Abstract
The purpose of this pilot study was to investigate the effects of change-of-direction (CoD) angle (90° vs. 180°) and the inclusion of acceleration approach on total task time, CoD deficit, and agreement regarding inter-limb asymmetry direction across CoD tasks. The sample included 13 young male handball players (age: 22.4 ± 3.2 years). The CoD tasks were performed over a 10 m distance with 90° and 180° turns. Both CoD tasks were performed under two conditions: (1) from the standing start and, (2) with a 10 m prior acceleration approach. Linear sprint times over a 10 m distance were also recorded for the purpose of determining the CoD deficit. The differences between the outcomes of different test variants were assessed with pairwise t-tests and associated Cohen’s d effect size. The agreement in terms of inter-limb asymmetry direction was assessed descriptively, using percentage of agreement. Results showed that the inclusion of the 10 m approach reduced the total task time (mean differences ranging between 0.26 and 0.35 s; d = 2.27–4.02; p < 0.002). The differences between 90° and 180° turn times were statistically significant under both conditions: (a) without approach (0.44–0.48 s; d = 4.72–4.84; all p < 0.001), and (b) with approach (0.50–0.54 s; d = 4.41–5.03; p < 0.001). The agreement regarding inter-limb asymmetry direction among the tasks was 30.7–61.5%. The differences between the tasks could be explained by the angle–velocity trade-off. The results of this study imply that the CoD tasks should not be used interchangeably when assessing inter-limb asymmetries.
1. Introduction
Change-of-direction (CoD) ability is an important physical quality in several sports [1,2]. Considering the high frequency of CoD actions in sports [2], testing CoD ability—and subsequently designing training interventions off the back of it—is suggested for athletes. Although many tests have been suggested to assess CoD and/or agility, it should be noted that agility is a distinct quality, defined as the ability to perform a rapid whole-body movement with a change in velocity or direction in response to a stimulus [1,3,4]. It has also been suggested that CoD ability should be distinguished from maneuverability, which is defined as the ability to maintain a high velocity of running through curvilinear movement patterns [5]. According to this view, procedures such as the Illinois test are also underpinned by maneuverability, while tasks such as the 505 test, which have sharper angle changes, are needed when truly assessing CoD ability [6].
Recently, however, it has been suggested that even tests such as the 505 test may not reflect isolated CoD ability, because they are highly dependent on linear sprinting ability [7,8], despite the short total distance travelled. Therefore, a novel outcome, termed CoD deficit (CoDD), has been suggested to obtain a more isolated measure of CoD ability. Briefly, this approach involves performing a CoD task and an equidistant linear sprint, with the CoDD representing the additional time that the individual needs to complete the task with the CoD action [8,9,10]. An additional advantage when assessing CoD ability via tests such as the 505 is the option to calculate inter-limb asymmetries [6,11], which may provide useful information, given how previous research has highlighted that such a link may exist with athletic performance [12]. Furthermore, previous research has shown that the CoDD is likely to provide very different results compared to raw CoD test scores in terms of the magnitude of inter-limb asymmetries and ranking the athletes according to CoD ability [6,11,13]. Furthermore, several studies have shown that inter-limb asymmetries are highly task-specific. In one of our studies conducted with volleyball players, we found very low agreement in inter-limb asymmetry direction and magnitude across different strength and power tests, including single-joint isometric strength tests, as well as horizontal and vertical jumps [14]. Moreover, only slight-to-fair agreement regarding inter-limb asymmetries has been reported between different isometric strength tests and Nordic hamstring exercises [15]. Similarly, inter-limb asymmetries in isokinetic knee strength and vertical jump tests are largely independent [16]. Even across similar tasks (e.g., squat jump, counter-movement jump, and drop jump), or between unilateral and bilateral variants of the same tests, the agreement in inter-limb asymmetry is far from high [17,18]. Altogether, it seems that inter-limb asymmetries should not be generalized across different tasks.
Previous studies investigating CoDD and inter-limb asymmetries in CoD have predominantly utilized the 505 test [6,11,13], although CoDD can be applied to any CoD task [10]. As mentioned, these studies have shown that inter-limb asymmetries in CoDD may provide different results compared to inter-limb asymmetries calculated from raw CoD task times. However, it remains unknown whether inter-limb asymmetries are consistent across CoD tasks (e.g., the 505 test and 90° turn). Moreover, it is unknown whether the acceleration approach prior to CoD action (such as the 10 m approach in the 505 test) affects subsequent inter-limb differences and CoDD deficits. Therefore, the purpose of this pilot study was to investigate an agreement regarding inter-limb asymmetry direction across CoD tasks that differed in CoD angle (90° vs. 180°) and the inclusion of the acceleration approach. We hypothesized that a limited agreement would be found regarding inter-limb asymmetry direction across the tasks.
2. Materials and Methods
2.1. Participants and Study Design
The sample comprised 13 male handball players (age: 22.4 ± 3.2 years, body mass: 85.2 ± 6.7 kg, body height: 184.5 ± 6.7 cm), who competed at a national league level. They reported no musculoskeletal injuries in the past 6 months. After the explanation of the tasks to be performed, they were asked to sign an informed consent form. The experimental procedures were confirmed by Republic of Slovenia National Medical Ethics Committee (approval no. 0120–99/2018/5), and were conducted in accordance with the Declaration of Helsinki.
2.2. Procedures and Outcome Measures
The study was conducted in a single visit, lasting approximately 45 min per athlete. The participants performed a warm-up, consisting of 10 min of low-intensity running and 10 min of dynamic stretching and bodyweight resistance exercises (squats, lunges, sit-ups). The participants were required to wear the shoes that they typically used during handball training. The testing was performed indoors, on a parquet floor. Task performance time was recorded with laser timing gates (Brower Timing Systems, Draper, UT, USA), which were positioned at each individual’s hip height. The CoD tasks were performed in a randomized order and, within each task, the left and the right sides were tested in an alternating order. Two practice trials per side for each task were executed at a submaximal effort. The CoD tasks involved 90° and 180° turns, completed over a 10 m distance (i.e., running for 5 m, turning, and running for another 5 m). Each task was performed once from the standing start and once with a 10 m prior acceleration approach (i.e., 4 tests in total). For clarity, the 180° turn task with approach is essentially the same as the 505 test [6]. For the test variants without the approach, the starting line was 0.3 m behind the first timing gate to prevent early triggering. For the 505 test, the starting and turning points were indicated with a white tape. For the 90° test, an “X” mark indicated the turning point. The participant was required to cross the line or step on the “X” mark for the 505 and 90° tests, respectively. For the purpose of determining the CoDD, 10 m sprint times without prior acceleration were also recorded in a separate test, using the same timing gates. For all tests, the participants were verbally encouraged to perform at the highest possible effort. Three repetitions of each task were performed, and the best repetition was considered for further analyses. The CoDD for each task was calculated as the difference between the respective CoD task time and the 10 m sprint time [8]. Trial-to-trial reliability was confirmed with ICC (0.87–0.95) and typical errors (1.1–3.5% of the mean). Inter-limb asymmetries were calculated as percentage differences as follows: 100/(max value) × (min value) × −1 + 100 [11,19].
2.3. Statistical Analysis
Statistical analyses were carried out using SPSS (version 25.0, SPSS Inc., Chicago, IL, USA). Descriptive statistics are reported as mean ± standard deviation and range (minimum to maximum). According to the Shapiro–Wilk test, all outcomes (task completion times and CoDDs) followed the normal distribution (p = 0.081−0.889). The differences between the outcomes (total times and CoDDs) of different test variants were assessed with pairwise t-tests. To control for the type 1 error, we applied Holm–Bonferroni sequential correction of p-values [20]. Cohen’s d effect sizes were calculated as trivial (<0.2), small (0.2–0.5), medium (0.5–0.8), large (0.8–1.2), very large (1.2–2.0), and huge (>2.0) [21]. The agreement in terms of inter-limb asymmetry direction was assessed descriptively, using percentage of agreement. The threshold for statistical significance was set at p < 0.05.
3. Results
3.1. Descriptive Statistics and Differences between Test Variants
Descriptive statistics are available in Table 1. The full dataset is available in the Supplementary Materials.
Table 1.
Descriptive statistics for all tests.
The inclusion of the 10 m approach reduced the total task time, with the mean differences ranging between 0.26 and 0.35 s, which was reflected in the huge effect size (d = 2.27–4.02; all p < 0.002). Similarly, all 90° tests took less time than their 180° equivalents. The differences between 90° and 180° turn times were statistically significant both when the 10 m approach was used (mean differences: 0.50–0.54 s; d = 4.41–5.03; all p < 0.001) and when there was no approach (mean differences: 0.44–0.48 s; d = 4.72–4.84; all p < 0.001). CoDD outcomes followed the same logic (all p < 0.003), which is expected, as they are directly derived from task times (subtracting 10 m sprint time from the total task time). Notably, the CoDD for the 90° turn with approach was very small (mean: 0.06–0.07 s), with some participants actually showing negative values, which means that they completed the 90° turn with approach faster than the 10 m sprint test. Overall, the 90° turn times with approach were nevertheless statistically significantly longer than the 10 m sprint times (mean difference: 0.06–0.07; d = 0.79–0.87; p = 0.014–0.021)
3.2. Agreement between the Tasks with Regard to Inter-Limb Asymmetry Direction
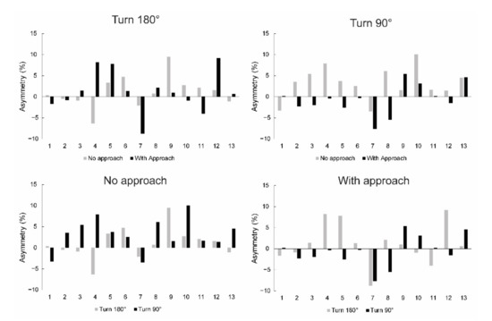
Figure 1 shows the individual inter-limb asymmetry scores across the participants. Comparing the tasks with the same angle with and without the approach, the agreement in terms of inter-limb asymmetry direction was relatively limited (7/13 (53.8%) matching for 180° turn; 5/13 (38.4%) matching for 90° turn). Slightly better agreement was shown between the 180° turn and 90° turn matching for tests without approach (8/13 (61.5%), but even poorer for the tests with approach (4/13 (30.7%) matching).
Figure 1.
Asymmetry scores for individual participants, separated by task (upper panel) and inclusion of approach (bottom panel).
4. Discussion
The purpose of this pilot study was to investigate the effect of CoD angle (90° vs. 180°) and the inclusion of a 10 m acceleration approach on CoDD, as well as agreement regarding inter-limb asymmetry direction across CoD tasks. The rationale was that if good agreement was found, then the practitioners could use one task to assess the inter-limb asymmetries comprehensively. Poor levels of agreement would identify that multiple tasks should be performed, or that practitioners should carefully choose the task that best resembles the physical requirements of the sport and the needs of the athlete. The primary finding is that the tasks used in this study cannot be used interchangeably for the assessment of inter-limb asymmetries, which is in accordance with our hypothesis. Moreover, huge differences between CoD tasks and associated CoDD deficits were detected. This also means that the tasks should also not be used interchangeably for general assessment of CoD ability (i.e., even when not assessing the asymmetry aspects).
The results are also consistent with previous research showing limited agreement in terms of inter-limb asymmetries across jumping tasks [17,18], and between jumping and single-joint strength tests [14,16]. This study adds additional evidence in terms of CoD tasks, highlighting that even across very similar tests, the inter-limb asymmetry scores cannot be used interchangeably. In other words, if one CoD task was performed faster in a given direction, this was not necessarily true for the other tasks (in fact, the agreement that was observed can easily be attributed to random chance). Thus, practitioners should be aware that different CoD tasks present different limb dominance characteristics, which means that one test is insufficient to comprehensively assess inter-limb asymmetries in CoD ability.
The differences between the task times could be explained by the angle–velocity trade-off [22,23]. For instance, sharper (180° compared to 90°) CoD actions are characterized by larger decreases in velocity, longer ground contact times, and lower ground reaction forces [23]. Accordingly, Dos’Santos et al. [22] stress that practitioners should be aware of the effects of different angles and approach velocity when assessing CoD performance, and when designing and prescribing CoD training. Our results also corroborate these recommendations for inter-limb asymmetry determination. Coaches should use multiple CoD tasks if they wish to assess CoD ability comprehensively. Alternatively, they may consider using CoD tasks that best resemble the specific physical demands of the sport, or demands that the athlete may be exposed to in competition. For instance, tests without an approach could be better suited for tennis and volleyball, as these sports rarely involve CoD actions after longer (10 m or more) prior linear sprinting [24,25]. Conversely, tests with a prior approach could be better suited for soccer players [2]; however, the coaches should also keep in mind that this will increase the total load on the players. Given the high weekly variation in training and match load [26], it is important to carefully consider the choice of CoD tests and when to apply it.
An important additional finding was that CoDD in the 90° turn with approach was very small (mean: 0.06–0.07 s), and was even not present in some participants (4/13 participants in the 90° turn with approach and 3/13 in the 90° turn without the approach). This implies that 90° turns at high velocity require little deceleration. It would be interesting to investigate specific determinants of 90° and 180° test variations. For instance, a large role of eccentric strength has been stressed for 180° turns [27], while our results imply that maintaining high speed is possible for 90° turns. Regardless of the angle, the raw CoD task times are highly dependent on linear sprint ability [8,10], suggesting that CoDD calculation is needed to compliment an athlete’s CoD profile.
Aside from the pilot nature of the study and its small sample size, it has to be emphasized that the present study was conducted on a sample of well-trained male handball players, limiting the generalizability of the results to females and other sports. Moreover, only two contrasting angles (90° and 180°) were used for CoD testing, while previous research also shows biomechanical differences between 45° and 90° angles [23]. Future research conducted with larger sample sizes of different athletic populations is needed. Various CoD angles should be included (e.g., 45, 90, 135, and 180°), and CoDDs should be considered in addition to raw test times. Moreover, the test–retest reliability of all CoD task variants should also be investigated.
5. Conclusions
Variations in the angle and velocity of CoD tasks result in different CoDD values. The agreement in inter-limb asymmetry direction across tasks was very limited, which suggests that the tasks should not be used interchangeably. Coaches should choose multiple CoD tasks for comprehensive assessment of CoD ability. Alternatively, they may consider using CoD tasks that best resemble the specific physical demands of the sport.
Supplementary Materials
The dataset associated with this article is available online at https://www.mdpi.com/article/10.3390/sym13101940/s1.
Author Contributions
Conceptualization, Ž.K. and N.Š.; methodology, Ž.K., C.B. and N.Š.; software, J.P. and Ž.K.; validation, J.P., C.B. and N.Š.; formal analysis, Ž.K.; investigation, J.P.; resources, J.P. and N.Š.; data curation, J.P.; writing—original draft preparation, Ž.K. and J.P.; writing—review and editing, C.B. and N.Š.; visualization, C.B. and N.Š.; supervision, N.Š.; project administration, J.P. and N.Š.; funding acquisition, N.Š. All authors have read and agreed to the published version of the manuscript.
Funding
The study was supported by the Slovenian Research Agency through the project TELASI-PREVENT [L5-1845] (Body Asymmetries as a Risk Factor in Musculoskeletal Injury Development: Studying Aetiological Mechanisms and Designing Corrective Interventions for Primary and Tertiary Preventive Care).
Institutional Review Board Statement
The experimental procedures were confirmed by Republic of Slovenia National Medi-cal Ethics Committee (approval no. 0120–99/2018/5), and were conducted in accord-ance with the Declaration of Helsinki.
Informed Consent Statement
Informed consent was obtained from all subjects involved in the study.
Data Availability Statement
The data presented in this study are available in the Supplementary Materials.
Conflicts of Interest
The authors declare no conflict of interest.
References
- Sheppard, J.; Young, W. Agility literature review: Classifications, training and testing. J. Sports Sci. 2006, 24, 919–932. [Google Scholar] [CrossRef] [Green Version]
- Taylor, J.B.; Wright, A.A.; Dischiavi, S.L.; Townsend, M.A.; Marmon, A.R. Activity Demands During Multi-Directional Team Sports: A Systematic Review. Sport. Med. 2017, 47, 2533–2551. [Google Scholar] [CrossRef]
- Paul, D.J.; Gabbett, T.J.; Nassis, G.P. Agility in Team Sports: Testing, Training and Factors Affecting Performance. Sport. Med. 2016, 46, 421–442. [Google Scholar] [CrossRef]
- Serpell, B.G.; Young, W.B.; Ford, M. Are the perceptual and decision-making components of agility trainable? A preliminary investigation. J. Strength Cond. Res. 2011, 25, 1240–1248. [Google Scholar] [CrossRef]
- Nimphius, S.; Callaghan, S.J.; Bezodis, N.E.; Lockie, R.G. Change of Direction and Agility Tests: Challenging Our Current Measures of Performance. Strength Cond. J. 2018, 40, 26–38. [Google Scholar] [CrossRef] [Green Version]
- Dos’Santos, T.; Thomas, C.; Jones, P.A.; Comfort, P. Assessing Asymmetries in Change of Direction Speed Performance: Application of Change of Direction Deficit. J. Strength Cond. Res. 2019, 33, 2953–2961. [Google Scholar] [CrossRef] [PubMed] [Green Version]
- Nimphius, S.; Geib, G.; Spiteri, T.; Carlisle, D. “Change of direction deficit” measurement in Division I American football players. J. Aust. Strength Cond. 2013, 21, 115–117. [Google Scholar]
- Nimphius, S.; Callaghan, S.J.; Spiteri, T.; Lockie, R.G. Change of Direction Deficit: A More Isolated Measure of Change of Direction Performance Than Total 505 Time. J. Strength Cond. Res. 2016, 30, 3024–3032. [Google Scholar] [CrossRef] [PubMed]
- Davidson, B.T.; Jarvis, P.; Dos Santos, T.; Turner, A.; Bishop, C. Modifying the pro-agility test: Is the change of direction deficit affected by a rolling start? Prof. Strength Cond. 2019, 3, 21–29. [Google Scholar]
- Cuthbert, M.; Thomas, C.; Dos’Santos, T.; Jones, P.A. Application of Change of Direction Deficit to Evaluate Cutting Ability. J. Strength Cond. Res. 2019, 33, 2138–2144. [Google Scholar] [CrossRef] [PubMed]
- Bishop, C.; Clarke, R.; Freitas, T.T.; Arruda, A.F.S.; Guerriero, A.; Ramos, M.S.; Pereira, L.A.; Loturco, I. Change-of-Direction Deficit vs. Deceleration Deficit: A Comparison of Limb Dominance and Inter-limb Asymmetry between Forwards and Backs in Elite Male Rugby Union Players. J. Sports Sci. 2021, 39, 1088–1095. [Google Scholar] [CrossRef]
- Bishop, C.; Turner, A.; Read, P. Effects of inter-limb asymmetries on physical and sports performance: A systematic review. J. Sports Sci. 2018, 36, 1135–1144. [Google Scholar] [CrossRef]
- Dos’Santos, T.; Comfort, P.; Jones, P.A. Comparison of Change of Direction Speed Performance and Asymmetries between Team-Sport Athletes: Application of Change of Direction Deficit. Sports 2018, 6, 174. [Google Scholar] [CrossRef] [Green Version]
- Kozinc, Ž.; Šarabon, N. Inter-limb asymmetries in volleyball players: Differences between testing approaches and association with performance. J. Sport. Sci. Med. 2020, 19, 745–752. [Google Scholar]
- Cuthbert, M.; Comfort, P.; Ripley, N.; McMahon, J.J.; Evans, M.; Bishop, C. Unilateral vs. bilateral hamstring strength assessments: Comparing reliability and inter-limb asymmetries in female soccer players. J. Sports Sci. 2021, 39, 1481–1488. [Google Scholar] [CrossRef]
- Menzel, H.J.; Chagas, M.H.; Szmuchrowski, L.A.; Araujo, S.R.S.; De Andrade, A.G.P.; De Jesus-Moraleida, F.R. Analysis of lower limb asymmetries by isokinetic and vertical jump tests in soccer players. J. Strength Cond. Res. 2013, 27, 1370–1377. [Google Scholar] [CrossRef] [PubMed]
- Bishop, C.; Pereira, L.A.; Reis, V.P.; Read, P.; Turner, A.N.; Loturco, I. Comparing the magnitude and direction of asymmetry during the squat, countermovement and drop jump tests in elite youth female soccer players. J. Sports Sci. 2020, 38, 1296–1303. [Google Scholar] [CrossRef]
- Bishop, C.; Abbott, W.; Brashill, C.; Turner, A.; Lake, J.; Read, P. Bilateral vs. Unilateral Countermovement Jumps: Comparing the Magnitude and Direction of Asymmetry in Elite Academy Soccer Players. J. Strength Cond. Res. 2020. [Google Scholar] [CrossRef]
- Bishop, C.; Read, P.; Lake, J.; Chavda, S.; Turner, A. Interlimb asymmetries: Understanding how to calculate differences from bilateral and unilateral tests. Strength Cond. J. 2018, 40, 1–6. [Google Scholar] [CrossRef] [Green Version]
- Holm, S. A Simple Sequentially Rejective Multiple Test Procedure. Scand. J. Stat. 1979, 6, 65–70. [Google Scholar]
- Sawilowsky, S.S. New Effect Size Rules of Thumb. J. Mod. Appl. Stat. Methods 2009, 8, 597–599. [Google Scholar] [CrossRef]
- Dos’Santos, T.; Thomas, C.; Comfort, P.; Jones, P.A. The Effect of Angle and Velocity on Change of Direction Biomechanics: An Angle-Velocity Trade-Off. Sport. Med. 2018, 48, 2235–2253. [Google Scholar] [CrossRef] [PubMed] [Green Version]
- Dos’Santos, T.; Thomas, C.; Jones, P.A. The effect of angle on change of direction biomechanics: Comparison and inter-task relationships. J. Sports Sci. 2021, 1–14. [Google Scholar] [CrossRef]
- Künstlinger, U.; Ludwig, H.G.; Stegemann, J. Metabolic changes during volleyball matches. Int. J. Sports Med. 1987, 8, 315–322. [Google Scholar] [CrossRef] [PubMed]
- Parsons, L.S.; Jones, M.T. Development of speed, agility, and quickness for tennis athletes. Strength Cond. J. 1998, 20, 14–19. [Google Scholar] [CrossRef] [Green Version]
- Teixeira, J.E.; Forte, P.; Ferraz, R.; Leal, M.; Ribeiro, J.; Silva, A.J.; Barbosa, T.M.; Monteiro, A.M. Monitoring Accumulated Training and Match Load in Football: A Systematic Review. Int. J. Environ. Res. Public Health 2021, 18, 3906. [Google Scholar] [CrossRef]
- Jones, P.; Thomas, C.; Dos’Santos, T.; McMahon, J.; Graham-Smith, P. The Role of Eccentric Strength in 180° Turns in Female Soccer Players. Sports 2017, 5, 42. [Google Scholar] [CrossRef] [Green Version]
Publisher’s Note: MDPI stays neutral with regard to jurisdictional claims in published maps and institutional affiliations. |
© 2021 by the authors. Licensee MDPI, Basel, Switzerland. This article is an open access article distributed under the terms and conditions of the Creative Commons Attribution (CC BY) license (https://creativecommons.org/licenses/by/4.0/).
