qin, X.; Gao, D.L. The effect of residual bending on coiled tubing buckling behavior in a horizontal well. J. Nat. Gas Sci. Eng. 2016, 30, 182–194. [Google Scholar] [CrossRef]
- Huo, S.H.; Yan, W.Z.; Xu, X.J.; Yuan, Z. Bending characteristics of the reinforced S-shaped bellows under internal pressure—ScienceDirect. Int. J. Pers. Ves. Pip. 2021, 192, 104412. [Google Scholar] [CrossRef]
- Xiang, X.M.; Lu, G.; Li, Z.X. Finite element analysis and experimental study on a bellows joint. Eng. Struct. 2017, 151, 584–598. [Google Scholar] [CrossRef]
- Silva, M.; Fragoso, H.; Barrio, R. Stress corrosion of an austenitic stainless steel expansion joint, a case study. Eng. Fail. Anal. 2019, 97, 300–310. [Google Scholar] [CrossRef]
- Pavithra, E.; Kumar, V. Experimental Investigation and Numerical Analysis on Fatigue Life of Bellows. Mater. Today 2018, 5, 18848–18856. [Google Scholar] [CrossRef]
- Panda, B.; Sujata, M.; Madan, M. Stress corrosion cracking in 316L stainless steel bellows of a pressure safety valve. Eng. Fail. Anal. 2014, 36, 379–389. [Google Scholar] [CrossRef]
- Hao, Z.L.; Luo, J.T.; Jin, Y.B. Failure Analysis of Corrugated Metal Hose under Ultimate Repeated Bending Process. Eng. Fail. Anal. 2019, 109, 104295. [Google Scholar] [CrossRef]
- Hao, Z.L.; Luo, J.T.; Chen, L.H.; Chen, Y.H.; Cai, Y. Failure Mechanism of Unequal Parameters Metal Bellows under Repeated Bending Process. Eng. Fail. Anal. 2021, 129, 105671. [Google Scholar] [CrossRef]
- Liu, C.; Lu, K.; Sheng, L.; Song, Y. Manufacture and test of seismic bellows for ITER magnet feeder. Fusion Eng. Des. 2016, 109, 515–520. [Google Scholar] [CrossRef]
- Saad, D.; Dundulis, G.; Janulionis, R. Calculation of SIFs for semi-elliptical surface cracks in U-shaped bellows expansion joints of Es-Salam research reactor vessel. Eng. Fail. Anal. 2020, 111, 104481. [Google Scholar] [CrossRef]
















| Element | C | Si | Mn | P | S | Cr | Ni | Mo |
|---|---|---|---|---|---|---|---|---|
| percentage/wt.% | 0.03 | 0.75 | 2.0 | 0.045 | 0.03 | 16.0~18.0 | 10.0~14.0 | 2.0~3.0 |
| Parameters | D | t | H | Rc | Rt | n |
|---|---|---|---|---|---|---|
| Size/mm | 80 | 0.4 | 10 | 3.6 | 2.4 | 10 |
Publisher’s Note: MDPI stays neutral with regard to jurisdictional claims in published maps and institutional affiliations. |
© 2021 by the authors. Licensee MDPI, Basel, Switzerland. This article is an open access article distributed under the terms and conditions of the Creative Commons Attribution (CC BY) license (https://creativecommons.org/licenses/by/4.0/).
Share and Cite
Hao, Z.; Yao, B.; Chen, Y.; Luo, J. Stability Characteristics and Mechanism of U-Shaped Metal Bellows under Symmetrical Cyclic Tension and Compression Process. Symmetry 2021, 13, 2451. https://doi.org/10.3390/sym13122451
Hao Z, Yao B, Chen Y, Luo J. Stability Characteristics and Mechanism of U-Shaped Metal Bellows under Symmetrical Cyclic Tension and Compression Process. Symmetry. 2021; 13(12):2451. https://doi.org/10.3390/sym13122451
Chicago/Turabian StyleHao, Zengliang, Biao Yao, Yuhang Chen, and Junting Luo. 2021. "Stability Characteristics and Mechanism of U-Shaped Metal Bellows under Symmetrical Cyclic Tension and Compression Process" Symmetry 13, no. 12: 2451. https://doi.org/10.3390/sym13122451
APA StyleHao, Z., Yao, B., Chen, Y., & Luo, J. (2021). Stability Characteristics and Mechanism of U-Shaped Metal Bellows under Symmetrical Cyclic Tension and Compression Process. Symmetry, 13(12), 2451. https://doi.org/10.3390/sym13122451
